Investigation on the Excitation Force and Cavitation Evolution of an Ice-Class Propeller in Ice Blockage †
Abstract
1. Introduction
2. Numerical Theory
2.1. Governing Equations
2.2. Turbulence Model
2.3. Cavitation Model
2.4. Hydrodynamic Coefficients
3. Numerical Strategy
3.1. Models
3.2. Computational Domain
3.3. Settings
4. Validation
5. Results and Analyses
5.1. Hydrodynamics
5.2. Excitation Force
5.3. Cavitation Evolution
5.4. Flow Field Characteristics
6. Conclusions
- (1)
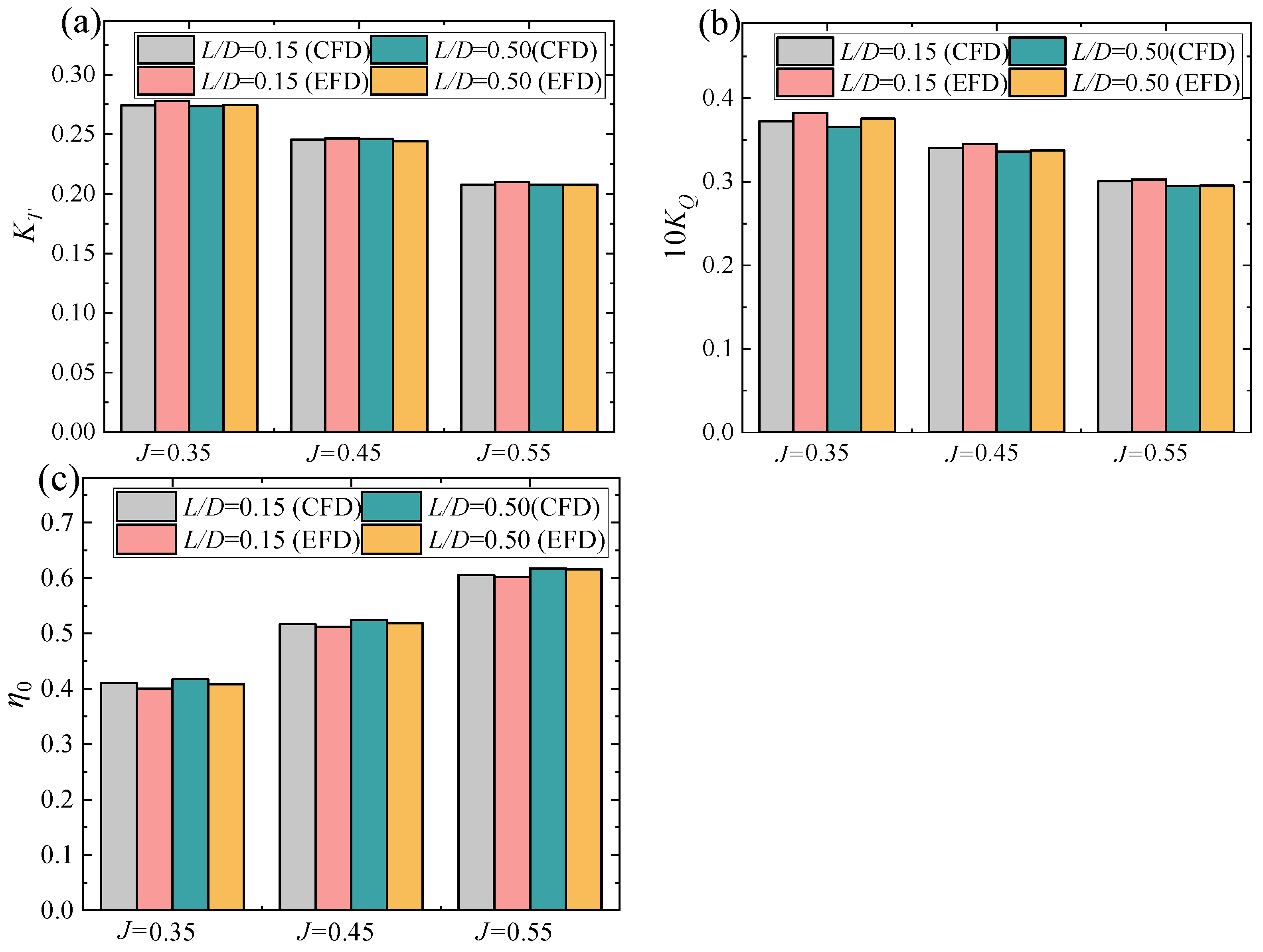
- The hybrid RANS/LES method and Schnerr–Sauer cavitation model possess good numerical accuracy, with the error between the numerical value and the experimental result being within 3.0%. When the advance coefficient rises, the angle of attack between the propeller blade and the incoming flow also increases, which leads to a reduction in thrust and torque. In the case of a low cavitation number, severe cavitation makes the hydrodynamic coefficient scarcely increase as the distance between the ice and propeller decreases.
- (2)
- The obstruction effect of the ice block on the incoming flow leads to a great increase in cavitation on the blade behind it. Especially when L/D = 0.15, the total cavitation coverage area reaches 20% and the cavitation-covered area of a single blade reaches 8.0%. As the advance coefficient increases, the total cavitation coverage area decreases, but as the blade locates behind the ice blockage its cavitation coverage area hardly reduces, causing rapid cavitation evolution and an increase in the excitation force. Especially when J = 0.55, the excitation force is twice its average value.
- (3)
- The ice block gives rise to a backflow behind it. When L/D = 0.15, the maximum backflow takes place at the blade tip behind the ice blockage, which results in an increase in the low-pressure zone on the suction surface and the high-pressure zone on the pressure surface. The greater the advance coefficient is, the more the high pressure rises and the larger the pressure difference is, thereby causing the excitation force to increase sharply. The increase in J makes the blade subject to a spatially non-uniformly distributed pressure load, which gives rise to severe cavitation evolution and thus generates an excitation force.
Author Contributions
Funding
Data Availability Statement
Acknowledgments
Conflicts of Interest
Nomenclature
| D | Diameter of the propeller | L | Ice–propeller distance |
| V | Inflow velocity | n | Rotating speed |
| T | Thrust | Q | Torque |
| J | Advance coefficient | KT | Thrust coefficient |
| η0 | Open-water efficiency | KQ | Torque coefficient |
| σn | Cavitation number | Cp | Pressure coefficient |
References
- Zheng, S.; Huang, Q.; Li, H.; He, X.; Li, X. Research on the Excitation Force and Cavitation Evolution of an Ice-Class Propeller in Ice Blockage Environments. In Proceedings of the 12th National Ice Engineering Conference, Zhuhai, China, 25–28 October 2024. [Google Scholar]
- Zhang, J.; Zhang, Y.; Shang, Y.; Jin, Q.; Zhang, L. CFD-DEM based full-scale ship-ice interaction research under FSICR ice condition in restricted brash ice channel. Cold Reg. Sci. Technol. 2022, 194, 103454. [Google Scholar] [CrossRef]
- Pustoshny, A.V.; Darchiev, G.K.; Frolova, I.G. The problem of propeller design for high ice class transportation ships. In Proceeding of Fifth International Symposium on Marine Propulsors, Espoo, Finland, 12–15 June 2017; pp. 390–397. [Google Scholar]
- Sun, H.S.; Ni, B.Y.; Zhang, Y.X.; Fan, X. A case study on propeller-hull vortex cavitation elimination based on CFD simulation and model test. Ships Offshore Struct. 2024, 19, 1762–1775. [Google Scholar] [CrossRef]
- Zhou, L.; Zheng, S.J.; Diao, F.; Ding, S.F.; Gao, J.L. Experimental and numerical study on ice blockage performance of propeller in cavitation flow. Water 2022, 14, 1060. [Google Scholar] [CrossRef]
- Sampson, R.; Atlar, M.; Sasaki, N. Ice blockage tests with a DAT tanker podded propulsor. In Proceedings of the 2nd International Conference on Technological Advances in Podded Propulsion, Brest, France, 3–5 October 2006. [Google Scholar]
- Sampson, R.; Atlar, M.; Sasaki, N. Propulsor ice interaction-does cavitation matter? In Proceedings of the 6th International Symposium on Cavitation (CAV), Wageningen, The Netherlands, 11–15 September 2006. [Google Scholar]
- Wu, S.; Zeng, Z.B.; Zhang, G.P. Experimental research on the influence of ice block parameters on propeller hydrodynamic performance. Ship Mech. 2018, 22, 156–164. [Google Scholar]
- Xue, Q.Y.; WU, S.; Gu, X.N.; Zhai, S.C. Analysis on the mechanisms of propeller-hull vortex cavitation induced in ice block en-vironments. Chin. J. Ship Res. 2020, 15, 90–95. [Google Scholar]
- Xu, P.; Wang, C.; Ye, L.Y.; Guo, C.Y.; Xiong, W.P.; Wu, S. Cavitation and induced excitation force of ice-class propeller blocked by ice. J. Mar. Sci. Eng. 2021, 9, 674. [Google Scholar] [CrossRef]
- Wang, G.L. Study of Propeller Hydrodynamic Performance Under Ice-Propeller-Flow Interaction. Ph.D. Thesis, Harbin Engineering University, Harbin, China, 2016. [Google Scholar]
- Wang, C.; Sun, S.; Chang, X.; Ye, L.Y. Numerical simulation of hydrodynamic performance of ice class propeller in blocked flow-using overlapping grids method. Ocean Eng. 2017, 141, 418–426. [Google Scholar]
- Hu, S.L.; Diao, F.; Wu, S. The numerical study of the propeller performance with ice blockage. In Proceedings of the ISOPE Pacific/Asia Offshore Mechanics Symposium, Dalian, China, 22–25 November 2020. ISOPE-P-20-192. [Google Scholar]
- Sun, S.; Li, L.; Wang, C.; Zhang, H. Numerical prediction analysis of propeller exciting force for hull–propeller–rudder system in oblique flow. Int. J. Nav. Archit. Ocean Eng. 2018, 10, 69–84. [Google Scholar] [CrossRef]
- Wu, S.; Liu, Y.; Zeng, Z.B. Influence of ice block on hydrodynamic performance and cavitation of propeller. Shipbuild. China 2018, 59, 110–121. [Google Scholar]
- Zheng, S.J.; Huang, Q.G.; Zhou, L.; Li, H. Numerical investigation on high-fidelity flow field of an ice-class propeller in ice blockage and cavitation flow. Ocean Eng. 2024, 301, 117626. [Google Scholar] [CrossRef]
- Wang, L.; Wu, T.; Gong, J.; Yang, Y. Numerical simulation of the wake instabilities of a propeller. Phys. Fluids 2021, 33, 125125. [Google Scholar] [CrossRef]
- Nie, Y.; Ouyang, W.; Li, G.; Zhang, C.; Zhou, X. Simulation study on hydrodynamic performance of podded propulsor for curise ship. Chin. J. Ship Res 2022, 17, 170–177. [Google Scholar]
- Zheng, S.; Huang, Q.G.; Zhou, L.; Li, H.; He, X.; Li, X.M. Effects of propeller boss cap fins on hydrodynamics and flow noise of a pump-jet propulsor. Phys. Fluids 2024, 36, 095104. [Google Scholar] [CrossRef]
- Lidtke, A.K.; Lloyd, T.; Lafeber, F.H.; Bosscher, J. Predicting cavitating propeller noise in off-design conditions using scale-resolving CFD simulations. Ocean Eng. 2022, 254, 111176. [Google Scholar] [CrossRef]
- Gaggero, S. A Study on the Wake Evolution of a Set of RIM-Driven Thrusters. J. Mar. Sci. Eng. 2023, 11, 1659. [Google Scholar] [CrossRef]











| Blade Number | Scale Ratio | Diameter | Pitch Ratio | Disc Ratio | Hub Diameter Ratio |
|---|---|---|---|---|---|
| Z | Λ | D/m | (P/D)0.7R | AE/A0 | dh/D |
| 4 | 1:28 | 0.25 | 0.84 | 0.75 | 0.21 |
| ϕ | φ1 | φ2 | φ3 | |||
|---|---|---|---|---|---|---|
| KT | 0.2755 | 0.2751 | 0.2746 | 0.145% | 0.009% | 0.011% |
| 10KQ | 0.3732 | 0.3729 | 0.3725 | 0.080% | 0.601% | 0.756% |
| η0 | 0.4112 | 0.4109 | 0.4106 | 0.073% | 0.028% | 0.036% |
Disclaimer/Publisher’s Note: The statements, opinions and data contained in all publications are solely those of the individual author(s) and contributor(s) and not of MDPI and/or the editor(s). MDPI and/or the editor(s) disclaim responsibility for any injury to people or property resulting from any ideas, methods, instructions or products referred to in the content. |
© 2025 by the authors. Licensee MDPI, Basel, Switzerland. This article is an open access article distributed under the terms and conditions of the Creative Commons Attribution (CC BY) license (https://creativecommons.org/licenses/by/4.0/).
Share and Cite
Huang, Q.; Zheng, S.; Li, H.; He, X.; Li, X. Investigation on the Excitation Force and Cavitation Evolution of an Ice-Class Propeller in Ice Blockage. Water 2025, 17, 295. https://doi.org/10.3390/w17030295
Huang Q, Zheng S, Li H, He X, Li X. Investigation on the Excitation Force and Cavitation Evolution of an Ice-Class Propeller in Ice Blockage. Water. 2025; 17(3):295. https://doi.org/10.3390/w17030295
Chicago/Turabian StyleHuang, Qiaogao, Sijie Zheng, Han Li, Xing He, and Xinming Li. 2025. "Investigation on the Excitation Force and Cavitation Evolution of an Ice-Class Propeller in Ice Blockage" Water 17, no. 3: 295. https://doi.org/10.3390/w17030295
APA StyleHuang, Q., Zheng, S., Li, H., He, X., & Li, X. (2025). Investigation on the Excitation Force and Cavitation Evolution of an Ice-Class Propeller in Ice Blockage. Water, 17(3), 295. https://doi.org/10.3390/w17030295

