Significance of Influent C/N Ratios in Mainstream Anammox Process: Nitrogen Removal and Microbial Dynamics
Abstract
1. Introduction
2. Materials and Methods
2.1. Reactor Setup
2.2. Wastewater and Inoculum
2.3. Analytical Methods
3. Results and Discussion
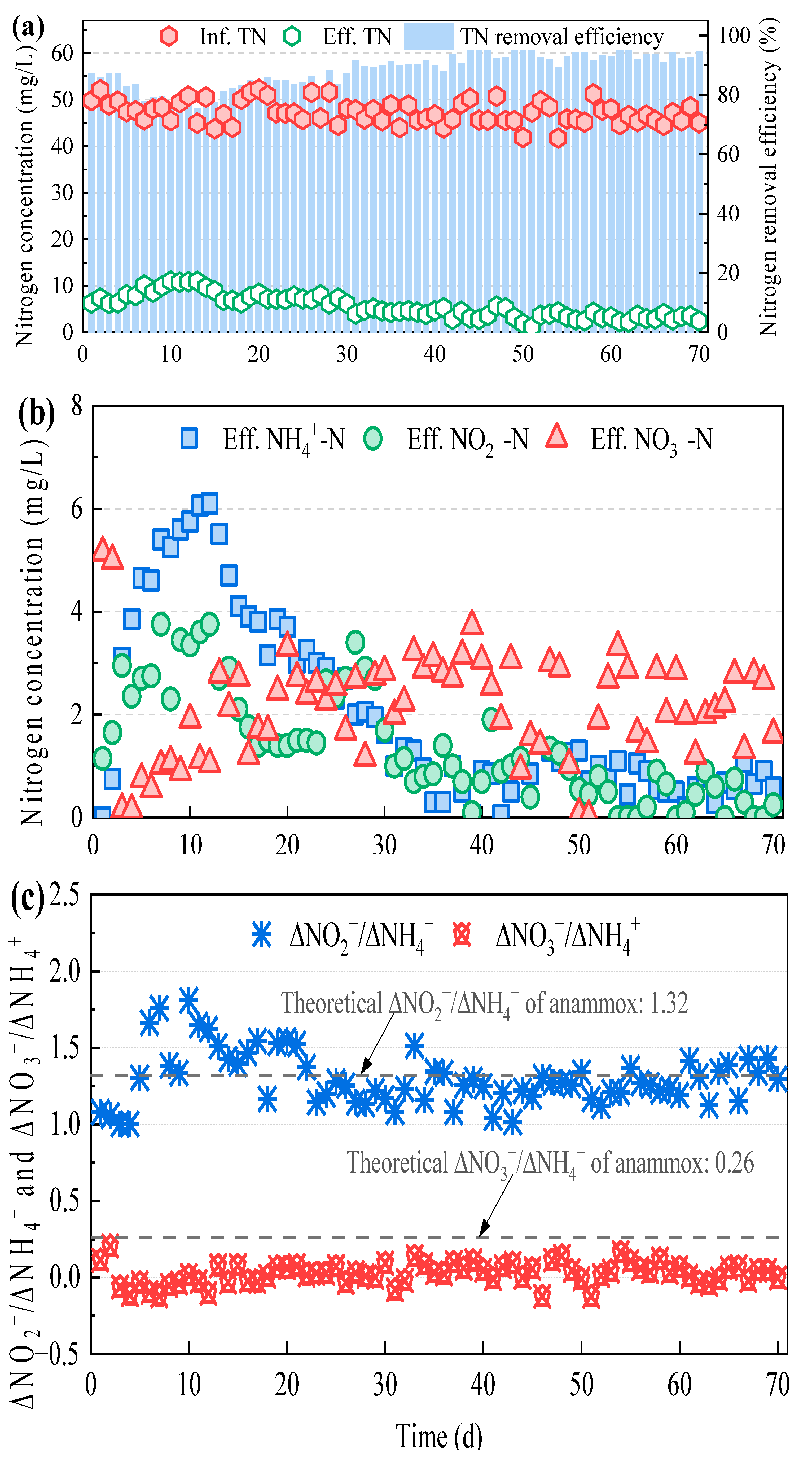
3.1. Nitrogen Removal Performance of the Mainstream Anammox Reactors at Various C/N Ratios
3.2. Nitrogen Transformation in the Typical Cycles
3.3. Microbial Dynamics at Various Influent C/N Ratios
3.4. Implication of This Work
4. Conclusions
- (1)
- The optimal influent C/N for the mainstream anammox process falls within a narrow range of 0.9–1.8. Operating the mainstream anammox reactors with influent C/N ratios lower or higher than this range led to a decrease in nitrogen removal efficiency, as nitrate and ammonium accumulated in the effluent, respectively.
- (2)
- A remarkable nitrogen removal efficiency of 92.6% can be achieved when the influent C/N is 1.0. The enhancement of nitrogen removal is due to the effective combination of partial denitrification and anammox, catalyzed by the bacteria Thauera and Candidatus Brocadia, respectively.
- (3)
- Variations in the influent C/N can potentially impact the composition of the denitrifier in mainstream anammox reactors. Specifically, a transition in the dominant denitrifier from Denitratisoma to Thauera was observed as the influent C/N increased. Additionally, the denitrifying phenotype of Thauera was greatly impacted by the influent C/N.
Author Contributions
Funding
Data Availability Statement
Conflicts of Interest
References
- Kartal, B.; Kuenen, J.G.; van Loosdrecht, M.C.M. Sewage treatment with anammox. Science 2010, 328, 702–703. [Google Scholar] [CrossRef]
- Ma, B.; Wang, S.Y.; Cao, S.B.; Miao, Y.Y.; Jia, F.X.; Du, R.; Peng, Y.Z. Biological nitrogen removal from sewage via anammox: Recent advances. Bioresour. Technol. 2016, 200, 981–990. [Google Scholar] [CrossRef]
- Wang, Z.; Zhang, L.; Zeng, W.; Li, J.; Zhang, Q.; Li, X.; Peng, Y. A loading rate switch strategy for stable nitritation in mainstream municipal wastewater. Nat. Sustain. 2024, 7, 305–314. [Google Scholar] [CrossRef]
- Regmi, P.; Miller, M.W.; Holgate, B.; Bunce, R.; Park, H.; Chandran, K.; Wett, B.; Murthy, S.; Bott, C.B. Control of aeration, aerobic SRT and COD input for mainstream nitritation/denitritation. Water Res. 2014, 57, 162–171. [Google Scholar] [CrossRef] [PubMed]
- Isanta, E.; Reino, C.; Carrera, J.; Perez, J. Stable partial nitritation for low-strength wastewater at low temperature in an aerobic granular reactor. Water Res. 2015, 80, 149–158. [Google Scholar] [CrossRef] [PubMed]
- Zhang, L.; Zhang, S.J.; Gan, Y.P.; Peng, Y.Z. Bio-augmentation to rapid realize partial nitrification of real sewage. Chemosphere 2012, 88, 1097–1102. [Google Scholar] [CrossRef] [PubMed]
- Cao, Y.; van Loosdrecht, M.C.M.; Daigger, G.T. Mainstream partial nitritation–anammox in municipal wastewater treatment: Status, bottlenecks, and further studies. Appl. Microbiol. Biotechnol. 2017, 101, 1365–1383. [Google Scholar] [CrossRef] [PubMed]
- Ma, B.; Zhang, S.J.; Zhang, L.; Yi, P.; Wang, J.M.; Wang, S.Y.; Peng, Y.Z. The feasibility of using a two-stage autotrophic nitrogen removal process to treat sewage. Bioresour. Technol. 2011, 102, 8331–8334. [Google Scholar] [CrossRef]
- Yang, Y.; Long, Y.; Xu, J.; Liu, S.; Liu, L.; Liu, C.; Tian, Y. Achieving robust and highly efficient nitrogen removal in a mainstream anammox reactor by introducing low concentrations of readily biodegradable organics. Front. Microbiol. 2023, 14, 1186819. [Google Scholar] [CrossRef]
- Díaz, C.; Belmonte, M.; Campos, J.L.; Franchi, O.; Faúndez, M.; Vidal, G.; Argiz, L.; Pedrouso, A.; Val del Rio, A.; Mosquera-Corral, A. Limits of the anammox process in granular systems to remove nitrogen at low temperature and nitrogen concentration. Process Saf. Environ. Prot. 2020, 138, 349–355. [Google Scholar] [CrossRef]
- Li, W.; Zhuang, J.L.; Zhou, Y.Y.; Meng, F.G.; Kang, D.; Zheng, P.; Shapleigh, J.P.; Liu, Y.D. Metagenomics reveals microbial community differences lead to differential nitrate production in anammox reactors with differing nitrogen loading rates. Water Res. 2020, 169, 115279. [Google Scholar] [CrossRef] [PubMed]
- Guillén, J.S.; Vazquez, C.L.; de Oliveira Cruz, L.; Brdjanovic, D.; van Lier, J. Long-term performance of the Anammox process under low nitrogen sludge loading rate and moderate to low temperature. Biochem. Eng. J. 2016, 110, 95–106. [Google Scholar] [CrossRef]
- Strous, M.; Kuenen, J.G.; Jetten, M.S.M. Key physiology of anaerobic ammonium oxidation. Appl. Environ. Microbiol. 1999, 65, 3248–3250. [Google Scholar] [CrossRef] [PubMed]
- Zhuang, J.-L.; Sun, X.; Zhao, W.-Q.; Zhang, X.; Zhou, J.-J.; Ni, B.-J.; Liu, Y.-D.; Shapleigh, J.P.; Li, W. The anammox coupled partial-denitrification process in an integrated granular sludge and fixed-biofilm reactor developed for mainstream wastewater treatment: Performance and community structure. Water Res. 2022, 210, 117964. [Google Scholar] [CrossRef] [PubMed]
- Ji, J.; Peng, Y.; Li, X.; Zhang, Q.; Liu, X. A novel partial nitrification-synchronous anammox and endogenous partial denitrification (PN-SAEPD) process for advanced nitrogen removal from municipal wastewater at ambient temperatures. Water Res. 2020, 175, 115690. [Google Scholar] [CrossRef]
- Bi, Z.; Takekawa, M.; Park, G.; Soda, S.; Qiao, S.; Ike, M. Effects of the C/N ratio and bacterial populations on nitrogen removal in the simultaneous anammox and heterotrophic denitrification process: Mathematic modeling and batch experiments. Chem. Eng. J. 2015, 280, 606–613. [Google Scholar] [CrossRef]
- Xu, G.J.; Zhou, Y.; Yang, Q.; Lee, Z.M.P.; Gu, J.; Lay, W.S.; Cao, Y.S.; Liu, Y. The challenges of mainstream deammonification process for municipal used water treatment. Appl. Microbiol. Biotechnol. 2015, 99, 2485–2490. [Google Scholar] [CrossRef]
- Cui, H.; Zhang, L.; Zhang, Q.; Li, X.; Peng, Y. Enrichment of comammox bacteria in anammox-dominated low-strength wastewater treatment system within microaerobic conditions: Cooperative effect driving enhanced nitrogen removal. Chem. Eng. J. 2023, 453, 139851. [Google Scholar] [CrossRef]
- APHA. Standard Methods for Examination of Water and Wastewater, 21st ed.; American Public Health Association: Washington, DC, USA, 2005. [Google Scholar]
- Yang, Y.; Jiang, Y.; Long, Y.; Xu, J.; Liu, C.; Zhang, L.; Peng, Y. Insights into the mechanism of the deterioration of mainstream partial nitritation/anammox under low residual ammonium. J. Environ. Sci. 2023, 126, 29–39. [Google Scholar] [CrossRef]
- Sliekers, A.O.; Derwort, N.; Gomez, J.L.C.; Strous, M.; Kuenen, J.G.; Jetten, M.S.M. Completely autotrophic nitrogen removal over nitrite in one single reactor. Water Res. 2002, 36, 2475–2482. [Google Scholar] [CrossRef] [PubMed]
- Du, R.; Cao, S.; Li, B.; Niu, M.; Wang, S.; Peng, Y. Performance and microbial community analysis of a novel DEAMOX based on partial-denitrification and anammox treating ammonia and nitrate wastewaters. Water Res. 2017, 108, 46–56. [Google Scholar] [CrossRef] [PubMed]
- Ahmad, H.A.; Ahmad, S.; Gao, L.; Ismail, S.; Wang, Z.; El-Baz, A.; Ni, S.-Q. Multi-omics analysis revealed the selective enrichment of partial denitrifying bacteria for the stable coupling of partial-denitrification and anammox process under the influence of low strength magnetic field. Water Res. 2023, 245, 120619. [Google Scholar] [CrossRef] [PubMed]
- Liu, B.; Mao, Y.; Bergaust, L.; Bakken, L.R.; Frostegård, Å. Strains in the genus Thauera exhibit remarkably different denitrification regulatory phenotypes. Environ. Microbiol. 2013, 15, 2816–2828. [Google Scholar] [CrossRef] [PubMed]
- Suri, N.; Zhang, Y.; Gieg, L.M.; Ryan, M.C. Denitrification biokinetics: Towards optimization for industrial applications. Front. Microbiol. 2021, 12, 610389. [Google Scholar] [CrossRef] [PubMed]
- Ren, T.; Chi, Y.; Wang, Y.; Shi, X.; Jin, X.; Jin, P. Diversified metabolism makes novel Thauera strain highly competitive in low carbon wastewater treatment. Water Res. 2021, 206, 117742. [Google Scholar] [CrossRef] [PubMed]
- Liu, G.; Wang, J. Long-term low DO enriches and shifts nitrifier community in activated sludge. Environ. Sci. Technol. 2013, 47, 5109–5117. [Google Scholar] [CrossRef] [PubMed]
- Ali, P.; Zalivina, N.; Le, T.; Riffat, R.; Ergas, S.; Wett, B.; Murthy, S.; Al-Omari, A.; deBarbadillo, C.; Bott, C.; et al. Primary sludge fermentate as carbon source for mainstream partial denitrification–anammox (PdNA). Water Environ. Res. 2021, 93, 1044–1059. [Google Scholar] [CrossRef]
- Cao, S.; Wang, S.; Peng, Y.; Wu, C.; Du, R.; Gong, L.; Ma, B. Achieving partial denitrification with sludge fermentation liquid as carbon source: The effect of seeding sludge. Bioresour. Technol. 2013, 149, 570–574. [Google Scholar] [CrossRef] [PubMed]
- Lackner, S.; Gilbert, E.M.; Vlaeminck, S.E.; Joss, A.; Horn, H.; van Loosdrecht, M.C.M. Full-scale partial nitritation/anammox experiences-an application survey. Water Res. 2014, 55, 292–303. [Google Scholar] [CrossRef] [PubMed]
- Lotti, T.; Kleerebezem, R.; van Loosdrecht, M. Effect of temperature change on anammox activity. Biotechnol. Bioeng. 2015, 112, 98–103. [Google Scholar] [CrossRef]





| COD (mg/L) | TN (mg/L) | NH4+-N (mg/L) | NO2−-N (mg/L) | NO3−-N (mg/L) | PO43−-P (mg/L) | pH |
|---|---|---|---|---|---|---|
| R1: 25.6 ± 3.4, R2: 53.4 ± 5.2 R3: 108.1 ± 6.0 | 48.3 ± 2.5 | 20.6 ± 1.7 | 25.7 ± 2.0 | 1.7 ± 0.8 | 7.1 ± 0.6 | 7.2–8.0 |
Disclaimer/Publisher’s Note: The statements, opinions and data contained in all publications are solely those of the individual author(s) and contributor(s) and not of MDPI and/or the editor(s). MDPI and/or the editor(s) disclaim responsibility for any injury to people or property resulting from any ideas, methods, instructions or products referred to in the content. |
© 2025 by the authors. Licensee MDPI, Basel, Switzerland. This article is an open access article distributed under the terms and conditions of the Creative Commons Attribution (CC BY) license (https://creativecommons.org/licenses/by/4.0/).
Share and Cite
Yang, Y.; Liu, S.; Liu, L.; Long, Y.; Wang, C.; Liu, C. Significance of Influent C/N Ratios in Mainstream Anammox Process: Nitrogen Removal and Microbial Dynamics. Water 2025, 17, 562. https://doi.org/10.3390/w17040562
Yang Y, Liu S, Liu L, Long Y, Wang C, Liu C. Significance of Influent C/N Ratios in Mainstream Anammox Process: Nitrogen Removal and Microbial Dynamics. Water. 2025; 17(4):562. https://doi.org/10.3390/w17040562
Chicago/Turabian StyleYang, Yandong, Shichong Liu, Lei Liu, Yanan Long, Chao Wang, and Changqing Liu. 2025. "Significance of Influent C/N Ratios in Mainstream Anammox Process: Nitrogen Removal and Microbial Dynamics" Water 17, no. 4: 562. https://doi.org/10.3390/w17040562
APA StyleYang, Y., Liu, S., Liu, L., Long, Y., Wang, C., & Liu, C. (2025). Significance of Influent C/N Ratios in Mainstream Anammox Process: Nitrogen Removal and Microbial Dynamics. Water, 17(4), 562. https://doi.org/10.3390/w17040562

