Spatiotemporal Distribution of Methane Concentration and Emissions in the Northeastern Reservoir with Ice-Covered Characteristics
Abstract
1. Introduction
2. Materials and Methods
2.1. Study Area
2.2. Sample Collection
2.2.1. Field Sampling
2.2.2. Sample Collection During the Ice-Free Periods
2.2.3. Sample Collection During the Ice-Covered Periods
2.2.4. Bubble Transport Flux
2.3. Processing and Analysis of Sample
2.3.1. Water Quality
2.3.2. CH4 Concentrations
2.4. Analysis and Calculation of Index
2.4.1. CH4 Concentration in Water Sample
2.4.2. CH4 Diffusion Flux at the Water-Gas Interface
2.4.3. Calculation of CH4 Bubble Flux
3. Results
3.1. Spatiotemporal Characteristics of Environmental Indicators
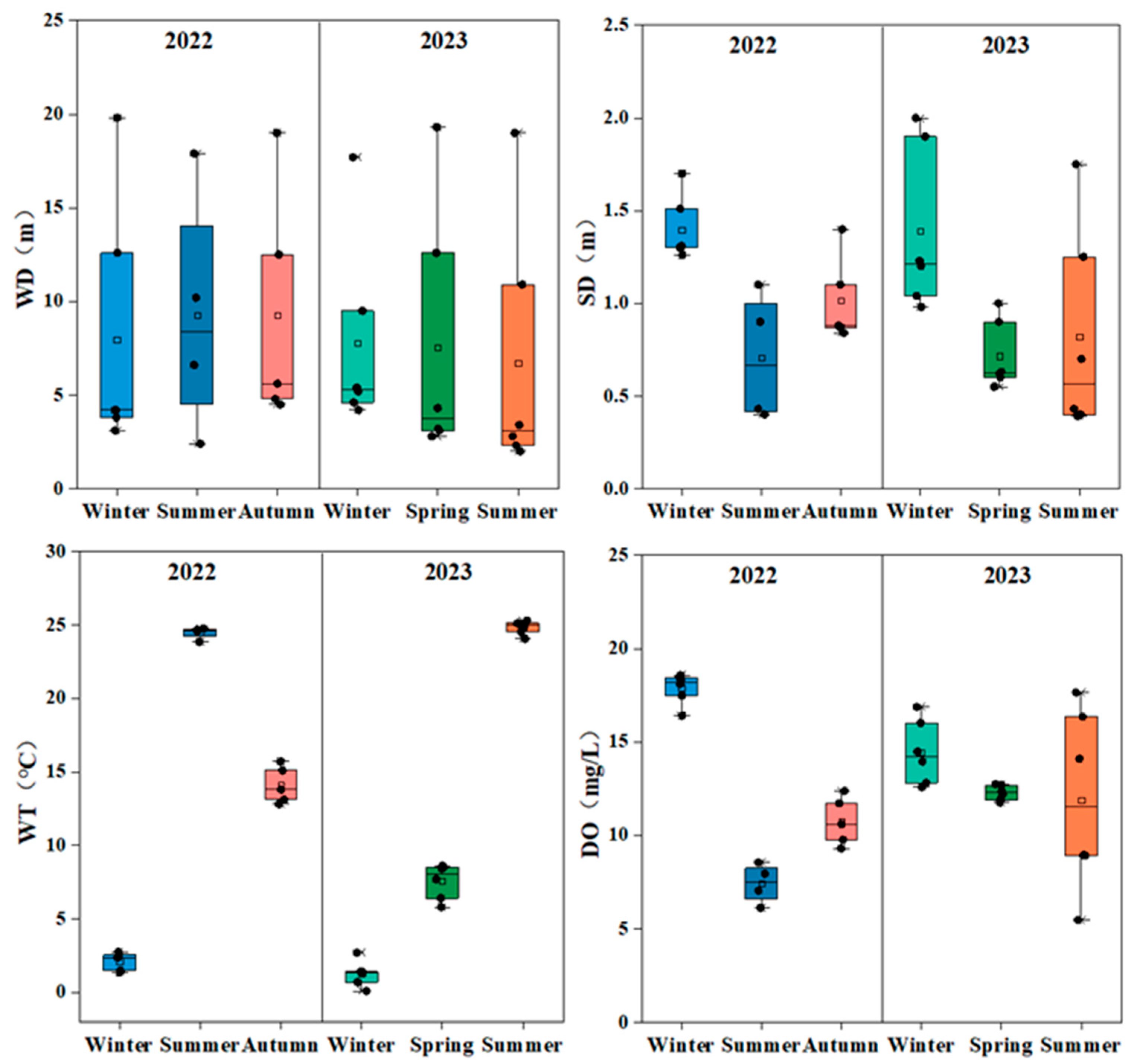
3.1.1. Physical and Chemical Indicators of Surface Water
3.1.2. Vertical Change of Water Environment Indicators
3.2. Spatiotemporal Distribution of CH4 Concentration and Emission
3.2.1. CH4 Concentration
3.2.2. CH4 Diffusive Flux
3.2.3. CH4 Bubble Flux
3.3. Influencing Factors
3.3.1. Influencing Factors of CH4 Concentration
3.3.2. Influencing Factors of CH4 Diffusion Flux
3.3.3. Influencing Factors of CH4 Bubble Flux
4. Discussion
4.1. Influence of Ice Cover on the Production and Transport of CH4
4.2. Influence of Water Depth on the Production and Transport of CH4
4.3. Influence of Other Factors on the Production and Transport of CH4
5. Conclusions
- (1)
- Spatially, both surface CH4 concentration and diffusive flux exhibited significantly higher values in shallow water than in deep water; CH4 bubble flux had the largest range of variation in shallow water. Temporally, the surface CH4 concentration, diffusive flux, and bubble flux of CH4 were generally higher in summer and lower in autumn; surface CH4 concentration had the largest range of variation in winter, and the concentration of CH4 beneath the ice was significantly greater in shallow water than in deep water.
- (2)
- Ice cover leads to significant differences in production and transport of CH4 compared to the ice-free periods by indirectly altering the water environment and by directly altering the CH4 release, and CH4 accumulated under the ice will greatly increase the CH4 release potential during the ice-melt period.
- (3)
- The effect of water depth on generation and transport of CH4 is mainly manifested in the type of CH4 generation and the way of CH4 release. First of all, the CH4 gas generated by the sediment enters the sediment pore water until the total partial pressure of the gas exceeds the hydrostatic pressure, and CH4 microbubbles will be formed in the sediment. In addition, the hydrostatic pressure is lower in shallow water, resulting in easier release of generated bubbles.
Author Contributions
Funding
Data Availability Statement
Acknowledgments
Conflicts of Interest
References
- Ahmed, S.; Irshad, M.; Yoon, W.; Karanwal, N.; Sugiarto, J.R.; Khan, M.K.; Kim, S.K.; Kim, J. Evaluation of MgO as a promoter for the hydrogenation of CO2 to long-chain hydrocarbons over Fe-based catalysts. Appl. Catal. B Environ. 2023, 338, 123052. [Google Scholar] [CrossRef]
- Rosentreter, J.A.; Borges, A.V.; Deemer, B.R.; Holgerson, M.A.; Liu, S.D.; Song, C.L.; Melack, J.; Raymond, P.A.; Duarte, C.M.; Allen, G.H.; et al. Half of global methane emissions come from highly variable aquatic ecosystem sources. Nat. Geosci. 2021, 14, 225–230. [Google Scholar] [CrossRef]
- Sun, Z.Y.; Chen, Y.B.; Li, C.; Guo, J.S.; Li, Z. Research of reservoir greenhouse gas emissions in China (2009–2019). Shuili Xuebao 2020, 51, 253–267. [Google Scholar]
- Peng, X.Y.; Qin, Y.; Shu, Y.Q.; Li, Y.B.; Zhang, X. Effects of functional methane community in sediments of Wanzhou section of the Three Gorges Reservoir on methane emissions in summer. Chin. J. Environ. Eng. 2022, 16, 1028–1038. [Google Scholar]
- Jin, Y.; Jin, K.; Chen, X.; Guan, H.; Hu, T.; Zhao, H.; Li, Z.; Xu, S. Spatiotemporal variability and environmental effects of greenhouse gases, nutrients, and dissolved carbons in an ice-covered reservoir. Environ. Res. 2023, 239, 117375. [Google Scholar] [CrossRef]
- Louis, V.L.S.; Kelly, C.A.; Duchemin, É.; Rudd, J.W.M.; Rosenberg, D.M. Reservoir surfaces as sources of greenhouse gases to the atmosphere a global estimate. Bioscience 2000, 50, 766–775. [Google Scholar] [CrossRef]
- Johnson, M.S.; Matthews, E.; Bastviken, D.; Deemer, B.; Du, J.Y.; Genovese, V. Spatiotemporal methane emission from global reservoirs. J. Geophys. Res. Biogeosci. 2021, 126, e2021JG006305. [Google Scholar] [CrossRef]
- Waldo, S.; Beaulieu, J.J.; Barnett, W.; Balz, D.A.; Vanni, M.J.; Williamson, T.; Walker, J.T. Temporal trends in methane emissions from a small eutrophic reservoir: The key role of a spring burst. Biogeosciences 2021, 18, 5291–5311. [Google Scholar] [CrossRef] [PubMed]
- Li, Z.Q.; Cai, L.H.; Huang, P.Y.; Yu, H.X. Methane emission characteristics and influencing factors in Nihe reservoir. Heilongjiang Sci. Technol. Water Conserv. 2014, 42, 16–19. [Google Scholar]
- Yang, M.; Li, H.L.; Lei, T.; Zhou, Y.; Lu, C.; Li, L.; Lei, G.C.; Wang, J.S.; Lu, X.G. Spatial-temporal characteritics of methane flux and its influence factors at Miyun Reservoir in Beijing. Wetl. Sci. 2011, 9, 191–197. [Google Scholar]
- Yang, F.Y.; Zhang, S.L.; Wang, S.M.; Hu, X.K.; Wang, H.W.; Tang, M.Y.; Zhang, M.; Zhong, J.C. Dissolution and emission patterns and influencing factors of greenhouse gases in Panjiakou Reservoir. China Environ. Sci. 2021, 41, 5303–5313. [Google Scholar]
- Yue, R.; Shi, H.Y.; Ran, L.S.; Fang, N.F. Study on diurnal variation of CO2 flux from reservoir and the influencing factors of partial pressure of CO2 in melting and non-melting seasons. Acta Sci. Circumstantiae 2020, 40, 678–686. [Google Scholar]
- Jin, Y.; Chen, X.Q.; Liao, M.M.; Guan, H.P.; Zhao, H.D.; Xu, S.G. Spatial variations of dissolved greenhouse gases and emission fluxes in a large reservoir during the stratification and mixing periods. J. Lake Sci. 2023, 35, 1082–1096. [Google Scholar]
- Beaulieu, J.J.; Balz, D.A.; Birchfield, M.K.; Harrison, J.A.; Nietch, C.T.; Platz, M.C.; Squier, W.C.; Waldo, S.; Walker, J.T.; White, K.M.; et al. Effects of an Experimental Water-level Drawdown on Methane Emissions from a Eutrophic Reservoir. Ecosystems 2017, 21, 657–674. [Google Scholar] [CrossRef]
- Hu, S.D.; Wang, T.X.; Xu, S.G.; Ma, L.X.; Sun, X.G.; Wang, T.Z. Distributions of nitrogen and phosphorus in ice-covered water systems and comprehensive evaluation of water quality in reservoirs during the freezing period. Chem. Ecol. 2022, 38, 265–283. [Google Scholar] [CrossRef]
- Xiao, Q.T.; Hu, Z.H.; Zhang, M.; Wang, W.; Xiao, W. Effects of water diversion on methane diffusion flux across the water-air interface in lakes. J. Lake Sci. 2021, 33, 561–570. [Google Scholar]
- Ren, Y.J.; Deng, Z.M.; Xie, Y.H.; Zhu, L.L.; Chen, X.R.; Zhang, C.Y.; Chen, X.S.; Li, F.; Zou, Y.A. Estimation of methane diffusion and ebullition flux and water environmental controls during flooding period in Lake Dongting wetlands. J. Lake Sci. 2019, 31, 1075–1087. [Google Scholar]
- Sun, H.; Lu, X.; Yu, R.; Yang, J.; Liu, X.; Cao, Z.; Zhang, Z.; Li, M.; Geng, Y. Eutrophication decreased CO2 but increased CH4 emissions from lake: A case study of a shallow Lake Ulansuhai. Water Res. 2021, 201, 117363. [Google Scholar] [CrossRef] [PubMed]
- Jansen, J.; MacIntyre, S.; Barrett, D.C.; Chin, Y.P.; Cortés, A.; Forrest, A.L.; Hrycik, A.R.; Martin, R.; McMeans, B.C.; Rautio, M.; et al. Winter Limnology: How do Hydrodynamics and Biogeochemistry Shape Ecosystems Under Ice? J. Geophys. Res. Biogeosci. 2021, 126, e2020JG006237. [Google Scholar] [CrossRef]
- Chen, S.; Wang, D.; Ding, Y.; Yu, Z.; Liu, L.; Li, Y.; Yang, D.; Gao, Y.; Tian, H.; Cai, R.; et al. Ebullition Controls on CH4 Emissions in an Urban, Eutrophic River: A Potential Time-Scale Bias in Determining the Aquatic CH4 Flux. Environ. Sci. Technol. 2021, 55, 7287–7298. [Google Scholar] [CrossRef]
- Powers, S.M.; Hampton, S.E. Winter Limnology as a New Frontier. Limnol. Oceanogr. Bull. 2016, 25, 103–108. [Google Scholar] [CrossRef]
- Reavie, E.D.; Cai, M.; Twiss, M.R.; Carrick, H.J.; Davis, T.W.; Johengen, T.H.; Gossiaux, D.; Smith, D.E.; Palladino, D.; Burtner, A.; et al. Winter–spring diatom production in Lake Erie is an important driver of summer hypoxia. J. Great Lakes Res. 2016, 42, 608–618. [Google Scholar] [CrossRef]
- Bertilsson, S.; Burgin, A.; Carey, C.C.; Fey, S.B.; Grossart, H.-P.; Grubisic, L.M.; Jones, I.D.; Kirillin, G.; Lennon, J.T.; Shade, A. The under-ice microbiome of seasonally frozen lakes. Limnol. Oceanogr. 2013, 58, 1998–2012. [Google Scholar] [CrossRef]
- Ricão Canelhas, M.; Denfeld, B.A.; Weyhenmeyer, G.A.; Bastviken, D.; Bertilsson, S. Methane oxidation at the water-ice interface of an ice-covered lake. Limnol. Oceanogr. 2016, 61, S78–S90. [Google Scholar] [CrossRef]
- Bodmer, P.; Wilkinson, J.; Lorke, A. Sediment Properties Drive Spatial Variability of Potential Methane Production and Oxidation in Small Streams. J. Geophys. Res. Biogeosci. 2020, 125, e2019JG005213. [Google Scholar] [CrossRef]
- Emerson, J.B.; Varner, R.K.; Wik, M.; Parks, D.H.; Neumann, R.B.; Johnson, J.E.; Singleton, C.M.; Woodcroft, B.J.; Tollerson, R., 2nd; Owusu-Dommey, A.; et al. Diverse sediment microbiota shape methane emission temperature sensitivity in Arctic lakes. Nat. Commun. 2021, 12, 5815. [Google Scholar] [CrossRef] [PubMed]
- Jansen, J.; Woolway, R.I.; Kraemer, B.M.; Albergel, C.; Bastviken, D.; Weyhenmeyer, G.A.; Marcé, R.; Sharma, S.; Sobek, S.; Tranvik, L.J.; et al. Global increase in methane production under future warming of lake bottom waters. Glob. Chang. Biol. 2022, 28, 5427–5440. [Google Scholar] [CrossRef]
- Wilkinson, J.; Maeck, A.; Alshboul, Z.; Lorke, A. Continuous Seasonal River Ebullition Measurements Linked to Sediment Methane Formation. Environ. Sci. Technol. 2015, 49, 13121–13129. [Google Scholar] [CrossRef]
- McGinnis, D.F.; Greinert, J.; Artemov, Y.; Beaubien, S.E.; Wüest, A. Fate of rising methane bubbles in stratified waters: How much methane reaches the atmosphere? J. Geophys. Res. Ocean. 2006, 111, C09007. [Google Scholar] [CrossRef]
- van Bergen, T.J.; Barros, N.; Mendonça, R.; Aben, R.C.; Althuizen, I.H.; Huszar, V.; Lamers, L.P.; Lürling, M.; Roland, F.; Kosten, S. Seasonal and diel variation in greenhouse gas emissions from an urban pond and its major drivers. Limnol. Oceanogr. 2019, 64, 2129–2139. [Google Scholar] [CrossRef]
- Davidson, T.A.; Audet, J.; Jeppesen, E.; Landkildehus, F.; Lauridsen, T.L.; Søndergaard, M.; Syväranta, J. Synergy between nutrients and warming enhances methane ebullition from experimental lakes. Nat. Clim. Chang. 2018, 8, 156–160. [Google Scholar] [CrossRef]
- Jin, Y.; Chen, X.; Guan, H.; Zhao, H.; Yu, R.; Li, Z.; Xu, S. Bubbles dominated the significant spatiotemporal variability and accumulation of methane concentrations in an ice-covered reservoir. Sci. Total Environ. 2024, 918, 170362. [Google Scholar] [CrossRef] [PubMed]
- DelSontro, T.; Boutet, L.; St-Pierre, A.; del Giorgio, P.A.; Prairie, Y.T. Methane ebullition and diffusion from northern ponds and lakes regulated by the interaction between temperature and system productivity. Limnol. Oceanogr. 2016, 61, S62–S77. [Google Scholar] [CrossRef]
- Kang, M.C.; Liu, L.; Liu, J.; Xiao, S.B. Methane ebullition from lakes and reservoirs: A review. J. Lake Sci. 2024, 36, 339–364. [Google Scholar]
- DelSontro, T.; McGinnis, D.F.; Wehrli, B.; Ostrovsky, I. Size does matter: Importance of large bubbles and small-scale hot spots for methane transport. Environ. Sci. Technol. 2015, 49, 1268–1276. [Google Scholar] [CrossRef] [PubMed]
- Zhao, K.; Tedford, E.W.; Zare, M.; Lawrence, G.A. Impact of atmospheric pressure variations on methane ebullition and lake turbidity during ice-cover. Limnol. Oceanogr. Lett. 2021, 6, 253–261. [Google Scholar] [CrossRef]
- Wang, G.; Xia, X.; Liu, S.; Zhang, L.; Zhang, S.; Wang, J.; Xi, N.; Zhang, Q. Intense methane ebullition from urban inland waters and its significant contribution to greenhouse gas emissions. Water Res. 2021, 189, 116654. [Google Scholar] [CrossRef] [PubMed]
- Zhao, X.J.; Zhao, T.Q.; Zheng, H.; Duan, X.N.; Chen, F.L.; Ouyang, Z.Y.; Wang, X.K. Greenhouse Gas Emission from Reservoir and Its Influence Factors. Environ. Sci. 2008, 29, 2378–2384. [Google Scholar]
- Beaulieu, J.J.; DelSontro, T.; Downing, J.A. Eutrophication will increase methane emissions from lakes and impoundments during the 21st century. Nat. Commun. 2019, 10, 1375. [Google Scholar] [CrossRef]
- Arya, K.S.; Gireeshkumar, T.R.; Vignesh, E.R.; Muraleedharan, K.R.; D’Cunha, M.S.; Emil John, C.R.; Snigtha; Cyriac, M.; Ravikumar Nair, C.; Praveena, S. Distribution and sea-to-air fluxes of nitrous oxide and methane from a seasonally hypoxic coastal zone in the southeastern Arabian Sea. Mar. Pollut. Bull. 2024, 205, 116614. [Google Scholar] [CrossRef]













| Basic Characteristics | Dongfeng Reservoir |
|---|---|
| Storage capacity (m3) | 1.42 × 108 |
| Watershed area (km2) | 629 |
| Maximum water depth (m) | 20 |
| Maximum ice thickness (cm) | 41 |
| Reservoir completion (yr) | 1995 |
| Frozen start time | Early December |
| Frozen end time | Middle March |
| Parameters | Deep Water | Shallow Water |
|---|---|---|
| WD (m) | 15.08 ± 4.01 a | 3.93 ± 1.21 b |
| SD (m) | 1.36 ± 0.39 a | 0.84 ± 0.36 b |
| WT (°C) | 12.41 ± 10.24 a | 11.45 ± 9.40 a |
| DO (mg/L) | 11.62 ± 4.60 a | 14.81 ± 3.74 b |
| ORP (mv) | 187.12 ± 55.82 a | 213.67 ± 98.96 b |
| EC (μS/cm) | 397.51 ± 102.92 a | 430.10 ± 137.03 a |
| Chla (μg/L) | 9.32 ± 6.88 a | 33.63 ± 28.63 b |
| pH | 8.55 ± 0.34 a | 8.83 ± 0.39 a |
| TN (mg/L) | 4.75 ± 1.68 a | 6.28 ± 2.07 b |
| TP (mg/L) | 0.04 ± 0.02 a | 0.12 ± 0.19 b |
| NH4+ (mg/L) | 0.17 ± 0.14 a | 0.62 ± 0.98 b |
| NO3− (mg/L) | 4.24 ± 1.36 a | 5.47 ± 0.25 b |
| DOC (mg/L) | 3.72 ± 1.16 a | 3.64 ± 1.18 a |
| WD | SD | WT | DO | EC | Chla | ||
|---|---|---|---|---|---|---|---|
| CH4 concentration [LN(nmol/L)] | r | −0.76 ** | −0.76 ** | 0.18 | 0.04 | −0.32 | 0.47 |
| p | 0.005 | 0.004 | 0.585 | 0.909 | 0.310 | 0.122 | |
| n | 12 | 12 | 12 | 12 | 12 | 12 | |
| pH | TN | TP | NH4+ | NO3− | DOC | ||
| CH4 concentration [LN(nmol/L)] | r | 0.41 | 0.21 | −0.27 | −0.54 | 0.36 | −0.29 |
| p | 0.185 | 0.523 | 0.392 | 0.073 | 0.255 | 0.355 | |
| n | 12 | 12 | 12 | 12 | 12 | 12 |
| WD | SD | WT | DO | EC | Chla | ||
|---|---|---|---|---|---|---|---|
| CH4 concentration [LN(nmol/L)] | r | −0.81 ** | −0.70 ** | 0.24 | 0.50 * | 0.47 * | 0.30 |
| p | 0.000 | 0.000 | 0.306 | 0.021 | 0.031 | 0.182 | |
| n | 21 | 21 | 21 | 21 | 21 | 21 | |
| pH | TN | TP | NH4+ | NO3− | DOC | ||
| CH4 concentration [LN(nmol/L)] | r | 0.29 | 0.29 | 0.36 | 0.31 | 0.24 | −0.26 |
| p | 0.203 | 0.209 | 0.106 | 0.173 | 0.288 | 0.262 | |
| n | 21 | 21 | 21 | 21 | 21 | 21 |
| WD | SD | WT | DO | EC | Chla | ||
|---|---|---|---|---|---|---|---|
| CH4 diffusion fluxes [LN(μmol/m2/d)] | r | −0.79 ** | −0.69 ** | 0.18 | 0.48 * | 0.48 * | 0.31 |
| p | 0.000 | 0.001 | 0.428 | 0.028 | 0.028 | 0.166 | |
| n | 21 | 21 | 21 | 21 | 21 | 21 | |
| pH | TN | TP | NH4+ | NO3− | DOC | ||
| CH4 diffusion fluxes [LN(μmol/m2/d)] | r | 0.30 | 0.33 | 0.36 | 0.36 | 0.27 | −0.26 |
| p | 0.183 | 0.140 | 0.104 | 0.105 | 0.244 | 0.259 | |
| n | 21 | 21 | 21 | 21 | 21 | 21 |
| WD | SD | WT | DO | EC | Chla | ||
|---|---|---|---|---|---|---|---|
| CH4 bubble fluxes (mmol/m2/d) | r | −0.54 * | −0.46 | 0.77 ** | −0.17 | 0.59 * | −0.31 |
| p | 0.027 | 0.067 | 0.000 | 0.507 | 0.013 | 0.224 | |
| n | 17 | 17 | 17 | 17 | 17 | 17 | |
| pH | TN | TP | NH4+ | NO3− | DOC | ||
| CH4 bubble fluxes (mmol/m2/d) | r | −0.30 | −0.35 | 0.74 ** | 0.37 | −0.48 * | −0.65 ** |
| p | 0.235 | 0.17 | 0.001 | 0.15 | 0.05 | 0.005 | |
| n | 17 | 17 | 17 | 17 | 17 | 17 |
| WD | SD | WT | DO | EC | Chla | ||
|---|---|---|---|---|---|---|---|
| CH4 bubble fluxes (mmol/m2/d) | r | −0.54 * | −0.455 | 0.77 ** | −0.78 ** | 0.53 * | −0.37 |
| p | 0.027 | 0.067 | 0.000 | 0.000 | 0.027 | 0.146 | |
| n | 17 | 17 | 17 | 17 | 17 | 17 | |
| pH | TN | TP | NH4+ | NO3− | DOC | ||
| CH4 bubble fluxes (mmol/m2/d) | r | −0.64 ** | −0.23 | 0.86 ** | 0.19 | −0.09 | −0.72 ** |
| p | 0.006 | 0.376 | 0.000 | 0.473 | 0.738 | 0.001 | |
| n | 17 | 17 | 17 | 17 | 17 | 17 |
Disclaimer/Publisher’s Note: The statements, opinions and data contained in all publications are solely those of the individual author(s) and contributor(s) and not of MDPI and/or the editor(s). MDPI and/or the editor(s) disclaim responsibility for any injury to people or property resulting from any ideas, methods, instructions or products referred to in the content. |
© 2025 by the authors. Licensee MDPI, Basel, Switzerland. This article is an open access article distributed under the terms and conditions of the Creative Commons Attribution (CC BY) license (https://creativecommons.org/licenses/by/4.0/).
Share and Cite
Jin, Y.; Chen, X.; Zhu, L.; Yuan, J.; Hu, T. Spatiotemporal Distribution of Methane Concentration and Emissions in the Northeastern Reservoir with Ice-Covered Characteristics. Water 2025, 17, 483. https://doi.org/10.3390/w17040483
Jin Y, Chen X, Zhu L, Yuan J, Hu T. Spatiotemporal Distribution of Methane Concentration and Emissions in the Northeastern Reservoir with Ice-Covered Characteristics. Water. 2025; 17(4):483. https://doi.org/10.3390/w17040483
Chicago/Turabian StyleJin, Ye, Xiaoqiang Chen, Lingling Zhu, Jing Yuan, and Tianchao Hu. 2025. "Spatiotemporal Distribution of Methane Concentration and Emissions in the Northeastern Reservoir with Ice-Covered Characteristics" Water 17, no. 4: 483. https://doi.org/10.3390/w17040483
APA StyleJin, Y., Chen, X., Zhu, L., Yuan, J., & Hu, T. (2025). Spatiotemporal Distribution of Methane Concentration and Emissions in the Northeastern Reservoir with Ice-Covered Characteristics. Water, 17(4), 483. https://doi.org/10.3390/w17040483

