Abstract
Brilliant blue, as a pigment food additive, has all the characteristics of printing and dyeing wastewater and belongs to persistent and refractory organic compounds. The photocatalysis–Fenton reaction system consists of two parts: photocatalytic reaction and Fenton reaction. Electrons promote the decomposition of H2O2 to produce •OH. In addition, the effective separation of e- and h+ by light strengthens the direct oxidation of h+, and h+ reacts directly with OH− to produce •OH, which can further promote the removal of organic pollutants. In this paper, g-C3N4 and Fe/g-C3N4 photocatalysts were prepared by the thermal polycondensation method. Fe/g-C3N4 of 15 wt% can reach 98.59% under the best degradation environment, and the degradation rate of g-C3N4 is only 7.6% under the same conditions. The photocatalytic activity of the catalysts was further studied. Through active species capture experiments, it is known that •OH and •O2− are the main active species in the system, and the action intensity of •OH is greater than that of •O2−. The degradation reaction mechanism is that H2O2 combines with Fe2+ in Fe/g-C3N4 to generate a large amount of •OH and Fe3+, and the combination of Fe-N bonds accelerates the cycle of Fe3+/Fe2+ and promotes the formation of •OH, thereby accelerating the degradation of target pollutants. •O2− can reduce Fe3+ to Fe2+, Fe2+ reacts with H2O2 to produce •OH, which promotes degradation, and •O2− itself also plays a role in degradation. In addition, under the optimal experimental conditions obtained by response surface experiments, the fitting degree of first-order reaction kinetics is 0.96642, and the fitting degree of second-order reaction kinetics is 0.57884. Therefore, this reaction is more in line with first-order reaction kinetics. The adsorption rate is only proportional to the concentration of Fe/g-C3N4.
1. Introduction
With the development of the economy and improvement of the living standard, the food industry is booming. The direct discharge of food industry wastewater into a water body will seriously affect the surrounding waters and organisms [1]. Dye wastewater, one of the refractory industrial wastewaters, has traditional treatment methods, including physical adsorption, physicochemical, chemical, biochemical, and electrochemical methods [2,3,4]. Among them, brilliant blue, as an edible blue pigment, is widely used in food dyeing. Brilliant blue is a synthetic pigment, belonging to azo-compounds and persistent and refractory organic matter. Brilliant blue cannot be fully utilized in the processing process, and the unused part enters the wastewater, which makes the wastewater contain a large amount of organic matter. If the wastewater is discharged into the water without treatment, it will pose a threat to the aquatic ecosystem [5]; it will seriously affect the receiving water and cause the water to change color. In addition, brilliant blue has similar characteristics to printing and dyeing wastewater, such as a deep chroma, large water volume, large proportion of organic pollutants, large fluctuation of water quality and water volume, etc. [6].
With the increasing water pollution problem, semiconductor photocatalytic technology has received more and more attention, especially for the degradation of environmental pollution wastewater and water decomposition to produce hydrogen. In these applications, how to prepare an excellent semiconductor photocatalyst and how to effectively utilize abundant visible light have become the main problems (ZnO [7], CdS [8], TiO2 [9], Ag3PO4 [10], g-C3N4 [11], etc., have been successfully developed). Among them, traditional metal oxide semiconductors and metal sulfide semiconductors have defects, such as low quantum efficiency or poor stability. Therefore, the catalytic effect is not ideal. Graphite carbon nitride (g-C3N4) has a layered structure, is a non-metallic polymer, and has good stability, strong chemical inertness, and excellent photoelectric properties and visible light response. And with the advantages of environmental protection, it has successfully replaced traditional semiconductor materials due to its low cost [12]. In recent years, g-C3N4 has been widely used in photocatalytic degradation of organic pollutants, photolysis of water, and CO2 reduction. However, the photocatalytic effect of pure g-C3N4 is still not ideal, which is caused by insufficient light absorption, small specific surface area, and rapid recombination of photogenerated electron–hole pairs. In order to overcome the problems of g-C3N4, many methods such as metal doping [13], non-metal doping [14], defect engineering [15], morphology adjustment [16], and construction of heterojunction [17] have been used to improve its photocatalytic performance.
Fe-doped g-C3N4 was prepared by thermal polycondensation and used to degrade pollutants in water under simulated sunlight [18], Figure 1 introduces the photocatalytic mechanism. Brilliant blue was used as the target pollutant to evaluate the photocatalytic activity of the Fe/g-C3N4 catalyst. Compared with carbon nitride, iron-doped carbon nitride has the advantages of accurately adjusting catalytic performance and optimizing electronic structure, optimizing the shortcomings of pure carbon nitride, such as a narrow visible light response range and easy recombination of current-carrying electrons. The influencing factors of the Fe/g-C3N4 catalyst for degradation of brilliant blue were studied, and the reusability and stability of the catalyst were investigated (for information on the specific experimental design, refer to Figure S1). The experimental design and optimization were carried out by response surface methodology (RSM) and Box–Behnken design (BBD). The degradation mechanism and pathway of brilliant blue were studied, and the effect of inorganic ions on the degradation of brilliant blue was considered.
Figure 1.
Photocatalytic reaction mechanism diagram [19].
2. Experimental
2.1. Materials
The 500 w long-arc xenon lamp was purchased from Nubit Technology (Beijing, China). Brilliant blue, ferric chloride hexahydrate, and disodium EDTA were purchased from Debang Chemical (Shanghai, China). Anhydrous ethanol, sodium bicarbonate, sodium dihydrogen phosphate, and sodium hydroxide were purchased from Xintai Yi Technology (Tianjin, China). Urea, 30% hydrogen peroxide, magnesium sulfate, manganese sulfate, copper sulfate, and sodium chloride were purchased from Zhiyuan Chemical Reagent (Tianjin, China). Ammonium bicarbonate, hydrochloric acid, and anhydrous sodium carbonate were purchased from Da Mao Chemical Reagent Factory (Tianjin, China). Isopropanol and p-benzoquinone were purchased from National Pharmaceutical Group Chemical Reagents. The water used in the experiment was deionized water.
2.2. Preparation of Fe/g-C3N4
The Fe/g-C3N4 composite visible light catalyst was prepared by the thermal polycondensation method. A total of 20 g of urea was dissolved in deionized water, and then FeCl3·6H2O was added in different proportions. After magnetic stirring, it was put into an 80 °C water bath and stirred at high speed until the water was removed. Then, it was dried in oven at 80 °C for 3h. The dried mixture was evenly ground, placed into a crucible, wrapped with tin paper, placed into a muffle furnace, calcined, heated from 20 °C to a set temperature under air condition (preserving the temperature at the set temperature for 4 h), cooled, and taken out, and the obtained product was ground into powder, obtaining x wt%Fe/g-C3N4 photocatalyst with different Fe doping amounts (see Figure S2 for the preparation flow chart), wherein x represents an Fe-doped mass ratio (x = 0, 5%, 7.5%, 10%, 12.5%, 15%, 17.5%, and 20%).
2.3. Characterization
We used an X-ray diffractometer (XRD, D/max-rB, Rigaku, Tokyo, Japan) and scanning electron microscope (SEM, Sigma500, Zeiss, Oberkochen, Germany). The kinds and contents of elements in the micro-region of the catalyst were analyzed by EDS and X-ray photoelectron spectroscopy (XPS, ESCALAB250, ThermoVG Company, Waltham, MA, USA). The chemical composition, valence distribution, and element content of the sample surface were determined by a Fourier transform infrared spectrometer (Spectrum100, PerkinElmer, Shelton, CT, USA). A surface area and porosity analyzer (BET, ASAP2460, McMurray Instrument Co., Ltd., Shanghai, China) was used to analyze the pore distribution and specific surface area of the catalyst. The solid UV–Vis diffuse reflectance spectra of the catalysts were measured using a UV–Vis DRS spectrophotometer (UV–Vis DRS, Lambda950, PerkinElmer Company, CT, USA) to determine their spectral response range.
2.4. Experimental Procedures
Sunlight was simulated using a 500 W xenon lamp with a brightness of approximately 37,000 cd/cm2 and a radiation intensity of 6230 mW/sr in the wavelength range of 350–450 nm. A photocatalytic reactor consisting of a jacketed quartz tube and a magnetic stirrer was used to study the photocatalytic degradation of brilliant blue in a Fenton-like system with g-C3N4, Fe/g-C3N4 and H2O2. The photocatalytic degradation of brilliant blue was investigated in this reactor. The reaction solution was adjusted to the desired pH with HCl and NaOH, and the brilliant blue solution was diluted with water. The volume of brilliant blue solution was specified as 250 mL, the initial dye concentration was 40 mg/L in the quartz reactor, and 0.25 g g-C3N4 or Fe/g-C3N4 catalyst was added. The mixed suspension reacted in the dark for 30 min, and when the adsorption equilibrium was reached, a certain amount of H2O2 was added to carry out the photocatalytic degradation reaction while turning on the xenon lamp. A total of 2–3 mL of the solution was taken at regular intervals and filtered with a 0.22 μm filter membrane, and the absorbance change in the solution before and after degradation was measured with an ultraviolet spectrophotometer at 630 nm wavelength. After completion of the reaction, the catalyst was recycled and repeated. Figure S3 shows the stability of the catalyst.
3. Results and Discussion
3.1. Characterizations of Fe/g-C3N4
3.1.1. Crystal Structure Analysis
The X-ray diffraction spectrum results of g-C3N4 and 15 wt% Fe/g-C3N4 are shown in Figure 2. It can be seen in the figure that diffraction peaks can be observed near 13.4 °C and 27.4 °C for g-C3N4 and 15 wt% Fe/g-C3N4, corresponding to the (100) and (002) crystal planes of g-C3N4, respectively, but compared with pure g-C3N4, the diffraction peak intensity of 15 wt% Fe/g-C3N4 is greatly weakened, and the diffraction peak shifts slightly to a large angle. The results indicate that Fe doping does not change the crystal structure of g-C3N4 but inhibits the growth of g-C3N4. Fe doping changes the C/N ratio during the thermal polycondensation process, which leads to different degrees of polycondensation reflected and further leads to smaller crystal plane spacing of g-C3N4, thus increasing the specific surface area of the crystal and improving the photocatalytic activity. Iron doping in g-C3N4 can significantly change the lattice spacing, and the lattice spacing is optimal at 15 wt% [20,21]. Figure 2 shows no characteristic peaks of iron-containing substances, which may be due to too little iron doping or iron ions doped into the framework of g-C3N4 by Fe–N bonds in metalloporphyrins or metallophthalocyanines, which is basically consistent with literature reports [22,23].
Figure 2.
XDR diagram of g-C3N4 and 15 wt% Fe/g-C3N4.
3.1.2. Microtopography Analysis
The catalyst was characterized by scanning electron microscopy (SEM), and the morphology of the sample was studied. Figure 3a shows the typical graphite layered structure of g-C3N4, indicating that the material prepared in the experiment is graphite carbon nitride. Figure 3b shows the SEM image of 15 wt% Fe/g-C3N4. Fe doping improves the dispersibility of g-C3N4, and a porous structure appears on the surface of the sample. It can be seen that Fe doping makes the microstructure of carbon nitride change greatly. The elemental composition of the 15 wt% Fe/g-C3N4 photocatalyst sample was analyzed by EDS. The results are shown in Figure 3c. The results show that the prepared 15 wt% Fe/g-C3N4 photocatalyst contains 34.5% C, 34.5% N, 13.2% O, and 17.8% Fe. It is shown that the surface or lattice of Fe-doped graphitic carbon nitride is observed, which accords with the XRD pattern.
Figure 3.
SEM characterization of the catalyst (a) g-C3N4; (b) 15% Fe/g-C3N4; (c) EDS energy spectrum of 15 wt% Fe/g-C3N4.
3.1.3. Chemical State
Fe/g-C3N4 was further investigated by XPS characterization. Since no obvious Fe-related characteristic peaks were detected in the previous characterization of the 15 wt% Fe/g-C3N4 catalyst, the surface state of the g-C3N4 and 15 wt% Fe/g-C3N4 catalysts was further analyzed by XPS, and the doping state of Fe was determined. Figure 4 shows the XPS spectra of C1s (a), N1s (b), and Fe2p (c) levels of the g-C3N4 and 15 wt% Fe/g-C3N4 catalysts. From the full spectrum analysis shown in Figure 4d, it can be seen that the surface of 15 wt% Fe/g-C3N4 contains C, N, O, Fe, and other elements, which is consistent with the results of the EDS spectrum, where O comes from oxygen adsorbed in the air of the sample and the lower peak of Fe is due to the relatively small doping amount of iron. Figure 4a shows the XPS spectra of C1s for g-C3N4 and 15 wt% Fe/g-C3N4, divided into three characteristic peaks with binding energies of 284.7 eV, 285.8 eV, and 288.5 eV, corresponding to the C–C bond, C–N bond, and N=C–N bond, respectively. Figure 4b shows the XPS spectra of N1s of g-C3N4 and 15 wt% Fe/g-C3N4, which are divided into three characteristic peaks, with binding energies of 398.8 eV, 399.7 eV, and 401.1 eV, corresponding to the N=C–N bond, N–C3 bond, and N–C bond, respectively. The binding energy of the peak corresponding to the N–C bond of 15 wt% Fe/g-C3N4 is 400.7 eV. This is basically consistent with the conclusions in relevant reports of graphitic carbon nitride materials. Figure 4c is the XPS spectrum of Fe2p. The binding energies corresponding to the two typical peaks are 711.38 eV and 724.93 eV, which proves the existence of Fe, which means that Fe has been successfully doped into the layered structure of g-C3N4. Moreover, relevant literature shows that the binding energy of Fe3+ and N forming the Fe–N bond is 711.8 eV, which is very similar to the binding energy of the Fe2p energy level in the 15 wt% Fe/g-C3N4 catalyst, indicating that Fe exists in the form of the Fe–N bond in the 15 wt% Fe/g-C3N4 catalyst.
Figure 4.
XPS spectra of g-C3N4 and 15 wt% Fe/g-C3N4 (a) C1s; (b) N1s; (c) Fe 2P; (d) full spectrum analysis.
The infrared spectra of g-C3N4 and 15 wt% Fe/g-C3N4 are shown in Figure 5, which shows that the absorption peaks are concentrated in three regions, 808, 1220–1660, and 3000–3500 cm−1, which is consistent with the literature reports. The absorption peak position of 15 wt% Fe/g-C3N4 is basically consistent with g-C3N4, indicating that the doping of iron does not change the skeleton structure of g-C3N4. The absorption peak near 808 cm−1 corresponds to the bending vibration peak of triazine cyclic compounds, the absorption peak at 1220–1660 cm−1 corresponds to the stretching vibration peak of the aromatic C–N bond, and the absorption peak at 3000–3500 cm−1 corresponds to the stretching vibration peak of the N–H bond, which indicates that the condensation of products obtained by heating urea directly is incomplete, and there is a N–H bond at the edge of the layered structure. This may be due to the fact that Fe doping weakens the stretching vibration of the C–N bond, and water adsorbed on the surface of the material also affects it. No iron-related absorption peaks (e.g., iron, iron oxide, iron nitride, iron carbide, etc.) are detected, which may be due to the relatively small amounts of iron doping or iron ions doped into the framework of g-C3N4 in the form of Fe–N bonds in metalloporphyrins or metallophthalocyanines.
Figure 5.
Infrared spectra of g-C3N4 and 15% Fe/g-C3N4.
3.1.4. Specific Surface Area
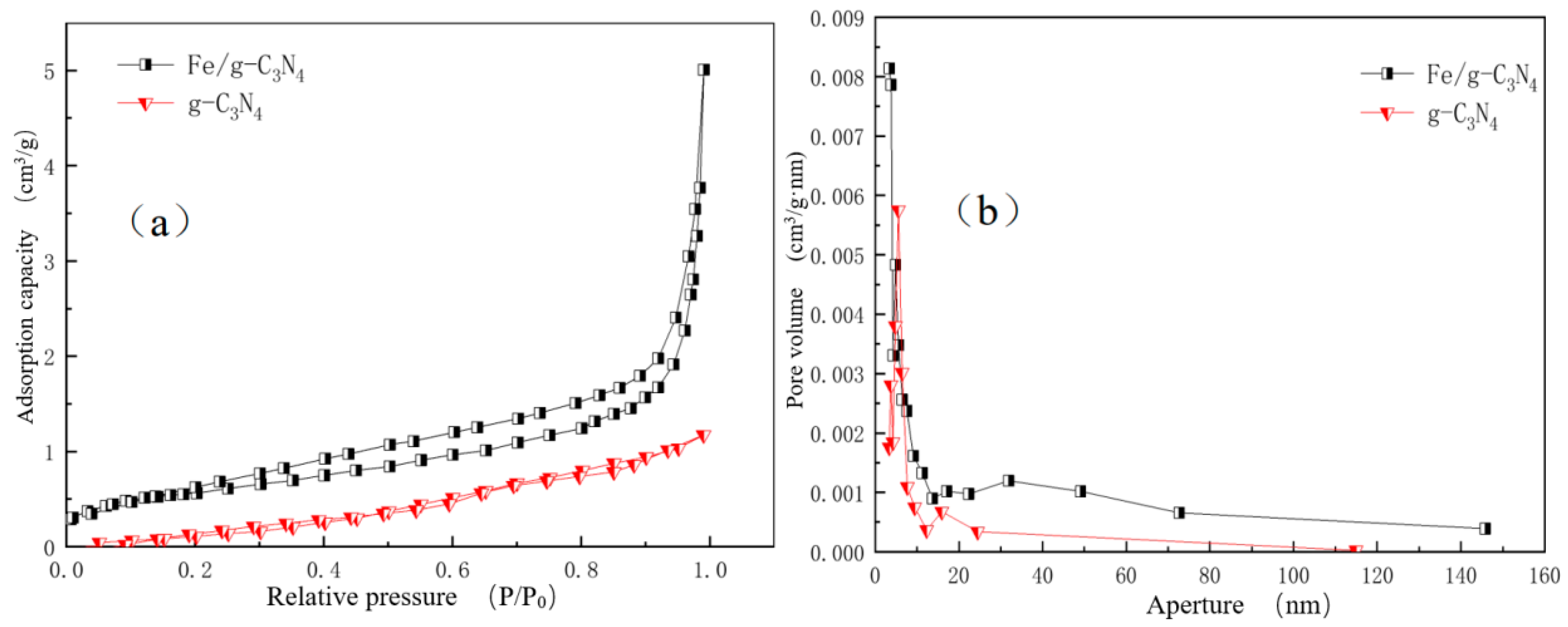
The BET method was used to analyze the specific surface area and pore size of the catalyst. The results are shown in Figure 6. It can be seen in Figure 6a that the N2 adsorption–desorption isotherms of the g-C3N4 and 15 wt% Fe/g-C3N4 samples all show IV type curves, indicating that the catalysts all have a mesoporous structure. The BET model analysis shows that the specific surface area of g-C3N4 and 15 wt% Fe/g-C3N4 is 10.339 m2/g and 38.870 m2/g, respectively. The pore size distribution of the g-C3N4 and 15 wt% Fe/g-C3N4 catalysts was analyzed by the BJH method. The average pore size and pore volume of the g-C3N4 and 15 wt% Fe/g-C3N4 catalysts were 10.953 nm and 15.7869 nm and 0.032 cm3/g and 0.145 cm3/g, respectively. A higher specific surface area could improve the adsorption capacity of the catalysts, expose more active sites, and enhance catalytic activity. Therefore, compared with pure g-C3N4, 15 wt% Fe/g-C3N4 has a larger specific surface area, pore size, and pore volume and higher catalytic activity.
Figure 6.
Adsorption/desorption curves of g-C3N4 and 15%Fe/g-C3N4 (a); N2 and pore size distribution curves of g-C3N4 and 15%Fe/g-C3N4 (b).
3.1.5. UV–Visible Light Analysis of Solids
The UV–visible diffuse reflectance spectra of g-C3N4 and 15 wt% Fe/g-C3N4 are shown in Figure 7. It can be seen that, compared with g-C3N4, the absorption wavelength of 15 wt% Fe/g-C3N4 shifts to the long wave direction, i.e., a red shift occurs, which enhances its response to visible light. The 15 wt% Fe/g-C3N4 photocatalyst has strong absorption of light in a wide range of 220 nm–780 nm, i.e., absorption in the ultraviolet and visible light regions. In addition, the absorption thresholds of g-C3N4 and 15 wt% Fe/g-C3N4 are 444.7 nm and 884.2 nm, respectively, and the band gaps of g-C3N4 and 15 wt% Fe/g-C3N4 are calculated to be 2.79 eV and 1.4 eV, respectively, indicating that Fe doping can effectively reduce the band gap energy of g-C3N4 and narrow the band gap. According to the energy level theory, the doping of iron forms impurity energy levels in the g-C3N4 forbidden band. By absorbing photons with low energy, electrons can realize energy level transition and then absorb photons with a longer wavelength, greatly expanding their visible light response range and improving the utilization rate of visible light.
Figure 7.
UV–Vis DRS for g-C3N4 and 15 wt% Fe/g-C3N4.
3.2. Analysis of the Influence of Multiple Factors on the Degradation of Brilliant Blue
3.2.1. Effect of Synthetic Reaction Factors on Degradation of Brilliant Blue
The effect of Fe/g-C3N4 synthesis conditions on the degradation efficiency of the brilliant blue pollutant was investigated and compared through experiments. As shown in Figure 8a, the degradation efficiency of brilliant blue was 87.1% under the condition of “light +15 wt% Fe/g-C3N4 + H2O2”, which means that the degradation efficiency of brilliant blue was greatly improved compared with other treatment processes, which was due to the doping of Fe to promote the production of •OH and accelerate the oxidation degradation of brilliant blue. This indicates that Fe/g-C3N4 has an obvious catalytic effect on the degradation of brilliant blue in the photo-assisted Fenton reaction system. As shown in Figure 8b, keeping other conditions unchanged, changing the mass ratio of Fe doping (5%, 7.5%, 10%, 12.5%, 15%, 17.5%, and 20%, respectively), a series of xwt%Fe/g-C3N4 photocatalysts were prepared. The results show that the degradation efficiency of the 15 wt% Fe/g-C3N4 composite photocatalyst is the highest, and the degradation efficiency is 87.1% under visible light for 60 min, which may be due to the optimal Fe content ratio, specific surface area, and pore volume of 15 wt% Fe/g-C3N4, which is similar to other literature [24,25].
Figure 8.
(a) The effect of different reaction systems on degradation efficiency. The influence of synthesis factors on degradation efficiency: (b) Fe doping quality, (c) calcination temperature, and (d) calcination time.
At the same time, the influence of synthesis temperature on degradation efficiency was investigated, as shown in Figure 8c, by changing the calcination temperature A series of Fe/g-C3N4 photocatalysts were prepared at 350 °C, 450 °C, 550 °C, and 650 °C. The results showed that the best degradation efficiency of PNP was obtained when the calcination temperature was 450 °C, and the degradation efficiency was about 85% under visible light for 60 min. This may be due to the increase in the C/N ratio, the decrease in the band gap, and the increase in the optical absorption range of g-C3N4 with the increase in temperature. However, when the temperature is too high, the band gap is too narrow, which will lead to easy recombination of photo-generated electron and hole pairs, and the utilization rate of photon is low, resulting in the reduction in degradation efficiency. Therefore, 450 °C is selected as the optimal calcination temperature. Considering the time factor, as shown in Figure 8d, the calcination temperature is maintained at 450 °C, exposure to the xenon lamp is for 60 min, and the calcination time is changed. A series of Fe/g-C3N4 photocatalysts were prepared (2 h, 3 h, 4 h, and 5 h, respectively). The degradation efficiency was about 89% under a calcination time of 4h, and the degradation rate was faster. This may be due to the increase in specific surface area and pore volume of g-C3N4 with the increase in calcination time, the increase in active points of the catalyst, and the increase in the degradation reaction rate and degree, which is similar to other literature [26]. However, if the calcination time is too long, the photocatalytic ability of g-C3N4 decreases, and the rate becomes slower, which may be because, with the excessive increase in calcination time, the brittle and thin parts in the pores may collapse and fracture, and some parts may decompose due to the high temperature. The whole material becomes dense, the specific surface area and pore volume become smaller, the active point of the catalyst decreases, and the degradation reaction rate and degree become smaller [27].
3.2.2. Interaction Analysis of Factors
According to the BBD experimental design principle and combined with the process optimization experimental results, the horizontal response surface analysis of four factors and three levels was carried out. See Table S1 for the experimental design and Table S2 for the results of the response surface optimization brilliant blue degradation rate. We used Designexpert8.0.6 data analysis software to carry out multivariate regression fitting on the experimental data. We set H2O2, catalyst dosage, substrate concentration, and pH value as A, B, C, and D, respectively. We took the brilliant blue wastewater degradation rate as the response value to carry out multivariate regression fitting. The regression model coefficients and significance test results are shown in Table S3, and a quadratic multinomial regression model was obtained: Y = 86.00 + 3.58A + 2.98B − 11.46C − 14.15D − 0.38AB+3.60AC − 0.25AD − 0.58BC + 2.25BD − 1.50CD − 7.70A2 − 8.42B2 − 5.10C2 − 5.04D2.
The shape of the response surface curve and contour plot was examined to analyze the effects of H2O2 dosage, catalyst dosage, substrate concentration, and pH value on the degradation efficiency of brilliant blue. The steeper the slope of the response surface curve, the more obvious was the interaction between them. The effects of H2O2 dosage (A), catalyst dosage (B), substrate concentration (C), and pH value (D) on the degradation efficiency of brilliant blue are shown in Figure 9a–f.

Figure 9.
Response surface plot and contour plot: (a) H2O2 dosage and catalyst dosage, (b) H2O2 dosage and substrate concentration, (c) H2O2 dosage and pH value, (d) Catalyst dosage and substrate concentration, (e) Catalyst dosage and pH value, (f) Substrate concentration and pH value.
The effect of the interaction between H2O2 dosage and catalyst dosage on the degradation efficiency of brilliant blue is shown in Figure 9a. With the increase in H2O2 dosage, the change slope of the degradation efficiency of brilliant blue in the AB interaction curve increases first and then decreases slowly, and increases first and then decreases with the increase in catalyst dosage. In addition, the change in the degradation efficiency of brilliant blue with H2O2 dosage is steeper than that with catalyst dosage, indicating that H2O2 dosage has a greater effect on the degradation efficiency of brilliant blue than catalyst dosage. The AB contour plots are elliptical, indicating that they have a certain interaction with each other [28].
The effect of the interaction between H2O2 dosage and substrate concentration on the degradation efficiency of brilliant blue is shown in Figure 9b. With the increase in H2O2 dosage, the change slope of the degradation efficiency of brilliant blue in the AC interaction curve increases first and then decreases slowly, and increases with the increase in substrate concentration, and the change in degradation efficiency of brilliant blue with substrate concentration is steeper than that with H2O2 dosage, indicating that the effect of substrate concentration on the degradation efficiency of brilliant blue is greater than that of H2O2 dosage. The AC contour plots are elliptical, indicating that they have obvious interaction with each other [29].
The effect of the interaction between H2O2 dosage and pH value on the degradation efficiency of brilliant blue is shown in Figure 9c. With the increase in H2O2 dosage, the change slope of the degradation efficiency of brilliant blue in the AD interaction curve increases first and then decreases, and increases all the time with the increase in pH value, and the change in the degradation efficiency of brilliant blue with pH value is steeper than that with hydrogen peroxide dosage, indicating that the effect of pH value on the degradation efficiency of brilliant blue is greater than that of H2O2 dosage. The AD contour plots are rounded, indicating that their interactions are not significant [30].
The effect of the interaction between catalyst dosage and substrate concentration on the degradation efficiency of brilliant blue is shown in Figure 9d. With the increase in catalyst dosage, the degradation efficiency of brilliant blue in the BC interaction curve increases first and then decreases, and increases with the increase in substrate concentration. In addition, the degradation efficiency of brilliant blue varies more steeply with substrate concentration than with catalyst dosage, indicating that substrate concentration has a greater effect on the degradation efficiency of brilliant blue than catalyst dosage. The BC contour plots are approximately circular, indicating that their interactions are not significant [31].
The effect of the interaction between catalyst dosage and pH value on the degradation efficiency of brilliant blue is shown in Figure 9e. With the increase in catalyst dosage, the change slope of the degradation efficiency of brilliant blue in the BD interactive curve shows a slow increase and then decreases, and increases with the increase in pH value. Moreover, the change in the degradation efficiency of brilliant blue with pH value is steeper than that with catalyst dosage, indicating that the effect of pH value on the degradation efficiency of brilliant blue is greater than that of catalyst dosage. The BD contour plots are elliptical, indicating that they have some interaction with each other [32].
The effect of the interaction between substrate concentration and pH value on the degradation efficiency of brilliant blue is shown in Figure 9f. With the increase in catalyst dosage, the change slope of the degradation efficiency of brilliant blue in the CD interaction curve increases first and then decreases, and increases with the increase in pH value, and the change in the degradation efficiency of brilliant blue with pH value is steeper than that of substrate concentration, indicating that the effect of pH value on the degradation efficiency of brilliant blue is greater than that of substrate concentration. The CD contour plots are rounded, indicating that the interactions between them are not significant [33]. In order to verify the reliability of the bright blue degradation rate predicted by the fitting model, DesignExpert software was used to analyze the predicted values of the model. Figure S4 shows that the model has high accuracy and reliability in predicting the bright blue degradation rate.
According to the regression equation model, the optimal conditions predicted were as follows: H2O2 dosage 1.36 mol/L, catalyst dosage 0.99 g/L, substrate concentration 45.59 mg/L, and pH 4.34. The above conditions were corrected as H2O2 dosage of 1.4 mol/L, catalyst dosage of 1 g/L, substrate concentration of 46 mg/L, and pH value of 4.3. After three parallel experiments under this optimal condition, the actual value was compared with the predicted value as shown in Table S4. The actual brilliant blue degradation rate was 98.59%, which was not much different from the predicted brilliant blue degradation rate of 98.86%, confirming the good correlation between the predicted value and the experimental value.
3.3. Catalytic Performance of Different Degradation Processes
To verify the effect of photocatalyst dosage on the degradation efficiency of brilliant blue, as shown in Figure 10a, different amounts of photocatalyst were added (0.8 g/L, 1 g/L, 1.2 g/L). The degradation efficiency of brilliant blue increased firstly and then decreased with the increase in catalyst dosage; when the catalyst dosage was 1 g/L, the degradation efficiency was the highest at 87.1%, and as the catalyst dosage continued to increase, the degradation efficiency of brilliant blue decreased. This may be because, under xenon lamp irradiation, photogenerated electrons and holes on the catalyst surface promote the generation of •OH, thus promoting the oxidation degradation of brilliant blue. However, when the catalyst dosage is too large, the solution will become more turbid, thus affecting the light absorption and reducing the photocatalytic efficiency, which is basically consistent with other documents [34]. At the same time, other factors are discussed. From Figure 10b, it can be seen that H2O2 in a certain concentration range has a degradation effect on brilliant blue under xenon lamp irradiation for 30 min. With the increase in H2O2 concentration, the degradation efficiency of brilliant blue increases, and when H2O2 reaches 1.4 mmol/L, the degradation efficiency is the highest at 87.1%. If the concentration of H2O2 continues to increase, the degradation efficiency of brilliant blue decreases. This may be because, under xenon lamp irradiation, H2O2 decomposes into strong oxidizing •OH, which can promote the oxidative degradation of brilliant blue. However, when the H2O2 concentration is too high, H2O2 will react with •OH to generate other products, thus affecting the degradation of brilliant blue [35].
Figure 10.
Influence of environmental factors on the degradation efficiency of brilliant blue: (a) catalyst dosage; (b) H2O2 concentration; (c) target concentration; (d) pH value.
As shown in Figure 10c, under the same control variables, the degradation efficiency of brilliant blue gradually decreases with the increase in brilliant blue concentration. When the concentration is 40 mg/L, the degradation efficiency is 92.3%; when the concentration is 80 mg/L, the degradation efficiency decreases to 71.2%. This may be because, with the increase in brilliant blue concentration, the amount of brilliant blue per unit volume increases, and the amount of brilliant blue involved in the photocatalytic reaction increases. However, under a certain amount of catalyst, the amount of brilliant blue effectively degraded by the photocatalytic reaction is less than that added to the solution, so the greater the concentration of brilliant blue added, the lower the degradation efficiency is [36]. The effect of pH value on the degradation of brilliant blue can be seen in Figure 10d. With the increase in pH value, the degradation efficiency of brilliant blue gradually decreases. When the pH value is 4, the degradation efficiency reaches 94.8%; when the pH value is 10, the degradation efficiency decreases to 60.9%. This may be because Fe3+ is not easy to hydrolyze into precipitation under acidic conditions but exists in the form of ions, which improves the utilization of •OH, and H+ can promote the decomposition of H2O2, which is conducive to the formation of •OH and promotes the degradation efficiency of brilliant blue in solution. In addition, as an acid dye, brilliant blue has a negative charge, which is beneficial to the absorption of brilliant blue by the catalyst and promotes the oxidation degradation of brilliant blue under acidic conditions, while it is unfavorable to the adsorption and reaction of brilliant blue by the catalyst under neutral or alkaline conditions. Therefore, when the pH ≥ 7, the degradation conducive of brilliant blue decreases gradually with the increase in pH. Göktaş [37] studied the synergistic effect of pH value (4–11) and different light sources (ultraviolet lamp, LED lamp, sunlight, halogen lamp) on the photocatalytic degradation of methylene blue, and for the first time, the photocatalytic degradation of methylene blue under different photocatalytic activity light irradiation was studied comprehensively, which confirmed the influence of pH value on the photodegradation of pollutants.
In the actual dye wastewater, there are also a large number of soluble inorganic ions. These inorganic ions have different effects on the degradation effect of wastewater through different action mechanisms, which is also directly related to the practical application of this technology [38]. It can be seen in Figure 11a that, without the addition of Cu2+, the degradation efficiency of brilliant blue is 87.1%. When the concentration of Cu2+ added is 5 mg/L, the degradation efficiency of brilliant blue is reduced to 55.3%, and as the concentration of Cu2+ increases, the degradation efficiency of brilliant blue gradually decreases. Cu2+ obviously inhibited the photo-Fenton degradation effect, which may be due to the instability of H2O; Cu2+ catalyzed the decomposition of H2O2 into H2O and O2, resulting in the reduction in the amount of H2O2 produced by the reaction with Fe2+; and the higher the Cu2+ concentration, the more H2O2 was consumed ineffectively and the lower the utilization rate of H2O2, resulting in the continuous reduction in the amount of •OH and finally reducing the degradation efficiency of brilliant blue. As can be seen in Figure 11b, in the case where Mg2+ is not added, the degradation efficiency of brilliant blue is 87.1%, and when Mg2+ is added at a concentration of 10 mg/L, the degradation efficiency of brilliant blue decreases to 80.2%;, with the increase in Mg2+ concentration, the degradation efficiency of brilliant blue decreases, but the decrease is very small. Even if the Mg2+ concentration increases to 150mg/L, the degradation efficiency can still reach 76.7%. This indicates that Mg2+ has little effect on the photocatalytic degradation efficiency of brilliant blue, which may be because Mg2+ is in the highest oxidation state in the system, has no variable valence state, has no ability to capture free radicals and holes, and has little effect on the photocatalytic performance. As can be seen in Figure 11c, the degradation efficiency of brilliant blue was 87.1% without Mn2+ addition and decreased to 83.6% when Mg2+ was added at a concentration of 5 mg/L, and the degradation efficiency of brilliant blue decreased with increasing Mn2+ concentration and decreased to 69.1% when the Mn2+ concentration increased to 15 mg/L. It is suggested that Mn2+ has some influence on the degradation efficiency of brilliant blue by photo-Fenton, which may be due to the catalytic decomposition of Mn2+ on H2O2, resulting in the decrease in •OH produced by H2O2 participating in the photocatalytic reaction, resulting in the degradation effect of brilliant blue decreasing. As can be seen in Figure 11d, the degradation efficiency of brilliant blue was 87.1% without Cl− addition, decreased to 82.9% when the Cl− concentration was 10 mg/L, and decreased with Cl− concentration increasing, and decreased to 58% when the Cl− concentration increased to 150 mg/L. It is suggested that Cl− has a certain influence on the degradation efficiency of brilliant blue by photo-Fenton, which may be due to the complex reaction between Cl− and Fe3+, which leads to the decrease in Fe3+ reacting with H2O2 and the decrease in •OH yield, and Cl− has a scavenging effect on •OH, which reduces the combination of brilliant blue and •OH, thus leading to the decrease in degradation efficiency of brilliant blue.

Figure 11.
The influence of different inorganic ions on the degradation efficiency of brilliant blue: (a) Cu2+; (b) Mg2+; (c) Mn2+; (d) Cl−; (e) CO32−; (f) HCO3−; (g) H2PO4−.
It can be seen in Figure 11e,f that the degradation efficiency of brilliant blue is 87.1% without the addition of CO32− and HCO3−. When the concentration of CO32− is 5 mg/L, the degradation efficiency of brilliant blue is greatly reduced to 13.4%, and with the increase in CO32− concentration, the degradation efficiency of brilliant blue decreases. When the concentration of CO32− increases to 15 mg/L, the degradation efficiency decreases to 8.3%. When the concentration of HCO3− was 5 mg/L, the degradation efficiency of brilliant blue decreased to 20%, and with the increase in HCO3− concentration, the degradation efficiency of brilliant blue decreased to 8.1% when the concentration of HCO3− was 15 mg/L. CO32− and HCO3− have a great influence on the degradation efficiency of brilliant blue, which may be because CO32− and HCO3− compete with brilliant blue for •OH, which leads to the decrease in •OH participating in the photocatalytic reaction and the decrease in the degradation efficiency of brilliant blue. When the pH of the solution is 3, the carbonate in the water mainly exists in the form of H2CO3, and CO32− and HCO3− are few, so the opportunity of capturing •OH decreases. In addition, Na2CO3 and NaHCO3 belong to strong base and weak acid salts, and the alkalinity of the solution will increase greatly after adding them; thus, the efficiency of the Fenton-like reaction will decrease greatly. Therefore, in the actual wastewater treatment, the influence of CO32− and HCO3− on the degradation efficiency of brilliant blue can be eliminated or reduced by controlling the pH of the reaction system, and the efficiency of the photo-Fenton reaction can also be greatly improved under acidic conditions. CO32− and HCO3− react with •OH respectively:
•OH + CO32−→OH− + •CO3−
•OH + HCO3−→H2O + •CO3−
As can be seen in Figure 11g, the degradation efficiency of brilliant blue is 87.1% without adding H2PO4−. When the concentration of H2PO4− is 10 mg/L, the degradation efficiency of brilliant blue decreases to 51.9%. With the increase in H2PO4− concentration, the degradation efficiency of brilliant blue decreases. When the concentration of H2PO4− increases to 150 mg/L, the degradation efficiency decreases to 40.1%. It is suggested that H2PO4− has a great influence on the degradation efficiency of brilliant blue, which may be due to the strong complexation between H2PO4− and Fe2+ and Fe3+, resulting in the great inhibition of the decomposition of H2O2, thus greatly reducing the amount of •OH participating in the photocatalytic reaction, resulting in the reduction in the degradation efficiency of brilliant blue. Therefore, in the actual wastewater treatment, if there is a large amount of H2PO4−, a proper amount of Fe3+ masking agent can be added in advance to eliminate the degradation effect of H2PO4− on brilliant blue.
3.4. Photocatalytic Degradation Mechanism of Brilliant Blue
3.4.1. Optical Property Analysis
When 15% Fe/g-C3N4 and H2O2 were added into the reaction system, H2O2 combined with Fe2+ in Fe/g-C3N4 to generate a large amount of •OH and Fe3+, and •OH oxidized and degraded the target pollutants on the catalyst surface, thus generating CO2 and H2O. Moreover, the combination of the Fe–N bond accelerated the cycle of Fe3+/Fe2+, promoted the regeneration of Fe2+, and generated more •OH, which accelerated the degradation of the target pollutants. H2O2 decomposes into O2 and H2O, where O2 receives e-, which generates •O2− after the reaction, •O2− can reduce Fe3+ to Fe2+, Fe2+ reacts with H2O2 to generate •OH, and •O2− itself also plays a role in degradation [39]. The reaction mechanism diagram is shown in Figure 12.
Figure 12.
Degradation mechanism of the photocatalysis Fenton-like system with Fe/g-C3N4 [40,41].
3.4.2. Analysis of Photocatalytic Degradation Pathway of Brilliant Blue
Brilliant blue is metallic luster particles or a powder, odorless, light, heat resistant, and soluble in water and ethanol. It is cyan when in weak acid, yellow when in strong acid, and purple when boiled and in alkali. The photodegradation pathway of the dye brilliant blue mainly refers to its light A process of chemical structure decomposition under the action of light (especially ultraviolet or visible light) [42]; Figure 13 shows the photolysis of brilliant blue, direct photolysis (the breaking of chemical bonds in the excited state of the brilliant blue molecule itself, such as azo bond, benzene ring structure, etc.); and indirect photolysis (excited state brilliant blue reacts with oxygen (O2) in the environment to generate superoxide radicals (•O2−), hydroxyl radicals (•OH), and other strong oxidizing species, which attack the molecular structure). This process has important implications for environmental remediation (e.g., dye wastewater treatment) and photocatalytic research [43].
Figure 13.
Brilliant blue light degradation products [44].
4. Conclusions
In this study, g-C3N4 and Fe-doped g-C3N4 (Fe/g-C3N4) photocatalysts were prepared by a simple and low-cost thermal condensation polymerization method. The optimal preparation process of Fe/g-C3N4 was determined through characterization and the visible light–H2O2 synergistic degradation experiment of bright blue: calcination temperature 450 °C, calcination time 4 h, and Fe doping amount 15 wt%. Characterization confirmed that Fe was successfully embedded in the g-C3N4 layered structure in the form of Fe–N bonds, significantly regulating its microscopic morphology (increasing specific surface area, pore size, and pore volume), expanding the visible light response range, and enhancing visible light absorption and photocatalytic activity by inhibiting the growth of g-C3N4 grains and reducing the interplanar spacing. The response surface method optimization obtained the optimal reaction conditions: H2O2 1.4 mol/L, catalyst 1 g/L, bright blue concentration 46 mg/L, pH = 4.3. At this time, the degradation rate of bright blue reached 98.59%, which was highly consistent with the predicted value of 98.86%, and the reaction followed the first-order kinetic model. The influence law of inorganic ions: Mg2+ has no significant effect; Cation inhibition effect: Cu2+ > Mn2+, anion inhibition effect: HCO3− > CO32− > H2PO4− > Cl−. The degradation mechanism indicates that H2O2 reacts with Fe2+ to form •OH, which efficiently oxidizes bright blue and mineralizes it into CO2 and H2O. The Fe–N bond can reduce the dissolution of Fe and accelerate the Fe3+/Fe2+ cycle. The O2 produced by the decomposition of H2O2 reacts with photogenerated e− to form •O2−, which not only reduces Fe3+ to regenerate Fe2+ but also directly participates in degradation, synergically enhancing catalytic performance.
Supplementary Materials
The following supporting information can be downloaded at: https://www.mdpi.com/article/10.3390/w17223220/s1, Figure S1. Photocatalytic reaction device diagram. Figure S2. Fe/g-C3N4 Preparation Flow Chart. Figure S3. Recycling experiment of brilliant blue degradation by 15% Fe/g-C3N4 photocatalyst. Figure S4. Prediction value analysis diagram of the model (a) Normal distribution diagramof internal residual (b) Relationship between predicted value and residual (c) Relationship between test value andpredicted value. Figure S5. Reaction kinetics (a) first-order reaction kinetics (b) second-order reaction kinetics; Table S1. Experimental design of horizontal response surface analysis for 4 factors 3. Table S2. Experimental design and results of response surface optimization for bright blue degradationrate. Table S3. Regression analysis results of bright blue degradation rate model and regressioncoefficient. Table S4. Comparison between actual and predicted values.
Author Contributions
Methodology, H.L.; Software, H.L.; Investigation, G.Z.; Data curation, H.L. and H.J.; Writing—original draft, H.L.; Writing—review & editing, R.S. and C.Y.; Supervision, R.S., G.Z. and C.Y.; Funding acquisition, R.S. All authors have read and agreed to the published version of the manuscript.
Funding
This work was financially supported by the National Natural Science Foundation (52370174) and High-tech Venture Capital Co., Ltd. of Hefei, China (No. HSDHX202110181).
Data Availability Statement
The data presented in this study are available in article.
Conflicts of Interest
All authors are not employed by Hefei High-Tech Venture Capital Co., Ltd. in China. The company sponsored this project, and the authors declare that the research was conducted in the absence of any commercial or financial relationships that could be construed as a potential conflict of interest. The funder was not involved in the study design, collection, analysis, interpretation of data, the writing of this article, or the decision to submit it for publication.
References
- Oliveros, E.; Legrini, O.; Hohl, M.; Müller, T.; Braun, A.M. Industrial waste water treatment: Large scale development of a light-enhanced Fenton reaction. Chem. Eng. Process. Process Intensif. 1997, 36, 397–405. [Google Scholar] [CrossRef]
- Chen, Z.; Kuate, L.J.N.; Zhang, H.; Hou, J.; Wen, H.; Lu, C.; Li, C.; Shi, W. Photothermally enabled black g-C3N4 hydrogel with integrated solar-driven evaporation and photo-degradation for efficient water purification. Sep. Purif. Technol. 2025, 355, 129751. [Google Scholar] [CrossRef]
- Alveztovar, B.; Scalize, P.S.; Albuquerque, A.; Angiolillorodríguez, G.; Ebang, M.N.; Oliveira, T.F. Agro-Industrial Waste Upcycling into Activated Carbons: A Sustainable Approach for Dye Removal and Wastewater Treatment. Sustainability 2025, 17, 2036. [Google Scholar] [CrossRef]
- Huang, J.; Lu, M.; Wei, P.; Xie, Y.; Xie, H.; Liu, M.; Li, L.; Hu, J.; Zhang, Z.; Qi, Y. Photocatalytic degradation of organic pollutants in sewage using CeO2/ZnO 3D nanoflowers. J. Environ. Chem. Eng. 2024, 12, 113074. [Google Scholar] [CrossRef]
- Ren, F.R.; Liu, X.Y.; Ji, L.L.; Lou, Z.X.; Yuan, X. The emission reduction effect of industrial wastewater in the pilot city policy of water ecological civilization. Ecol. Indic. 2024, 159, 111702. [Google Scholar] [CrossRef]
- Zcan, E.; Altun, A.; Zorlu, Y. Highly Effective Photocatalytic Removal of Astrazon Blue, Allura Red, and Brilliant Blue Dyes from Aqueous Media Using a Stable Zr(IV)-Based Metal–Organic Frameworks. ChemistrySelect 2025, 10, e202404363. [Google Scholar]
- Wang, J.; Wang, K.; Liu, H.; Deng, J.; Zhang, Z.; Liu, X.; Yang, G. Interference enhanced SPR-mediated visible-light responsive photocatalysis of periodically ordered ZnO nanorod arrays decorated with Au nanoparticles. Micro Nanostruct. 2025, 197, 208025. [Google Scholar] [CrossRef]
- Nagakawa, H. Introduction and Quantification of Sulfide Ion Defects in Highly Crystalline CdS for Photocatalysis Applications. Phys. Status Solidi A Appl. Mater. Sci. 2024, 221, 2400213. [Google Scholar] [CrossRef]
- Ding, X.; Yu, Q.; Xue, H.; Zhang, W.; Ren, H.; Geng, J. Photochemical behavior of extracellular polymeric substances in intimately coupled TiO2 photocatalysis and biodegradation system. Bioresour. Technol. 2025, 416, 131752. [Google Scholar] [CrossRef] [PubMed]
- Zou, J.; Yuan, Z.; Chang, Q.; Guo, C.; Yan, M. Dodecahedral Ag3PO4 photocatalysis and biodegradation synergistically remove phenol and generate electricity. Renew. Energy 2024, 231, 120994. [Google Scholar] [CrossRef]
- Zhang, J.; Wang, H.; Ou, Y.; Tu, H.; Zhang, Z.; Wei, C.; Xiang, X.; Bao, M. Preparation and performance of g-C3N4/g-C3N5 homojunction photocatalyst activated peroxymonosulfate for ceftriaxone sodium degradation. Diam. Relat. Mater. 2024, 148, 111402. [Google Scholar] [CrossRef]
- Yang, G.; Qin, L.; Pan, Y. Efficient charge carrier separation over carbon-rich graphitic carbon nitride for remarkably improved photocatalytic performance in emerging organic micropollutant degradation and H2 production. Sep. Purif. Technol. 2024, 329, 125230. [Google Scholar] [CrossRef]
- Si, Q.; Wang, H.; Kuang, J.; Liu, B.; Zheng, S.; Zhao, Q.; Jia, W.; Wu, Y.; Lu, H.; Wu, Q.; et al. Light and nitrogen vacancy-intensified nonradical oxidation of organic contaminant with Mn (III) doped carbon nitride in peroxymonosulfate activation. J. Hazard. Mater. 2023, 454, 131463. [Google Scholar] [CrossRef] [PubMed]
- Singh, A.K.; Tarul Bais, A.P.S.; Rosy. Electrodeposited Phosphorous-Doped Graphitic Carbon Nitride as A Versatile Metal Free Interface for Tryptophan Detection in Dietary, Nutritional, and Clinical Samples. Microchem. J. 2024, 203, 110833. [Google Scholar] [CrossRef]
- Yang, J.; Wang, H.; Jiang, L.; Yu, H.; Zhao, Y.; Chen, H.; Yuan, X.; Liang, J.; Li, H.; Wu, Z. Defective polymeric carbon nitride: Fabrications, photocatalytic applications and perspectives. Chem. Eng. J. 2022, 427, 130991. [Google Scholar] [CrossRef]
- Tuna, Ö.; Mert, H.H.; Mert, M.S.; Simsek, E.B. Tubular graphitic carbon nitride-anchored on porous diatomite for enhanced solar energy efficiency in photocatalytic remediation and energy storage performance. J. Environ. Manag. 2024, 366, 121891. [Google Scholar] [CrossRef]
- Han, R.; Yao, Y.; Fujii, T.; Iseri, Y.; Zhu, X. Establishing g-C3N4-Vn/FeIn2S4 heterostructure for in-situ H2O2 generation and activation to degrade tetracycline in photo-Fenton process under visible light. Environ. Res. 2025, 277, 121656. [Google Scholar] [CrossRef]
- Bai, Y.; Hu, X.; Tian, T.; Cai, B.; Li, Y. Carbon pre-protected iron strategy to construct Fe, C-codoped g-C3N4 for effective photodegradation of organic pollutants via hole oxidation mechanism. J. Clean. Prod. 2024, 437, 140739. [Google Scholar] [CrossRef]
- Wang, Z.; Wei, Q.; Zhang, N.; Shi, X.; Chen, M.; Huang, Y.; Cao, J.; Li, H.; Ho, W.; Lee, S. Simultaneous polarization engineering and selectivity regulation achieved using polymeric carbon nitride for promoting NOx photo-oxidation. Appl. Catal. B Environ. 2023, 330, 122582. [Google Scholar] [CrossRef]
- Yu, Q.; Zhao, Z.; Wei, Z.; Ding, M.; Li, Z.; Jia, J.; Zhou, M.; Yuan, L.; Bai, J.; Zhang, H. Enhanced photo-Fenton degradation of tetracycline using MIL-101 (Fe)/g-C3N4/FeOCl double Z-scheme heterojunction catalyst. Appl. Surf. Sci. 2025, 688, 162386. [Google Scholar] [CrossRef]
- Cheng, Q.; Liu, X.; Huang, C.; Sun, H.; Subhan, F.; Zhou, X.; Liu, Y.; Yang, J.; Li, Q.; Wang, Y.; et al. Nanoarchitectonics of MIL-101 (Fe)/g-C3N4 S-Scheme heterojunction for photocatalytic nitrogen fixation: Mechanisms and performance. Surf. Interfaces 2024, 53, 105083. [Google Scholar] [CrossRef]
- Dagar, M.; Kumar, S.; Jain, A.; Singh, M.; Kundu, V. Study of Optical and Magnetic Properties of Solvothermally Synthesized Mn/Fe/N-Doped ZnO Nanocomposite for Advanced Dye Photodegradation. Phys. Solid State 2024, 66, 77–90. [Google Scholar] [CrossRef]
- Yong, X.Y.; Ji, Y.X.; Yang, Q.W.; Li, B.; Cheng, X.; Zhou, J.; Zhang, X. Fe-doped g-C3N4 with duel active sites for ultrafast degradation of organic pollutants via visible-light-driven photo-Fenton reaction: Insight into the performance, kinetics, and mechanism. Chemosphere 2024, 351, 141135. [Google Scholar] [CrossRef]
- Shi, Z.; Li, J.; Pan, Y.; Li, X.; Zhuang, Z.; Li, Y.; Zhang, Z.; Wang, Z.; Luo, Q.; Chen, X. Fe-MOF nanoparticles supported with carbon-defective g-C3N4 nanosheet as visible-light driven photo-Fenton catalyst for efficient degradation of Tetracycline hydrochloride. Emergent Mater. 2025, 8, 4351–4369. [Google Scholar] [CrossRef]
- Bai, Y.; Zheng, H.; Shen, X.; Hu, K.; Huang, W.; Liu, J. g-C3N4 Based Composite Materials for Photo-Fenton Reaction in Water Remediation: A Review of Synthesis Methods, Mechanism and Applications. ChemCatChem 2024, 16, e202400802. [Google Scholar] [CrossRef]
- He, M.; Sun, M.; Yu, H.; Su, L. Development of a g-C3N4-based photocatalysis-self-Fenton system for efficient degradation and mineralization of organic pollutants. Sep. Purif. Technol. 2025, 367, 132833. [Google Scholar] [CrossRef]
- Feng, Y.; Liang, Y.; Ding, C.; Jiang, Y.; Jin, H.; Rong, S.; Wu, J.; He, S.; Xia, C.; Xue, L. Sustainable design of photo-Fenton-like oxidation process in actual livestock wastewater through the highly dispersed FeCl3 anchoring on a g-C3N4 substrate. Water Res. 2024, 259, 121889. [Google Scholar] [CrossRef]
- Sudhaik, A.; Raizada, P.; Singh, P.; Hosseini-Bandegharaei, A.; Thakur, V.K.; Nguyen, V. Highly effective degradation of imidacloprid by H2O2/fullerene decorated P-doped g-C3N4 photocatalyst. J. Environ. Chem. Eng. 2020, 8, 104483. [Google Scholar] [CrossRef]
- Wang, Y.; Yang, W.; Ding, K. Synergistic Ag/g–C3N4 H2O2 system for photocatalytic degradation of azo dyes. Molecules 2024, 29, 3871. [Google Scholar] [CrossRef]
- Zhu, H.; Sui, Y.; Yao, Z.; Zhao, H.; Li, M.; Zou, L.; Yang, Y.; Hao, H.; Zhang, P.; Wang, H.; et al. Enhancing H2O2 synthesis in photocatalytic self-Fenton degradation of antibiotics by modulating surface hydrophobicity of Fe-doped g-C3N4 with ionic liquids. J. Environ. Chem. Eng. 2025, 13, 116072. [Google Scholar] [CrossRef]
- Zeng, X.; Shu, S.; Wang, X.; Chen, J.; Zhang, R.; Wang, Y. Photocatalytic degradation of sulfamethazine using g-C3N4/TiO2 heterojunction photocatalyst: Performance, mechanism insight and degradation pathway. Mater. Sci. Semicond. Process. 2024, 181, 108595. [Google Scholar] [CrossRef]
- Qin, Q.; Xu, H.; Sun, S.; Zhao, Z.; Ren, X.; Li, M.; Song, B.; Shao, G.; Wang, H.; Lu, H. Facile synthesis of MgAl-LDH/g-C3N4 composites for the photocatalytic degradation toward ciprofloxacin. J. Environ. Chem. Eng. 2025, 13, 116299. [Google Scholar] [CrossRef]
- Ahmed, M.A.; Ahmed, M.A.; Mohamed, A.A. Fabrication of NiO/g-C3N4 Z-scheme heterojunction for enhanced photocatalytic degradation of methylene blue dye. Opt. Mater. 2024, 151, 115339. [Google Scholar] [CrossRef]
- Wang, Y.; Li, C.; Wang, S.; Shao, Z.; Xie, L.; Qin, Y.; Zhang, L.; Xu, K.; Chai, X. 0D/2D dual Fenton α-Fe2O3/Fe-doped g-C3N4 photocatalyst and the synergistic photo-Fenton catalytic mechanism insight. Chemosphere 2024, 358, 142158. [Google Scholar] [CrossRef]
- Zhang, Z.; Luo, P.; Gan, L.; Zhao, Y.; Wang, X.; Peng, H.; Peng, J. Efficient dual-channel photocatalytic H2O2 evolution and photocatalysis-self-Fenton process on defected carbon doped g-C3N4. Appl. Surf. Sci. 2024, 649, 159118. [Google Scholar] [CrossRef]
- Guo, Z.; Kodikara, D.; Albi, L.S.; Hatano, Y.; Chen, G.; Yoshimura, C.; Wang, J. Photodegradation of organic micropollutants in aquatic environment: Importance, factors and processes. Water Res. 2023, 231, 118236. [Google Scholar] [CrossRef] [PubMed]
- Göktaş, S. Synergic effects of pH, reaction temperature, and various light sources on the photodegradation of methylene blue without photocatalyst: A relatively high degradation efficiency. Chem. Afr. 2024, 7, 4425–4437. [Google Scholar] [CrossRef]
- Guo, H.; Yang, S.; Wang, J.; Jiang, W.; Wang, Y. Plasma coupled with ultrasonic for degradation of organic pollutants in water: Revealing the generation of free radicals and the dominant degradation pathways. Process Saf. Environ. Prot. 2024, 192, 793–802. [Google Scholar] [CrossRef]
- Permana, M.D.; Takei, T.; Khatun, A.A.; Eddy, D.R.; Saito, N.; Kumada, N. Effect of wavelength in light irradiation for Fe2+/Fe3+ redox cycle of Fe3O4/g-C3N4 in photocatalysis and photo-Fenton systems. J. Photochem. Photobiol. A Chem. 2024, 457, 115876. [Google Scholar] [CrossRef]
- Ma, J.; Yang, Q.; Wen, Y.; Liu, W. Fe-g-C3N4/graphitized mesoporous carbon composite as an effective Fenton-like catalyst in a wide pH range. Appl. Catal. B Environ. 2017, 201, 232–240. [Google Scholar] [CrossRef]
- Li, K.; Liang, Y.; Yang, H.; An, S.; Shi, H.; Song, C.; Guo, X. New insight into the mechanism of enhanced photo-Fenton reaction efficiency for Fe-doped semiconductors: A case study of Fe/g-C3N4. Catal. Today 2021, 371, 58–63. [Google Scholar] [CrossRef]
- Zhang, W.X.; Li, Z.H.; Xiao, R.S.; Wang, X.G.; Dai, H.L.; Tang, S.; Zheng, J.Z.; Yang, M.; Yuan, S.S. Real-time electrochemical monitoring sensor for pollutant degradation through galvanic cell system. Rare Met. 2025, 44, 1800–1812. [Google Scholar] [CrossRef]
- Alamzeb, M.; Faryad, S.; Ullah, I.; Hussain, J.; Setzer, N.W. Photocatalytic Degradation of Brilliant Blue Dye Under Solar Light Irradiation: An Insight Into Mechanistic, Kinetics, Mineralization and Scavenging Studies. J. Fluoresc. 2025, 1–19. [Google Scholar] [CrossRef] [PubMed]
- Azzam, M.M.; Labib, A.A.; Handal, H.T.; Mousa, H.A.; Galal, H.R.; Ibrahem, I.A.; Fawzy, M.M.; Ahmed, A.M.; Rwayhah, M.N.; Mohamed, A.A. Study of photophysical properties on recycling for solar and photo degradation process of Brilliant blue R dye and real industrial wastewater using Bentonite/TiO2 QDs. Mater. Sci. Eng. B 2025, 314, 117991. [Google Scholar] [CrossRef]
Disclaimer/Publisher’s Note: The statements, opinions and data contained in all publications are solely those of the individual author(s) and contributor(s) and not of MDPI and/or the editor(s). MDPI and/or the editor(s) disclaim responsibility for any injury to people or property resulting from any ideas, methods, instructions or products referred to in the content. |
© 2025 by the authors. Licensee MDPI, Basel, Switzerland. This article is an open access article distributed under the terms and conditions of the Creative Commons Attribution (CC BY) license (https://creativecommons.org/licenses/by/4.0/).