A Laboratory Investigation into the Effect of Coarse-Grained Layer Mixing with Fine Particles on the Water Storage Capacity of a Capillary Barrier Cover
Abstract
1. Introduction
2. Materials and Methods
2.1. Materials
2.2. Experimental Apparatus
2.3. Experiment Methods
2.4. Data Processing
3. Results and Discussion
3.1. The Influence of the Admixture Mixed into the Coarse-Grained Layer on VWC Distribution
3.2. The Influence of the Admixture Mixed into the Coarse-Grained Layer on Fine Layer Matrix Potential Distribution
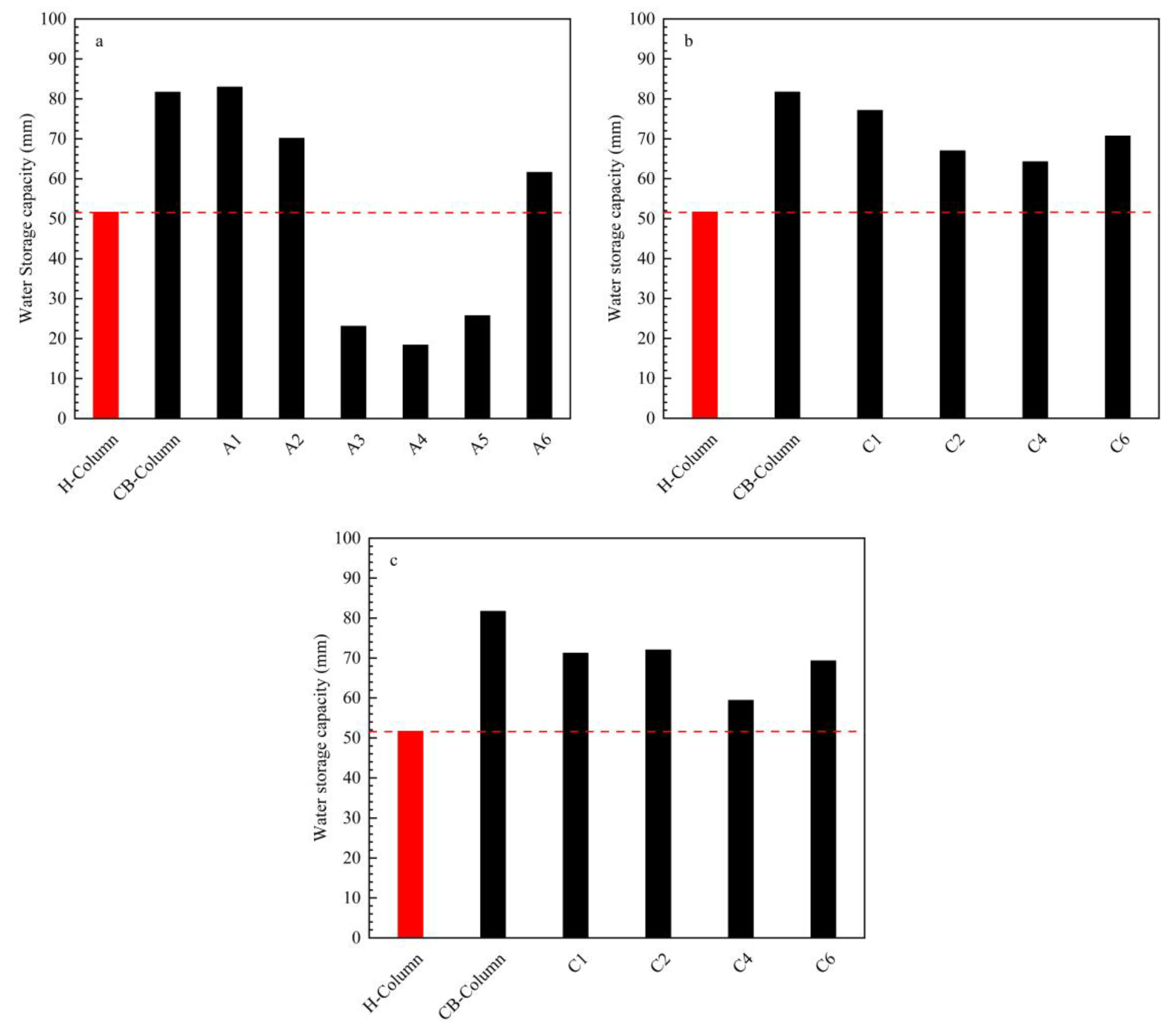
3.3. The Effect of the Admixture Mixed into the Coarse-Grained Layer on the Fine-Grained Layer’s Water Storage Capacity
3.4. Method for Judging Capillary Barrier Isolation Layer Damage
4. Conclusions
- (1)
- The fine-grained admixture particles mixed into the coarse-grained layer will reduce the CBC water storage capacity, and there is a worse admixture ratio that minimizes the water storage capacity. When the admixture particle size is finer than that of the fine-grained layer particles, the water storage capacity is smaller than that of the H-column at the worst admixture ratio, resulting in CBC effect disappearance. When the admixture particle size is equal to or coarser than that of the fine-grained layer particles, and the water storage capacity is still greater than that of the H-column at the worst admixture ratio, the CBC effect still exists.
- (2)
- The capillary barrier effect range is limited. The CBC’s influencing range on improving fine-grained layer VWC is 25 cm above the fine–coarse interface. In the influencing range, the VWC is higher than that of the H-column; outside the influencing range, the volumetric moisture content is the same as that of the H-column. The CBC’s influence on improving the fine-grained layer’s VWC weakens as the distance from the fine–coarse interface increases.
- (3)
- CBC strength can be determined by fine–coarse interface VWC variation. When the VWC at the fine–coarse interface reaches a stable state after breakthrough, the CBC effect exists, and the higher the VWC at the fine–coarse interface, the stronger the CBC. When the VWC at the fine–coarse interface is still unstable after breakthrough, the CBC effect disappears and the admixture particles mixed in the coarse-grained layer are finer than the fine-grained layer particles.
Author Contributions
Funding
Data Availability Statement
Conflicts of Interest
References
- Morris, C.E.; Stormont, J.C. Capillary Barriers and Subtitle D Covers: Estimating Equivalency. J. Environ. Eng. 1997, 123, 3–10. [Google Scholar] [CrossRef]
- Li, X.; Chang, S.; Salifu, F. Soil texture and layering effects on water and salt dynamics in the presence of a water table: A review. Environ. Rev. 2013, 22, 41–50. [Google Scholar] [CrossRef]
- Zhan, L.-T.; Li, G.; Jiao, W.-G.; Wu, T.; Lan, J.-W.; Chen, Y.-M. Field measurements of water storage capacity in a loess–gravel capillary barrier cover using rainfall simulation tests. Can. Geotech. J. 2016, 54, 1523–1536. [Google Scholar] [CrossRef]
- Li, G.; Zhan, L.; Zhang, Z.; Zhang, S.; Feng, S. Pore network modeling of capillary barrier effects: Impact of pore sizes. Can. Geotech. J. 2024, 61, 174–182. [Google Scholar] [CrossRef]
- Morris, C.E.; Stormont, J.C. Parametric Study of Unsaturated Drainage Layers in a Capillary Barrier. J. Geotech. Geoenvironmental Eng. 1999, 125, 1057–1065. [Google Scholar] [CrossRef]
- Deng, L.H.; Zhan, L.T.; Chen, Y.M.; Jia, G.W. Model tests on capillary-barrier cover with unsaturated drainage layer. Yantu Gongcheng Xuebao/Chin. J. Geotech. Eng. 2012, 34, 75–80. [Google Scholar]
- Li, X.; Li, X.; Wu, Y.; Gao, L. A novel unsaturated drainage layer in capillary barrier cover for slope protection. Bull. Eng. Geol. Environ. 2023, 82, 108. [Google Scholar] [CrossRef]
- Aslan Fidan, A.; Berilgen, M.M. Effect of the Mid-Layer on the Diversion Length and Drainage Performance of a Three-Layer Cover with Capillary Barrier. Appl. Sci. 2024, 14, 21. [Google Scholar] [CrossRef]
- Ng, C.W.W.; Liu, J.; Chen, R.; Xu, J. Physical and numerical modeling of an inclined three-layer (silt/gravelly sand/clay) capillary barrier cover system under extreme rainfall. Waste Manag. 2015, 38, 210–221. [Google Scholar] [CrossRef]
- Wu, Y.; Ren, J.; Liu, J. Field Investigation of Water Infiltration into a Three-Layer Capillary Barrier Landfill Cover System Using Local Soils and Construction Waste. Buildings 2024, 14, 139. [Google Scholar] [CrossRef]
- Harnas, F.; Rahardjo, H.; Leong, E.; Wang, J.Y. Experimental study on dual capillary barrier using recycled asphalt pavement materials. Can. Geotech. J. 2014, 51, 1165–1177. [Google Scholar] [CrossRef]
- Aubertin, M.; Cifuentes, E.; Apithy, S.; Bussière, B.; Molson, J.; Chapuis, R. Analyses of water diversion along inclined covers with capillary barrier effects. Can. Geotech. J. 2009, 46, 1146–1164. [Google Scholar] [CrossRef]
- Zhang, W.J.; Geng, X. Performance and mechanism of capillary-barrier evaportranspiration cover of landfills. Chin. J. Geotech. Eng. 2016, 38, 454–459. [Google Scholar] [CrossRef]
- Rahardjo, H.; Satyanaga, A.; Harnas, F.R.; Leong, E.C. Use of Dual Capillary Barrier as Cover System for a Sanitary Landfill in Singapore. Indian Geotech. J. 2016, 46, 228–238. [Google Scholar] [CrossRef]
- Zhang, Y.; Wang, Y.; Shah, K.F.; Li, T. Moisture stabilization of embankment subgrade with capillary barrier cover under dry and rainy weathers. Transp. Geotech. 2023, 42, 101057. [Google Scholar] [CrossRef]
- Parent, E.; Cabral, A. Material Selection for the Design of inclined Covers with Capillary Barrier Effect. In Proceedings of the GeoFrontiers 2005, Austin, Texas, 24–26 January 2005. [Google Scholar]
- Bussière, B.; Aubertin, M.; Zhan, G. Design of Inclined Covers with Capillary Barrier Effect by S.-E. Parent and A. Cabral. Geotech. Geol. Eng. 2007, 25, 673–678. [Google Scholar] [CrossRef]
- Hey, C.; Simms, P. Preliminary assessment of biosolids in covers with capillary barrier effects. Eng. Geol. 2021, 280, 105973. [Google Scholar] [CrossRef]
- Rahardjo, H. Application of unsaturated soil mechanics in capillary barrier system. In Proceedings of the 3rd Asian Conference on Unsaturated Soils: 3rd Asian Conference on Unsaturated Soils, Nanjing, China, April 21–23 2007. [Google Scholar]
- Satyanaga, A.; Zhai, Q.; Rahardjo, H.; Gitirana, G.; Kim, J. Performance of capillary barrier as a sustainable slope protection. In Proceedings of the 3rd Pan-American Conference on Unsaturated Soils, Rio de Janeiro, Brazil, 26–28 July 2021. [Google Scholar]
- Liu, X.-Y.; Wu, Q.-H.; Xu, L.-H.; Zhuang, Y.-F. A Novel Double-layer System for Infiltration Control and Improvement in the Stability of Expansive Soil Slopes. Int. J. Geosynth. Ground Eng. 2023, 9, 4. [Google Scholar] [CrossRef]
- Miyake, M.; Otsuka, M.; Fujimaki, H.; Inoue, M.; Saito, H. Evaluation of an Artificial Capillary Barrier to Control Infiltration and Capillary Rise at Root Zone Areas. Jpn. Assoc. Arid. Land Stud. 2015, 25, 117–120. [Google Scholar]
- Menezes-Blackburn, D.; Al-Ismaily, S.; Al-Mayahi, A.; Al-Siyabi, B.; Al-Kalbani, A.; Al-Busaid, H.; Al-Naabi, I.; Al-Mazroui, M.; Al-Yahyai, R. Impact of a Nature-Inspired Engineered Soil Structure on Microbial Diversity and Community Composition in the Bulk Soil and Rhizosphere of Tomato Grown Under Saline Irrigation Water. J. Soil Sci. Plant Nutr. 2021, 21, 173–186. [Google Scholar] [CrossRef]
- Noguchi, K.; Saito, H.; Saefuddin, R.; Šimůnek, J. Evaluation of Subsurface Drip Irrigation Designs in a Soil Profile with a Capillary Barrier. Water 2021, 13, 1300. [Google Scholar] [CrossRef]
- Chen, L.; Bulut, R. Numerical Analysis of Horizontal Moisture Barriers in Pavements Constructed on Expansive Soils. Procedia Eng. 2016, 143, 229–236. [Google Scholar] [CrossRef]
- Benson, C.; Khire, M. Earthen covers for semi-arid and arid climates. Geotech. Spec. Publ. 1995, 201–217. [Google Scholar]
- Aubertin, M.; Chapuis, R.P.; Ricard, J.F. A predictive model for the water retention curve: Application to tailings from hard-rock mines. Can. Geotech. J. 1998, 35, 55–69. [Google Scholar] [CrossRef]
- Bouwer, H. Rapid field measurement of air entry value and hydraulic conductivity of soil as significant parameters in flow system analysis. Water Resour. Res. 1966, 2, 729–738. [Google Scholar] [CrossRef]
- Rahardjo, H.; Kim, Y.; Satyanaga, A. Role of unsaturated soil mechanics in geotechnical engineering. Int. J. Geo-Eng. 2019, 10, 8. [Google Scholar] [CrossRef]
- Li, N.; Pan, X.; Zhang, M.; Zhang, H.; Li, X.; Xu, J. Influence of rainfall patterns on anti-seepage performance of capillary barrier covers. Rock Soil Mech. 2022, 43, 1546–1556. [Google Scholar] [CrossRef]
- Stormont, J.C.; Morris, C.E. Method to Estimate Water Storage Capacity of Capillary Barriers. J. Geotech. Geoenvironmental Eng. 1998, 124, 297–302. [Google Scholar] [CrossRef]
- Stormont, J.C.; Anderson, C.E. Capillary Barrier Effect from Underlying Coarser Soil Layer. J. Geotech. Geoenvironmental Eng. 1999, 125, 641–648. [Google Scholar] [CrossRef]











| Number | Material | Saturated Permeability Coefficient cm/s | Maximum Compaction Density g/cm3 | Porosity |
|---|---|---|---|---|
| 1 | 0.1–0.25 mm quartz sand | 9.39 × 10−4 | 1.57 | 0.445 |
| 2 | 0.25–5 mm quartz sand | 4.11 × 10−2 | 1.57 | 0.416 |
| 3 | 0.5–1 mm quartz sand | 1.69 × 10−1 | 1.57 | 0.408 |
| 4 | 2–5 mm quartz sand | 3.79 | 1.65 | 0.377 |
| 5 | 2–5:0.1–0.25 = 1:0.1 | 1.57 × 10−1 | 1.69 | 0.365 |
| 6 | 2–5:0.1–0.25 = 1:0.3 | 3.4 × 10−1 | 1.88 | 0.288 |
| 7 | 2–5:0.1–0.25 = 1:0.5 | 3.44 × 10−3 | 1.83 | 0.298 |
| 8 | 2–5:0.1–0.25 = 1:0.6 | 2.22 × 10−3 | 1.87 | 0.300 |
| 9 | 2–5:0.1–0.25 = 1:0.7 | 1.69 × 10−3 | 1.80 | 0.321 |
| 10 | 2–5:0.1–0.25 = 1:1 | 1.06 × 10−4 | 1.81 | 0.317 |
| 11 | 2–5:0.25–0.5 = 1:0.1 | 8.25 × 10−1 | 1.73 | 0.345 |
| 12 | 2–5:0.25–0.5 = 1:0.3 | 4.25 × 10−1 | 1.75 | 0.338 |
| 13 | 2–5:0.25–0.5 = 1:0.6 | 9.25 × 10−2 | 1.77 | 0.326 |
| 14 | 2–5:0.25–0.5 = 1:1 | 3.69 × 10−2 | 1.78 | 0.321 |
| 15 | 2–5:0.5–1 = 1:0.1 | 1.69 | 1.68 | 0.360 |
| 16 | 2–5:0.5–1 = 1:0.3 | 3.2 × 10−1 | 1.62 | 0.372 |
| 17 | 2–5:0.5–1 = 1:0.6 | 2.2 × 10−1 | 1.58 | 0.380 |
| 18 | 2–5:0.5–1 = 1:1 | 1.7 × 10−1 | 1.59 | 0.385 |
| Sensor | Type | Resolution Ratio | Accuracy | Range |
|---|---|---|---|---|
| SM150T | FDR moisture meter | — | 3%vol at 0–70%vol | 0–100%vol |
| T5x | tensiometer | ±0.0012 kPa | ±0.15 kPa | −150 kPa~50 kPa |
| Series | Serial Number | Coarse-Grained Layer Configuration | Coarse Particles/Admixture | Fine-Grained Layer | |
|---|---|---|---|---|---|
| Coarse Particles | Admixture | ||||
| I | A1 | 2–5 mm quartz sand | 0.1–0.25 mm quartz sand | 1:0.1 | 0.25–0.5 mm quartz sand |
| A2 | 1:0.3 | ||||
| A3 | 1:0.5 | ||||
| A4 | 1:0.6 | ||||
| A5 | 1:0.7 | ||||
| A6 | 1:1 | ||||
| II | B1 | 2–5 mm quartz sand | 0.25–0.5 mm quartz sand | 1:0.1 | |
| B2 | 1:0.3 | ||||
| B4 | 1:0.6 | ||||
| B6 | 1:1 | ||||
| III | C1 | 2–5 mm quartz sand | 0.5–1 mm quartz sand | 1:0.1 | |
| C2 | 1:0.3 | ||||
| C4 | 1:0.6 | ||||
| C6 | 1:1 | ||||
| Control group | CB | 2–5 mm quartz sand | - | - | |
| H | 0.25–0.5 mm quartz sand | - | - | ||
Disclaimer/Publisher’s Note: The statements, opinions and data contained in all publications are solely those of the individual author(s) and contributor(s) and not of MDPI and/or the editor(s). MDPI and/or the editor(s) disclaim responsibility for any injury to people or property resulting from any ideas, methods, instructions or products referred to in the content. |
© 2025 by the authors. Licensee MDPI, Basel, Switzerland. This article is an open access article distributed under the terms and conditions of the Creative Commons Attribution (CC BY) license (https://creativecommons.org/licenses/by/4.0/).
Share and Cite
Sun, C.; Yang, J.; Liu, Q.; Wu, Y.; Miao, J. A Laboratory Investigation into the Effect of Coarse-Grained Layer Mixing with Fine Particles on the Water Storage Capacity of a Capillary Barrier Cover. Water 2025, 17, 183. https://doi.org/10.3390/w17020183
Sun C, Yang J, Liu Q, Wu Y, Miao J. A Laboratory Investigation into the Effect of Coarse-Grained Layer Mixing with Fine Particles on the Water Storage Capacity of a Capillary Barrier Cover. Water. 2025; 17(2):183. https://doi.org/10.3390/w17020183
Chicago/Turabian StyleSun, Chong, Junjie Yang, Qiang Liu, Yalei Wu, and Jiali Miao. 2025. "A Laboratory Investigation into the Effect of Coarse-Grained Layer Mixing with Fine Particles on the Water Storage Capacity of a Capillary Barrier Cover" Water 17, no. 2: 183. https://doi.org/10.3390/w17020183
APA StyleSun, C., Yang, J., Liu, Q., Wu, Y., & Miao, J. (2025). A Laboratory Investigation into the Effect of Coarse-Grained Layer Mixing with Fine Particles on the Water Storage Capacity of a Capillary Barrier Cover. Water, 17(2), 183. https://doi.org/10.3390/w17020183

