Potential Applications of Light Absorption Coefficients in Assessing Water Optical Quality: Insights from Varadero Reef, an Extreme Coral Ecosystem
Abstract
1. Introduction
2. Materials and Methods
2.1. Study Area: Cartagena Bay and Varadero Reef
2.2. Water Sampling Design
2.3. Conventional Water Quality Metrics
- Secchi Disk Depth (ZSD): Water transparency was measured using a Secchi disk oceanographic version (white disk of 30 cm diameter), following the recommendations of Santamaría-del-Angel et al. [16]. The procedure applied for measuring this variable considered that the measurement can be affected by the human eye and therefore one person was assigned as responsible for this measurement. The differences associated with the angle were also considered, so the reading was made during the same time interval (between 9 a.m. and 3 p.m.) mainly on sunny days, when it is assumed that there is more indirect light than diffuse light penetrating the water column [16]. When considering these aspects, it was assumed that errors were consistent throughout the sampling process.
- Chlorophyll-a Concentration: Was estimated according to Method 10200 H.2.b. defined by Baird et al. [17] for which 100 mL to 1000 mL of water through a negative filtration system, using Whatman GF/F filter (nominal pore size 0.7 µm and 47 mm diameter). Each filter was carefully placed in aluminum foil, folded in half for packing, and preserved in liquid nitrogen until analysis in the laboratory.
- Turbidity: Determined in nephelometric turbidity units (NTU) using an EZDO GONDO TUB-430 turbidimeter (https://www.gondo.com.tw/products_detail/23.htm accessed on 11 August 2025) according to Method 2130 B defined by Baird et al. [17].
2.4. Proposed Optical Assessment Framework
2.4.1. Determination of Light Absorption Coefficients
- Particulate Matter (ap(λ)): Was determined from spectrophotometric measurements of optical density on filter pads (Whatman GF/F filter, 25 mm diameter) following the corrections proposed by Roesler et al. [18] for measurements performed without an integrating sphere. For the analysis, between 100 mL and 1000 mL of water were filtered using a low-pressure (<5 PSI) vacuum filtration system with Whatman GF/F filter (nominal pore size 0.7 µm and diameter of 25 mm). Each filter was carefully placed in a tissue processing capsule and stored in liquid nitrogen until analysis. Spectrophotometric readings were conducted according to the protocol of Roesler et al. [18], which involves measuring optical density in the UV-Vis range (350–850 nm) using a spectrophotometer without an integrating sphere. For this analysis, each filter was placed directly into a Varian Cary 100 Spectrophotometer to obtain the particulate absorption coefficient ap(λ), using the following equation from Roesler et al. [18]:where, V is the volume of water filtered (in m3), A is the effective filtration area (in m2), and the subscript p denotes particulate matter. The term represents the sample’s optical density (ODs (λ)) corrected by the amplification factor β, specific to T-mode measurements (Transmittance mode) performed without an integrating sphere.
- CDOM (aCDOM(λ)): CDOM samples were analyzed following the methodology described by Mitchell et al. [13]. This procedure involved filtering the water sample through a 0.2 µm pore-size membrane filter that had been pre-cleaned with 10% HCl and rinsed thoroughly with ultrapure water. The cleaned filter was placed into a filtration apparatus, which was then purged using both ultrapure water and the sample itself to minimize contamination.
2.4.2. Estimation of Diffuse Attenuation Coefficient for Downward Photosynthetically Active Radiation (Kd PAR)
2.5. Environmental and Sedimentary Context
- Meteorological and oceanographic conditions: Physical parameters were measured throughout the water column at all sampling stations. This was conducted using an RBRconcerto3 C.T.D, following the manufacturer’s recommended protocols. Sea surface temperature and wind speed were obtained from the ERA5 reanalysis dataset, while sea level data were retrieved from the CIOH-EMAR tide gauge station located in Cartagena Bay. These variables offer insights into seasonal hydrodynamics and water column stratification.
- Rainfall patterns: Daily rainfall data from ERA5 were extracted for a defined region along the Canal del Dique, covering the period from 2013 to 2022. These records enabled the characterization of freshwater inputs and their influence on sediment plumes and CDOM.
- Sediment characteristics: Grain size distribution and calcium carbonate content were analyzed from 86 surface sediment samples collected across the bay (Figure 1b). These parameters help assess the potential for sediment resuspension and its role in modulating light scattering and absorption.
2.6. Statistical Analyses
3. Results and Discussions
3.1. Seasonal and Spatial Patterns in Light Absorption Components
3.2. Relationship Between Absorption Properties and Optical Quality Indicators
- In September 2021 (Figure 6a), the spatial distribution of aCDOM(440) revealed an inverse trend compared to ap(440), with increasing values from station S07 (0.240 m−1) to S02 (0.613 m−1). This pattern suggests areas with lower particle concentration may retain higher CDOM levels due to reduced photodegradation and enhanced retention—mechanisms consistent with findings by Xi et al. [25] and Mohd-Shazali et al. [27]. An exception occurred at S03, which registered the campaign’s lowest surface value (0.188 m−1), possibly reflecting dilution from marine waters or local flushing.
- In February 2022 (Figure 6b), a weaker spatial gradient was observed, with values progressively decreasing from S07 (0.171 m−1) to S01 (0.029 m−1). This campaign coincided with the lowest overall particulate and CDOM levels, consistent with a dry-season reduction in fluvial inputs and a more homogenized water column.
- In June 2022 (Figure 6c), a marked decline in aCDOM(440) was recorded from S07 (0.766 m−1) to S01 (0.176 m−1), with a notable anomaly at station S02 (0.684 m−1), whose values were comparable to those of highly fluvial stations like S06 (0.691 m−1). These elevated values at S02 suggest that this site may be receiving episodic inputs of CDOM-rich water, possibly due to eddy activity, wind-driven transport, or internal waves—mechanisms noted in other optically complex systems [26,36].
3.3. Environmental Context: Support for Optical Variability
3.4. Implications for Coral Light Environment
3.5. Methodological Contributions and Broader Applicability
3.6. Limitations of the Absorption-Based Approach
4. Conclusions
Supplementary Materials
Author Contributions
Funding
Data Availability Statement
Acknowledgments
Conflicts of Interest
Abbreviations
| APC | Article Processing Charge |
| CDOM | Chromophoric Dissolved Organic Matter |
| CTD | Conductivity, Temperature, Depth |
| GF/F | Glass Fiber Filter |
| IOPs | Inherent Optical Properties |
| Kd PAR | Diffuse Attenuation Coefficient for Downward Photosynthetically Active Radiation |
| NTU | Nephelometric Turbidity Unit |
| SST | Sea Surface Temperature |
| ZSD | Secchi Disk Depth |
| ap(440) | Particulate absorption coefficient at 440 nm |
| aCDOM(440) | Absorption coefficient of chromophoric dissolved organic matter at 440 nm |
| at(440) | Total absorption coefficient at 440 nm |
| Chl-a | Chlorophyll-a concentration |
| rs | Spearman rank correlation coefficient |
Appendix A. Spectrophotometric Estimation of Particulate Absorption and Uncertainty Considerations
Appendix A.1. Measurement of Spectral Particulate Absorption ap(λ) Using Filter Pads in T-Mode
- ODf(λ): blank-corrected optical density at wavelength λ,
- V: volume of filtered water (m3),
- A: effective filter area (m2),
- = 0.679, γ = 1.2804: empirical coefficients for pathlength amplification correction in T-mode [43].
Appendix A.2. Pathlength Amplification and Its Correction
Appendix A.3. Conceptual Framework for Uncertainty Propagation
- : variability from scan replicates and filter heterogeneity,
- α, γ: uncertainty in the empirical beta correction,
- V: error in volume measurements (estimated at ±5 mL),
- A: geometric uncertainty in the filter area.
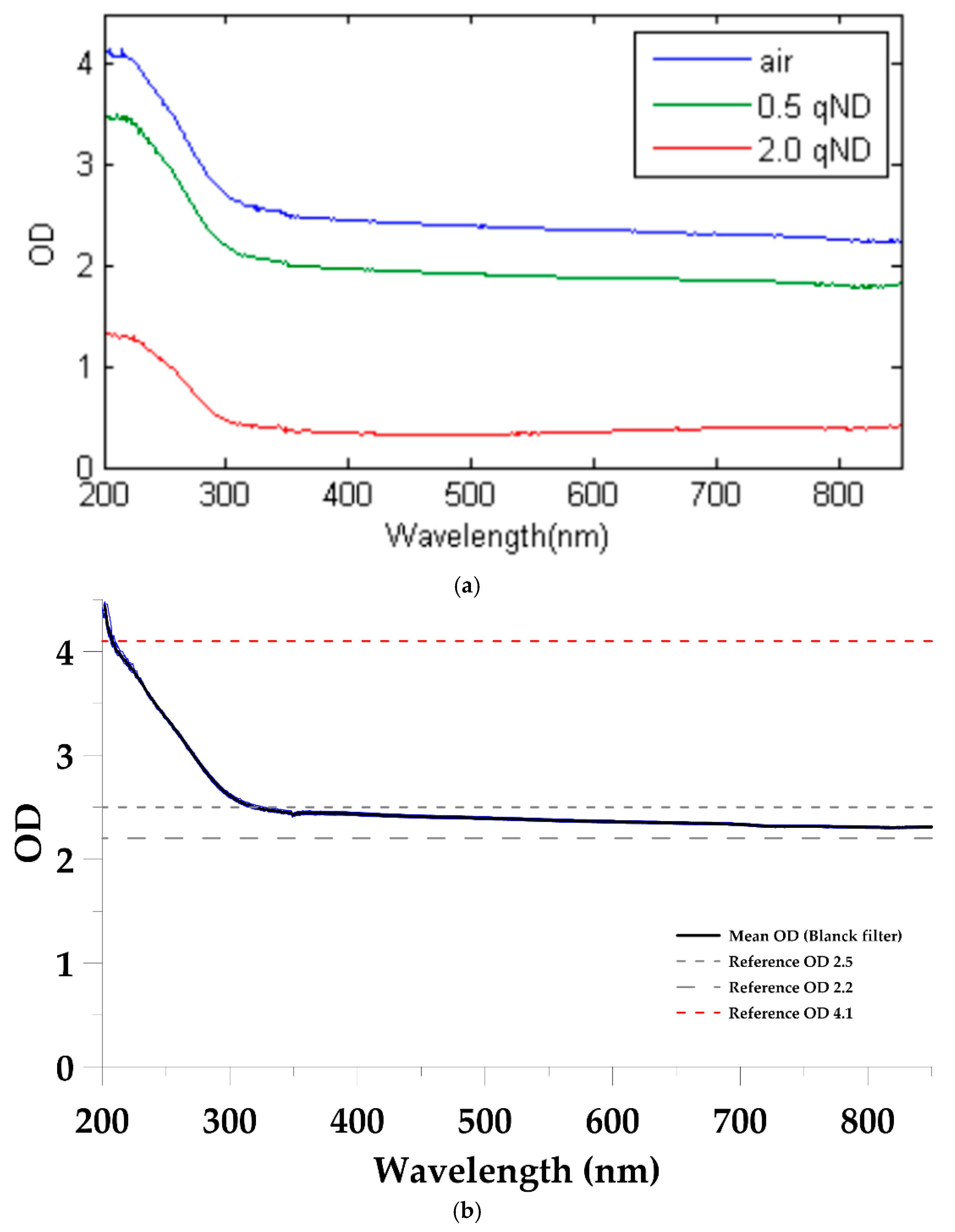
Appendix A.4. Quality Control: Instrumental Baselines and Blank Filters
- Air baselines were recorded and used for instrument drift correction.
- Multiple blank filters were scanned before, during, and after measurements.
- Consistency among blank spectra was verified, particularly in the visible range (400–700 nm), ensuring OD levels within 0.3–0.4, and minimal spectral variation.
Appendix A.5. Supporting Figures


| Long. Onda (nm) | Aire-Sol-0001a-22 | Aire-Sol-0001b-22 | Aire-Sol-0003-22 | Aire-Sol-0004-22 | Aire-Sol-0005-22 | Aire-Sol-0008-22 | Aire-Sol-0010-22 | Aire-Sol_12 y 14-22 | Aire-Sol_19-22 | Mean OD Air Baseline |
|---|---|---|---|---|---|---|---|---|---|---|
| 850 | −0.0003 | −0.0002 | −0.0002 | −0.0002 | −0.0002 | 0.0000 | 0.0003 | 0.0002 | 0.0000 | 0.0000 |
| 849 | −0.0005 | 0.0002 | 0.0002 | 0.0002 | 0.0002 | −0.0004 | −0.0005 | −0.0001 | −0.0003 | −0.0001 |
| 848 | −0.0002 | −0.0002 | −0.0002 | −0.0002 | −0.0002 | 0.0001 | 0.0003 | −0.0002 | 0.0001 | −0.0001 |
| 847 | −0.0009 | −0.0005 | −0.0005 | −0.0005 | −0.0005 | −0.0002 | −0.0002 | −0.0006 | 0.0002 | −0.0004 |
| 846 | 0.0005 | 0.0004 | 0.0004 | 0.0004 | 0.0004 | −0.0001 | −0.0002 | 0.0003 | 0.0001 | 0.0002 |
| 845 | −0.0004 | −0.0002 | −0.0002 | −0.0002 | −0.0002 | 0.0000 | 0.0000 | −0.0002 | 0.0000 | −0.0002 |
| 844 | −0.0001 | 0.0001 | 0.0001 | 0.0001 | 0.0001 | −0.0002 | 0.0001 | 0.0002 | −0.0002 | 0.0000 |
| 843 | 0.0001 | −0.0004 | −0.0004 | −0.0004 | −0.0004 | 0.0000 | 0.0000 | −0.0001 | −0.0003 | −0.0002 |
| 842 | 0.0002 | −0.0002 | −0.0002 | −0.0002 | −0.0002 | −0.0002 | 0.0000 | −0.0003 | 0.0000 | −0.0001 |
| 841 | −0.0001 | −0.0003 | −0.0003 | −0.0003 | −0.0003 | 0.0000 | −0.0001 | 0.0002 | −0.0001 | −0.0001 |
| 840 | −0.0006 | −0.0003 | −0.0003 | −0.0003 | −0.0003 | 0.0001 | 0.0003 | −0.0001 | −0.0002 | −0.0002 |
| 839 | −0.0003 | −0.0005 | −0.0005 | −0.0005 | −0.0005 | −0.0002 | −0.0002 | 0.0001 | 0.0000 | −0.0003 |
| 838 | −0.0002 | −0.0002 | −0.0002 | −0.0002 | −0.0002 | −0.0003 | −0.0002 | −0.0003 | −0.0004 | −0.0002 |
| 837 | 0.0005 | −0.0006 | −0.0006 | −0.0006 | −0.0006 | 0.0000 | −0.0004 | 0.0000 | −0.0001 | −0.0002 |
| 836 | 0.0000 | −0.0009 | −0.0009 | −0.0009 | −0.0009 | −0.0002 | 0.0000 | 0.0000 | 0.0000 | −0.0004 |
| 835 | −0.0002 | −0.0004 | −0.0004 | −0.0004 | −0.0004 | −0.0001 | 0.0004 | 0.0001 | −0.0003 | −0.0002 |
| 834 | −0.0002 | 0.0000 | 0.0000 | 0.0000 | 0.0000 | 0.0001 | 0.0003 | −0.0005 | 0.0003 | 0.0000 |
| 833 | −0.0005 | 0.0005 | 0.0005 | 0.0005 | 0.0005 | 0.0001 | 0.0009 | 0.0000 | −0.0001 | 0.0003 |
| 832 | −0.0002 | −0.0004 | −0.0004 | −0.0004 | −0.0004 | 0.0000 | 0.0002 | 0.0000 | 0.0000 | −0.0002 |
| 831 | 0.0000 | 0.0004 | 0.0004 | 0.0004 | 0.0004 | 0.0000 | 0.0005 | −0.0002 | 0.0001 | 0.0002 |
| 830 | 0.0001 | −0.0001 | −0.0001 | −0.0001 | −0.0001 | −0.0002 | 0.0006 | 0.0002 | −0.0002 | 0.0000 |
| 829 | −0.0002 | 0.0001 | 0.0001 | 0.0001 | 0.0001 | 0.0001 | −0.0001 | −0.0005 | −0.0001 | 0.0000 |
| 828 | 0.0003 | 0.0000 | 0.0000 | 0.0000 | 0.0000 | −0.0001 | 0.0001 | −0.0003 | 0.0000 | 0.0000 |
| 827 | −0.0004 | −0.0001 | −0.0001 | −0.0001 | −0.0001 | −0.0002 | 0.0001 | −0.0001 | −0.0001 | −0.0001 |
| 826 | 0.0002 | 0.0006 | 0.0006 | 0.0006 | 0.0006 | −0.0005 | 0.0006 | 0.0002 | 0.0000 | 0.0003 |
| 825 | 0.0000 | 0.0005 | 0.0005 | 0.0005 | 0.0005 | −0.0002 | 0.0002 | 0.0002 | −0.0003 | 0.0002 |
| 824 | 0.0000 | 0.0002 | 0.0002 | 0.0002 | 0.0002 | 0.0001 | 0.0001 | −0.0004 | −0.0001 | 0.0001 |
| 823 | −0.0008 | −0.0003 | −0.0003 | −0.0003 | −0.0003 | −0.0002 | 0.0006 | 0.0002 | 0.0000 | −0.0002 |
| 822 | −0.0005 | 0.0000 | 0.0000 | 0.0000 | 0.0000 | 0.0000 | 0.0001 | −0.0002 | 0.0001 | −0.0001 |
| 821 | −0.0002 | −0.0002 | −0.0002 | −0.0002 | −0.0002 | −0.0006 | 0.0000 | 0.0000 | 0.0000 | −0.0002 |
| 820 | 0.0001 | 0.0000 | 0.0000 | 0.0000 | 0.0000 | −0.0002 | 0.0004 | 0.0000 | −0.0005 | 0.0000 |
| 819 | −0.0008 | −0.0005 | −0.0005 | −0.0005 | −0.0005 | −0.0005 | 0.0005 | −0.0001 | 0.0001 | −0.0003 |
| 818 | −0.0002 | −0.0002 | −0.0002 | −0.0002 | −0.0002 | 0.0002 | −0.0002 | 0.0000 | −0.0003 | −0.0002 |
| 817 | −0.0002 | −0.0001 | −0.0001 | −0.0001 | −0.0001 | 0.0000 | 0.0005 | 0.0004 | 0.0000 | 0.0000 |
| 816 | −0.0004 | −0.0002 | −0.0002 | −0.0002 | −0.0002 | −0.0003 | −0.0002 | 0.0001 | −0.0001 | −0.0002 |
| 815 | 0.0000 | −0.0002 | −0.0002 | −0.0002 | −0.0002 | −0.0002 | 0.0002 | 0.0000 | −0.0003 | −0.0001 |
| 814 | 0.0003 | −0.0006 | −0.0006 | −0.0006 | −0.0006 | −0.0004 | 0.0001 | 0.0000 | 0.0002 | −0.0002 |
| 813 | −0.0001 | −0.0002 | −0.0002 | −0.0002 | −0.0002 | 0.0002 | 0.0001 | 0.0001 | −0.0004 | −0.0001 |
| 812 | −0.0001 | 0.0002 | 0.0002 | 0.0002 | 0.0002 | 0.0001 | −0.0001 | 0.0002 | 0.0003 | 0.0001 |
| 811 | −0.0001 | 0.0000 | 0.0000 | 0.0000 | 0.0000 | −0.0004 | 0.0001 | −0.0003 | −0.0004 | −0.0001 |
| 810 | −0.0002 | −0.0001 | −0.0001 | −0.0001 | −0.0001 | −0.0006 | 0.0003 | 0.0000 | −0.0003 | −0.0001 |
| 809 | −0.0002 | −0.0005 | −0.0005 | −0.0005 | −0.0005 | 0.0001 | 0.0001 | −0.0002 | −0.0003 | −0.0003 |
| 808 | −0.0004 | 0.0000 | 0.0000 | 0.0000 | 0.0000 | 0.0000 | 0.0003 | 0.0001 | −0.0004 | 0.0000 |
| 807 | −0.0005 | 0.0003 | 0.0003 | 0.0003 | 0.0003 | −0.0004 | 0.0003 | 0.0002 | 0.0000 | 0.0001 |
| 806 | −0.0002 | −0.0001 | −0.0001 | −0.0001 | −0.0001 | −0.0001 | 0.0002 | −0.0001 | −0.0003 | −0.0001 |
| 805 | −0.0003 | 0.0002 | 0.0002 | 0.0002 | 0.0002 | 0.0003 | 0.0005 | −0.0002 | −0.0002 | 0.0001 |
| 804 | −0.0001 | −0.0003 | −0.0003 | −0.0003 | −0.0003 | −0.0002 | 0.0005 | 0.0003 | −0.0003 | −0.0001 |
| 803 | 0.0002 | −0.0002 | −0.0002 | −0.0002 | −0.0002 | −0.0001 | 0.0001 | −0.0006 | −0.0001 | −0.0002 |
| 802 | 0.0000 | −0.0001 | −0.0001 | −0.0001 | −0.0001 | −0.0002 | 0.0000 | −0.0002 | −0.0001 | −0.0001 |
| 801 | −0.0001 | −0.0008 | −0.0008 | −0.0008 | −0.0008 | −0.0002 | 0.0003 | −0.0002 | 0.0000 | −0.0004 |
| 800 | −0.0004 | −0.0001 | −0.0001 | −0.0001 | −0.0001 | −0.0003 | 0.0002 | −0.0001 | −0.0002 | −0.0001 |
| 799 | −0.0002 | 0.0002 | 0.0002 | 0.0002 | 0.0002 | 0.0001 | 0.0002 | −0.0001 | −0.0005 | 0.0000 |
| 798 | 0.0000 | 0.0000 | 0.0000 | 0.0000 | 0.0000 | −0.0003 | 0.0006 | −0.0001 | 0.0002 | 0.0000 |
| 797 | −0.0001 | −0.0002 | −0.0002 | −0.0002 | −0.0002 | −0.0001 | 0.0004 | −0.0004 | 0.0000 | −0.0001 |
| 796 | −0.0004 | −0.0003 | −0.0003 | −0.0003 | −0.0003 | −0.0002 | 0.0003 | −0.0001 | −0.0003 | −0.0002 |
| 795 | −0.0001 | 0.0000 | 0.0000 | 0.0000 | 0.0000 | −0.0001 | 0.0003 | −0.0001 | −0.0003 | 0.0000 |
| 794 | −0.0002 | −0.0003 | −0.0003 | −0.0003 | −0.0003 | −0.0003 | −0.0002 | −0.0001 | 0.0000 | −0.0002 |
| 793 | 0.0001 | −0.0005 | −0.0005 | −0.0005 | −0.0005 | −0.0007 | −0.0004 | −0.0002 | −0.0003 | −0.0004 |
| 792 | −0.0001 | 0.0000 | 0.0000 | 0.0000 | 0.0000 | 0.0001 | 0.0002 | −0.0005 | −0.0002 | −0.0001 |
| 791 | 0.0000 | 0.0002 | 0.0002 | 0.0002 | 0.0002 | −0.0002 | −0.0001 | 0.0000 | −0.0006 | 0.0000 |
| 790 | 0.0000 | −0.0002 | −0.0002 | −0.0002 | −0.0002 | 0.0001 | 0.0004 | −0.0003 | −0.0001 | −0.0001 |
| 789 | −0.0001 | −0.0003 | −0.0003 | −0.0003 | −0.0003 | −0.0004 | 0.0005 | 0.0000 | 0.0002 | −0.0001 |
| 788 | 0.0003 | −0.0002 | −0.0002 | −0.0002 | −0.0002 | −0.0003 | 0.0002 | 0.0001 | −0.0002 | −0.0001 |
| 787 | 0.0002 | 0.0001 | 0.0001 | 0.0001 | 0.0001 | −0.0004 | 0.0003 | −0.0003 | 0.0000 | 0.0000 |
| 786 | 0.0001 | 0.0000 | 0.0000 | 0.0000 | 0.0000 | 0.0001 | 0.0007 | 0.0000 | −0.0002 | 0.0001 |
| 785 | 0.0001 | −0.0004 | −0.0004 | −0.0004 | −0.0004 | −0.0001 | 0.0003 | 0.0000 | −0.0002 | −0.0002 |
| 784 | −0.0002 | −0.0003 | −0.0003 | −0.0003 | −0.0003 | −0.0002 | 0.0001 | 0.0000 | −0.0001 | −0.0002 |
| 783 | 0.0002 | −0.0003 | −0.0003 | −0.0003 | −0.0003 | −0.0002 | 0.0002 | 0.0004 | 0.0000 | −0.0001 |
| 782 | 0.0003 | −0.0002 | −0.0002 | −0.0002 | −0.0002 | 0.0001 | 0.0010 | 0.0003 | −0.0004 | 0.0001 |
| 781 | 0.0002 | −0.0002 | −0.0002 | −0.0002 | −0.0002 | −0.0006 | 0.0003 | −0.0001 | 0.0000 | −0.0001 |
| 780 | 0.0001 | −0.0002 | −0.0002 | −0.0002 | −0.0002 | −0.0003 | −0.0001 | −0.0001 | 0.0000 | −0.0001 |
| 779 | −0.0001 | −0.0003 | −0.0003 | −0.0003 | −0.0003 | −0.0001 | 0.0002 | 0.0000 | −0.0001 | −0.0001 |
| 778 | 0.0001 | −0.0005 | −0.0005 | −0.0005 | −0.0005 | −0.0003 | 0.0005 | −0.0001 | 0.0001 | −0.0002 |
| 777 | −0.0003 | −0.0006 | −0.0006 | −0.0006 | −0.0006 | −0.0002 | 0.0000 | −0.0001 | −0.0002 | −0.0003 |
| 776 | 0.0000 | 0.0000 | 0.0000 | 0.0000 | 0.0000 | −0.0003 | 0.0006 | −0.0003 | 0.0000 | 0.0000 |
| 775 | −0.0001 | −0.0003 | −0.0003 | −0.0003 | −0.0003 | −0.0004 | 0.0005 | −0.0002 | −0.0002 | −0.0002 |
| 774 | −0.0002 | −0.0002 | −0.0002 | −0.0002 | −0.0002 | 0.0001 | 0.0001 | −0.0003 | 0.0002 | −0.0001 |
| 773 | 0.0000 | −0.0003 | −0.0003 | −0.0003 | −0.0003 | −0.0001 | 0.0004 | −0.0003 | 0.0000 | −0.0002 |
| 772 | 0.0004 | −0.0004 | −0.0004 | −0.0004 | −0.0004 | −0.0002 | 0.0000 | −0.0003 | −0.0003 | −0.0002 |
| 771 | 0.0002 | −0.0004 | −0.0004 | −0.0004 | −0.0004 | 0.0001 | 0.0004 | −0.0001 | 0.0000 | −0.0001 |
| 770 | 0.0003 | −0.0003 | −0.0003 | −0.0003 | −0.0003 | −0.0007 | −0.0001 | −0.0002 | 0.0001 | −0.0002 |
| 769 | 0.0001 | 0.0000 | 0.0000 | 0.0000 | 0.0000 | −0.0001 | 0.0000 | 0.0001 | 0.0000 | 0.0000 |
| 768 | −0.0001 | −0.0005 | −0.0005 | −0.0005 | −0.0005 | −0.0003 | 0.0000 | −0.0002 | 0.0001 | −0.0003 |
| 767 | 0.0001 | −0.0005 | −0.0005 | −0.0005 | −0.0005 | −0.0002 | −0.0002 | 0.0000 | −0.0001 | −0.0003 |
| 766 | −0.0002 | 0.0004 | 0.0004 | 0.0004 | 0.0004 | −0.0001 | 0.0002 | −0.0001 | −0.0001 | 0.0001 |
| 765 | 0.0001 | −0.0002 | −0.0002 | −0.0002 | −0.0002 | 0.0003 | 0.0002 | 0.0001 | −0.0002 | 0.0000 |
| 764 | −0.0005 | 0.0000 | 0.0000 | 0.0000 | 0.0000 | −0.0002 | 0.0005 | 0.0000 | −0.0001 | 0.0000 |
| 763 | −0.0001 | 0.0000 | 0.0000 | 0.0000 | 0.0000 | −0.0003 | −0.0002 | −0.0001 | 0.0000 | −0.0001 |
| 762 | −0.0006 | 0.0000 | 0.0000 | 0.0000 | 0.0000 | −0.0004 | 0.0003 | −0.0002 | 0.0002 | −0.0001 |
| 761 | −0.0002 | 0.0003 | 0.0003 | 0.0003 | 0.0003 | −0.0003 | −0.0001 | −0.0005 | 0.0000 | 0.0000 |
| 760 | 0.0001 | 0.0000 | 0.0000 | 0.0000 | 0.0000 | −0.0002 | 0.0003 | 0.0000 | −0.0003 | 0.0000 |
| 759 | 0.0003 | −0.0003 | −0.0003 | −0.0003 | −0.0003 | −0.0003 | 0.0000 | −0.0002 | −0.0001 | −0.0002 |
| 758 | 0.0003 | 0.0001 | 0.0001 | 0.0001 | 0.0001 | 0.0000 | 0.0002 | −0.0001 | −0.0001 | 0.0001 |
| 757 | 0.0002 | 0.0001 | 0.0001 | 0.0001 | 0.0001 | −0.0002 | 0.0003 | −0.0004 | −0.0002 | 0.0000 |
| 756 | 0.0005 | −0.0002 | −0.0002 | −0.0002 | −0.0002 | −0.0004 | 0.0001 | −0.0004 | 0.0000 | −0.0001 |
| 755 | −0.0001 | −0.0002 | −0.0002 | −0.0002 | −0.0002 | −0.0003 | 0.0002 | −0.0005 | −0.0004 | −0.0002 |
| 754 | 0.0004 | 0.0001 | 0.0001 | 0.0001 | 0.0001 | −0.0004 | 0.0002 | −0.0001 | 0.0000 | 0.0000 |
| 753 | 0.0002 | −0.0003 | −0.0003 | −0.0003 | −0.0003 | −0.0003 | 0.0003 | −0.0001 | −0.0001 | −0.0002 |
| 752 | −0.0001 | 0.0000 | 0.0000 | 0.0000 | 0.0000 | −0.0004 | 0.0005 | −0.0005 | −0.0002 | −0.0001 |
| 751 | −0.0003 | −0.0002 | −0.0002 | −0.0002 | −0.0002 | −0.0003 | 0.0003 | −0.0003 | −0.0002 | −0.0002 |
| 750 | 0.0000 | −0.0002 | −0.0002 | −0.0002 | −0.0002 | −0.0001 | 0.0002 | −0.0001 | −0.0003 | −0.0001 |
| 749 | 0.0000 | 0.0001 | 0.0001 | 0.0001 | 0.0001 | −0.0006 | 0.0002 | −0.0004 | 0.0001 | 0.0000 |
| 748 | −0.0002 | −0.0003 | −0.0003 | −0.0003 | −0.0003 | −0.0004 | 0.0000 | 0.0002 | −0.0001 | −0.0002 |
| 747 | −0.0003 | −0.0001 | −0.0001 | −0.0001 | −0.0001 | −0.0004 | 0.0004 | −0.0002 | 0.0000 | −0.0001 |
| 746 | −0.0001 | −0.0003 | −0.0003 | −0.0003 | −0.0003 | −0.0002 | 0.0003 | −0.0002 | 0.0003 | −0.0001 |
| 745 | 0.0000 | −0.0002 | −0.0002 | −0.0002 | −0.0002 | −0.0001 | 0.0002 | −0.0001 | −0.0001 | −0.0001 |
| 744 | −0.0002 | 0.0000 | 0.0000 | 0.0000 | 0.0000 | −0.0001 | −0.0001 | −0.0001 | 0.0001 | 0.0000 |
| 743 | 0.0001 | −0.0001 | −0.0001 | −0.0001 | −0.0001 | −0.0003 | 0.0006 | 0.0000 | 0.0000 | 0.0000 |
| 742 | −0.0002 | −0.0001 | −0.0001 | −0.0001 | −0.0001 | −0.0004 | 0.0004 | 0.0000 | 0.0001 | −0.0001 |
| 741 | 0.0000 | −0.0005 | −0.0005 | −0.0005 | −0.0005 | −0.0001 | 0.0006 | 0.0000 | 0.0002 | −0.0001 |
| 740 | 0.0001 | −0.0001 | −0.0001 | −0.0001 | −0.0001 | −0.0005 | 0.0005 | 0.0003 | 0.0003 | 0.0000 |
| 739 | −0.0002 | −0.0001 | −0.0001 | −0.0001 | −0.0001 | −0.0004 | 0.0005 | −0.0002 | 0.0001 | −0.0001 |
| 738 | 0.0000 | −0.0002 | −0.0002 | −0.0002 | −0.0002 | −0.0001 | 0.0004 | −0.0002 | −0.0002 | −0.0001 |
| 737 | −0.0003 | 0.0001 | 0.0001 | 0.0001 | 0.0001 | −0.0003 | −0.0001 | 0.0002 | 0.0006 | 0.0000 |
| 736 | 0.0003 | −0.0006 | −0.0006 | −0.0006 | −0.0006 | −0.0005 | 0.0001 | 0.0004 | 0.0003 | −0.0002 |
| 735 | −0.0001 | −0.0007 | −0.0007 | −0.0007 | −0.0007 | −0.0003 | 0.0002 | 0.0000 | −0.0002 | −0.0004 |
| 734 | 0.0004 | −0.0003 | −0.0003 | −0.0003 | −0.0003 | −0.0005 | 0.0004 | 0.0000 | −0.0001 | −0.0001 |
| 733 | −0.0002 | −0.0002 | −0.0002 | −0.0002 | −0.0002 | −0.0004 | 0.0006 | −0.0002 | 0.0001 | −0.0001 |
| 732 | 0.0002 | −0.0001 | −0.0001 | −0.0001 | −0.0001 | −0.0002 | 0.0003 | 0.0001 | 0.0002 | 0.0000 |
| 731 | 0.0003 | −0.0002 | −0.0002 | −0.0002 | −0.0002 | −0.0002 | 0.0005 | −0.0004 | 0.0000 | −0.0001 |
| 730 | 0.0001 | −0.0003 | −0.0003 | −0.0003 | −0.0003 | −0.0001 | 0.0004 | 0.0000 | 0.0000 | −0.0001 |
| 729 | −0.0001 | −0.0002 | −0.0002 | −0.0002 | −0.0002 | −0.0002 | 0.0004 | 0.0002 | −0.0002 | −0.0001 |
| 728 | 0.0002 | −0.0004 | −0.0004 | −0.0004 | −0.0004 | −0.0003 | −0.0002 | −0.0003 | 0.0001 | −0.0002 |
| 727 | 0.0000 | −0.0004 | −0.0004 | −0.0004 | −0.0004 | 0.0000 | 0.0001 | −0.0002 | 0.0001 | −0.0002 |
| 726 | 0.0002 | −0.0006 | −0.0006 | −0.0006 | −0.0006 | −0.0004 | 0.0009 | −0.0003 | 0.0000 | −0.0002 |
| 725 | −0.0001 | −0.0002 | −0.0002 | −0.0002 | −0.0002 | −0.0006 | 0.0003 | −0.0005 | −0.0002 | −0.0002 |
| 724 | −0.0001 | −0.0006 | −0.0006 | −0.0006 | −0.0006 | −0.0003 | 0.0004 | 0.0001 | 0.0002 | −0.0002 |
| 723 | 0.0002 | −0.0004 | −0.0004 | −0.0004 | −0.0004 | −0.0002 | 0.0004 | −0.0006 | 0.0003 | −0.0002 |
| 722 | −0.0001 | −0.0002 | −0.0002 | −0.0002 | −0.0002 | 0.0000 | 0.0004 | −0.0002 | −0.0001 | −0.0001 |
| 721 | 0.0004 | −0.0002 | −0.0002 | −0.0002 | −0.0002 | −0.0003 | −0.0001 | −0.0004 | −0.0003 | −0.0001 |
| 720 | −0.0002 | −0.0002 | −0.0002 | −0.0002 | −0.0002 | −0.0002 | 0.0000 | −0.0004 | 0.0001 | −0.0002 |
| 719 | 0.0001 | 0.0000 | 0.0000 | 0.0000 | 0.0000 | −0.0001 | 0.0003 | −0.0001 | 0.0002 | 0.0000 |
| 718 | 0.0000 | −0.0004 | −0.0004 | −0.0004 | −0.0004 | −0.0003 | 0.0002 | −0.0004 | 0.0003 | −0.0002 |
| 717 | −0.0001 | −0.0001 | −0.0001 | −0.0001 | −0.0001 | −0.0004 | −0.0001 | 0.0002 | 0.0001 | −0.0001 |
| 716 | 0.0003 | −0.0004 | −0.0004 | −0.0004 | −0.0004 | −0.0001 | 0.0003 | 0.0002 | −0.0002 | −0.0001 |
| 715 | 0.0002 | −0.0002 | −0.0002 | −0.0002 | −0.0002 | −0.0001 | 0.0000 | 0.0000 | 0.0003 | 0.0000 |
| 714 | −0.0001 | 0.0001 | 0.0001 | 0.0001 | 0.0001 | −0.0002 | 0.0000 | 0.0001 | −0.0002 | 0.0000 |
| 713 | 0.0001 | 0.0000 | 0.0000 | 0.0000 | 0.0000 | 0.0000 | 0.0003 | −0.0004 | −0.0004 | 0.0000 |
| 712 | 0.0002 | 0.0001 | 0.0001 | 0.0001 | 0.0001 | 0.0003 | 0.0004 | −0.0005 | 0.0000 | 0.0001 |
| 711 | 0.0002 | −0.0004 | −0.0004 | −0.0004 | −0.0004 | −0.0004 | 0.0004 | 0.0000 | −0.0003 | −0.0002 |
| 710 | −0.0001 | −0.0003 | −0.0003 | −0.0003 | −0.0003 | 0.0000 | −0.0002 | 0.0000 | 0.0001 | −0.0001 |
| 709 | −0.0002 | −0.0001 | −0.0001 | −0.0001 | −0.0001 | −0.0003 | 0.0006 | −0.0002 | −0.0005 | −0.0001 |
| 708 | −0.0001 | −0.0001 | −0.0001 | −0.0001 | −0.0001 | −0.0009 | 0.0003 | −0.0003 | −0.0003 | −0.0002 |
| 707 | −0.0002 | −0.0003 | −0.0003 | −0.0003 | −0.0003 | 0.0000 | −0.0001 | 0.0002 | −0.0004 | −0.0002 |
| 706 | −0.0005 | −0.0004 | −0.0004 | −0.0004 | −0.0004 | −0.0002 | 0.0000 | −0.0001 | −0.0004 | −0.0003 |
| 705 | −0.0005 | 0.0002 | 0.0002 | 0.0002 | 0.0002 | −0.0004 | 0.0005 | −0.0003 | −0.0001 | 0.0000 |
| 704 | −0.0004 | −0.0002 | −0.0002 | −0.0002 | −0.0002 | 0.0001 | 0.0000 | −0.0004 | 0.0000 | −0.0002 |
| 703 | 0.0004 | −0.0005 | −0.0005 | −0.0005 | −0.0005 | −0.0003 | 0.0007 | −0.0001 | −0.0002 | −0.0002 |
| 702 | −0.0003 | −0.0004 | −0.0004 | −0.0004 | −0.0004 | −0.0001 | −0.0002 | 0.0000 | −0.0002 | −0.0003 |
| 701 | −0.0001 | −0.0001 | −0.0001 | −0.0001 | −0.0001 | −0.0006 | 0.0000 | 0.0001 | −0.0002 | −0.0001 |
| 700 | −0.0001 | −0.0001 | −0.0001 | −0.0001 | −0.0001 | −0.0004 | 0.0000 | −0.0004 | −0.0006 | −0.0002 |
| 699 | 0.0000 | −0.0002 | −0.0002 | −0.0002 | −0.0002 | 0.0002 | 0.0003 | −0.0001 | −0.0001 | −0.0001 |
| 698 | 0.0002 | −0.0003 | −0.0003 | −0.0003 | −0.0003 | 0.0000 | 0.0007 | −0.0005 | −0.0001 | −0.0001 |
| 697 | 0.0000 | −0.0002 | −0.0002 | −0.0002 | −0.0002 | 0.0002 | 0.0001 | 0.0000 | −0.0007 | −0.0001 |
| 696 | 0.0000 | −0.0002 | −0.0002 | −0.0002 | −0.0002 | 0.0000 | 0.0004 | −0.0003 | −0.0004 | −0.0001 |
| 695 | 0.0002 | −0.0003 | −0.0003 | −0.0003 | −0.0003 | −0.0002 | 0.0002 | −0.0004 | −0.0003 | −0.0002 |
| 694 | 0.0000 | −0.0004 | −0.0004 | −0.0004 | −0.0004 | −0.0004 | 0.0001 | −0.0001 | −0.0002 | −0.0003 |
| 693 | 0.0002 | 0.0003 | 0.0003 | 0.0003 | 0.0003 | −0.0003 | 0.0005 | 0.0000 | −0.0001 | 0.0002 |
| 692 | −0.0004 | 0.0002 | 0.0002 | 0.0002 | 0.0002 | −0.0003 | 0.0002 | −0.0001 | −0.0004 | 0.0000 |
| 691 | 0.0000 | −0.0001 | −0.0001 | −0.0001 | −0.0001 | 0.0000 | 0.0006 | −0.0004 | 0.0002 | 0.0000 |
| 690 | 0.0000 | 0.0000 | 0.0000 | 0.0000 | 0.0000 | −0.0002 | −0.0003 | −0.0003 | 0.0000 | −0.0001 |
| 689 | 0.0000 | −0.0001 | −0.0001 | −0.0001 | −0.0001 | −0.0003 | 0.0003 | 0.0000 | −0.0002 | −0.0001 |
| 688 | −0.0001 | −0.0002 | −0.0002 | −0.0002 | −0.0002 | −0.0002 | 0.0002 | 0.0001 | 0.0001 | −0.0001 |
| 687 | 0.0001 | −0.0004 | −0.0004 | −0.0004 | −0.0004 | −0.0004 | 0.0004 | 0.0001 | 0.0007 | −0.0001 |
| 686 | 0.0000 | 0.0000 | 0.0000 | 0.0000 | 0.0000 | −0.0006 | 0.0007 | −0.0002 | −0.0001 | −0.0001 |
| 685 | 0.0002 | −0.0005 | −0.0005 | −0.0005 | −0.0005 | 0.0000 | 0.0004 | 0.0001 | 0.0004 | −0.0001 |
| 684 | −0.0002 | −0.0003 | −0.0003 | −0.0003 | −0.0003 | −0.0004 | −0.0002 | 0.0002 | 0.0002 | −0.0002 |
| 683 | 0.0000 | 0.0001 | 0.0001 | 0.0001 | 0.0001 | −0.0001 | 0.0002 | −0.0005 | −0.0001 | 0.0000 |
| 682 | 0.0002 | −0.0003 | −0.0003 | −0.0003 | −0.0003 | −0.0002 | 0.0000 | −0.0002 | −0.0003 | −0.0002 |
| 681 | 0.0000 | −0.0004 | −0.0004 | −0.0004 | −0.0004 | 0.0001 | 0.0001 | −0.0004 | 0.0000 | −0.0002 |
| 680 | 0.0001 | −0.0004 | −0.0004 | −0.0004 | −0.0004 | −0.0002 | 0.0001 | 0.0000 | −0.0001 | −0.0002 |
| 679 | 0.0001 | −0.0001 | −0.0001 | −0.0001 | −0.0001 | −0.0002 | 0.0004 | −0.0004 | 0.0000 | −0.0001 |
| 678 | 0.0001 | 0.0000 | 0.0000 | 0.0000 | 0.0000 | −0.0003 | 0.0004 | −0.0002 | −0.0001 | 0.0000 |
| 677 | −0.0001 | −0.0002 | −0.0002 | −0.0002 | −0.0002 | −0.0003 | 0.0003 | −0.0005 | 0.0000 | −0.0001 |
| 676 | −0.0002 | −0.0001 | −0.0001 | −0.0001 | −0.0001 | −0.0004 | 0.0001 | −0.0003 | −0.0001 | −0.0001 |
| 675 | −0.0001 | −0.0001 | −0.0001 | −0.0001 | −0.0001 | −0.0005 | 0.0005 | −0.0003 | −0.0004 | −0.0001 |
| 674 | −0.0003 | −0.0004 | −0.0004 | −0.0004 | −0.0004 | −0.0002 | 0.0001 | −0.0001 | −0.0002 | −0.0002 |
| 673 | −0.0005 | −0.0007 | −0.0007 | −0.0007 | −0.0007 | −0.0001 | 0.0006 | 0.0001 | 0.0003 | −0.0002 |
| 672 | −0.0003 | −0.0005 | −0.0005 | −0.0005 | −0.0005 | −0.0001 | 0.0000 | 0.0000 | −0.0002 | −0.0003 |
| 671 | −0.0004 | 0.0000 | 0.0000 | 0.0000 | 0.0000 | −0.0005 | 0.0004 | 0.0000 | 0.0004 | 0.0000 |
| 670 | −0.0002 | −0.0008 | −0.0008 | −0.0008 | −0.0008 | −0.0002 | 0.0002 | −0.0004 | 0.0000 | −0.0004 |
| 669 | −0.0002 | −0.0001 | −0.0001 | −0.0001 | −0.0001 | −0.0004 | 0.0006 | −0.0003 | −0.0004 | −0.0001 |
| 668 | −0.0004 | −0.0002 | −0.0002 | −0.0002 | −0.0002 | −0.0001 | −0.0002 | −0.0002 | −0.0003 | −0.0002 |
| 667 | −0.0003 | −0.0002 | −0.0002 | −0.0002 | −0.0002 | −0.0001 | 0.0006 | −0.0003 | −0.0004 | −0.0001 |
| 666 | 0.0002 | −0.0006 | −0.0006 | −0.0006 | −0.0006 | −0.0004 | 0.0002 | −0.0003 | −0.0005 | −0.0004 |
| 665 | −0.0001 | −0.0004 | −0.0004 | −0.0004 | −0.0004 | 0.0001 | 0.0002 | −0.0003 | −0.0003 | −0.0002 |
| 664 | −0.0001 | −0.0003 | −0.0003 | −0.0003 | −0.0003 | −0.0004 | 0.0004 | −0.0002 | −0.0004 | −0.0002 |
| 663 | −0.0001 | −0.0001 | −0.0001 | −0.0001 | −0.0001 | −0.0003 | 0.0004 | −0.0004 | −0.0004 | −0.0002 |
| 662 | 0.0000 | −0.0002 | −0.0002 | −0.0002 | −0.0002 | −0.0002 | 0.0002 | −0.0008 | −0.0005 | −0.0003 |
| 661 | 0.0001 | −0.0004 | −0.0004 | −0.0004 | −0.0004 | −0.0002 | 0.0005 | −0.0005 | −0.0005 | −0.0003 |
| 660 | 0.0000 | 0.0002 | 0.0002 | 0.0002 | 0.0002 | −0.0001 | 0.0007 | −0.0008 | −0.0002 | 0.0001 |
| 659 | 0.0000 | −0.0001 | −0.0001 | −0.0001 | −0.0001 | 0.0002 | −0.0001 | −0.0002 | −0.0001 | −0.0001 |
| 658 | 0.0001 | −0.0001 | −0.0001 | −0.0001 | −0.0001 | −0.0003 | 0.0005 | −0.0002 | −0.0001 | −0.0001 |
| 657 | −0.0005 | −0.0005 | −0.0005 | −0.0005 | −0.0005 | −0.0003 | 0.0002 | 0.0001 | 0.0002 | −0.0003 |
| 656 | −0.0002 | −0.0001 | −0.0001 | −0.0001 | −0.0001 | 0.0000 | 0.0003 | 0.0001 | −0.0002 | 0.0000 |
| 655 | −0.0004 | −0.0004 | −0.0004 | −0.0004 | −0.0004 | −0.0003 | 0.0004 | 0.0001 | −0.0001 | −0.0002 |
| 654 | −0.0003 | −0.0002 | −0.0002 | −0.0002 | −0.0002 | −0.0003 | −0.0001 | 0.0001 | 0.0004 | −0.0001 |
| 653 | −0.0002 | −0.0002 | −0.0002 | −0.0002 | −0.0002 | −0.0002 | 0.0002 | 0.0000 | 0.0000 | −0.0001 |
| 652 | 0.0001 | −0.0001 | −0.0001 | −0.0001 | −0.0001 | −0.0001 | −0.0004 | −0.0001 | −0.0001 | −0.0001 |
| 651 | −0.0001 | −0.0001 | −0.0001 | −0.0001 | −0.0001 | 0.0002 | 0.0003 | −0.0003 | 0.0000 | 0.0000 |
| 650 | −0.0002 | −0.0003 | −0.0003 | −0.0003 | −0.0003 | −0.0002 | −0.0001 | −0.0001 | −0.0005 | −0.0003 |
| 649 | 0.0002 | −0.0002 | −0.0002 | −0.0002 | −0.0002 | −0.0006 | −0.0002 | −0.0002 | −0.0001 | −0.0002 |
| 648 | −0.0001 | −0.0005 | −0.0005 | −0.0005 | −0.0005 | −0.0002 | 0.0001 | −0.0002 | 0.0001 | −0.0003 |
| 647 | −0.0001 | −0.0004 | −0.0004 | −0.0004 | −0.0004 | −0.0003 | 0.0000 | −0.0006 | 0.0000 | −0.0003 |
| 646 | 0.0000 | −0.0003 | −0.0003 | −0.0003 | −0.0003 | 0.0001 | 0.0001 | −0.0001 | 0.0001 | −0.0001 |
| 645 | −0.0002 | −0.0004 | −0.0004 | −0.0004 | −0.0004 | −0.0001 | −0.0009 | 0.0002 | 0.0001 | −0.0003 |
| 644 | −0.0001 | −0.0006 | −0.0006 | −0.0006 | −0.0006 | −0.0004 | 0.0000 | −0.0002 | 0.0000 | −0.0004 |
| 643 | 0.0002 | −0.0003 | −0.0003 | −0.0003 | −0.0003 | −0.0002 | 0.0002 | −0.0001 | 0.0001 | −0.0001 |
| 642 | 0.0002 | 0.0001 | 0.0001 | 0.0001 | 0.0001 | −0.0004 | −0.0001 | 0.0000 | −0.0001 | 0.0000 |
| 641 | 0.0004 | −0.0002 | −0.0002 | −0.0002 | −0.0002 | −0.0001 | 0.0000 | −0.0003 | 0.0001 | −0.0001 |
| 640 | 0.0001 | −0.0001 | −0.0001 | −0.0001 | −0.0001 | −0.0002 | −0.0001 | −0.0002 | −0.0002 | −0.0001 |
| 639 | 0.0003 | −0.0001 | −0.0001 | −0.0001 | −0.0001 | −0.0002 | 0.0002 | −0.0001 | −0.0004 | −0.0001 |
| 638 | −0.0001 | −0.0003 | −0.0003 | −0.0003 | −0.0003 | −0.0003 | 0.0003 | −0.0001 | −0.0002 | −0.0002 |
| 637 | 0.0002 | −0.0003 | −0.0003 | −0.0003 | −0.0003 | −0.0005 | 0.0005 | 0.0000 | 0.0000 | −0.0001 |
| 636 | 0.0000 | 0.0000 | 0.0000 | 0.0000 | 0.0000 | −0.0004 | 0.0001 | 0.0004 | −0.0005 | −0.0001 |
| 635 | 0.0000 | −0.0002 | −0.0002 | −0.0002 | −0.0002 | −0.0003 | −0.0002 | 0.0001 | −0.0003 | −0.0002 |
| 634 | −0.0005 | −0.0004 | −0.0004 | −0.0004 | −0.0004 | −0.0006 | 0.0004 | −0.0001 | −0.0005 | −0.0003 |
| 633 | −0.0002 | −0.0004 | −0.0004 | −0.0004 | −0.0004 | 0.0000 | 0.0000 | 0.0000 | −0.0002 | −0.0002 |
| 632 | −0.0001 | −0.0004 | −0.0004 | −0.0004 | −0.0004 | 0.0002 | 0.0004 | −0.0001 | 0.0001 | −0.0001 |
| 631 | −0.0001 | −0.0001 | −0.0001 | −0.0001 | −0.0001 | −0.0003 | −0.0005 | −0.0002 | 0.0000 | −0.0002 |
| 630 | −0.0004 | −0.0002 | −0.0002 | −0.0002 | −0.0002 | 0.0000 | 0.0003 | −0.0002 | −0.0003 | −0.0001 |
| 629 | −0.0005 | −0.0002 | −0.0002 | −0.0002 | −0.0002 | −0.0001 | 0.0002 | −0.0002 | −0.0003 | −0.0002 |
| 628 | −0.0003 | −0.0008 | −0.0008 | −0.0008 | −0.0008 | −0.0002 | 0.0005 | 0.0000 | −0.0001 | −0.0004 |
| 627 | 0.0000 | −0.0006 | −0.0006 | −0.0006 | −0.0006 | −0.0002 | −0.0002 | −0.0001 | −0.0004 | −0.0004 |
| 626 | −0.0002 | −0.0003 | −0.0003 | −0.0003 | −0.0003 | 0.0001 | 0.0000 | 0.0000 | −0.0004 | −0.0002 |
| 625 | 0.0003 | −0.0004 | −0.0004 | −0.0004 | −0.0004 | −0.0002 | 0.0005 | −0.0001 | −0.0005 | −0.0002 |
| 624 | 0.0005 | −0.0001 | −0.0001 | −0.0001 | −0.0001 | −0.0006 | 0.0003 | −0.0001 | 0.0001 | 0.0000 |
| 623 | 0.0002 | −0.0001 | −0.0001 | −0.0001 | −0.0001 | −0.0001 | 0.0000 | 0.0001 | −0.0003 | −0.0001 |
| 622 | 0.0004 | −0.0003 | −0.0003 | −0.0003 | −0.0003 | −0.0007 | −0.0001 | −0.0001 | −0.0002 | −0.0002 |
| 621 | 0.0003 | −0.0001 | −0.0001 | −0.0001 | −0.0001 | −0.0004 | 0.0002 | 0.0003 | −0.0001 | 0.0000 |
| 620 | 0.0001 | 0.0002 | 0.0002 | 0.0002 | 0.0002 | −0.0002 | 0.0003 | 0.0000 | −0.0001 | 0.0001 |
| 619 | 0.0000 | 0.0001 | 0.0001 | 0.0001 | 0.0001 | −0.0001 | 0.0000 | 0.0000 | −0.0002 | 0.0000 |
| 618 | 0.0000 | 0.0000 | 0.0000 | 0.0000 | 0.0000 | −0.0003 | −0.0002 | −0.0002 | 0.0001 | −0.0001 |
| 617 | −0.0002 | 0.0000 | 0.0000 | 0.0000 | 0.0000 | −0.0005 | −0.0002 | −0.0001 | −0.0002 | −0.0001 |
| 616 | −0.0002 | −0.0001 | −0.0001 | −0.0001 | −0.0001 | −0.0001 | 0.0000 | −0.0003 | −0.0002 | −0.0001 |
| 615 | −0.0001 | −0.0005 | −0.0005 | −0.0005 | −0.0005 | −0.0003 | 0.0001 | −0.0001 | −0.0002 | −0.0003 |
| 614 | −0.0003 | 0.0001 | 0.0001 | 0.0001 | 0.0001 | −0.0003 | 0.0002 | −0.0004 | −0.0004 | −0.0001 |
| 613 | −0.0004 | −0.0001 | −0.0001 | −0.0001 | −0.0001 | −0.0002 | 0.0006 | −0.0002 | −0.0001 | −0.0001 |
| 612 | −0.0003 | −0.0001 | −0.0001 | −0.0001 | −0.0001 | −0.0004 | 0.0002 | 0.0000 | 0.0001 | −0.0001 |
| 611 | 0.0001 | −0.0003 | −0.0003 | −0.0003 | −0.0003 | −0.0006 | 0.0008 | 0.0001 | 0.0001 | −0.0001 |
| 610 | 0.0002 | −0.0002 | −0.0002 | −0.0002 | −0.0002 | −0.0002 | 0.0002 | −0.0001 | 0.0003 | 0.0000 |
| 609 | 0.0002 | 0.0001 | 0.0001 | 0.0001 | 0.0001 | −0.0003 | 0.0002 | −0.0002 | −0.0003 | 0.0000 |
| 608 | −0.0002 | −0.0004 | −0.0004 | −0.0004 | −0.0004 | −0.0001 | 0.0000 | −0.0001 | −0.0001 | −0.0003 |
| 607 | 0.0000 | −0.0001 | −0.0001 | −0.0001 | −0.0001 | −0.0002 | 0.0000 | −0.0001 | 0.0000 | −0.0001 |
| 606 | 0.0003 | −0.0005 | −0.0005 | −0.0005 | −0.0005 | −0.0001 | 0.0003 | −0.0003 | −0.0001 | −0.0002 |
| 605 | −0.0001 | −0.0006 | −0.0006 | −0.0006 | −0.0006 | −0.0005 | 0.0001 | −0.0006 | −0.0004 | −0.0005 |
| 604 | −0.0001 | −0.0001 | −0.0001 | −0.0001 | −0.0001 | −0.0004 | 0.0003 | −0.0002 | −0.0005 | −0.0001 |
| 603 | −0.0004 | −0.0002 | −0.0002 | −0.0002 | −0.0002 | −0.0004 | −0.0001 | −0.0001 | −0.0005 | −0.0003 |
| 602 | −0.0002 | −0.0001 | −0.0001 | −0.0001 | −0.0001 | −0.0002 | 0.0005 | −0.0003 | −0.0006 | −0.0001 |
| 601 | −0.0004 | −0.0002 | −0.0002 | −0.0002 | −0.0002 | −0.0003 | 0.0003 | −0.0003 | −0.0003 | −0.0002 |
| 600 | −0.0002 | −0.0003 | −0.0003 | −0.0003 | −0.0003 | −0.0004 | 0.0003 | 0.0000 | −0.0003 | −0.0002 |
| 599 | −0.0003 | −0.0005 | −0.0005 | −0.0005 | −0.0005 | −0.0004 | 0.0007 | 0.0000 | −0.0002 | −0.0002 |
| 598 | 0.0001 | −0.0005 | −0.0005 | −0.0005 | −0.0005 | −0.0003 | 0.0002 | 0.0000 | −0.0001 | −0.0002 |
| 597 | 0.0002 | −0.0004 | −0.0004 | −0.0004 | −0.0004 | −0.0003 | 0.0002 | −0.0002 | −0.0001 | −0.0002 |
| 596 | −0.0002 | −0.0004 | −0.0004 | −0.0004 | −0.0004 | −0.0008 | 0.0002 | −0.0002 | 0.0001 | −0.0003 |
| 595 | −0.0001 | −0.0003 | −0.0003 | −0.0003 | −0.0003 | −0.0005 | 0.0005 | 0.0002 | 0.0001 | −0.0001 |
| 594 | 0.0000 | −0.0004 | −0.0004 | −0.0004 | −0.0004 | −0.0003 | −0.0003 | 0.0000 | 0.0003 | −0.0002 |
| 593 | −0.0002 | −0.0002 | −0.0002 | −0.0002 | −0.0002 | −0.0002 | 0.0002 | 0.0000 | 0.0001 | −0.0001 |
| 592 | −0.0001 | −0.0004 | −0.0004 | −0.0004 | −0.0004 | −0.0003 | −0.0001 | −0.0003 | 0.0001 | −0.0003 |
| 591 | −0.0001 | −0.0005 | −0.0005 | −0.0005 | −0.0005 | −0.0002 | 0.0001 | −0.0002 | 0.0000 | −0.0003 |
| 590 | 0.0000 | 0.0000 | 0.0000 | 0.0000 | 0.0000 | −0.0003 | 0.0002 | −0.0003 | 0.0001 | 0.0000 |
| 589 | 0.0003 | −0.0005 | −0.0005 | −0.0005 | −0.0005 | −0.0005 | 0.0005 | −0.0006 | −0.0002 | −0.0003 |
| 588 | −0.0001 | −0.0005 | −0.0005 | −0.0005 | −0.0005 | 0.0005 | 0.0002 | −0.0002 | −0.0005 | −0.0002 |
| 587 | 0.0000 | −0.0003 | −0.0003 | −0.0003 | −0.0003 | −0.0003 | −0.0004 | −0.0001 | −0.0002 | −0.0003 |
| 586 | −0.0002 | −0.0003 | −0.0003 | −0.0003 | −0.0003 | −0.0004 | 0.0005 | −0.0001 | 0.0001 | −0.0001 |
| 585 | −0.0001 | −0.0001 | −0.0001 | −0.0001 | −0.0001 | −0.0003 | −0.0001 | 0.0002 | −0.0002 | −0.0001 |
| 584 | −0.0001 | −0.0003 | −0.0003 | −0.0003 | −0.0003 | −0.0005 | −0.0002 | 0.0002 | −0.0004 | −0.0003 |
| 583 | −0.0005 | 0.0000 | 0.0000 | 0.0000 | 0.0000 | −0.0002 | 0.0004 | −0.0001 | −0.0005 | −0.0001 |
| 582 | −0.0003 | 0.0000 | 0.0000 | 0.0000 | 0.0000 | −0.0003 | 0.0002 | 0.0001 | −0.0005 | −0.0001 |
| 581 | −0.0003 | −0.0005 | −0.0005 | −0.0005 | −0.0005 | 0.0000 | −0.0001 | 0.0001 | −0.0005 | −0.0003 |
| 580 | −0.0001 | 0.0000 | 0.0000 | 0.0000 | 0.0000 | 0.0000 | 0.0000 | −0.0004 | −0.0003 | −0.0001 |
| 579 | −0.0003 | −0.0001 | −0.0001 | −0.0001 | −0.0001 | −0.0004 | 0.0002 | −0.0001 | −0.0004 | −0.0002 |
| 578 | −0.0001 | −0.0002 | −0.0002 | −0.0002 | −0.0002 | −0.0003 | 0.0001 | −0.0001 | 0.0001 | −0.0001 |
| 577 | −0.0003 | −0.0003 | −0.0003 | −0.0003 | −0.0003 | −0.0009 | −0.0001 | −0.0002 | −0.0002 | −0.0003 |
| 576 | −0.0002 | −0.0002 | −0.0002 | −0.0002 | −0.0002 | 0.0000 | 0.0000 | −0.0002 | −0.0005 | −0.0002 |
| 575 | 0.0000 | −0.0001 | −0.0001 | −0.0001 | −0.0001 | −0.0004 | 0.0004 | −0.0004 | −0.0001 | −0.0001 |
| 574 | 0.0001 | −0.0004 | −0.0004 | −0.0004 | −0.0004 | −0.0001 | −0.0001 | −0.0005 | 0.0003 | −0.0002 |
| 573 | 0.0002 | −0.0002 | −0.0002 | −0.0002 | −0.0002 | −0.0003 | 0.0001 | −0.0003 | 0.0003 | −0.0001 |
| 572 | −0.0004 | −0.0003 | −0.0003 | −0.0003 | −0.0003 | −0.0005 | −0.0001 | −0.0004 | 0.0003 | −0.0002 |
| 571 | −0.0001 | 0.0001 | 0.0001 | 0.0001 | 0.0001 | −0.0001 | 0.0000 | −0.0001 | 0.0000 | 0.0000 |
| 570 | −0.0003 | −0.0003 | −0.0003 | −0.0003 | −0.0003 | −0.0002 | −0.0003 | −0.0002 | 0.0003 | −0.0002 |
| 569 | 0.0000 | −0.0004 | −0.0004 | −0.0004 | −0.0004 | −0.0004 | 0.0006 | −0.0002 | 0.0000 | −0.0002 |
| 568 | 0.0002 | −0.0003 | −0.0003 | −0.0003 | −0.0003 | −0.0001 | 0.0005 | 0.0001 | 0.0002 | 0.0000 |
| 567 | −0.0002 | −0.0001 | −0.0001 | −0.0001 | −0.0001 | −0.0004 | 0.0004 | 0.0001 | −0.0001 | −0.0001 |
| 566 | 0.0001 | −0.0003 | −0.0003 | −0.0003 | −0.0003 | −0.0006 | 0.0002 | 0.0002 | −0.0002 | −0.0001 |
| 565 | −0.0001 | 0.0000 | 0.0000 | 0.0000 | 0.0000 | −0.0002 | 0.0003 | −0.0001 | 0.0000 | 0.0000 |
| 564 | −0.0001 | −0.0005 | −0.0005 | −0.0005 | −0.0005 | −0.0002 | 0.0002 | 0.0001 | 0.0000 | −0.0002 |
| 563 | −0.0001 | −0.0001 | −0.0001 | −0.0001 | −0.0001 | −0.0004 | −0.0001 | 0.0001 | 0.0000 | −0.0001 |
| 562 | −0.0004 | 0.0001 | 0.0001 | 0.0001 | 0.0001 | −0.0002 | −0.0002 | −0.0002 | −0.0006 | −0.0001 |
| 561 | −0.0001 | −0.0002 | −0.0002 | −0.0002 | −0.0002 | −0.0002 | 0.0001 | −0.0004 | −0.0002 | −0.0002 |
| 560 | −0.0002 | 0.0000 | 0.0000 | 0.0000 | 0.0000 | −0.0003 | −0.0004 | −0.0005 | −0.0003 | −0.0002 |
| 559 | −0.0002 | −0.0004 | −0.0004 | −0.0004 | −0.0004 | −0.0001 | 0.0000 | −0.0004 | −0.0006 | −0.0003 |
| 558 | −0.0002 | 0.0004 | 0.0004 | 0.0004 | 0.0004 | −0.0002 | 0.0003 | −0.0001 | 0.0002 | 0.0002 |
| 557 | −0.0002 | −0.0006 | −0.0006 | −0.0006 | −0.0006 | −0.0003 | 0.0002 | 0.0000 | −0.0003 | −0.0004 |
| 556 | −0.0001 | −0.0005 | −0.0005 | −0.0005 | −0.0005 | 0.0000 | 0.0002 | −0.0005 | −0.0002 | −0.0003 |
| 555 | −0.0002 | −0.0001 | −0.0001 | −0.0001 | −0.0001 | −0.0005 | −0.0003 | 0.0000 | −0.0004 | −0.0002 |
| 554 | −0.0002 | −0.0004 | −0.0004 | −0.0004 | −0.0004 | 0.0002 | −0.0004 | −0.0004 | 0.0000 | −0.0003 |
| 553 | 0.0002 | −0.0003 | −0.0003 | −0.0003 | −0.0003 | −0.0001 | 0.0002 | −0.0001 | 0.0000 | −0.0001 |
| 552 | −0.0002 | 0.0000 | 0.0000 | 0.0000 | 0.0000 | −0.0005 | 0.0002 | 0.0001 | −0.0002 | 0.0000 |
| 551 | 0.0001 | −0.0002 | −0.0002 | −0.0002 | −0.0002 | −0.0002 | 0.0001 | 0.0002 | 0.0001 | −0.0001 |
| 550 | −0.0004 | 0.0000 | 0.0000 | 0.0000 | 0.0000 | −0.0001 | 0.0003 | −0.0003 | −0.0003 | −0.0001 |
| 549 | −0.0002 | 0.0001 | 0.0001 | 0.0001 | 0.0001 | −0.0002 | 0.0001 | 0.0002 | 0.0003 | 0.0001 |
| 548 | −0.0004 | 0.0001 | 0.0001 | 0.0001 | 0.0001 | −0.0004 | 0.0004 | −0.0001 | −0.0001 | 0.0000 |
| 547 | 0.0000 | −0.0004 | −0.0004 | −0.0004 | −0.0004 | −0.0003 | −0.0003 | 0.0000 | −0.0001 | −0.0003 |
| 546 | −0.0003 | 0.0001 | 0.0001 | 0.0001 | 0.0001 | −0.0005 | 0.0001 | 0.0004 | 0.0000 | 0.0000 |
| 545 | 0.0001 | 0.0000 | 0.0000 | 0.0000 | 0.0000 | 0.0000 | −0.0001 | 0.0004 | −0.0001 | 0.0000 |
| 544 | −0.0001 | −0.0002 | −0.0002 | −0.0002 | −0.0002 | −0.0001 | 0.0000 | 0.0000 | 0.0000 | −0.0001 |
| 543 | −0.0003 | −0.0002 | −0.0002 | −0.0002 | −0.0002 | −0.0005 | 0.0001 | 0.0001 | −0.0002 | −0.0002 |
| 542 | −0.0004 | −0.0004 | −0.0004 | −0.0004 | −0.0004 | −0.0006 | 0.0001 | −0.0001 | 0.0000 | −0.0003 |
| 541 | −0.0002 | −0.0002 | −0.0002 | −0.0002 | −0.0002 | 0.0001 | −0.0002 | −0.0001 | −0.0003 | −0.0002 |
| 540 | −0.0004 | 0.0002 | 0.0002 | 0.0002 | 0.0002 | −0.0002 | 0.0003 | 0.0000 | −0.0005 | 0.0000 |
| 539 | −0.0002 | −0.0001 | −0.0001 | −0.0001 | −0.0001 | −0.0004 | 0.0001 | −0.0001 | −0.0002 | −0.0001 |
| 538 | 0.0001 | 0.0000 | 0.0000 | 0.0000 | 0.0000 | −0.0003 | 0.0001 | −0.0001 | −0.0004 | −0.0001 |
| 537 | 0.0000 | −0.0001 | −0.0001 | −0.0001 | −0.0001 | −0.0002 | −0.0002 | −0.0001 | −0.0001 | −0.0001 |
| 536 | 0.0000 | 0.0003 | 0.0003 | 0.0003 | 0.0003 | −0.0007 | 0.0002 | 0.0001 | −0.0001 | 0.0001 |
| 535 | 0.0000 | −0.0005 | −0.0005 | −0.0005 | −0.0005 | −0.0001 | 0.0004 | −0.0001 | −0.0004 | −0.0002 |
| 534 | −0.0001 | −0.0001 | −0.0001 | −0.0001 | −0.0001 | −0.0004 | −0.0001 | 0.0004 | −0.0004 | −0.0001 |
| 533 | −0.0002 | −0.0002 | −0.0002 | −0.0002 | −0.0002 | −0.0004 | 0.0001 | 0.0003 | −0.0001 | −0.0001 |
| 532 | 0.0001 | −0.0003 | −0.0003 | −0.0003 | −0.0003 | −0.0001 | 0.0002 | −0.0003 | 0.0000 | −0.0001 |
| 531 | 0.0000 | −0.0002 | −0.0002 | −0.0002 | −0.0002 | −0.0005 | 0.0005 | −0.0005 | 0.0000 | −0.0001 |
| 530 | −0.0003 | −0.0005 | −0.0005 | −0.0005 | −0.0005 | −0.0003 | 0.0002 | −0.0002 | −0.0002 | −0.0003 |
| 529 | 0.0001 | −0.0001 | −0.0001 | −0.0001 | −0.0001 | −0.0003 | 0.0001 | 0.0004 | −0.0004 | −0.0001 |
| 528 | −0.0002 | −0.0002 | −0.0002 | −0.0002 | −0.0002 | −0.0002 | −0.0003 | −0.0001 | 0.0000 | −0.0002 |
| 527 | 0.0001 | −0.0001 | −0.0001 | −0.0001 | −0.0001 | −0.0001 | 0.0001 | −0.0001 | 0.0000 | 0.0000 |
| 526 | −0.0002 | 0.0001 | 0.0001 | 0.0001 | 0.0001 | −0.0002 | 0.0000 | −0.0002 | −0.0001 | 0.0000 |
| 525 | −0.0001 | 0.0001 | 0.0001 | 0.0001 | 0.0001 | −0.0004 | 0.0003 | −0.0004 | 0.0000 | 0.0000 |
| 524 | −0.0003 | 0.0001 | 0.0001 | 0.0001 | 0.0001 | −0.0001 | 0.0000 | −0.0001 | 0.0000 | 0.0000 |
| 523 | −0.0002 | 0.0004 | 0.0004 | 0.0004 | 0.0004 | −0.0005 | −0.0005 | −0.0003 | −0.0001 | 0.0000 |
| 522 | −0.0003 | −0.0003 | −0.0003 | −0.0003 | −0.0003 | −0.0002 | 0.0000 | −0.0002 | 0.0000 | −0.0002 |
| 521 | 0.0000 | −0.0005 | −0.0005 | −0.0005 | −0.0005 | −0.0002 | 0.0003 | −0.0002 | −0.0001 | −0.0002 |
| 520 | −0.0002 | −0.0003 | −0.0003 | −0.0003 | −0.0003 | −0.0005 | 0.0002 | −0.0002 | 0.0001 | −0.0002 |
| 519 | 0.0002 | −0.0001 | −0.0001 | −0.0001 | −0.0001 | −0.0003 | 0.0002 | −0.0003 | 0.0002 | −0.0001 |
| 518 | −0.0002 | −0.0001 | −0.0001 | −0.0001 | −0.0001 | −0.0001 | −0.0004 | 0.0002 | −0.0003 | −0.0002 |
| 517 | −0.0001 | 0.0000 | 0.0000 | 0.0000 | 0.0000 | −0.0003 | −0.0004 | −0.0003 | −0.0002 | −0.0001 |
| 516 | 0.0000 | −0.0002 | −0.0002 | −0.0002 | −0.0002 | −0.0003 | 0.0001 | 0.0001 | −0.0005 | −0.0001 |
| 515 | −0.0002 | 0.0002 | 0.0002 | 0.0002 | 0.0002 | −0.0004 | 0.0004 | 0.0001 | −0.0007 | 0.0000 |
| 514 | −0.0002 | 0.0000 | 0.0000 | 0.0000 | 0.0000 | −0.0006 | 0.0005 | −0.0001 | −0.0002 | −0.0001 |
| 513 | 0.0001 | 0.0000 | 0.0000 | 0.0000 | 0.0000 | −0.0006 | 0.0003 | −0.0002 | −0.0002 | −0.0001 |
| 512 | −0.0003 | −0.0001 | −0.0001 | −0.0001 | −0.0001 | −0.0005 | −0.0001 | −0.0002 | −0.0003 | −0.0002 |
| 511 | 0.0001 | 0.0001 | 0.0001 | 0.0001 | 0.0001 | −0.0005 | 0.0003 | 0.0002 | −0.0003 | 0.0000 |
| 510 | 0.0000 | −0.0002 | −0.0002 | −0.0002 | −0.0002 | −0.0003 | 0.0003 | −0.0001 | 0.0000 | −0.0001 |
| 509 | −0.0003 | −0.0004 | −0.0004 | −0.0004 | −0.0004 | −0.0003 | −0.0002 | 0.0001 | −0.0003 | −0.0003 |
| 508 | −0.0001 | −0.0005 | −0.0005 | −0.0005 | −0.0005 | −0.0003 | 0.0001 | 0.0002 | −0.0005 | −0.0003 |
| 507 | −0.0002 | 0.0000 | 0.0000 | 0.0000 | 0.0000 | −0.0003 | 0.0002 | −0.0006 | −0.0003 | −0.0002 |
| 506 | −0.0003 | −0.0003 | −0.0003 | −0.0003 | −0.0003 | −0.0005 | −0.0001 | −0.0002 | −0.0004 | −0.0003 |
| 505 | 0.0000 | 0.0001 | 0.0001 | 0.0001 | 0.0001 | −0.0007 | −0.0003 | 0.0003 | −0.0003 | −0.0001 |
| 504 | −0.0001 | −0.0002 | −0.0002 | −0.0002 | −0.0002 | −0.0001 | −0.0001 | 0.0000 | −0.0004 | −0.0002 |
| 503 | 0.0000 | 0.0002 | 0.0002 | 0.0002 | 0.0002 | −0.0003 | 0.0003 | 0.0005 | −0.0004 | 0.0001 |
| 502 | 0.0002 | 0.0001 | 0.0001 | 0.0001 | 0.0001 | −0.0002 | 0.0001 | 0.0002 | 0.0002 | 0.0001 |
| 501 | 0.0002 | 0.0000 | 0.0000 | 0.0000 | 0.0000 | −0.0007 | 0.0003 | −0.0001 | 0.0001 | 0.0000 |
| 500 | 0.0002 | −0.0002 | −0.0002 | −0.0002 | −0.0002 | 0.0001 | 0.0009 | −0.0002 | 0.0000 | 0.0000 |
| 499 | 0.0001 | −0.0001 | −0.0001 | −0.0001 | −0.0001 | −0.0006 | −0.0003 | −0.0002 | −0.0003 | −0.0002 |
| 498 | 0.0001 | −0.0001 | −0.0001 | −0.0001 | −0.0001 | −0.0002 | −0.0002 | 0.0003 | 0.0001 | 0.0000 |
| 497 | 0.0004 | −0.0003 | −0.0003 | −0.0003 | −0.0003 | −0.0006 | 0.0004 | 0.0000 | 0.0002 | −0.0001 |
| 496 | −0.0005 | 0.0001 | 0.0001 | 0.0001 | 0.0001 | −0.0004 | −0.0002 | 0.0000 | 0.0001 | −0.0001 |
| 495 | −0.0003 | −0.0002 | −0.0002 | −0.0002 | −0.0002 | −0.0006 | −0.0003 | −0.0001 | −0.0002 | −0.0002 |
| 494 | −0.0006 | −0.0005 | −0.0005 | −0.0005 | −0.0005 | 0.0002 | 0.0004 | −0.0008 | 0.0002 | −0.0003 |
| 493 | −0.0004 | 0.0002 | 0.0002 | 0.0002 | 0.0002 | −0.0002 | −0.0003 | 0.0003 | 0.0000 | 0.0000 |
| 492 | −0.0006 | −0.0005 | −0.0005 | −0.0005 | −0.0005 | −0.0006 | 0.0000 | 0.0000 | 0.0002 | −0.0004 |
| 491 | −0.0002 | −0.0005 | −0.0005 | −0.0005 | −0.0005 | −0.0001 | 0.0001 | 0.0003 | 0.0002 | −0.0002 |
| 490 | 0.0000 | −0.0006 | −0.0006 | −0.0006 | −0.0006 | −0.0003 | 0.0002 | 0.0003 | −0.0003 | −0.0003 |
| 489 | −0.0002 | −0.0002 | −0.0002 | −0.0002 | −0.0002 | −0.0003 | −0.0002 | 0.0000 | −0.0001 | −0.0002 |
| 488 | 0.0000 | 0.0000 | 0.0000 | 0.0000 | 0.0000 | −0.0003 | −0.0001 | −0.0003 | −0.0001 | −0.0001 |
| 487 | −0.0001 | −0.0001 | −0.0001 | −0.0001 | −0.0001 | −0.0008 | 0.0003 | −0.0003 | 0.0000 | −0.0001 |
| 486 | 0.0004 | 0.0001 | 0.0001 | 0.0001 | 0.0001 | 0.0002 | 0.0002 | −0.0002 | 0.0001 | 0.0001 |
| 485 | 0.0000 | −0.0002 | −0.0002 | −0.0002 | −0.0002 | −0.0004 | −0.0004 | −0.0001 | −0.0004 | −0.0002 |
| 484 | −0.0003 | −0.0002 | −0.0002 | −0.0002 | −0.0002 | −0.0003 | −0.0001 | −0.0002 | −0.0002 | −0.0002 |
| 483 | −0.0001 | −0.0003 | −0.0003 | −0.0003 | −0.0003 | 0.0000 | −0.0001 | −0.0002 | −0.0001 | −0.0002 |
| 482 | −0.0001 | −0.0003 | −0.0003 | −0.0003 | −0.0003 | −0.0001 | −0.0001 | −0.0002 | −0.0002 | −0.0002 |
| 481 | −0.0002 | −0.0006 | −0.0006 | −0.0006 | −0.0006 | −0.0003 | −0.0001 | −0.0005 | −0.0006 | −0.0005 |
| 480 | −0.0004 | −0.0003 | −0.0003 | −0.0003 | −0.0003 | −0.0005 | −0.0002 | 0.0006 | −0.0003 | −0.0002 |
| 479 | −0.0003 | 0.0003 | 0.0003 | 0.0003 | 0.0003 | −0.0007 | 0.0003 | −0.0002 | 0.0001 | 0.0001 |
| 478 | 0.0001 | −0.0006 | −0.0006 | −0.0006 | −0.0006 | −0.0005 | 0.0001 | −0.0005 | 0.0002 | −0.0004 |
| 477 | 0.0001 | 0.0001 | 0.0001 | 0.0001 | 0.0001 | −0.0004 | 0.0003 | −0.0001 | 0.0003 | 0.0000 |
| 476 | −0.0001 | −0.0001 | −0.0001 | −0.0001 | −0.0001 | −0.0001 | 0.0001 | −0.0001 | −0.0001 | −0.0001 |
| 475 | −0.0004 | −0.0001 | −0.0001 | −0.0001 | −0.0001 | −0.0001 | −0.0004 | −0.0001 | −0.0003 | −0.0002 |
| 474 | −0.0004 | 0.0001 | 0.0001 | 0.0001 | 0.0001 | −0.0007 | 0.0007 | 0.0004 | −0.0002 | 0.0000 |
| 473 | −0.0001 | 0.0003 | 0.0003 | 0.0003 | 0.0003 | −0.0006 | 0.0000 | −0.0002 | −0.0002 | 0.0000 |
| 472 | −0.0001 | 0.0000 | 0.0000 | 0.0000 | 0.0000 | −0.0003 | 0.0006 | 0.0000 | −0.0006 | −0.0001 |
| 471 | −0.0001 | 0.0001 | 0.0001 | 0.0001 | 0.0001 | −0.0007 | 0.0001 | −0.0003 | 0.0002 | 0.0000 |
| 470 | −0.0001 | 0.0000 | 0.0000 | 0.0000 | 0.0000 | 0.0000 | 0.0001 | −0.0001 | −0.0005 | −0.0001 |
| 469 | 0.0000 | −0.0002 | −0.0002 | −0.0002 | −0.0002 | −0.0005 | 0.0002 | −0.0002 | 0.0002 | −0.0001 |
| 468 | 0.0001 | −0.0006 | −0.0006 | −0.0006 | −0.0006 | −0.0001 | 0.0004 | 0.0000 | −0.0002 | −0.0002 |
| 467 | 0.0000 | 0.0001 | 0.0001 | 0.0001 | 0.0001 | −0.0008 | −0.0005 | 0.0002 | −0.0001 | −0.0001 |
| 466 | 0.0000 | −0.0007 | −0.0007 | −0.0007 | −0.0007 | −0.0005 | 0.0001 | −0.0002 | −0.0002 | −0.0004 |
| 465 | −0.0002 | −0.0003 | −0.0003 | −0.0003 | −0.0003 | −0.0005 | 0.0000 | −0.0001 | −0.0004 | −0.0002 |
| 464 | 0.0001 | −0.0003 | −0.0003 | −0.0003 | −0.0003 | −0.0008 | −0.0001 | −0.0005 | 0.0001 | −0.0003 |
| 463 | 0.0001 | −0.0005 | −0.0005 | −0.0005 | −0.0005 | −0.0004 | 0.0001 | −0.0004 | −0.0002 | −0.0003 |
| 462 | −0.0004 | −0.0004 | −0.0004 | −0.0004 | −0.0004 | −0.0005 | 0.0004 | −0.0001 | −0.0002 | −0.0003 |
| 461 | −0.0002 | 0.0000 | 0.0000 | 0.0000 | 0.0000 | −0.0001 | 0.0000 | −0.0004 | −0.0007 | −0.0001 |
| 460 | −0.0003 | −0.0002 | −0.0002 | −0.0002 | −0.0002 | −0.0004 | −0.0004 | −0.0002 | −0.0003 | −0.0002 |
| 459 | −0.0003 | 0.0000 | 0.0000 | 0.0000 | 0.0000 | 0.0001 | 0.0004 | −0.0001 | 0.0000 | 0.0000 |
| 458 | 0.0000 | −0.0002 | −0.0002 | −0.0002 | −0.0002 | −0.0004 | −0.0005 | −0.0003 | 0.0000 | −0.0002 |
| 457 | −0.0004 | −0.0003 | −0.0003 | −0.0003 | −0.0003 | −0.0002 | 0.0003 | 0.0001 | 0.0001 | −0.0002 |
| 456 | −0.0005 | −0.0001 | −0.0001 | −0.0001 | −0.0001 | −0.0005 | −0.0005 | −0.0005 | 0.0000 | −0.0003 |
| 455 | −0.0004 | −0.0002 | −0.0002 | −0.0002 | −0.0002 | 0.0000 | 0.0000 | −0.0004 | 0.0003 | −0.0001 |
| 454 | −0.0001 | 0.0002 | 0.0002 | 0.0002 | 0.0002 | −0.0009 | 0.0000 | −0.0004 | 0.0002 | 0.0000 |
| 453 | 0.0000 | 0.0001 | 0.0001 | 0.0001 | 0.0001 | −0.0002 | 0.0004 | −0.0006 | −0.0005 | −0.0001 |
| 452 | −0.0003 | −0.0002 | −0.0002 | −0.0002 | −0.0002 | −0.0001 | 0.0003 | −0.0001 | 0.0003 | −0.0001 |
| 451 | 0.0004 | 0.0001 | 0.0001 | 0.0001 | 0.0001 | −0.0002 | 0.0004 | −0.0001 | −0.0005 | 0.0000 |
| 450 | 0.0003 | 0.0000 | 0.0000 | 0.0000 | 0.0000 | 0.0002 | 0.0005 | −0.0001 | 0.0002 | 0.0001 |
| 449 | −0.0002 | −0.0002 | −0.0002 | −0.0002 | −0.0002 | −0.0006 | 0.0003 | −0.0002 | −0.0002 | −0.0002 |
| 448 | 0.0002 | 0.0001 | 0.0001 | 0.0001 | 0.0001 | 0.0000 | −0.0001 | −0.0005 | −0.0002 | 0.0000 |
| 447 | −0.0006 | −0.0002 | −0.0002 | −0.0002 | −0.0002 | −0.0006 | −0.0003 | 0.0000 | 0.0005 | −0.0002 |
| 446 | −0.0002 | −0.0004 | −0.0004 | −0.0004 | −0.0004 | −0.0003 | −0.0001 | −0.0001 | −0.0001 | −0.0002 |
| 445 | −0.0004 | −0.0004 | −0.0004 | −0.0004 | −0.0004 | −0.0002 | −0.0001 | −0.0006 | −0.0003 | −0.0003 |
| 444 | −0.0003 | −0.0001 | −0.0001 | −0.0001 | −0.0001 | −0.0002 | 0.0001 | −0.0002 | −0.0007 | −0.0002 |
| 443 | −0.0001 | 0.0000 | 0.0000 | 0.0000 | 0.0000 | 0.0002 | 0.0001 | −0.0003 | −0.0008 | −0.0001 |
| 442 | −0.0002 | −0.0003 | −0.0003 | −0.0003 | −0.0003 | −0.0005 | −0.0001 | 0.0001 | −0.0002 | −0.0003 |
| 441 | 0.0001 | −0.0001 | −0.0001 | −0.0001 | −0.0001 | −0.0002 | −0.0003 | −0.0003 | −0.0002 | −0.0001 |
| 440 | 0.0001 | −0.0008 | −0.0008 | −0.0008 | −0.0008 | −0.0001 | 0.0003 | −0.0004 | −0.0007 | −0.0004 |
| 439 | −0.0003 | −0.0006 | −0.0006 | −0.0006 | −0.0006 | −0.0002 | 0.0002 | 0.0000 | −0.0002 | −0.0003 |
| 438 | −0.0006 | −0.0003 | −0.0003 | −0.0003 | −0.0003 | −0.0002 | 0.0002 | −0.0002 | −0.0003 | −0.0003 |
| 437 | −0.0001 | −0.0003 | −0.0003 | −0.0003 | −0.0003 | −0.0003 | 0.0002 | 0.0000 | −0.0001 | −0.0002 |
| 436 | −0.0004 | 0.0001 | 0.0001 | 0.0001 | 0.0001 | −0.0002 | 0.0006 | −0.0005 | −0.0005 | 0.0000 |
| 435 | −0.0003 | 0.0000 | 0.0000 | 0.0000 | 0.0000 | 0.0000 | −0.0005 | −0.0004 | −0.0002 | −0.0001 |
| 434 | 0.0000 | 0.0001 | 0.0001 | 0.0001 | 0.0001 | −0.0003 | −0.0005 | −0.0002 | 0.0000 | −0.0001 |
| 433 | 0.0001 | 0.0001 | 0.0001 | 0.0001 | 0.0001 | −0.0005 | 0.0000 | −0.0008 | −0.0001 | −0.0001 |
| 432 | −0.0001 | 0.0003 | 0.0003 | 0.0003 | 0.0003 | −0.0002 | −0.0004 | −0.0002 | 0.0000 | 0.0000 |
| 431 | 0.0001 | 0.0002 | 0.0002 | 0.0002 | 0.0002 | −0.0003 | 0.0001 | −0.0005 | 0.0002 | 0.0000 |
| 430 | 0.0001 | 0.0002 | 0.0002 | 0.0002 | 0.0002 | −0.0002 | 0.0001 | −0.0002 | 0.0002 | 0.0001 |
| 429 | −0.0001 | 0.0003 | 0.0003 | 0.0003 | 0.0003 | −0.0002 | 0.0002 | 0.0000 | 0.0000 | 0.0001 |
| 428 | −0.0004 | 0.0000 | 0.0000 | 0.0000 | 0.0000 | −0.0002 | −0.0006 | −0.0002 | 0.0000 | −0.0002 |
| 427 | −0.0001 | 0.0001 | 0.0001 | 0.0001 | 0.0001 | 0.0000 | −0.0004 | −0.0007 | 0.0001 | −0.0001 |
| 426 | 0.0000 | 0.0000 | 0.0000 | 0.0000 | 0.0000 | −0.0007 | 0.0008 | 0.0000 | −0.0003 | 0.0000 |
| 425 | 0.0000 | 0.0002 | 0.0002 | 0.0002 | 0.0002 | −0.0003 | 0.0003 | 0.0000 | 0.0000 | 0.0001 |
| 424 | 0.0001 | 0.0004 | 0.0004 | 0.0004 | 0.0004 | −0.0004 | −0.0002 | 0.0005 | −0.0002 | 0.0001 |
| 423 | 0.0003 | −0.0002 | −0.0002 | −0.0002 | −0.0002 | −0.0001 | 0.0003 | 0.0003 | −0.0002 | 0.0000 |
| 422 | −0.0004 | 0.0004 | 0.0004 | 0.0004 | 0.0004 | −0.0007 | −0.0006 | 0.0000 | −0.0003 | 0.0000 |
| 421 | −0.0002 | 0.0001 | 0.0001 | 0.0001 | 0.0001 | −0.0002 | 0.0002 | −0.0003 | 0.0000 | 0.0000 |
| 420 | −0.0001 | 0.0000 | 0.0000 | 0.0000 | 0.0000 | −0.0003 | −0.0002 | −0.0003 | 0.0001 | −0.0001 |
| 419 | −0.0004 | 0.0001 | 0.0001 | 0.0001 | 0.0001 | −0.0003 | 0.0000 | −0.0005 | −0.0001 | −0.0001 |
| 418 | −0.0006 | −0.0004 | −0.0004 | −0.0004 | −0.0004 | 0.0001 | −0.0006 | −0.0001 | 0.0002 | −0.0003 |
| 417 | −0.0001 | −0.0001 | −0.0001 | −0.0001 | −0.0001 | −0.0003 | 0.0000 | −0.0003 | −0.0002 | −0.0001 |
| 416 | −0.0006 | −0.0005 | −0.0005 | −0.0005 | −0.0005 | −0.0004 | 0.0000 | 0.0000 | 0.0001 | −0.0003 |
| 415 | 0.0002 | −0.0002 | −0.0002 | −0.0002 | −0.0002 | −0.0001 | 0.0006 | −0.0002 | −0.0001 | −0.0001 |
| 414 | 0.0004 | −0.0007 | −0.0007 | −0.0007 | −0.0007 | −0.0002 | 0.0006 | −0.0007 | −0.0002 | −0.0003 |
| 413 | −0.0005 | −0.0007 | −0.0007 | −0.0007 | −0.0007 | −0.0002 | 0.0003 | −0.0004 | −0.0004 | −0.0005 |
| 412 | −0.0002 | −0.0007 | −0.0007 | −0.0007 | −0.0007 | −0.0004 | 0.0006 | −0.0006 | 0.0000 | −0.0004 |
| 411 | −0.0003 | −0.0006 | −0.0006 | −0.0006 | −0.0006 | −0.0004 | 0.0005 | −0.0004 | −0.0006 | −0.0004 |
| 410 | −0.0003 | 0.0000 | 0.0000 | 0.0000 | 0.0000 | −0.0002 | 0.0006 | 0.0001 | −0.0004 | −0.0001 |
| 409 | −0.0004 | −0.0002 | −0.0002 | −0.0002 | −0.0002 | −0.0006 | 0.0000 | −0.0004 | −0.0003 | −0.0003 |
| 408 | 0.0001 | −0.0004 | −0.0004 | −0.0004 | −0.0004 | −0.0003 | −0.0003 | −0.0001 | −0.0004 | −0.0003 |
| 407 | −0.0003 | −0.0004 | −0.0004 | −0.0004 | −0.0004 | −0.0003 | 0.0006 | −0.0001 | −0.0002 | −0.0002 |
| 406 | 0.0000 | −0.0003 | −0.0003 | −0.0003 | −0.0003 | −0.0006 | −0.0004 | 0.0000 | −0.0005 | −0.0003 |
| 405 | −0.0003 | 0.0000 | 0.0000 | 0.0000 | 0.0000 | −0.0003 | −0.0004 | 0.0000 | 0.0001 | −0.0001 |
| 404 | −0.0004 | −0.0003 | −0.0003 | −0.0003 | −0.0003 | −0.0005 | 0.0002 | 0.0002 | 0.0002 | −0.0002 |
| 403 | −0.0005 | 0.0002 | 0.0002 | 0.0002 | 0.0002 | −0.0004 | 0.0005 | −0.0003 | −0.0001 | 0.0000 |
| 402 | 0.0002 | −0.0001 | −0.0001 | −0.0001 | −0.0001 | −0.0006 | −0.0003 | 0.0001 | −0.0001 | −0.0001 |
| 401 | 0.0002 | −0.0003 | −0.0003 | −0.0003 | −0.0003 | 0.0000 | 0.0001 | 0.0002 | −0.0002 | −0.0001 |
| 400 | −0.0003 | −0.0002 | −0.0002 | −0.0002 | −0.0002 | −0.0001 | 0.0001 | 0.0004 | 0.0002 | −0.0001 |
| 399 | −0.0003 | −0.0002 | −0.0002 | −0.0002 | −0.0002 | −0.0006 | 0.0002 | 0.0004 | 0.0003 | −0.0001 |
| 398 | −0.0002 | 0.0000 | 0.0000 | 0.0000 | 0.0000 | 0.0000 | 0.0005 | −0.0001 | −0.0003 | 0.0000 |
| 397 | −0.0003 | −0.0004 | −0.0004 | −0.0004 | −0.0004 | 0.0000 | −0.0005 | −0.0004 | 0.0001 | −0.0003 |
| 396 | −0.0001 | −0.0003 | −0.0003 | −0.0003 | −0.0003 | −0.0008 | −0.0005 | 0.0004 | 0.0000 | −0.0003 |
| 395 | −0.0003 | 0.0000 | 0.0000 | 0.0000 | 0.0000 | −0.0004 | −0.0002 | 0.0003 | 0.0000 | −0.0001 |
| 394 | −0.0005 | 0.0008 | 0.0008 | 0.0008 | 0.0008 | 0.0001 | −0.0003 | 0.0001 | 0.0004 | 0.0003 |
| 393 | −0.0001 | 0.0001 | 0.0001 | 0.0001 | 0.0001 | −0.0004 | 0.0002 | −0.0002 | −0.0001 | 0.0000 |
| 392 | −0.0003 | −0.0004 | −0.0004 | −0.0004 | −0.0004 | −0.0006 | 0.0001 | −0.0004 | −0.0004 | −0.0003 |
| 391 | 0.0000 | −0.0002 | −0.0002 | −0.0002 | −0.0002 | 0.0001 | 0.0000 | 0.0002 | 0.0001 | −0.0001 |
| 390 | −0.0001 | −0.0001 | −0.0001 | −0.0001 | −0.0001 | 0.0001 | 0.0003 | 0.0000 | 0.0001 | 0.0000 |
| 389 | −0.0002 | −0.0004 | −0.0004 | −0.0004 | −0.0004 | −0.0002 | 0.0003 | −0.0005 | 0.0000 | −0.0002 |
| 388 | −0.0003 | 0.0000 | 0.0000 | 0.0000 | 0.0000 | 0.0000 | 0.0004 | −0.0008 | −0.0002 | −0.0001 |
| 387 | 0.0000 | −0.0008 | −0.0008 | −0.0008 | −0.0008 | 0.0002 | 0.0003 | −0.0002 | −0.0001 | −0.0004 |
| 386 | 0.0000 | −0.0003 | −0.0003 | −0.0003 | −0.0003 | −0.0003 | 0.0000 | −0.0002 | −0.0001 | −0.0002 |
| 385 | −0.0008 | −0.0002 | −0.0002 | −0.0002 | −0.0002 | 0.0001 | −0.0008 | 0.0002 | 0.0001 | −0.0002 |
| 384 | 0.0000 | 0.0002 | 0.0002 | 0.0002 | 0.0002 | −0.0003 | −0.0002 | −0.0003 | −0.0001 | 0.0000 |
| 383 | 0.0001 | −0.0002 | −0.0002 | −0.0002 | −0.0002 | 0.0010 | 0.0008 | 0.0000 | −0.0002 | 0.0001 |
| 382 | 0.0001 | 0.0002 | 0.0002 | 0.0002 | 0.0002 | −0.0005 | −0.0001 | −0.0001 | −0.0004 | 0.0000 |
| 381 | −0.0002 | −0.0002 | −0.0002 | −0.0002 | −0.0002 | −0.0003 | 0.0000 | −0.0004 | −0.0001 | −0.0002 |
| 380 | −0.0003 | −0.0005 | −0.0005 | −0.0005 | −0.0005 | −0.0005 | 0.0009 | −0.0002 | −0.0005 | −0.0003 |
| 379 | −0.0004 | −0.0008 | −0.0008 | −0.0008 | −0.0008 | 0.0000 | −0.0001 | 0.0001 | −0.0004 | −0.0004 |
| 378 | −0.0002 | −0.0006 | −0.0006 | −0.0006 | −0.0006 | −0.0004 | 0.0001 | −0.0002 | 0.0001 | −0.0003 |
| 377 | −0.0001 | −0.0002 | −0.0002 | −0.0002 | −0.0002 | −0.0002 | 0.0000 | −0.0003 | 0.0000 | −0.0002 |
| 376 | −0.0002 | −0.0004 | −0.0004 | −0.0004 | −0.0004 | −0.0002 | 0.0005 | −0.0001 | 0.0003 | −0.0001 |
| 375 | −0.0005 | −0.0003 | −0.0003 | −0.0003 | −0.0003 | −0.0001 | 0.0001 | 0.0001 | 0.0004 | −0.0001 |
| 374 | −0.0004 | 0.0000 | 0.0000 | 0.0000 | 0.0000 | 0.0000 | 0.0000 | −0.0001 | −0.0003 | −0.0001 |
| 373 | −0.0002 | −0.0007 | −0.0007 | −0.0007 | −0.0007 | −0.0004 | −0.0007 | 0.0000 | −0.0001 | −0.0005 |
| 372 | −0.0002 | −0.0001 | −0.0001 | −0.0001 | −0.0001 | 0.0000 | 0.0003 | 0.0000 | −0.0003 | −0.0001 |
| 371 | −0.0004 | −0.0002 | −0.0002 | −0.0002 | −0.0002 | 0.0008 | 0.0001 | 0.0002 | 0.0001 | 0.0000 |
| 370 | 0.0000 | −0.0003 | −0.0003 | −0.0003 | −0.0003 | −0.0001 | 0.0000 | −0.0003 | 0.0000 | −0.0002 |
| 369 | −0.0001 | −0.0005 | −0.0005 | −0.0005 | −0.0005 | −0.0004 | 0.0003 | 0.0003 | −0.0001 | −0.0002 |
| 368 | −0.0003 | 0.0003 | 0.0003 | 0.0003 | 0.0003 | −0.0004 | 0.0000 | −0.0003 | 0.0008 | 0.0001 |
| 367 | −0.0004 | −0.0002 | −0.0002 | −0.0002 | −0.0002 | −0.0007 | 0.0001 | −0.0004 | 0.0002 | −0.0002 |
| 366 | 0.0001 | −0.0002 | −0.0002 | −0.0002 | −0.0002 | −0.0003 | −0.0004 | −0.0005 | −0.0003 | −0.0003 |
| 365 | 0.0000 | 0.0001 | 0.0001 | 0.0001 | 0.0001 | −0.0005 | 0.0007 | 0.0001 | 0.0004 | 0.0001 |
| 364 | −0.0001 | −0.0002 | −0.0002 | −0.0002 | −0.0002 | −0.0005 | 0.0004 | −0.0006 | 0.0003 | −0.0001 |
| 363 | 0.0000 | 0.0001 | 0.0001 | 0.0001 | 0.0001 | −0.0004 | 0.0001 | 0.0001 | 0.0000 | 0.0000 |
| 362 | −0.0001 | −0.0001 | −0.0001 | −0.0001 | −0.0001 | −0.0006 | −0.0005 | −0.0006 | 0.0004 | −0.0002 |
| 361 | −0.0002 | 0.0002 | 0.0002 | 0.0002 | 0.0002 | −0.0003 | 0.0003 | 0.0000 | −0.0001 | 0.0001 |
| 360 | −0.0004 | 0.0000 | 0.0000 | 0.0000 | 0.0000 | −0.0001 | 0.0001 | −0.0002 | 0.0000 | 0.0000 |
| 359 | −0.0004 | 0.0001 | 0.0001 | 0.0001 | 0.0001 | 0.0001 | 0.0001 | −0.0002 | 0.0001 | 0.0000 |
| 358 | −0.0003 | 0.0004 | 0.0004 | 0.0004 | 0.0004 | −0.0005 | −0.0002 | −0.0006 | 0.0006 | 0.0001 |
| 357 | −0.0005 | 0.0002 | 0.0002 | 0.0002 | 0.0002 | 0.0002 | 0.0005 | 0.0006 | 0.0001 | 0.0002 |
| 356 | 0.0002 | −0.0002 | −0.0002 | −0.0002 | −0.0002 | −0.0002 | −0.0004 | −0.0016 | 0.0004 | −0.0003 |
| 355 | −0.0007 | −0.0002 | −0.0002 | −0.0002 | −0.0002 | −0.0005 | 0.0006 | 0.0000 | 0.0002 | −0.0001 |
| 354 | −0.0001 | −0.0001 | −0.0001 | −0.0001 | −0.0001 | 0.0002 | 0.0004 | 0.0002 | 0.0004 | 0.0001 |
| 353 | −0.0004 | −0.0001 | −0.0001 | −0.0001 | −0.0001 | −0.0003 | 0.0000 | 0.0000 | −0.0003 | −0.0002 |
| 352 | −0.0002 | 0.0003 | 0.0003 | 0.0003 | 0.0003 | −0.0002 | 0.0003 | 0.0001 | 0.0001 | 0.0001 |
| 351 | −0.0005 | 0.0001 | 0.0001 | 0.0001 | 0.0001 | −0.0002 | 0.0015 | 0.0003 | −0.0002 | 0.0002 |
| 350 | −0.0003 | −0.0001 | −0.0001 | −0.0001 | −0.0001 | −0.0006 | 0.0008 | 0.0003 | 0.0002 | 0.0000 |
| 349 | −0.0006 | 0.0001 | 0.0001 | 0.0001 | 0.0001 | −0.0011 | 0.0000 | 0.0001 | −0.0006 | −0.0002 |
| 348 | −0.0010 | 0.0003 | 0.0003 | 0.0003 | 0.0003 | −0.0012 | −0.0021 | 0.0006 | −0.0003 | −0.0003 |
| 347 | 0.0005 | 0.0004 | 0.0004 | 0.0004 | 0.0004 | 0.0018 | 0.0005 | 0.0003 | 0.0013 | 0.0007 |
| 346 | 0.0003 | 0.0006 | 0.0006 | 0.0006 | 0.0006 | −0.0003 | 0.0001 | 0.0002 | −0.0002 | 0.0003 |
| 345 | 0.0009 | −0.0010 | −0.0010 | −0.0010 | −0.0010 | 0.0004 | 0.0007 | 0.0014 | −0.0005 | −0.0001 |
| 344 | 0.0015 | 0.0010 | 0.0010 | 0.0010 | 0.0010 | 0.0004 | −0.0012 | −0.0008 | 0.0001 | 0.0004 |
| 343 | 0.0001 | 0.0000 | 0.0000 | 0.0000 | 0.0000 | −0.0009 | −0.0013 | −0.0005 | 0.0007 | −0.0002 |
| 342 | 0.0003 | 0.0006 | 0.0006 | 0.0006 | 0.0006 | −0.0008 | 0.0005 | 0.0006 | 0.0003 | 0.0004 |
| 341 | −0.0001 | −0.0001 | −0.0001 | −0.0001 | −0.0001 | 0.0000 | −0.0016 | 0.0000 | 0.0006 | −0.0002 |
| 340 | 0.0004 | 0.0008 | 0.0008 | 0.0008 | 0.0008 | −0.0003 | −0.0008 | −0.0007 | −0.0009 | 0.0001 |
| 339 | 0.0010 | 0.0001 | 0.0001 | 0.0001 | 0.0001 | −0.0008 | 0.0003 | −0.0014 | 0.0011 | 0.0000 |
| 338 | 0.0004 | 0.0004 | 0.0004 | 0.0004 | 0.0004 | 0.0003 | −0.0012 | −0.0017 | −0.0011 | −0.0002 |
| 337 | 0.0013 | −0.0008 | −0.0008 | −0.0008 | −0.0008 | 0.0000 | 0.0010 | 0.0017 | 0.0011 | 0.0002 |
| 336 | −0.0004 | 0.0002 | 0.0002 | 0.0002 | 0.0002 | 0.0000 | 0.0000 | 0.0017 | 0.0001 | 0.0002 |
| 335 | 0.0022 | −0.0006 | −0.0006 | −0.0006 | −0.0006 | 0.0003 | 0.0013 | −0.0018 | 0.0000 | 0.0000 |
| 334 | 0.0005 | −0.0002 | −0.0002 | −0.0002 | −0.0002 | 0.0015 | 0.0001 | 0.0010 | 0.0014 | 0.0004 |
| 333 | −0.0005 | −0.0001 | −0.0001 | −0.0001 | −0.0001 | 0.0011 | 0.0004 | 0.0010 | 0.0001 | 0.0002 |
| 332 | −0.0002 | 0.0009 | 0.0009 | 0.0009 | 0.0009 | 0.0003 | 0.0015 | −0.0010 | −0.0007 | 0.0004 |
| 331 | −0.0007 | 0.0000 | 0.0000 | 0.0000 | 0.0000 | 0.0005 | −0.0013 | −0.0015 | −0.0006 | −0.0004 |
| 330 | −0.0015 | −0.0025 | −0.0025 | −0.0025 | −0.0025 | −0.0001 | −0.0013 | −0.0013 | −0.0007 | −0.0017 |
| 329 | 0.0003 | −0.0001 | −0.0001 | −0.0001 | −0.0001 | 0.0005 | 0.0003 | 0.0016 | −0.0001 | 0.0003 |
| 328 | 0.0000 | 0.0013 | 0.0013 | 0.0013 | 0.0013 | 0.0010 | 0.0000 | 0.0017 | 0.0003 | 0.0009 |
| 327 | −0.0003 | −0.0004 | −0.0004 | −0.0004 | −0.0004 | 0.0007 | 0.0020 | 0.0004 | 0.0007 | 0.0002 |
| 326 | 0.0003 | 0.0008 | 0.0008 | 0.0008 | 0.0008 | 0.0003 | −0.0004 | −0.0002 | 0.0003 | 0.0004 |
| 325 | −0.0002 | 0.0016 | 0.0016 | 0.0016 | 0.0016 | 0.0003 | −0.0011 | −0.0001 | −0.0001 | 0.0006 |
| 324 | 0.0017 | −0.0005 | −0.0005 | −0.0005 | −0.0005 | 0.0011 | −0.0005 | 0.0002 | −0.0001 | 0.0000 |
| 323 | −0.0006 | 0.0007 | 0.0007 | 0.0007 | 0.0007 | 0.0000 | 0.0005 | 0.0018 | 0.0020 | 0.0007 |
| 322 | 0.0006 | 0.0002 | 0.0002 | 0.0002 | 0.0002 | −0.0007 | 0.0003 | 0.0002 | 0.0001 | 0.0001 |
| 321 | 0.0005 | −0.0007 | −0.0007 | −0.0007 | −0.0007 | −0.0003 | 0.0009 | 0.0003 | 0.0013 | 0.0000 |
| 320 | 0.0012 | 0.0003 | 0.0003 | 0.0003 | 0.0003 | −0.0004 | −0.0003 | 0.0011 | 0.0002 | 0.0003 |
| 319 | 0.0004 | −0.0015 | −0.0015 | −0.0015 | −0.0015 | 0.0007 | −0.0005 | −0.0002 | 0.0002 | −0.0006 |
| 318 | 0.0003 | −0.0008 | −0.0008 | −0.0008 | −0.0008 | −0.0001 | 0.0014 | 0.0016 | 0.0001 | 0.0000 |
| 317 | −0.0009 | −0.0014 | −0.0014 | −0.0014 | −0.0014 | −0.0005 | 0.0013 | 0.0001 | −0.0006 | −0.0007 |
| 316 | −0.0015 | 0.0003 | 0.0003 | 0.0003 | 0.0003 | −0.0005 | −0.0002 | −0.0007 | 0.0002 | −0.0002 |
| 315 | 0.0004 | −0.0004 | −0.0004 | −0.0004 | −0.0004 | −0.0006 | 0.0009 | 0.0001 | −0.0002 | −0.0001 |
| 314 | −0.0005 | −0.0006 | −0.0006 | −0.0006 | −0.0006 | −0.0009 | −0.0003 | 0.0010 | 0.0007 | −0.0003 |
| 313 | −0.0001 | −0.0007 | −0.0007 | −0.0007 | −0.0007 | −0.0006 | 0.0003 | 0.0008 | −0.0005 | −0.0003 |
| 312 | −0.0007 | −0.0005 | −0.0005 | −0.0005 | −0.0005 | −0.0009 | 0.0017 | 0.0011 | 0.0011 | 0.0000 |
| 311 | −0.0002 | 0.0002 | 0.0002 | 0.0002 | 0.0002 | −0.0007 | 0.0008 | −0.0010 | −0.0016 | −0.0002 |
| 310 | −0.0009 | −0.0004 | −0.0004 | −0.0004 | −0.0004 | 0.0003 | 0.0006 | 0.0002 | 0.0008 | −0.0001 |
| 309 | −0.0003 | 0.0000 | 0.0000 | 0.0000 | 0.0000 | −0.0003 | 0.0003 | −0.0004 | 0.0003 | −0.0001 |
| 308 | −0.0001 | −0.0002 | −0.0002 | −0.0002 | −0.0002 | −0.0006 | 0.0013 | −0.0001 | 0.0004 | 0.0000 |
| 307 | 0.0000 | −0.0007 | −0.0007 | −0.0007 | −0.0007 | −0.0002 | 0.0002 | 0.0008 | 0.0000 | −0.0002 |
| 306 | 0.0005 | −0.0001 | −0.0001 | −0.0001 | −0.0001 | 0.0000 | −0.0001 | −0.0002 | 0.0000 | 0.0000 |
| 305 | 0.0004 | −0.0005 | −0.0005 | −0.0005 | −0.0005 | 0.0000 | −0.0001 | 0.0003 | −0.0001 | −0.0002 |
| 304 | 0.0006 | −0.0001 | −0.0001 | −0.0001 | −0.0001 | 0.0009 | 0.0000 | 0.0004 | 0.0000 | 0.0002 |
| 303 | −0.0006 | 0.0005 | 0.0005 | 0.0005 | 0.0005 | 0.0003 | 0.0006 | −0.0003 | 0.0002 | 0.0002 |
| 302 | 0.0004 | 0.0010 | 0.0010 | 0.0010 | 0.0010 | 0.0004 | −0.0019 | −0.0003 | −0.0004 | 0.0002 |
| 301 | 0.0008 | 0.0011 | 0.0011 | 0.0011 | 0.0011 | 0.0002 | 0.0012 | −0.0001 | 0.0003 | 0.0007 |
| 300 | 0.0006 | 0.0007 | 0.0007 | 0.0007 | 0.0007 | −0.0009 | −0.0002 | 0.0008 | 0.0000 | 0.0003 |
| 299 | 0.0011 | −0.0017 | −0.0017 | −0.0017 | −0.0017 | −0.0002 | −0.0004 | −0.0010 | −0.0004 | −0.0009 |
| 298 | 0.0002 | 0.0008 | 0.0008 | 0.0008 | 0.0008 | −0.0005 | 0.0004 | −0.0006 | 0.0008 | 0.0004 |
| 297 | −0.0001 | −0.0001 | −0.0001 | −0.0001 | −0.0001 | 0.0006 | 0.0005 | −0.0006 | 0.0001 | 0.0000 |
| 296 | 0.0002 | −0.0002 | −0.0002 | −0.0002 | −0.0002 | −0.0009 | −0.0003 | −0.0003 | 0.0000 | −0.0002 |
| 295 | −0.0005 | −0.0007 | −0.0007 | −0.0007 | −0.0007 | 0.0008 | 0.0000 | 0.0003 | 0.0005 | −0.0002 |
| 294 | −0.0007 | 0.0005 | 0.0005 | 0.0005 | 0.0005 | 0.0013 | 0.0003 | −0.0005 | 0.0011 | 0.0004 |
| 293 | 0.0003 | 0.0006 | 0.0006 | 0.0006 | 0.0006 | 0.0002 | 0.0002 | −0.0004 | −0.0005 | 0.0002 |
| 292 | 0.0011 | −0.0003 | −0.0003 | −0.0003 | −0.0003 | −0.0002 | −0.0010 | 0.0005 | 0.0001 | −0.0001 |
| 291 | 0.0019 | −0.0001 | −0.0001 | −0.0001 | −0.0001 | 0.0008 | 0.0009 | −0.0003 | 0.0003 | 0.0004 |
| 290 | 0.0006 | −0.0002 | −0.0002 | −0.0002 | −0.0002 | −0.0007 | 0.0006 | −0.0004 | −0.0001 | −0.0001 |
| 289 | −0.0004 | 0.0006 | 0.0006 | 0.0006 | 0.0006 | 0.0003 | −0.0011 | 0.0006 | 0.0007 | 0.0003 |
| 288 | 0.0000 | 0.0005 | 0.0005 | 0.0005 | 0.0005 | −0.0003 | 0.0011 | 0.0007 | −0.0005 | 0.0004 |
| 287 | −0.0007 | −0.0003 | −0.0003 | −0.0003 | −0.0003 | 0.0000 | −0.0005 | 0.0001 | −0.0005 | −0.0003 |
| 286 | 0.0001 | 0.0004 | 0.0004 | 0.0004 | 0.0004 | 0.0001 | 0.0003 | −0.0003 | 0.0013 | 0.0004 |
| 285 | −0.0007 | −0.0013 | −0.0013 | −0.0013 | −0.0013 | 0.0007 | −0.0001 | −0.0011 | −0.0005 | −0.0008 |
| 284 | −0.0002 | 0.0000 | 0.0000 | 0.0000 | 0.0000 | 0.0001 | −0.0002 | −0.0008 | 0.0011 | 0.0000 |
| 283 | 0.0010 | −0.0002 | −0.0002 | −0.0002 | −0.0002 | 0.0004 | 0.0003 | −0.0001 | −0.0004 | 0.0001 |
| 282 | −0.0002 | 0.0002 | 0.0002 | 0.0002 | 0.0002 | −0.0004 | 0.0001 | −0.0003 | −0.0002 | 0.0000 |
| 281 | 0.0000 | 0.0007 | 0.0007 | 0.0007 | 0.0007 | 0.0004 | 0.0008 | −0.0001 | −0.0002 | 0.0004 |
| 280 | 0.0004 | −0.0007 | −0.0007 | −0.0007 | −0.0007 | 0.0003 | 0.0010 | 0.0004 | 0.0006 | 0.0000 |
| 279 | 0.0006 | 0.0004 | 0.0004 | 0.0004 | 0.0004 | 0.0001 | 0.0001 | −0.0004 | 0.0000 | 0.0002 |
| 278 | 0.0008 | 0.0005 | 0.0005 | 0.0005 | 0.0005 | 0.0011 | 0.0007 | 0.0013 | −0.0004 | 0.0006 |
| 277 | −0.0008 | 0.0019 | 0.0019 | 0.0019 | 0.0019 | 0.0002 | −0.0006 | −0.0002 | −0.0001 | 0.0007 |
| 276 | 0.0000 | 0.0007 | 0.0007 | 0.0007 | 0.0007 | −0.0004 | −0.0005 | 0.0002 | −0.0002 | 0.0002 |
| 275 | −0.0001 | 0.0005 | 0.0005 | 0.0005 | 0.0005 | 0.0006 | 0.0006 | 0.0000 | 0.0013 | 0.0005 |
| 274 | 0.0003 | −0.0004 | −0.0004 | −0.0004 | −0.0004 | 0.0009 | 0.0005 | −0.0003 | 0.0007 | 0.0000 |
| 273 | −0.0009 | −0.0001 | −0.0001 | −0.0001 | −0.0001 | −0.0002 | −0.0002 | −0.0001 | −0.0002 | −0.0002 |
| 272 | −0.0006 | 0.0009 | 0.0009 | 0.0009 | 0.0009 | 0.0005 | −0.0009 | −0.0002 | −0.0004 | 0.0002 |
| 271 | −0.0008 | −0.0007 | −0.0007 | −0.0007 | −0.0007 | 0.0001 | −0.0006 | 0.0003 | −0.0013 | −0.0006 |
| 270 | 0.0007 | 0.0010 | 0.0010 | 0.0010 | 0.0010 | 0.0001 | −0.0002 | −0.0001 | 0.0000 | 0.0005 |
| 269 | −0.0010 | 0.0001 | 0.0001 | 0.0001 | 0.0001 | 0.0003 | 0.0000 | −0.0006 | 0.0003 | −0.0001 |
| 268 | −0.0001 | −0.0003 | −0.0003 | −0.0003 | −0.0003 | 0.0002 | 0.0007 | −0.0001 | −0.0004 | −0.0001 |
| 267 | 0.0003 | 0.0005 | 0.0005 | 0.0005 | 0.0005 | 0.0006 | 0.0005 | −0.0006 | 0.0002 | 0.0003 |
| 266 | 0.0007 | 0.0007 | 0.0007 | 0.0007 | 0.0007 | 0.0001 | 0.0002 | 0.0004 | −0.0004 | 0.0004 |
| 265 | −0.0002 | 0.0002 | 0.0002 | 0.0002 | 0.0002 | 0.0001 | −0.0009 | 0.0007 | 0.0005 | 0.0001 |
| 264 | −0.0001 | −0.0007 | −0.0007 | −0.0007 | −0.0007 | 0.0000 | −0.0002 | −0.0002 | 0.0002 | −0.0003 |
| 263 | 0.0003 | −0.0001 | −0.0001 | −0.0001 | −0.0001 | 0.0005 | 0.0012 | 0.0002 | 0.0001 | 0.0002 |
| 262 | 0.0000 | −0.0002 | −0.0002 | −0.0002 | −0.0002 | 0.0007 | −0.0007 | 0.0004 | 0.0008 | 0.0000 |
| 261 | 0.0000 | 0.0002 | 0.0002 | 0.0002 | 0.0002 | −0.0003 | 0.0004 | −0.0001 | −0.0003 | 0.0001 |
| 260 | 0.0003 | 0.0004 | 0.0004 | 0.0004 | 0.0004 | 0.0001 | −0.0005 | −0.0001 | 0.0003 | 0.0002 |
| 259 | 0.0013 | −0.0011 | −0.0011 | −0.0011 | −0.0011 | 0.0006 | 0.0009 | −0.0005 | 0.0003 | −0.0002 |
| 258 | −0.0007 | −0.0003 | −0.0003 | −0.0003 | −0.0003 | −0.0003 | 0.0000 | −0.0001 | −0.0006 | −0.0003 |
| 257 | 0.0006 | −0.0002 | −0.0002 | −0.0002 | −0.0002 | 0.0011 | 0.0005 | −0.0001 | −0.0001 | 0.0001 |
| 256 | 0.0000 | 0.0013 | 0.0013 | 0.0013 | 0.0013 | −0.0003 | 0.0005 | −0.0001 | 0.0010 | 0.0007 |
| 255 | 0.0000 | 0.0001 | 0.0001 | 0.0001 | 0.0001 | 0.0002 | 0.0007 | −0.0003 | 0.0001 | 0.0001 |
| 254 | −0.0003 | 0.0008 | 0.0008 | 0.0008 | 0.0008 | 0.0007 | 0.0000 | −0.0001 | 0.0005 | 0.0004 |
| 253 | 0.0000 | 0.0004 | 0.0004 | 0.0004 | 0.0004 | −0.0003 | −0.0004 | 0.0002 | −0.0004 | 0.0001 |
| 252 | 0.0002 | 0.0006 | 0.0006 | 0.0006 | 0.0006 | 0.0000 | −0.0004 | −0.0005 | −0.0011 | 0.0001 |
| 251 | −0.0002 | 0.0002 | 0.0002 | 0.0002 | 0.0002 | 0.0007 | 0.0008 | 0.0011 | 0.0001 | 0.0004 |
| 250 | 0.0003 | −0.0009 | −0.0009 | −0.0009 | −0.0009 | 0.0008 | 0.0002 | −0.0004 | 0.0000 | −0.0003 |
| 249 | −0.0004 | 0.0012 | 0.0012 | 0.0012 | 0.0012 | 0.0004 | 0.0012 | −0.0002 | −0.0005 | 0.0006 |
| 248 | 0.0002 | −0.0001 | −0.0001 | −0.0001 | −0.0001 | 0.0008 | 0.0003 | −0.0001 | 0.0004 | 0.0001 |
| 247 | −0.0001 | 0.0017 | 0.0017 | 0.0017 | 0.0017 | 0.0006 | 0.0000 | 0.0000 | −0.0002 | 0.0008 |
| 246 | −0.0012 | 0.0000 | 0.0000 | 0.0000 | 0.0000 | −0.0007 | 0.0005 | 0.0003 | 0.0006 | 0.0000 |
| 245 | −0.0008 | 0.0001 | 0.0001 | 0.0001 | 0.0001 | −0.0004 | −0.0005 | 0.0002 | −0.0004 | −0.0002 |
| 244 | −0.0008 | −0.0007 | −0.0007 | −0.0007 | −0.0007 | 0.0004 | −0.0003 | 0.0001 | −0.0006 | −0.0004 |
| 243 | 0.0005 | 0.0001 | 0.0001 | 0.0001 | 0.0001 | −0.0001 | −0.0005 | −0.0001 | 0.0001 | 0.0000 |
| 242 | −0.0005 | −0.0008 | −0.0008 | −0.0008 | −0.0008 | 0.0008 | −0.0006 | 0.0002 | −0.0002 | −0.0004 |
| 241 | 0.0004 | 0.0010 | 0.0010 | 0.0010 | 0.0010 | 0.0003 | 0.0003 | 0.0002 | −0.0003 | 0.0005 |
| 240 | −0.0009 | 0.0003 | 0.0003 | 0.0003 | 0.0003 | 0.0004 | −0.0005 | 0.0002 | 0.0001 | 0.0000 |
| 239 | 0.0001 | 0.0006 | 0.0006 | 0.0006 | 0.0006 | 0.0003 | −0.0001 | 0.0002 | 0.0001 | 0.0003 |
| 238 | 0.0003 | 0.0004 | 0.0004 | 0.0004 | 0.0004 | 0.0008 | 0.0007 | −0.0005 | 0.0004 | 0.0004 |
| 237 | 0.0000 | 0.0013 | 0.0013 | 0.0013 | 0.0013 | 0.0004 | −0.0002 | −0.0004 | −0.0002 | 0.0005 |
| 236 | 0.0002 | −0.0003 | −0.0003 | −0.0003 | −0.0003 | 0.0003 | −0.0014 | 0.0002 | 0.0003 | −0.0002 |
| 235 | 0.0002 | 0.0012 | 0.0012 | 0.0012 | 0.0012 | 0.0000 | −0.0002 | 0.0002 | −0.0003 | 0.0005 |
| 234 | 0.0003 | −0.0004 | −0.0004 | −0.0004 | −0.0004 | −0.0001 | 0.0001 | 0.0004 | 0.0002 | −0.0001 |
| 233 | 0.0000 | 0.0009 | 0.0009 | 0.0009 | 0.0009 | 0.0002 | 0.0006 | 0.0005 | 0.0001 | 0.0006 |
| 232 | −0.0004 | 0.0001 | 0.0001 | 0.0001 | 0.0001 | −0.0003 | 0.0002 | −0.0004 | 0.0002 | 0.0000 |
| 231 | −0.0002 | 0.0002 | 0.0002 | 0.0002 | 0.0002 | 0.0001 | 0.0003 | −0.0006 | 0.0001 | 0.0000 |
| 230 | 0.0001 | 0.0008 | 0.0008 | 0.0008 | 0.0008 | 0.0002 | 0.0006 | 0.0005 | 0.0002 | 0.0006 |
| 229 | −0.0001 | 0.0006 | 0.0006 | 0.0006 | 0.0006 | 0.0006 | −0.0003 | −0.0002 | 0.0001 | 0.0003 |
| 228 | 0.0007 | −0.0002 | −0.0002 | −0.0002 | −0.0002 | 0.0009 | 0.0002 | 0.0001 | 0.0006 | 0.0002 |
| 227 | 0.0010 | −0.0005 | −0.0005 | −0.0005 | −0.0005 | 0.0000 | 0.0003 | 0.0006 | −0.0004 | −0.0001 |
| 226 | −0.0005 | 0.0002 | 0.0002 | 0.0002 | 0.0002 | 0.0000 | −0.0007 | 0.0003 | 0.0004 | 0.0000 |
| 225 | 0.0006 | −0.0002 | −0.0002 | −0.0002 | −0.0002 | −0.0001 | −0.0008 | −0.0011 | −0.0001 | −0.0002 |
| 224 | −0.0002 | −0.0008 | −0.0008 | −0.0008 | −0.0008 | 0.0010 | 0.0005 | 0.0000 | 0.0000 | −0.0002 |
| 223 | −0.0002 | 0.0004 | 0.0004 | 0.0004 | 0.0004 | 0.0012 | 0.0009 | −0.0002 | 0.0010 | 0.0005 |
| 222 | 0.0002 | 0.0007 | 0.0007 | 0.0007 | 0.0007 | 0.0014 | −0.0005 | 0.0000 | −0.0005 | 0.0004 |
| 221 | −0.0007 | 0.0005 | 0.0005 | 0.0005 | 0.0005 | 0.0001 | −0.0006 | −0.0001 | 0.0006 | 0.0001 |
| 220 | 0.0002 | 0.0002 | 0.0002 | 0.0002 | 0.0002 | 0.0010 | 0.0005 | −0.0001 | −0.0003 | 0.0002 |
| 219 | −0.0002 | 0.0012 | 0.0012 | 0.0012 | 0.0012 | 0.0002 | 0.0001 | −0.0002 | 0.0010 | 0.0007 |
| 218 | −0.0009 | 0.0003 | 0.0003 | 0.0003 | 0.0003 | −0.0005 | 0.0002 | 0.0011 | −0.0001 | 0.0001 |
| 217 | −0.0010 | 0.0005 | 0.0005 | 0.0005 | 0.0005 | −0.0001 | 0.0001 | −0.0006 | 0.0005 | 0.0001 |
| 216 | −0.0003 | 0.0004 | 0.0004 | 0.0004 | 0.0004 | 0.0005 | 0.0001 | 0.0000 | −0.0009 | 0.0001 |
| 215 | −0.0007 | 0.0008 | 0.0008 | 0.0008 | 0.0008 | 0.0002 | 0.0003 | 0.0001 | −0.0004 | 0.0003 |
| 214 | −0.0003 | 0.0006 | 0.0006 | 0.0006 | 0.0006 | 0.0010 | −0.0002 | −0.0003 | −0.0003 | 0.0002 |
| 213 | 0.0008 | 0.0000 | 0.0000 | 0.0000 | 0.0000 | 0.0002 | 0.0002 | 0.0006 | −0.0001 | 0.0002 |
| 212 | −0.0007 | 0.0001 | 0.0001 | 0.0001 | 0.0001 | 0.0000 | −0.0004 | −0.0005 | 0.0006 | 0.0000 |
| 211 | 0.0003 | 0.0003 | 0.0003 | 0.0003 | 0.0003 | 0.0010 | 0.0012 | −0.0001 | 0.0003 | 0.0004 |
| 210 | −0.0007 | −0.0002 | −0.0002 | −0.0002 | −0.0002 | −0.0008 | 0.0000 | −0.0002 | 0.0001 | −0.0003 |
| 209 | −0.0002 | −0.0002 | −0.0002 | −0.0002 | −0.0002 | 0.0005 | −0.0004 | −0.0001 | 0.0005 | −0.0001 |
| 208 | 0.0006 | 0.0006 | 0.0006 | 0.0006 | 0.0006 | 0.0006 | −0.0001 | −0.0002 | 0.0002 | 0.0004 |
| 207 | 0.0001 | 0.0003 | 0.0003 | 0.0003 | 0.0003 | 0.0008 | −0.0006 | 0.0006 | 0.0001 | 0.0002 |
| 206 | 0.0003 | 0.0004 | 0.0004 | 0.0004 | 0.0004 | 0.0008 | −0.0008 | 0.0014 | 0.0001 | 0.0004 |
| 205 | 0.0004 | 0.0004 | 0.0004 | 0.0004 | 0.0004 | −0.0001 | −0.0012 | 0.0005 | −0.0001 | 0.0001 |
| 204 | 0.0004 | 0.0000 | 0.0000 | 0.0000 | 0.0000 | 0.0006 | −0.0008 | 0.0001 | 0.0003 | 0.0000 |
| 203 | −0.0005 | 0.0006 | 0.0006 | 0.0006 | 0.0006 | 0.0008 | 0.0006 | −0.0002 | −0.0004 | 0.0003 |
| 202 | 0.0001 | −0.0001 | −0.0001 | −0.0001 | −0.0001 | 0.0007 | 0.0003 | −0.0011 | 0.0000 | 0.0000 |
| 201 | −0.0004 | 0.0008 | 0.0008 | 0.0008 | 0.0008 | 0.0012 | 0.0004 | −0.0011 | 0.0000 | 0.0004 |
| 200 | 0.0000 | 0.0004 | 0.0004 | 0.0004 | 0.0004 | −0.0003 | 0.0012 | −0.0004 | 0.0008 | 0.0003 |
| Long. Onda (nm) | Prom-ap-Sol-0001a-22 | Prom-ap-Sol-0001b-22 | Prom-ap-Sol-0003-22 | Prom-ap-Sol-0004-22 | Prom-ap-Sol-0005-22 | Prom-ap-Sol-0008-22 | Prom-ap-Sol-0010-22 | Prom-ap-Sol_12 y 14-22 | Prom-ap-Sol_19-22 | Mean OD (Blank Filters) |
|---|---|---|---|---|---|---|---|---|---|---|
| 850 | 2.3198 | 2.2997 | 2.2983 | 2.3204 | 2.3054 | 2.3198 | 2.2997 | 2.2983 | 2.3204 | 2.3091 |
| 849 | 2.3192 | 2.2977 | 2.2979 | 2.3205 | 2.3063 | 2.3192 | 2.2977 | 2.2979 | 2.3205 | 2.3085 |
| 848 | 2.3204 | 2.2973 | 2.2981 | 2.3204 | 2.3068 | 2.3204 | 2.2973 | 2.2981 | 2.3204 | 2.3088 |
| 847 | 2.3195 | 2.2992 | 2.2967 | 2.3192 | 2.3068 | 2.3195 | 2.2992 | 2.2967 | 2.3192 | 2.3084 |
| 846 | 2.3195 | 2.2979 | 2.2983 | 2.3190 | 2.3077 | 2.3195 | 2.2979 | 2.2983 | 2.3190 | 2.3086 |
| 845 | 2.3191 | 2.2978 | 2.2983 | 2.3194 | 2.3064 | 2.3191 | 2.2978 | 2.2983 | 2.3194 | 2.3084 |
| 844 | 2.3188 | 2.2978 | 2.2963 | 2.3200 | 2.3052 | 2.3188 | 2.2978 | 2.2963 | 2.3200 | 2.3079 |
| 843 | 2.3180 | 2.2970 | 2.2971 | 2.3197 | 2.3059 | 2.3180 | 2.2970 | 2.2971 | 2.3197 | 2.3077 |
| 842 | 2.3185 | 2.2973 | 2.2974 | 2.3193 | 2.3066 | 2.3185 | 2.2973 | 2.2974 | 2.3193 | 2.3080 |
| 841 | 2.3195 | 2.2973 | 2.2968 | 2.3188 | 2.3047 | 2.3195 | 2.2973 | 2.2968 | 2.3188 | 2.3077 |
| 840 | 2.3184 | 2.2974 | 2.2953 | 2.3187 | 2.3061 | 2.3184 | 2.2974 | 2.2953 | 2.3187 | 2.3073 |
| 839 | 2.3178 | 2.2969 | 2.2953 | 2.3185 | 2.3070 | 2.3178 | 2.2969 | 2.2953 | 2.3185 | 2.3071 |
| 838 | 2.3175 | 2.2957 | 2.2958 | 2.3177 | 2.3076 | 2.3175 | 2.2957 | 2.2958 | 2.3177 | 2.3068 |
| 837 | 2.3176 | 2.2959 | 2.2961 | 2.3176 | 2.3037 | 2.3176 | 2.2959 | 2.2961 | 2.3176 | 2.3065 |
| 836 | 2.3170 | 2.2960 | 2.2949 | 2.3178 | 2.3036 | 2.3170 | 2.2960 | 2.2949 | 2.3178 | 2.3061 |
| 835 | 2.3164 | 2.2957 | 2.2942 | 2.3178 | 2.3047 | 2.3164 | 2.2957 | 2.2942 | 2.3178 | 2.3059 |
| 834 | 2.3161 | 2.2950 | 2.2938 | 2.3173 | 2.3035 | 2.3161 | 2.2950 | 2.2938 | 2.3173 | 2.3053 |
| 833 | 2.3157 | 2.2949 | 2.2941 | 2.3171 | 2.3036 | 2.3157 | 2.2949 | 2.2941 | 2.3171 | 2.3052 |
| 832 | 2.3162 | 2.2941 | 2.2952 | 2.3165 | 2.3024 | 2.3162 | 2.2941 | 2.2952 | 2.3165 | 2.3052 |
| 831 | 2.3162 | 2.2942 | 2.2936 | 2.3161 | 2.3024 | 2.3162 | 2.2942 | 2.2936 | 2.3161 | 2.3047 |
| 830 | 2.3169 | 2.2950 | 2.2929 | 2.3157 | 2.3034 | 2.3169 | 2.2950 | 2.2929 | 2.3157 | 2.3049 |
| 829 | 2.3154 | 2.2951 | 2.2933 | 2.3159 | 2.3032 | 2.3154 | 2.2951 | 2.2933 | 2.3159 | 2.3047 |
| 828 | 2.3148 | 2.2945 | 2.2925 | 2.3147 | 2.3035 | 2.3148 | 2.2945 | 2.2925 | 2.3147 | 2.3041 |
| 827 | 2.3147 | 2.2942 | 2.2927 | 2.3153 | 2.3044 | 2.3147 | 2.2942 | 2.2927 | 2.3153 | 2.3043 |
| 826 | 2.3148 | 2.2939 | 2.2924 | 2.3148 | 2.3023 | 2.3148 | 2.2939 | 2.2924 | 2.3148 | 2.3038 |
| 825 | 2.3150 | 2.2932 | 2.2925 | 2.3151 | 2.3034 | 2.3150 | 2.2932 | 2.2925 | 2.3151 | 2.3039 |
| 824 | 2.3139 | 2.2927 | 2.2931 | 2.3149 | 2.3011 | 2.3139 | 2.2927 | 2.2931 | 2.3149 | 2.3034 |
| 823 | 2.3147 | 2.2939 | 2.2923 | 2.3149 | 2.3026 | 2.3147 | 2.2939 | 2.2923 | 2.3149 | 2.3038 |
| 822 | 2.3143 | 2.2940 | 2.2932 | 2.3150 | 2.3007 | 2.3143 | 2.2940 | 2.2932 | 2.3150 | 2.3037 |
| 821 | 2.3143 | 2.2925 | 2.2929 | 2.3148 | 2.3003 | 2.3143 | 2.2925 | 2.2929 | 2.3148 | 2.3032 |
| 820 | 2.3143 | 2.2931 | 2.2931 | 2.3147 | 2.2999 | 2.3143 | 2.2931 | 2.2931 | 2.3147 | 2.3034 |
| 819 | 2.3141 | 2.2929 | 2.2919 | 2.3144 | 2.3011 | 2.3141 | 2.2929 | 2.2919 | 2.3144 | 2.3031 |
| 818 | 2.3143 | 2.2943 | 2.2915 | 2.3143 | 2.3006 | 2.3143 | 2.2943 | 2.2915 | 2.3143 | 2.3033 |
| 817 | 2.3148 | 2.2928 | 2.2920 | 2.3150 | 2.3005 | 2.3148 | 2.2928 | 2.2920 | 2.3150 | 2.3033 |
| 816 | 2.3146 | 2.2929 | 2.2917 | 2.3153 | 2.3006 | 2.3146 | 2.2929 | 2.2917 | 2.3153 | 2.3033 |
| 815 | 2.3147 | 2.2926 | 2.2914 | 2.3155 | 2.3019 | 2.3147 | 2.2926 | 2.2914 | 2.3155 | 2.3034 |
| 814 | 2.3145 | 2.2931 | 2.2924 | 2.3158 | 2.3027 | 2.3145 | 2.2931 | 2.2924 | 2.3158 | 2.3038 |
| 813 | 2.3150 | 2.2930 | 2.2918 | 2.3155 | 2.3028 | 2.3150 | 2.2930 | 2.2918 | 2.3155 | 2.3037 |
| 812 | 2.3147 | 2.2941 | 2.2930 | 2.3158 | 2.3021 | 2.3147 | 2.2941 | 2.2930 | 2.3158 | 2.3041 |
| 811 | 2.3148 | 2.2939 | 2.2927 | 2.3154 | 2.3034 | 2.3148 | 2.2939 | 2.2927 | 2.3154 | 2.3041 |
| 810 | 2.3149 | 2.2937 | 2.2931 | 2.3151 | 2.3027 | 2.3149 | 2.2937 | 2.2931 | 2.3151 | 2.3040 |
| 809 | 2.3153 | 2.2944 | 2.2937 | 2.3159 | 2.3026 | 2.3153 | 2.2944 | 2.2937 | 2.3159 | 2.3046 |
| 808 | 2.3165 | 2.2942 | 2.2938 | 2.3165 | 2.3029 | 2.3165 | 2.2942 | 2.2938 | 2.3165 | 2.3050 |
| 807 | 2.3169 | 2.2950 | 2.2933 | 2.3162 | 2.3039 | 2.3169 | 2.2950 | 2.2933 | 2.3162 | 2.3052 |
| 806 | 2.3169 | 2.2950 | 2.2937 | 2.3163 | 2.3031 | 2.3169 | 2.2950 | 2.2937 | 2.3163 | 2.3052 |
| 805 | 2.3171 | 2.2961 | 2.2936 | 2.3166 | 2.3033 | 2.3171 | 2.2961 | 2.2936 | 2.3166 | 2.3056 |
| 804 | 2.3171 | 2.2961 | 2.2943 | 2.3166 | 2.3035 | 2.3171 | 2.2961 | 2.2943 | 2.3166 | 2.3057 |
| 803 | 2.3167 | 2.2963 | 2.2935 | 2.3165 | 2.3040 | 2.3167 | 2.2963 | 2.2935 | 2.3165 | 2.3055 |
| 802 | 2.3172 | 2.2963 | 2.2945 | 2.3174 | 2.3060 | 2.3172 | 2.2963 | 2.2945 | 2.3174 | 2.3063 |
| 801 | 2.3174 | 2.2962 | 2.2951 | 2.3173 | 2.3065 | 2.3174 | 2.2962 | 2.2951 | 2.3173 | 2.3065 |
| 800 | 2.3179 | 2.2958 | 2.2946 | 2.3177 | 2.3065 | 2.3179 | 2.2958 | 2.2946 | 2.3177 | 2.3065 |
| 799 | 2.3181 | 2.2968 | 2.2949 | 2.3175 | 2.3063 | 2.3181 | 2.2968 | 2.2949 | 2.3175 | 2.3068 |
| 798 | 2.3181 | 2.2969 | 2.2951 | 2.3179 | 2.3063 | 2.3181 | 2.2969 | 2.2951 | 2.3179 | 2.3069 |
| 797 | 2.3181 | 2.2968 | 2.2964 | 2.3183 | 2.3066 | 2.3181 | 2.2968 | 2.2964 | 2.3183 | 2.3073 |
| 796 | 2.3186 | 2.2976 | 2.2971 | 2.3188 | 2.3051 | 2.3186 | 2.2976 | 2.2971 | 2.3188 | 2.3077 |
| 795 | 2.3184 | 2.2979 | 2.2969 | 2.3197 | 2.3045 | 2.3184 | 2.2979 | 2.2969 | 2.3197 | 2.3078 |
| 794 | 2.3187 | 2.2971 | 2.2967 | 2.3189 | 2.3051 | 2.3187 | 2.2971 | 2.2967 | 2.3189 | 2.3075 |
| 793 | 2.3192 | 2.2981 | 2.2970 | 2.3198 | 2.3057 | 2.3192 | 2.2981 | 2.2970 | 2.3198 | 2.3082 |
| 792 | 2.3193 | 2.2988 | 2.2969 | 2.3198 | 2.3056 | 2.3193 | 2.2988 | 2.2969 | 2.3198 | 2.3084 |
| 791 | 2.3196 | 2.2985 | 2.2962 | 2.3203 | 2.3056 | 2.3196 | 2.2985 | 2.2962 | 2.3203 | 2.3083 |
| 790 | 2.3196 | 2.2985 | 2.2961 | 2.3201 | 2.3066 | 2.3196 | 2.2985 | 2.2961 | 2.3201 | 2.3084 |
| 789 | 2.3199 | 2.2989 | 2.2965 | 2.3209 | 2.3067 | 2.3199 | 2.2989 | 2.2965 | 2.3209 | 2.3088 |
| 788 | 2.3199 | 2.2987 | 2.2974 | 2.3216 | 2.3071 | 2.3199 | 2.2987 | 2.2974 | 2.3216 | 2.3091 |
| 787 | 2.3200 | 2.2987 | 2.2977 | 2.3212 | 2.3074 | 2.3200 | 2.2987 | 2.2977 | 2.3212 | 2.3092 |
| 786 | 2.3207 | 2.2982 | 2.2983 | 2.3220 | 2.3076 | 2.3207 | 2.2982 | 2.2983 | 2.3220 | 2.3096 |
| 785 | 2.3211 | 2.2988 | 2.2981 | 2.3213 | 2.3077 | 2.3211 | 2.2988 | 2.2981 | 2.3213 | 2.3096 |
| 784 | 2.3213 | 2.2992 | 2.2982 | 2.3210 | 2.3079 | 2.3213 | 2.2992 | 2.2982 | 2.3210 | 2.3097 |
| 783 | 2.3224 | 2.2997 | 2.2992 | 2.3214 | 2.3087 | 2.3224 | 2.2997 | 2.2992 | 2.3214 | 2.3104 |
| 782 | 2.3225 | 2.3001 | 2.2991 | 2.3211 | 2.3084 | 2.3225 | 2.3001 | 2.2991 | 2.3211 | 2.3104 |
| 781 | 2.3223 | 2.3006 | 2.2993 | 2.3216 | 2.3091 | 2.3223 | 2.3006 | 2.2993 | 2.3216 | 2.3108 |
| 780 | 2.3223 | 2.3005 | 2.2985 | 2.3218 | 2.3091 | 2.3223 | 2.3005 | 2.2985 | 2.3218 | 2.3106 |
| 779 | 2.3224 | 2.3012 | 2.2988 | 2.3223 | 2.3095 | 2.3224 | 2.3012 | 2.2988 | 2.3223 | 2.3110 |
| 778 | 2.3227 | 2.3003 | 2.2994 | 2.3226 | 2.3107 | 2.3227 | 2.3003 | 2.2994 | 2.3226 | 2.3112 |
| 777 | 2.3232 | 2.3010 | 2.2999 | 2.3224 | 2.3111 | 2.3232 | 2.3010 | 2.2999 | 2.3224 | 2.3116 |
| 776 | 2.3227 | 2.3007 | 2.3000 | 2.3228 | 2.3121 | 2.3227 | 2.3007 | 2.3000 | 2.3228 | 2.3116 |
| 775 | 2.3229 | 2.3014 | 2.3003 | 2.3232 | 2.3117 | 2.3229 | 2.3014 | 2.3003 | 2.3232 | 2.3119 |
| 774 | 2.3232 | 2.3018 | 2.3009 | 2.3234 | 2.3115 | 2.3232 | 2.3018 | 2.3009 | 2.3234 | 2.3122 |
| 773 | 2.3235 | 2.3015 | 2.3011 | 2.3235 | 2.3100 | 2.3235 | 2.3015 | 2.3011 | 2.3235 | 2.3122 |
| 772 | 2.3236 | 2.3020 | 2.3020 | 2.3241 | 2.3102 | 2.3236 | 2.3020 | 2.3020 | 2.3241 | 2.3126 |
| 771 | 2.3237 | 2.3024 | 2.3021 | 2.3243 | 2.3104 | 2.3237 | 2.3024 | 2.3021 | 2.3243 | 2.3128 |
| 770 | 2.3241 | 2.3026 | 2.3014 | 2.3249 | 2.3097 | 2.3241 | 2.3026 | 2.3014 | 2.3249 | 2.3129 |
| 769 | 2.3242 | 2.3028 | 2.3012 | 2.3253 | 2.3092 | 2.3242 | 2.3028 | 2.3012 | 2.3253 | 2.3129 |
| 768 | 2.3244 | 2.3024 | 2.3004 | 2.3244 | 2.3097 | 2.3244 | 2.3024 | 2.3004 | 2.3244 | 2.3126 |
| 767 | 2.3245 | 2.3024 | 2.3011 | 2.3255 | 2.3107 | 2.3245 | 2.3024 | 2.3011 | 2.3255 | 2.3131 |
| 766 | 2.3248 | 2.3026 | 2.3015 | 2.3247 | 2.3105 | 2.3248 | 2.3026 | 2.3015 | 2.3247 | 2.3131 |
| 765 | 2.3250 | 2.3023 | 2.3017 | 2.3254 | 2.3115 | 2.3250 | 2.3023 | 2.3017 | 2.3254 | 2.3133 |
| 764 | 2.3248 | 2.3025 | 2.3021 | 2.3254 | 2.3116 | 2.3248 | 2.3025 | 2.3021 | 2.3254 | 2.3135 |
| 763 | 2.3252 | 2.3027 | 2.3024 | 2.3253 | 2.3106 | 2.3252 | 2.3027 | 2.3024 | 2.3253 | 2.3136 |
| 762 | 2.3257 | 2.3024 | 2.3022 | 2.3254 | 2.3113 | 2.3257 | 2.3024 | 2.3022 | 2.3254 | 2.3136 |
| 761 | 2.3257 | 2.3036 | 2.3022 | 2.3253 | 2.3113 | 2.3257 | 2.3036 | 2.3022 | 2.3253 | 2.3139 |
| 760 | 2.3265 | 2.3031 | 2.3022 | 2.3256 | 2.3121 | 2.3265 | 2.3031 | 2.3022 | 2.3256 | 2.3141 |
| 759 | 2.3255 | 2.3042 | 2.3022 | 2.3255 | 2.3117 | 2.3255 | 2.3042 | 2.3022 | 2.3255 | 2.3141 |
| 758 | 2.3262 | 2.3043 | 2.3024 | 2.3256 | 2.3126 | 2.3262 | 2.3043 | 2.3024 | 2.3256 | 2.3144 |
| 757 | 2.3261 | 2.3032 | 2.3022 | 2.3265 | 2.3138 | 2.3261 | 2.3032 | 2.3022 | 2.3265 | 2.3144 |
| 756 | 2.3261 | 2.3038 | 2.3024 | 2.3259 | 2.3135 | 2.3261 | 2.3038 | 2.3024 | 2.3259 | 2.3144 |
| 755 | 2.3259 | 2.3035 | 2.3027 | 2.3259 | 2.3144 | 2.3259 | 2.3035 | 2.3027 | 2.3259 | 2.3145 |
| 754 | 2.3257 | 2.3039 | 2.3031 | 2.3256 | 2.3124 | 2.3257 | 2.3039 | 2.3031 | 2.3256 | 2.3143 |
| 753 | 2.3262 | 2.3038 | 2.3039 | 2.3256 | 2.3126 | 2.3262 | 2.3038 | 2.3039 | 2.3256 | 2.3146 |
| 752 | 2.3257 | 2.3045 | 2.3039 | 2.3261 | 2.3114 | 2.3257 | 2.3045 | 2.3039 | 2.3261 | 2.3146 |
| 751 | 2.3260 | 2.3045 | 2.3032 | 2.3263 | 2.3122 | 2.3260 | 2.3045 | 2.3032 | 2.3263 | 2.3147 |
| 750 | 2.3262 | 2.3036 | 2.3029 | 2.3269 | 2.3116 | 2.3262 | 2.3036 | 2.3029 | 2.3269 | 2.3145 |
| 749 | 2.3261 | 2.3043 | 2.3025 | 2.3267 | 2.3124 | 2.3261 | 2.3043 | 2.3025 | 2.3267 | 2.3146 |
| 748 | 2.3265 | 2.3039 | 2.3026 | 2.3268 | 2.3119 | 2.3265 | 2.3039 | 2.3026 | 2.3268 | 2.3146 |
| 747 | 2.3263 | 2.3037 | 2.3031 | 2.3268 | 2.3123 | 2.3263 | 2.3037 | 2.3031 | 2.3268 | 2.3147 |
| 746 | 2.3265 | 2.3033 | 2.3027 | 2.3265 | 2.3130 | 2.3265 | 2.3033 | 2.3027 | 2.3265 | 2.3146 |
| 745 | 2.3271 | 2.3034 | 2.3035 | 2.3264 | 2.3113 | 2.3271 | 2.3034 | 2.3035 | 2.3264 | 2.3147 |
| 744 | 2.3271 | 2.3038 | 2.3028 | 2.3264 | 2.3113 | 2.3271 | 2.3038 | 2.3028 | 2.3264 | 2.3146 |
| 743 | 2.3268 | 2.3042 | 2.3029 | 2.3265 | 2.3120 | 2.3268 | 2.3042 | 2.3029 | 2.3265 | 2.3148 |
| 742 | 2.3265 | 2.3044 | 2.3023 | 2.3258 | 2.3127 | 2.3265 | 2.3044 | 2.3023 | 2.3258 | 2.3145 |
| 741 | 2.3265 | 2.3037 | 2.3025 | 2.3260 | 2.3136 | 2.3265 | 2.3037 | 2.3025 | 2.3260 | 2.3146 |
| 740 | 2.3269 | 2.3042 | 2.3025 | 2.3258 | 2.3140 | 2.3269 | 2.3042 | 2.3025 | 2.3258 | 2.3147 |
| 739 | 2.3266 | 2.3044 | 2.3029 | 2.3255 | 2.3134 | 2.3266 | 2.3044 | 2.3029 | 2.3255 | 2.3147 |
| 738 | 2.3265 | 2.3045 | 2.3039 | 2.3259 | 2.3116 | 2.3265 | 2.3045 | 2.3039 | 2.3259 | 2.3148 |
| 737 | 2.3264 | 2.3038 | 2.3036 | 2.3260 | 2.3117 | 2.3264 | 2.3038 | 2.3036 | 2.3260 | 2.3146 |
| 736 | 2.3266 | 2.3039 | 2.3027 | 2.3268 | 2.3108 | 2.3266 | 2.3039 | 2.3027 | 2.3268 | 2.3145 |
| 735 | 2.3265 | 2.3040 | 2.3016 | 2.3264 | 2.3111 | 2.3265 | 2.3040 | 2.3016 | 2.3264 | 2.3143 |
| 734 | 2.3261 | 2.3041 | 2.3024 | 2.3263 | 2.3118 | 2.3261 | 2.3041 | 2.3024 | 2.3263 | 2.3144 |
| 733 | 2.3259 | 2.3035 | 2.3030 | 2.3266 | 2.3118 | 2.3259 | 2.3035 | 2.3030 | 2.3266 | 2.3144 |
| 732 | 2.3261 | 2.3031 | 2.3028 | 2.3264 | 2.3113 | 2.3261 | 2.3031 | 2.3028 | 2.3264 | 2.3142 |
| 731 | 2.3264 | 2.3029 | 2.3023 | 2.3261 | 2.3109 | 2.3264 | 2.3029 | 2.3023 | 2.3261 | 2.3140 |
| 730 | 2.3273 | 2.3027 | 2.3025 | 2.3265 | 2.3114 | 2.3273 | 2.3027 | 2.3025 | 2.3265 | 2.3144 |
| 729 | 2.3274 | 2.3036 | 2.3025 | 2.3266 | 2.3108 | 2.3274 | 2.3036 | 2.3025 | 2.3266 | 2.3146 |
| 728 | 2.3265 | 2.3037 | 2.3022 | 2.3262 | 2.3116 | 2.3265 | 2.3037 | 2.3022 | 2.3262 | 2.3143 |
| 727 | 2.3264 | 2.3038 | 2.3021 | 2.3259 | 2.3122 | 2.3264 | 2.3038 | 2.3021 | 2.3259 | 2.3143 |
| 726 | 2.3267 | 2.3044 | 2.3028 | 2.3261 | 2.3127 | 2.3267 | 2.3044 | 2.3028 | 2.3261 | 2.3147 |
| 725 | 2.3270 | 2.3047 | 2.3030 | 2.3265 | 2.3130 | 2.3270 | 2.3047 | 2.3030 | 2.3265 | 2.3150 |
| 724 | 2.3277 | 2.3046 | 2.3033 | 2.3268 | 2.3131 | 2.3277 | 2.3046 | 2.3033 | 2.3268 | 2.3153 |
| 723 | 2.3278 | 2.3051 | 2.3040 | 2.3271 | 2.3137 | 2.3278 | 2.3051 | 2.3040 | 2.3271 | 2.3158 |
| 722 | 2.3284 | 2.3060 | 2.3040 | 2.3277 | 2.3135 | 2.3284 | 2.3060 | 2.3040 | 2.3277 | 2.3162 |
| 721 | 2.3288 | 2.3063 | 2.3048 | 2.3281 | 2.3141 | 2.3288 | 2.3063 | 2.3048 | 2.3281 | 2.3167 |
| 720 | 2.3294 | 2.3072 | 2.3050 | 2.3289 | 2.3146 | 2.3294 | 2.3072 | 2.3050 | 2.3289 | 2.3173 |
| 719 | 2.3299 | 2.3065 | 2.3061 | 2.3293 | 2.3152 | 2.3299 | 2.3065 | 2.3061 | 2.3293 | 2.3177 |
| 718 | 2.3304 | 2.3081 | 2.3063 | 2.3310 | 2.3179 | 2.3304 | 2.3081 | 2.3063 | 2.3310 | 2.3188 |
| 717 | 2.3314 | 2.3093 | 2.3071 | 2.3314 | 2.3179 | 2.3314 | 2.3093 | 2.3071 | 2.3314 | 2.3196 |
| 716 | 2.3323 | 2.3101 | 2.3081 | 2.3331 | 2.3185 | 2.3323 | 2.3101 | 2.3081 | 2.3331 | 2.3206 |
| 715 | 2.3331 | 2.3108 | 2.3092 | 2.3333 | 2.3185 | 2.3331 | 2.3108 | 2.3092 | 2.3333 | 2.3212 |
| 714 | 2.3345 | 2.3120 | 2.3097 | 2.3340 | 2.3186 | 2.3345 | 2.3120 | 2.3097 | 2.3340 | 2.3221 |
| 713 | 2.3347 | 2.3129 | 2.3103 | 2.3340 | 2.3205 | 2.3347 | 2.3129 | 2.3103 | 2.3340 | 2.3227 |
| 712 | 2.3355 | 2.3136 | 2.3116 | 2.3352 | 2.3210 | 2.3355 | 2.3136 | 2.3116 | 2.3352 | 2.3237 |
| 711 | 2.3369 | 2.3141 | 2.3130 | 2.3359 | 2.3220 | 2.3369 | 2.3141 | 2.3130 | 2.3359 | 2.3247 |
| 710 | 2.3381 | 2.3147 | 2.3137 | 2.3374 | 2.3227 | 2.3381 | 2.3147 | 2.3137 | 2.3374 | 2.3256 |
| 709 | 2.3388 | 2.3157 | 2.3145 | 2.3382 | 2.3244 | 2.3388 | 2.3157 | 2.3145 | 2.3382 | 2.3265 |
| 708 | 2.3395 | 2.3166 | 2.3158 | 2.3390 | 2.3244 | 2.3395 | 2.3166 | 2.3158 | 2.3390 | 2.3274 |
| 707 | 2.3402 | 2.3175 | 2.3162 | 2.3398 | 2.3264 | 2.3402 | 2.3175 | 2.3162 | 2.3398 | 2.3282 |
| 706 | 2.3412 | 2.3184 | 2.3171 | 2.3407 | 2.3270 | 2.3412 | 2.3184 | 2.3171 | 2.3407 | 2.3291 |
| 705 | 2.3421 | 2.3189 | 2.3177 | 2.3416 | 2.3280 | 2.3421 | 2.3189 | 2.3177 | 2.3416 | 2.3298 |
| 704 | 2.3427 | 2.3198 | 2.3184 | 2.3423 | 2.3285 | 2.3427 | 2.3198 | 2.3184 | 2.3423 | 2.3305 |
| 703 | 2.3434 | 2.3205 | 2.3190 | 2.3432 | 2.3291 | 2.3434 | 2.3205 | 2.3190 | 2.3432 | 2.3313 |
| 702 | 2.3442 | 2.3216 | 2.3203 | 2.3437 | 2.3305 | 2.3442 | 2.3216 | 2.3203 | 2.3437 | 2.3322 |
| 701 | 2.3451 | 2.3219 | 2.3199 | 2.3445 | 2.3310 | 2.3451 | 2.3219 | 2.3199 | 2.3445 | 2.3326 |
| 700 | 2.3454 | 2.3230 | 2.3212 | 2.3452 | 2.3316 | 2.3454 | 2.3230 | 2.3212 | 2.3452 | 2.3335 |
| 699 | 2.3461 | 2.3231 | 2.3223 | 2.3452 | 2.3333 | 2.3461 | 2.3231 | 2.3223 | 2.3452 | 2.3341 |
| 698 | 2.3462 | 2.3239 | 2.3221 | 2.3464 | 2.3342 | 2.3462 | 2.3239 | 2.3221 | 2.3464 | 2.3346 |
| 697 | 2.3474 | 2.3240 | 2.3235 | 2.3469 | 2.3334 | 2.3474 | 2.3240 | 2.3235 | 2.3469 | 2.3352 |
| 696 | 2.3477 | 2.3246 | 2.3228 | 2.3477 | 2.3342 | 2.3477 | 2.3246 | 2.3228 | 2.3477 | 2.3356 |
| 695 | 2.3482 | 2.3252 | 2.3243 | 2.3479 | 2.3351 | 2.3482 | 2.3252 | 2.3243 | 2.3479 | 2.3362 |
| 694 | 2.3485 | 2.3259 | 2.3242 | 2.3483 | 2.3348 | 2.3485 | 2.3259 | 2.3242 | 2.3483 | 2.3365 |
| 693 | 2.3493 | 2.3265 | 2.3254 | 2.3486 | 2.3357 | 2.3493 | 2.3265 | 2.3254 | 2.3486 | 2.3373 |
| 692 | 2.3497 | 2.3264 | 2.3251 | 2.3496 | 2.3364 | 2.3497 | 2.3264 | 2.3251 | 2.3496 | 2.3376 |
| 691 | 2.3499 | 2.3274 | 2.3257 | 2.3496 | 2.3367 | 2.3499 | 2.3274 | 2.3257 | 2.3496 | 2.3380 |
| 690 | 2.3499 | 2.3273 | 2.3265 | 2.3496 | 2.3372 | 2.3499 | 2.3273 | 2.3265 | 2.3496 | 2.3382 |
| 689 | 2.3509 | 2.3280 | 2.3264 | 2.3506 | 2.3377 | 2.3509 | 2.3280 | 2.3264 | 2.3506 | 2.3388 |
| 688 | 2.3514 | 2.3281 | 2.3272 | 2.3509 | 2.3377 | 2.3514 | 2.3281 | 2.3272 | 2.3509 | 2.3392 |
| 687 | 2.3515 | 2.3286 | 2.3269 | 2.3511 | 2.3383 | 2.3515 | 2.3286 | 2.3269 | 2.3511 | 2.3394 |
| 686 | 2.3521 | 2.3285 | 2.3280 | 2.3515 | 2.3388 | 2.3521 | 2.3285 | 2.3280 | 2.3515 | 2.3399 |
| 685 | 2.3527 | 2.3290 | 2.3275 | 2.3521 | 2.3386 | 2.3527 | 2.3290 | 2.3275 | 2.3521 | 2.3401 |
| 684 | 2.3529 | 2.3291 | 2.3283 | 2.3519 | 2.3382 | 2.3529 | 2.3291 | 2.3283 | 2.3519 | 2.3403 |
| 683 | 2.3526 | 2.3301 | 2.3279 | 2.3528 | 2.3393 | 2.3526 | 2.3301 | 2.3279 | 2.3528 | 2.3407 |
| 682 | 2.3528 | 2.3296 | 2.3286 | 2.3527 | 2.3391 | 2.3528 | 2.3296 | 2.3286 | 2.3527 | 2.3407 |
| 681 | 2.3529 | 2.3301 | 2.3290 | 2.3528 | 2.3393 | 2.3529 | 2.3301 | 2.3290 | 2.3528 | 2.3410 |
| 680 | 2.3539 | 2.3305 | 2.3292 | 2.3529 | 2.3396 | 2.3539 | 2.3305 | 2.3292 | 2.3529 | 2.3414 |
| 679 | 2.3536 | 2.3309 | 2.3291 | 2.3532 | 2.3406 | 2.3536 | 2.3309 | 2.3291 | 2.3532 | 2.3416 |
| 678 | 2.3542 | 2.3309 | 2.3301 | 2.3534 | 2.3400 | 2.3542 | 2.3309 | 2.3301 | 2.3534 | 2.3419 |
| 677 | 2.3540 | 2.3314 | 2.3293 | 2.3541 | 2.3406 | 2.3540 | 2.3314 | 2.3293 | 2.3541 | 2.3420 |
| 676 | 2.3546 | 2.3309 | 2.3303 | 2.3543 | 2.3409 | 2.3546 | 2.3309 | 2.3303 | 2.3543 | 2.3423 |
| 675 | 2.3544 | 2.3318 | 2.3307 | 2.3544 | 2.3418 | 2.3544 | 2.3318 | 2.3307 | 2.3544 | 2.3427 |
| 674 | 2.3551 | 2.3314 | 2.3306 | 2.3550 | 2.3423 | 2.3551 | 2.3314 | 2.3306 | 2.3550 | 2.3429 |
| 673 | 2.3557 | 2.3322 | 2.3313 | 2.3551 | 2.3421 | 2.3557 | 2.3322 | 2.3313 | 2.3551 | 2.3434 |
| 672 | 2.3557 | 2.3327 | 2.3310 | 2.3550 | 2.3416 | 2.3557 | 2.3327 | 2.3310 | 2.3550 | 2.3434 |
| 671 | 2.3562 | 2.3323 | 2.3314 | 2.3557 | 2.3424 | 2.3562 | 2.3323 | 2.3314 | 2.3557 | 2.3437 |
| 670 | 2.3560 | 2.3329 | 2.3315 | 2.3560 | 2.3422 | 2.3560 | 2.3329 | 2.3315 | 2.3560 | 2.3439 |
| 669 | 2.3564 | 2.3328 | 2.3315 | 2.3563 | 2.3424 | 2.3564 | 2.3328 | 2.3315 | 2.3563 | 2.3441 |
| 668 | 2.3564 | 2.3330 | 2.3323 | 2.3561 | 2.3429 | 2.3564 | 2.3330 | 2.3323 | 2.3561 | 2.3443 |
| 667 | 2.3564 | 2.3330 | 2.3317 | 2.3561 | 2.3435 | 2.3564 | 2.3330 | 2.3317 | 2.3561 | 2.3442 |
| 666 | 2.3567 | 2.3333 | 2.3314 | 2.3560 | 2.3426 | 2.3567 | 2.3333 | 2.3314 | 2.3560 | 2.3442 |
| 665 | 2.3569 | 2.3333 | 2.3314 | 2.3557 | 2.3429 | 2.3569 | 2.3333 | 2.3314 | 2.3557 | 2.3442 |
| 664 | 2.3570 | 2.3336 | 2.3320 | 2.3560 | 2.3430 | 2.3570 | 2.3336 | 2.3320 | 2.3560 | 2.3445 |
| 663 | 2.3567 | 2.3334 | 2.3317 | 2.3561 | 2.3429 | 2.3567 | 2.3334 | 2.3317 | 2.3561 | 2.3443 |
| 662 | 2.3567 | 2.3340 | 2.3325 | 2.3561 | 2.3432 | 2.3567 | 2.3340 | 2.3325 | 2.3561 | 2.3446 |
| 661 | 2.3574 | 2.3345 | 2.3322 | 2.3567 | 2.3441 | 2.3574 | 2.3345 | 2.3322 | 2.3567 | 2.3451 |
| 660 | 2.3569 | 2.3338 | 2.3323 | 2.3570 | 2.3444 | 2.3569 | 2.3338 | 2.3323 | 2.3570 | 2.3449 |
| 659 | 2.3577 | 2.3344 | 2.3328 | 2.3570 | 2.3433 | 2.3577 | 2.3344 | 2.3328 | 2.3570 | 2.3453 |
| 658 | 2.3582 | 2.3347 | 2.3327 | 2.3571 | 2.3445 | 2.3582 | 2.3347 | 2.3327 | 2.3571 | 2.3455 |
| 657 | 2.3581 | 2.3351 | 2.3331 | 2.3578 | 2.3439 | 2.3581 | 2.3351 | 2.3331 | 2.3578 | 2.3458 |
| 656 | 2.3584 | 2.3350 | 2.3338 | 2.3581 | 2.3446 | 2.3584 | 2.3350 | 2.3338 | 2.3581 | 2.3462 |
| 655 | 2.3587 | 2.3358 | 2.3335 | 2.3586 | 2.3450 | 2.3587 | 2.3358 | 2.3335 | 2.3586 | 2.3465 |
| 654 | 2.3587 | 2.3356 | 2.3343 | 2.3588 | 2.3452 | 2.3587 | 2.3356 | 2.3343 | 2.3588 | 2.3467 |
| 653 | 2.3592 | 2.3360 | 2.3345 | 2.3590 | 2.3459 | 2.3592 | 2.3360 | 2.3345 | 2.3590 | 2.3470 |
| 652 | 2.3591 | 2.3365 | 2.3344 | 2.3590 | 2.3460 | 2.3591 | 2.3365 | 2.3344 | 2.3590 | 2.3471 |
| 651 | 2.3596 | 2.3363 | 2.3347 | 2.3595 | 2.3459 | 2.3596 | 2.3363 | 2.3347 | 2.3595 | 2.3474 |
| 650 | 2.3599 | 2.3365 | 2.3344 | 2.3599 | 2.3451 | 2.3599 | 2.3365 | 2.3344 | 2.3599 | 2.3474 |
| 649 | 2.3599 | 2.3372 | 2.3348 | 2.3603 | 2.3459 | 2.3599 | 2.3372 | 2.3348 | 2.3603 | 2.3478 |
| 648 | 2.3601 | 2.3377 | 2.3345 | 2.3602 | 2.3466 | 2.3601 | 2.3377 | 2.3345 | 2.3602 | 2.3479 |
| 647 | 2.3602 | 2.3385 | 2.3352 | 2.3611 | 2.3469 | 2.3602 | 2.3385 | 2.3352 | 2.3611 | 2.3485 |
| 646 | 2.3607 | 2.3380 | 2.3353 | 2.3607 | 2.3470 | 2.3607 | 2.3380 | 2.3353 | 2.3607 | 2.3485 |
| 645 | 2.3613 | 2.3388 | 2.3359 | 2.3613 | 2.3469 | 2.3613 | 2.3388 | 2.3359 | 2.3613 | 2.3491 |
| 644 | 2.3617 | 2.3381 | 2.3361 | 2.3616 | 2.3476 | 2.3617 | 2.3381 | 2.3361 | 2.3616 | 2.3492 |
| 643 | 2.3616 | 2.3390 | 2.3361 | 2.3614 | 2.3478 | 2.3616 | 2.3390 | 2.3361 | 2.3614 | 2.3493 |
| 642 | 2.3617 | 2.3389 | 2.3363 | 2.3621 | 2.3482 | 2.3617 | 2.3389 | 2.3363 | 2.3621 | 2.3496 |
| 641 | 2.3619 | 2.3395 | 2.3367 | 2.3625 | 2.3483 | 2.3619 | 2.3395 | 2.3367 | 2.3625 | 2.3500 |
| 640 | 2.3621 | 2.3397 | 2.3366 | 2.3625 | 2.3492 | 2.3621 | 2.3397 | 2.3366 | 2.3625 | 2.3501 |
| 639 | 2.3624 | 2.3395 | 2.3371 | 2.3624 | 2.3495 | 2.3624 | 2.3395 | 2.3371 | 2.3624 | 2.3502 |
| 638 | 2.3628 | 2.3395 | 2.3373 | 2.3622 | 2.3499 | 2.3628 | 2.3395 | 2.3373 | 2.3622 | 2.3504 |
| 637 | 2.3634 | 2.3404 | 2.3374 | 2.3623 | 2.3505 | 2.3634 | 2.3404 | 2.3374 | 2.3623 | 2.3508 |
| 636 | 2.3638 | 2.3390 | 2.3376 | 2.3625 | 2.3508 | 2.3638 | 2.3390 | 2.3376 | 2.3625 | 2.3507 |
| 635 | 2.3637 | 2.3399 | 2.3381 | 2.3633 | 2.3513 | 2.3637 | 2.3399 | 2.3381 | 2.3633 | 2.3513 |
| 634 | 2.3641 | 2.3399 | 2.3379 | 2.3633 | 2.3517 | 2.3641 | 2.3399 | 2.3379 | 2.3633 | 2.3514 |
| 633 | 2.3643 | 2.3398 | 2.3382 | 2.3639 | 2.3520 | 2.3643 | 2.3398 | 2.3382 | 2.3639 | 2.3516 |
| 632 | 2.3642 | 2.3403 | 2.3388 | 2.3638 | 2.3530 | 2.3642 | 2.3403 | 2.3388 | 2.3638 | 2.3519 |
| 631 | 2.3646 | 2.3407 | 2.3393 | 2.3642 | 2.3516 | 2.3646 | 2.3407 | 2.3393 | 2.3642 | 2.3521 |
| 630 | 2.3646 | 2.3402 | 2.3397 | 2.3644 | 2.3524 | 2.3646 | 2.3402 | 2.3397 | 2.3644 | 2.3522 |
| 629 | 2.3648 | 2.3407 | 2.3399 | 2.3645 | 2.3527 | 2.3648 | 2.3407 | 2.3399 | 2.3645 | 2.3525 |
| 628 | 2.3658 | 2.3412 | 2.3398 | 2.3650 | 2.3532 | 2.3658 | 2.3412 | 2.3398 | 2.3650 | 2.3530 |
| 627 | 2.3656 | 2.3418 | 2.3407 | 2.3652 | 2.3524 | 2.3656 | 2.3418 | 2.3407 | 2.3652 | 2.3532 |
| 626 | 2.3658 | 2.3418 | 2.3408 | 2.3651 | 2.3517 | 2.3658 | 2.3418 | 2.3408 | 2.3651 | 2.3532 |
| 625 | 2.3663 | 2.3416 | 2.3416 | 2.3653 | 2.3535 | 2.3663 | 2.3416 | 2.3416 | 2.3653 | 2.3537 |
| 624 | 2.3666 | 2.3415 | 2.3411 | 2.3660 | 2.3533 | 2.3666 | 2.3415 | 2.3411 | 2.3660 | 2.3538 |
| 623 | 2.3670 | 2.3421 | 2.3410 | 2.3661 | 2.3534 | 2.3670 | 2.3421 | 2.3410 | 2.3661 | 2.3540 |
| 622 | 2.3671 | 2.3427 | 2.3423 | 2.3663 | 2.3538 | 2.3671 | 2.3427 | 2.3423 | 2.3663 | 2.3545 |
| 621 | 2.3673 | 2.3427 | 2.3419 | 2.3667 | 2.3523 | 2.3673 | 2.3427 | 2.3419 | 2.3667 | 2.3544 |
| 620 | 2.3677 | 2.3428 | 2.3420 | 2.3671 | 2.3529 | 2.3677 | 2.3428 | 2.3420 | 2.3671 | 2.3547 |
| 619 | 2.3677 | 2.3428 | 2.3427 | 2.3670 | 2.3529 | 2.3677 | 2.3428 | 2.3427 | 2.3670 | 2.3548 |
| 618 | 2.3678 | 2.3438 | 2.3429 | 2.3674 | 2.3534 | 2.3678 | 2.3438 | 2.3429 | 2.3674 | 2.3553 |
| 617 | 2.3683 | 2.3442 | 2.3430 | 2.3676 | 2.3531 | 2.3683 | 2.3442 | 2.3430 | 2.3676 | 2.3555 |
| 616 | 2.3686 | 2.3439 | 2.3425 | 2.3683 | 2.3538 | 2.3686 | 2.3439 | 2.3425 | 2.3683 | 2.3556 |
| 615 | 2.3687 | 2.3442 | 2.3433 | 2.3686 | 2.3546 | 2.3687 | 2.3442 | 2.3433 | 2.3686 | 2.3560 |
| 614 | 2.3690 | 2.3447 | 2.3429 | 2.3685 | 2.3543 | 2.3690 | 2.3447 | 2.3429 | 2.3685 | 2.3561 |
| 613 | 2.3695 | 2.3450 | 2.3430 | 2.3688 | 2.3556 | 2.3695 | 2.3450 | 2.3430 | 2.3688 | 2.3565 |
| 612 | 2.3699 | 2.3443 | 2.3434 | 2.3692 | 2.3553 | 2.3699 | 2.3443 | 2.3434 | 2.3692 | 2.3566 |
| 611 | 2.3701 | 2.3452 | 2.3436 | 2.3695 | 2.3559 | 2.3701 | 2.3452 | 2.3436 | 2.3695 | 2.3570 |
| 610 | 2.3705 | 2.3461 | 2.3443 | 2.3693 | 2.3553 | 2.3705 | 2.3461 | 2.3443 | 2.3693 | 2.3573 |
| 609 | 2.3706 | 2.3454 | 2.3446 | 2.3694 | 2.3560 | 2.3706 | 2.3454 | 2.3446 | 2.3694 | 2.3573 |
| 608 | 2.3709 | 2.3463 | 2.3448 | 2.3702 | 2.3555 | 2.3709 | 2.3463 | 2.3448 | 2.3702 | 2.3578 |
| 607 | 2.3713 | 2.3463 | 2.3448 | 2.3701 | 2.3558 | 2.3713 | 2.3463 | 2.3448 | 2.3701 | 2.3579 |
| 606 | 2.3713 | 2.3463 | 2.3452 | 2.3708 | 2.3569 | 2.3713 | 2.3463 | 2.3452 | 2.3708 | 2.3582 |
| 605 | 2.3716 | 2.3471 | 2.3452 | 2.3711 | 2.3566 | 2.3716 | 2.3471 | 2.3452 | 2.3711 | 2.3585 |
| 604 | 2.3717 | 2.3476 | 2.3451 | 2.3716 | 2.3572 | 2.3717 | 2.3476 | 2.3451 | 2.3716 | 2.3588 |
| 603 | 2.3721 | 2.3472 | 2.3462 | 2.3719 | 2.3575 | 2.3721 | 2.3472 | 2.3462 | 2.3719 | 2.3591 |
| 602 | 2.3722 | 2.3480 | 2.3462 | 2.3716 | 2.3580 | 2.3722 | 2.3480 | 2.3462 | 2.3716 | 2.3593 |
| 601 | 2.3731 | 2.3476 | 2.3462 | 2.3718 | 2.3581 | 2.3731 | 2.3476 | 2.3462 | 2.3718 | 2.3595 |
| 600 | 2.3733 | 2.3478 | 2.3469 | 2.3724 | 2.3581 | 2.3733 | 2.3478 | 2.3469 | 2.3724 | 2.3599 |
| 599 | 2.3733 | 2.3485 | 2.3470 | 2.3726 | 2.3585 | 2.3733 | 2.3485 | 2.3470 | 2.3726 | 2.3601 |
| 598 | 2.3737 | 2.3480 | 2.3470 | 2.3732 | 2.3584 | 2.3737 | 2.3480 | 2.3470 | 2.3732 | 2.3602 |
| 597 | 2.3737 | 2.3490 | 2.3472 | 2.3731 | 2.3592 | 2.3737 | 2.3490 | 2.3472 | 2.3731 | 2.3606 |
| 596 | 2.3740 | 2.3488 | 2.3475 | 2.3733 | 2.3594 | 2.3740 | 2.3488 | 2.3475 | 2.3733 | 2.3608 |
| 595 | 2.3744 | 2.3491 | 2.3475 | 2.3738 | 2.3595 | 2.3744 | 2.3491 | 2.3475 | 2.3738 | 2.3610 |
| 594 | 2.3745 | 2.3491 | 2.3480 | 2.3741 | 2.3590 | 2.3745 | 2.3491 | 2.3480 | 2.3741 | 2.3612 |
| 593 | 2.3749 | 2.3494 | 2.3482 | 2.3743 | 2.3600 | 2.3749 | 2.3494 | 2.3482 | 2.3743 | 2.3615 |
| 592 | 2.3751 | 2.3501 | 2.3483 | 2.3746 | 2.3602 | 2.3751 | 2.3501 | 2.3483 | 2.3746 | 2.3618 |
| 591 | 2.3754 | 2.3498 | 2.3491 | 2.3752 | 2.3604 | 2.3754 | 2.3498 | 2.3491 | 2.3752 | 2.3622 |
| 590 | 2.3759 | 2.3508 | 2.3491 | 2.3753 | 2.3608 | 2.3759 | 2.3508 | 2.3491 | 2.3753 | 2.3625 |
| 589 | 2.3757 | 2.3509 | 2.3495 | 2.3756 | 2.3609 | 2.3757 | 2.3509 | 2.3495 | 2.3756 | 2.3627 |
| 588 | 2.3761 | 2.3511 | 2.3494 | 2.3756 | 2.3611 | 2.3761 | 2.3511 | 2.3494 | 2.3756 | 2.3628 |
| 587 | 2.3768 | 2.3509 | 2.3498 | 2.3758 | 2.3614 | 2.3768 | 2.3509 | 2.3498 | 2.3758 | 2.3631 |
| 586 | 2.3769 | 2.3516 | 2.3498 | 2.3761 | 2.3621 | 2.3769 | 2.3516 | 2.3498 | 2.3761 | 2.3634 |
| 585 | 2.3772 | 2.3519 | 2.3499 | 2.3759 | 2.3612 | 2.3772 | 2.3519 | 2.3499 | 2.3759 | 2.3635 |
| 584 | 2.3774 | 2.3521 | 2.3501 | 2.3771 | 2.3619 | 2.3774 | 2.3521 | 2.3501 | 2.3771 | 2.3639 |
| 583 | 2.3779 | 2.3528 | 2.3505 | 2.3770 | 2.3625 | 2.3779 | 2.3528 | 2.3505 | 2.3770 | 2.3643 |
| 582 | 2.3779 | 2.3529 | 2.3507 | 2.3774 | 2.3631 | 2.3779 | 2.3529 | 2.3507 | 2.3774 | 2.3646 |
| 581 | 2.3781 | 2.3530 | 2.3513 | 2.3771 | 2.3623 | 2.3781 | 2.3530 | 2.3513 | 2.3771 | 2.3646 |
| 580 | 2.3783 | 2.3533 | 2.3517 | 2.3777 | 2.3620 | 2.3783 | 2.3533 | 2.3517 | 2.3777 | 2.3649 |
| 579 | 2.3790 | 2.3539 | 2.3520 | 2.3780 | 2.3641 | 2.3790 | 2.3539 | 2.3520 | 2.3780 | 2.3655 |
| 578 | 2.3790 | 2.3539 | 2.3523 | 2.3784 | 2.3634 | 2.3790 | 2.3539 | 2.3523 | 2.3784 | 2.3656 |
| 577 | 2.3795 | 2.3545 | 2.3524 | 2.3786 | 2.3638 | 2.3795 | 2.3545 | 2.3524 | 2.3786 | 2.3660 |
| 576 | 2.3796 | 2.3545 | 2.3524 | 2.3791 | 2.3633 | 2.3796 | 2.3545 | 2.3524 | 2.3791 | 2.3660 |
| 575 | 2.3799 | 2.3549 | 2.3528 | 2.3788 | 2.3648 | 2.3799 | 2.3549 | 2.3528 | 2.3788 | 2.3664 |
| 574 | 2.3798 | 2.3550 | 2.3528 | 2.3796 | 2.3645 | 2.3798 | 2.3550 | 2.3528 | 2.3796 | 2.3666 |
| 573 | 2.3801 | 2.3548 | 2.3536 | 2.3796 | 2.3644 | 2.3801 | 2.3548 | 2.3536 | 2.3796 | 2.3667 |
| 572 | 2.3806 | 2.3558 | 2.3533 | 2.3802 | 2.3653 | 2.3806 | 2.3558 | 2.3533 | 2.3802 | 2.3672 |
| 571 | 2.3810 | 2.3563 | 2.3535 | 2.3804 | 2.3649 | 2.3810 | 2.3563 | 2.3535 | 2.3804 | 2.3675 |
| 570 | 2.3812 | 2.3560 | 2.3539 | 2.3808 | 2.3651 | 2.3812 | 2.3560 | 2.3539 | 2.3808 | 2.3677 |
| 569 | 2.3817 | 2.3567 | 2.3543 | 2.3811 | 2.3656 | 2.3817 | 2.3567 | 2.3543 | 2.3811 | 2.3681 |
| 568 | 2.3825 | 2.3557 | 2.3547 | 2.3818 | 2.3657 | 2.3825 | 2.3557 | 2.3547 | 2.3818 | 2.3683 |
| 567 | 2.3825 | 2.3559 | 2.3545 | 2.3813 | 2.3664 | 2.3825 | 2.3559 | 2.3545 | 2.3813 | 2.3683 |
| 566 | 2.3831 | 2.3573 | 2.3551 | 2.3816 | 2.3669 | 2.3831 | 2.3573 | 2.3551 | 2.3816 | 2.3690 |
| 565 | 2.3831 | 2.3572 | 2.3559 | 2.3820 | 2.3671 | 2.3831 | 2.3572 | 2.3559 | 2.3820 | 2.3693 |
| 564 | 2.3838 | 2.3574 | 2.3560 | 2.3821 | 2.3680 | 2.3838 | 2.3574 | 2.3560 | 2.3821 | 2.3696 |
| 563 | 2.3847 | 2.3582 | 2.3565 | 2.3825 | 2.3681 | 2.3847 | 2.3582 | 2.3565 | 2.3825 | 2.3702 |
| 562 | 2.3846 | 2.3581 | 2.3566 | 2.3827 | 2.3678 | 2.3846 | 2.3581 | 2.3566 | 2.3827 | 2.3702 |
| 561 | 2.3844 | 2.3583 | 2.3569 | 2.3835 | 2.3682 | 2.3844 | 2.3583 | 2.3569 | 2.3835 | 2.3705 |
| 560 | 2.3848 | 2.3588 | 2.3568 | 2.3837 | 2.3683 | 2.3848 | 2.3588 | 2.3568 | 2.3837 | 2.3707 |
| 559 | 2.3854 | 2.3591 | 2.3572 | 2.3840 | 2.3685 | 2.3854 | 2.3591 | 2.3572 | 2.3840 | 2.3711 |
| 558 | 2.3858 | 2.3593 | 2.3580 | 2.3845 | 2.3690 | 2.3858 | 2.3593 | 2.3580 | 2.3845 | 2.3716 |
| 557 | 2.3859 | 2.3596 | 2.3582 | 2.3846 | 2.3698 | 2.3859 | 2.3596 | 2.3582 | 2.3846 | 2.3718 |
| 556 | 2.3861 | 2.3605 | 2.3581 | 2.3851 | 2.3693 | 2.3861 | 2.3605 | 2.3581 | 2.3851 | 2.3721 |
| 555 | 2.3868 | 2.3603 | 2.3586 | 2.3854 | 2.3700 | 2.3868 | 2.3603 | 2.3586 | 2.3854 | 2.3725 |
| 554 | 2.3869 | 2.3609 | 2.3587 | 2.3856 | 2.3696 | 2.3869 | 2.3609 | 2.3587 | 2.3856 | 2.3726 |
| 553 | 2.3872 | 2.3617 | 2.3588 | 2.3858 | 2.3709 | 2.3872 | 2.3617 | 2.3588 | 2.3858 | 2.3731 |
| 552 | 2.3880 | 2.3613 | 2.3595 | 2.3866 | 2.3714 | 2.3880 | 2.3613 | 2.3595 | 2.3866 | 2.3736 |
| 551 | 2.3882 | 2.3614 | 2.3597 | 2.3868 | 2.3715 | 2.3882 | 2.3614 | 2.3597 | 2.3868 | 2.3738 |
| 550 | 2.3885 | 2.3618 | 2.3602 | 2.3872 | 2.3719 | 2.3885 | 2.3618 | 2.3602 | 2.3872 | 2.3741 |
| 549 | 2.3889 | 2.3620 | 2.3604 | 2.3874 | 2.3727 | 2.3889 | 2.3620 | 2.3604 | 2.3874 | 2.3745 |
| 548 | 2.3893 | 2.3627 | 2.3609 | 2.3876 | 2.3730 | 2.3893 | 2.3627 | 2.3609 | 2.3876 | 2.3749 |
| 547 | 2.3895 | 2.3627 | 2.3610 | 2.3881 | 2.3732 | 2.3895 | 2.3627 | 2.3610 | 2.3881 | 2.3751 |
| 546 | 2.3903 | 2.3633 | 2.3616 | 2.3888 | 2.3733 | 2.3903 | 2.3633 | 2.3616 | 2.3888 | 2.3757 |
| 545 | 2.3909 | 2.3640 | 2.3616 | 2.3892 | 2.3734 | 2.3909 | 2.3640 | 2.3616 | 2.3892 | 2.3761 |
| 544 | 2.3910 | 2.3641 | 2.3628 | 2.3898 | 2.3741 | 2.3910 | 2.3641 | 2.3628 | 2.3898 | 2.3766 |
| 543 | 2.3915 | 2.3647 | 2.3632 | 2.3898 | 2.3746 | 2.3915 | 2.3647 | 2.3632 | 2.3898 | 2.3770 |
| 542 | 2.3919 | 2.3649 | 2.3637 | 2.3904 | 2.3750 | 2.3919 | 2.3649 | 2.3637 | 2.3904 | 2.3774 |
| 541 | 2.3926 | 2.3646 | 2.3637 | 2.3907 | 2.3752 | 2.3926 | 2.3646 | 2.3637 | 2.3907 | 2.3776 |
| 540 | 2.3930 | 2.3652 | 2.3648 | 2.3914 | 2.3755 | 2.3930 | 2.3652 | 2.3648 | 2.3914 | 2.3783 |
| 539 | 2.3931 | 2.3663 | 2.3649 | 2.3918 | 2.3766 | 2.3931 | 2.3663 | 2.3649 | 2.3918 | 2.3788 |
| 538 | 2.3935 | 2.3668 | 2.3647 | 2.3918 | 2.3770 | 2.3935 | 2.3668 | 2.3647 | 2.3918 | 2.3790 |
| 537 | 2.3940 | 2.3669 | 2.3660 | 2.3927 | 2.3774 | 2.3940 | 2.3669 | 2.3660 | 2.3927 | 2.3796 |
| 536 | 2.3949 | 2.3669 | 2.3663 | 2.3927 | 2.3776 | 2.3949 | 2.3669 | 2.3663 | 2.3927 | 2.3799 |
| 535 | 2.3945 | 2.3669 | 2.3667 | 2.3933 | 2.3781 | 2.3945 | 2.3669 | 2.3667 | 2.3933 | 2.3801 |
| 534 | 2.3952 | 2.3677 | 2.3668 | 2.3935 | 2.3787 | 2.3952 | 2.3677 | 2.3668 | 2.3935 | 2.3806 |
| 533 | 2.3952 | 2.3684 | 2.3674 | 2.3938 | 2.3795 | 2.3952 | 2.3684 | 2.3674 | 2.3938 | 2.3810 |
| 532 | 2.3958 | 2.3684 | 2.3679 | 2.3940 | 2.3787 | 2.3958 | 2.3684 | 2.3679 | 2.3940 | 2.3812 |
| 531 | 2.3959 | 2.3688 | 2.3683 | 2.3943 | 2.3800 | 2.3959 | 2.3688 | 2.3683 | 2.3943 | 2.3816 |
| 530 | 2.3966 | 2.3693 | 2.3688 | 2.3956 | 2.3808 | 2.3966 | 2.3693 | 2.3688 | 2.3956 | 2.3824 |
| 529 | 2.3973 | 2.3702 | 2.3689 | 2.3958 | 2.3806 | 2.3973 | 2.3702 | 2.3689 | 2.3958 | 2.3828 |
| 528 | 2.3973 | 2.3704 | 2.3693 | 2.3963 | 2.3817 | 2.3973 | 2.3704 | 2.3693 | 2.3963 | 2.3832 |
| 527 | 2.3978 | 2.3708 | 2.3696 | 2.3971 | 2.3824 | 2.3978 | 2.3708 | 2.3696 | 2.3971 | 2.3837 |
| 526 | 2.3982 | 2.3717 | 2.3698 | 2.3971 | 2.3823 | 2.3982 | 2.3717 | 2.3698 | 2.3971 | 2.3840 |
| 525 | 2.3988 | 2.3716 | 2.3710 | 2.3979 | 2.3827 | 2.3988 | 2.3716 | 2.3710 | 2.3979 | 2.3846 |
| 524 | 2.3994 | 2.3723 | 2.3712 | 2.3983 | 2.3828 | 2.3994 | 2.3723 | 2.3712 | 2.3983 | 2.3850 |
| 523 | 2.3997 | 2.3723 | 2.3710 | 2.3985 | 2.3833 | 2.3997 | 2.3723 | 2.3710 | 2.3985 | 2.3851 |
| 522 | 2.4000 | 2.3731 | 2.3720 | 2.3986 | 2.3836 | 2.4000 | 2.3731 | 2.3720 | 2.3986 | 2.3857 |
| 521 | 2.4004 | 2.3731 | 2.3719 | 2.3995 | 2.3840 | 2.4004 | 2.3731 | 2.3719 | 2.3995 | 2.3860 |
| 520 | 2.4010 | 2.3744 | 2.3731 | 2.3998 | 2.3849 | 2.4010 | 2.3744 | 2.3731 | 2.3998 | 2.3868 |
| 519 | 2.4012 | 2.3746 | 2.3731 | 2.3996 | 2.3846 | 2.4012 | 2.3746 | 2.3731 | 2.3996 | 2.3868 |
| 518 | 2.4021 | 2.3739 | 2.3733 | 2.3996 | 2.3853 | 2.4021 | 2.3739 | 2.3733 | 2.3996 | 2.3870 |
| 517 | 2.4016 | 2.3748 | 2.3738 | 2.4006 | 2.3863 | 2.4016 | 2.3748 | 2.3738 | 2.4006 | 2.3875 |
| 516 | 2.4019 | 2.3752 | 2.3744 | 2.4002 | 2.3865 | 2.4019 | 2.3752 | 2.3744 | 2.4002 | 2.3878 |
| 515 | 2.4027 | 2.3751 | 2.3737 | 2.4014 | 2.3867 | 2.4027 | 2.3751 | 2.3737 | 2.4014 | 2.3881 |
| 514 | 2.4027 | 2.3761 | 2.3746 | 2.4014 | 2.3873 | 2.4027 | 2.3761 | 2.3746 | 2.4014 | 2.3885 |
| 513 | 2.4034 | 2.3757 | 2.3749 | 2.4023 | 2.3874 | 2.4034 | 2.3757 | 2.3749 | 2.4023 | 2.3889 |
| 512 | 2.4038 | 2.3760 | 2.3754 | 2.4018 | 2.3867 | 2.4038 | 2.3760 | 2.3754 | 2.4018 | 2.3890 |
| 511 | 2.4043 | 2.3762 | 2.3755 | 2.4025 | 2.3887 | 2.4043 | 2.3762 | 2.3755 | 2.4025 | 2.3895 |
| 510 | 2.4044 | 2.3769 | 2.3755 | 2.4029 | 2.3883 | 2.4044 | 2.3769 | 2.3755 | 2.4029 | 2.3897 |
| 509 | 2.4050 | 2.3773 | 2.3757 | 2.4033 | 2.3881 | 2.4050 | 2.3773 | 2.3757 | 2.4033 | 2.3901 |
| 508 | 2.4049 | 2.3772 | 2.3760 | 2.4033 | 2.3889 | 2.4049 | 2.3772 | 2.3760 | 2.4033 | 2.3902 |
| 507 | 2.4052 | 2.3778 | 2.3767 | 2.4039 | 2.3889 | 2.4052 | 2.3778 | 2.3767 | 2.4039 | 2.3907 |
| 506 | 2.4054 | 2.3781 | 2.3771 | 2.4036 | 2.3880 | 2.4054 | 2.3781 | 2.3771 | 2.4036 | 2.3907 |
| 505 | 2.4061 | 2.3779 | 2.3775 | 2.4042 | 2.3906 | 2.4061 | 2.3779 | 2.3775 | 2.4042 | 2.3914 |
| 504 | 2.4063 | 2.3783 | 2.3782 | 2.4048 | 2.3901 | 2.4063 | 2.3783 | 2.3782 | 2.4048 | 2.3917 |
| 503 | 2.4070 | 2.3786 | 2.3781 | 2.4061 | 2.3902 | 2.4070 | 2.3786 | 2.3781 | 2.4061 | 2.3922 |
| 502 | 2.4070 | 2.3800 | 2.3785 | 2.4054 | 2.3905 | 2.4070 | 2.3800 | 2.3785 | 2.4054 | 2.3925 |
| 501 | 2.4081 | 2.3798 | 2.3788 | 2.4059 | 2.3915 | 2.4081 | 2.3798 | 2.3788 | 2.4059 | 2.3930 |
| 500 | 2.4074 | 2.3806 | 2.3790 | 2.4067 | 2.3923 | 2.4074 | 2.3806 | 2.3790 | 2.4067 | 2.3933 |
| 499 | 2.4079 | 2.3807 | 2.3796 | 2.4069 | 2.3916 | 2.4079 | 2.3807 | 2.3796 | 2.4069 | 2.3935 |
| 498 | 2.4088 | 2.3807 | 2.3798 | 2.4073 | 2.3928 | 2.4088 | 2.3807 | 2.3798 | 2.4073 | 2.3940 |
| 497 | 2.4092 | 2.3815 | 2.3803 | 2.4079 | 2.3927 | 2.4092 | 2.3815 | 2.3803 | 2.4079 | 2.3945 |
| 496 | 2.4098 | 2.3819 | 2.3806 | 2.4081 | 2.3937 | 2.4098 | 2.3819 | 2.3806 | 2.4081 | 2.3950 |
| 495 | 2.4101 | 2.3825 | 2.3814 | 2.4082 | 2.3932 | 2.4101 | 2.3825 | 2.3814 | 2.4082 | 2.3953 |
| 494 | 2.4096 | 2.3827 | 2.3817 | 2.4089 | 2.3939 | 2.4096 | 2.3827 | 2.3817 | 2.4089 | 2.3955 |
| 493 | 2.4110 | 2.3827 | 2.3820 | 2.4088 | 2.3933 | 2.4110 | 2.3827 | 2.3820 | 2.4088 | 2.3958 |
| 492 | 2.4106 | 2.3825 | 2.3824 | 2.4093 | 2.3945 | 2.4106 | 2.3825 | 2.3824 | 2.4093 | 2.3960 |
| 491 | 2.4115 | 2.3835 | 2.3828 | 2.4097 | 2.3947 | 2.4115 | 2.3835 | 2.3828 | 2.4097 | 2.3967 |
| 490 | 2.4120 | 2.3839 | 2.3827 | 2.4107 | 2.3948 | 2.4120 | 2.3839 | 2.3827 | 2.4107 | 2.3971 |
| 489 | 2.4125 | 2.3844 | 2.3837 | 2.4102 | 2.3955 | 2.4125 | 2.3844 | 2.3837 | 2.4102 | 2.3975 |
| 488 | 2.4124 | 2.3839 | 2.3835 | 2.4110 | 2.3961 | 2.4124 | 2.3839 | 2.3835 | 2.4110 | 2.3975 |
| 487 | 2.4130 | 2.3845 | 2.3849 | 2.4119 | 2.3965 | 2.4130 | 2.3845 | 2.3849 | 2.4119 | 2.3983 |
| 486 | 2.4140 | 2.3855 | 2.3853 | 2.4122 | 2.3971 | 2.4140 | 2.3855 | 2.3853 | 2.4122 | 2.3990 |
| 485 | 2.4139 | 2.3856 | 2.3855 | 2.4119 | 2.3975 | 2.4139 | 2.3856 | 2.3855 | 2.4119 | 2.3990 |
| 484 | 2.4144 | 2.3861 | 2.3859 | 2.4131 | 2.3976 | 2.4144 | 2.3861 | 2.3859 | 2.4131 | 2.3996 |
| 483 | 2.4145 | 2.3862 | 2.3865 | 2.4131 | 2.3981 | 2.4145 | 2.3862 | 2.3865 | 2.4131 | 2.3998 |
| 482 | 2.4150 | 2.3870 | 2.3867 | 2.4133 | 2.3976 | 2.4150 | 2.3870 | 2.3867 | 2.4133 | 2.4002 |
| 481 | 2.4150 | 2.3868 | 2.3862 | 2.4138 | 2.3981 | 2.4150 | 2.3868 | 2.3862 | 2.4138 | 2.4002 |
| 480 | 2.4161 | 2.3877 | 2.3856 | 2.4136 | 2.3980 | 2.4161 | 2.3877 | 2.3856 | 2.4136 | 2.4005 |
| 479 | 2.4155 | 2.3880 | 2.3862 | 2.4146 | 2.4009 | 2.4155 | 2.3880 | 2.3862 | 2.4146 | 2.4011 |
| 478 | 2.4157 | 2.3878 | 2.3867 | 2.4150 | 2.3996 | 2.4157 | 2.3878 | 2.3867 | 2.4150 | 2.4011 |
| 477 | 2.4168 | 2.3887 | 2.3870 | 2.4149 | 2.4004 | 2.4168 | 2.3887 | 2.3870 | 2.4149 | 2.4017 |
| 476 | 2.4169 | 2.3890 | 2.3869 | 2.4149 | 2.3998 | 2.4169 | 2.3890 | 2.3869 | 2.4149 | 2.4017 |
| 475 | 2.4176 | 2.3898 | 2.3879 | 2.4153 | 2.4000 | 2.4176 | 2.3898 | 2.3879 | 2.4153 | 2.4023 |
| 474 | 2.4171 | 2.3896 | 2.3876 | 2.4156 | 2.4014 | 2.4171 | 2.3896 | 2.3876 | 2.4156 | 2.4023 |
| 473 | 2.4168 | 2.3885 | 2.3877 | 2.4167 | 2.4007 | 2.4168 | 2.3885 | 2.3877 | 2.4167 | 2.4022 |
| 472 | 2.4174 | 2.3885 | 2.3878 | 2.4164 | 2.4015 | 2.4174 | 2.3885 | 2.3878 | 2.4164 | 2.4024 |
| 471 | 2.4175 | 2.3886 | 2.3878 | 2.4167 | 2.4004 | 2.4175 | 2.3886 | 2.3878 | 2.4167 | 2.4024 |
| 470 | 2.4179 | 2.3888 | 2.3881 | 2.4163 | 2.4018 | 2.4179 | 2.3888 | 2.3881 | 2.4163 | 2.4027 |
| 469 | 2.4179 | 2.3887 | 2.3881 | 2.4171 | 2.4024 | 2.4179 | 2.3887 | 2.3881 | 2.4171 | 2.4029 |
| 468 | 2.4184 | 2.3890 | 2.3889 | 2.4175 | 2.4015 | 2.4184 | 2.3890 | 2.3889 | 2.4175 | 2.4032 |
| 467 | 2.4186 | 2.3903 | 2.3891 | 2.4171 | 2.4023 | 2.4186 | 2.3903 | 2.3891 | 2.4171 | 2.4036 |
| 466 | 2.4190 | 2.3896 | 2.3891 | 2.4179 | 2.4018 | 2.4190 | 2.3896 | 2.3891 | 2.4179 | 2.4037 |
| 465 | 2.4189 | 2.3894 | 2.3894 | 2.4190 | 2.4028 | 2.4189 | 2.3894 | 2.3894 | 2.4190 | 2.4040 |
| 464 | 2.4194 | 2.3897 | 2.3895 | 2.4185 | 2.4022 | 2.4194 | 2.3897 | 2.3895 | 2.4185 | 2.4041 |
| 463 | 2.4201 | 2.3904 | 2.3900 | 2.4185 | 2.4032 | 2.4201 | 2.3904 | 2.3900 | 2.4185 | 2.4046 |
| 462 | 2.4200 | 2.3908 | 2.3905 | 2.4186 | 2.4042 | 2.4200 | 2.3908 | 2.3905 | 2.4186 | 2.4049 |
| 461 | 2.4204 | 2.3909 | 2.3903 | 2.4193 | 2.4043 | 2.4204 | 2.3909 | 2.3903 | 2.4193 | 2.4051 |
| 460 | 2.4203 | 2.3917 | 2.3901 | 2.4189 | 2.4036 | 2.4203 | 2.3917 | 2.3901 | 2.4189 | 2.4051 |
| 459 | 2.4213 | 2.3917 | 2.3903 | 2.4192 | 2.4041 | 2.4213 | 2.3917 | 2.3903 | 2.4192 | 2.4055 |
| 458 | 2.4210 | 2.3921 | 2.3914 | 2.4198 | 2.4049 | 2.4210 | 2.3921 | 2.3914 | 2.4198 | 2.4059 |
| 457 | 2.4211 | 2.3922 | 2.3915 | 2.4211 | 2.4059 | 2.4211 | 2.3922 | 2.3915 | 2.4211 | 2.4064 |
| 456 | 2.4213 | 2.3929 | 2.3919 | 2.4202 | 2.4063 | 2.4213 | 2.3929 | 2.3919 | 2.4202 | 2.4065 |
| 455 | 2.4215 | 2.3924 | 2.3923 | 2.4201 | 2.4057 | 2.4215 | 2.3924 | 2.3923 | 2.4201 | 2.4065 |
| 454 | 2.4221 | 2.3931 | 2.3923 | 2.4208 | 2.4065 | 2.4221 | 2.3931 | 2.3923 | 2.4208 | 2.4070 |
| 453 | 2.4227 | 2.3935 | 2.3928 | 2.4209 | 2.4081 | 2.4227 | 2.3935 | 2.3928 | 2.4209 | 2.4075 |
| 452 | 2.4237 | 2.3939 | 2.3933 | 2.4216 | 2.4069 | 2.4237 | 2.3939 | 2.3933 | 2.4216 | 2.4080 |
| 451 | 2.4235 | 2.3948 | 2.3935 | 2.4218 | 2.4069 | 2.4235 | 2.3948 | 2.3935 | 2.4218 | 2.4082 |
| 450 | 2.4238 | 2.3949 | 2.3939 | 2.4225 | 2.4079 | 2.4238 | 2.3949 | 2.3939 | 2.4225 | 2.4087 |
| 449 | 2.4242 | 2.3953 | 2.3942 | 2.4227 | 2.4085 | 2.4242 | 2.3953 | 2.3942 | 2.4227 | 2.4090 |
| 448 | 2.4251 | 2.3949 | 2.3950 | 2.4227 | 2.4081 | 2.4251 | 2.3949 | 2.3950 | 2.4227 | 2.4093 |
| 447 | 2.4255 | 2.3961 | 2.3949 | 2.4238 | 2.4081 | 2.4255 | 2.3961 | 2.3949 | 2.4238 | 2.4098 |
| 446 | 2.4260 | 2.3958 | 2.3954 | 2.4241 | 2.4092 | 2.4260 | 2.3958 | 2.3954 | 2.4241 | 2.4102 |
| 445 | 2.4260 | 2.3960 | 2.3962 | 2.4243 | 2.4095 | 2.4260 | 2.3960 | 2.3962 | 2.4243 | 2.4105 |
| 444 | 2.4267 | 2.3973 | 2.3962 | 2.4244 | 2.4104 | 2.4267 | 2.3973 | 2.3962 | 2.4244 | 2.4111 |
| 443 | 2.4270 | 2.3964 | 2.3969 | 2.4253 | 2.4119 | 2.4270 | 2.3964 | 2.3969 | 2.4253 | 2.4115 |
| 442 | 2.4273 | 2.3983 | 2.3970 | 2.4258 | 2.4103 | 2.4273 | 2.3983 | 2.3970 | 2.4258 | 2.4119 |
| 441 | 2.4274 | 2.3980 | 2.3976 | 2.4255 | 2.4104 | 2.4274 | 2.3980 | 2.3976 | 2.4255 | 2.4119 |
| 440 | 2.4281 | 2.3988 | 2.3976 | 2.4259 | 2.4112 | 2.4281 | 2.3988 | 2.3976 | 2.4259 | 2.4125 |
| 439 | 2.4285 | 2.3986 | 2.3984 | 2.4263 | 2.4117 | 2.4285 | 2.3986 | 2.3984 | 2.4263 | 2.4128 |
| 438 | 2.4289 | 2.3990 | 2.3983 | 2.4271 | 2.4117 | 2.4289 | 2.3990 | 2.3983 | 2.4271 | 2.4132 |
| 437 | 2.4298 | 2.3998 | 2.3982 | 2.4271 | 2.4124 | 2.4298 | 2.3998 | 2.3982 | 2.4271 | 2.4136 |
| 436 | 2.4296 | 2.4001 | 2.3989 | 2.4276 | 2.4133 | 2.4296 | 2.4001 | 2.3989 | 2.4276 | 2.4140 |
| 435 | 2.4300 | 2.3996 | 2.3997 | 2.4280 | 2.4132 | 2.4300 | 2.3996 | 2.3997 | 2.4280 | 2.4142 |
| 434 | 2.4308 | 2.4012 | 2.4005 | 2.4287 | 2.4138 | 2.4308 | 2.4012 | 2.4005 | 2.4287 | 2.4151 |
| 433 | 2.4315 | 2.4016 | 2.4006 | 2.4292 | 2.4149 | 2.4315 | 2.4016 | 2.4006 | 2.4292 | 2.4156 |
| 432 | 2.4315 | 2.4016 | 2.4006 | 2.4290 | 2.4138 | 2.4315 | 2.4016 | 2.4006 | 2.4290 | 2.4155 |
| 431 | 2.4322 | 2.4022 | 2.4019 | 2.4298 | 2.4153 | 2.4322 | 2.4022 | 2.4019 | 2.4298 | 2.4164 |
| 430 | 2.4329 | 2.4037 | 2.4018 | 2.4300 | 2.4167 | 2.4329 | 2.4037 | 2.4018 | 2.4300 | 2.4171 |
| 429 | 2.4334 | 2.4029 | 2.4020 | 2.4314 | 2.4173 | 2.4334 | 2.4029 | 2.4020 | 2.4314 | 2.4174 |
| 428 | 2.4341 | 2.4037 | 2.4025 | 2.4309 | 2.4165 | 2.4341 | 2.4037 | 2.4025 | 2.4309 | 2.4177 |
| 427 | 2.4338 | 2.4036 | 2.4035 | 2.4315 | 2.4170 | 2.4338 | 2.4036 | 2.4035 | 2.4315 | 2.4180 |
| 426 | 2.4351 | 2.4040 | 2.4037 | 2.4312 | 2.4179 | 2.4351 | 2.4040 | 2.4037 | 2.4312 | 2.4184 |
| 425 | 2.4354 | 2.4051 | 2.4035 | 2.4319 | 2.4188 | 2.4354 | 2.4051 | 2.4035 | 2.4319 | 2.4189 |
| 424 | 2.4364 | 2.4053 | 2.4045 | 2.4324 | 2.4185 | 2.4364 | 2.4053 | 2.4045 | 2.4324 | 2.4195 |
| 423 | 2.4368 | 2.4056 | 2.4051 | 2.4335 | 2.4195 | 2.4368 | 2.4056 | 2.4051 | 2.4335 | 2.4202 |
| 422 | 2.4369 | 2.4057 | 2.4049 | 2.4339 | 2.4185 | 2.4369 | 2.4057 | 2.4049 | 2.4339 | 2.4201 |
| 421 | 2.4372 | 2.4069 | 2.4054 | 2.4344 | 2.4208 | 2.4372 | 2.4069 | 2.4054 | 2.4344 | 2.4210 |
| 420 | 2.4376 | 2.4069 | 2.4066 | 2.4348 | 2.4216 | 2.4376 | 2.4069 | 2.4066 | 2.4348 | 2.4215 |
| 419 | 2.4383 | 2.4076 | 2.4069 | 2.4353 | 2.4205 | 2.4383 | 2.4076 | 2.4069 | 2.4353 | 2.4219 |
| 418 | 2.4389 | 2.4084 | 2.4070 | 2.4358 | 2.4212 | 2.4389 | 2.4084 | 2.4070 | 2.4358 | 2.4224 |
| 417 | 2.4394 | 2.4085 | 2.4079 | 2.4362 | 2.4216 | 2.4394 | 2.4085 | 2.4079 | 2.4362 | 2.4229 |
| 416 | 2.4401 | 2.4100 | 2.4090 | 2.4364 | 2.4221 | 2.4401 | 2.4100 | 2.4090 | 2.4364 | 2.4237 |
| 415 | 2.4407 | 2.4096 | 2.4090 | 2.4375 | 2.4235 | 2.4407 | 2.4096 | 2.4090 | 2.4375 | 2.4241 |
| 414 | 2.4415 | 2.4108 | 2.4092 | 2.4386 | 2.4257 | 2.4415 | 2.4108 | 2.4092 | 2.4386 | 2.4251 |
| 413 | 2.4421 | 2.4112 | 2.4097 | 2.4385 | 2.4238 | 2.4421 | 2.4112 | 2.4097 | 2.4385 | 2.4252 |
| 412 | 2.4425 | 2.4113 | 2.4104 | 2.4391 | 2.4242 | 2.4425 | 2.4113 | 2.4104 | 2.4391 | 2.4256 |
| 411 | 2.4428 | 2.4120 | 2.4094 | 2.4402 | 2.4250 | 2.4428 | 2.4120 | 2.4094 | 2.4402 | 2.4260 |
| 410 | 2.4446 | 2.4132 | 2.4107 | 2.4401 | 2.4259 | 2.4446 | 2.4132 | 2.4107 | 2.4401 | 2.4270 |
| 409 | 2.4444 | 2.4140 | 2.4117 | 2.4403 | 2.4259 | 2.4444 | 2.4140 | 2.4117 | 2.4403 | 2.4274 |
| 408 | 2.4450 | 2.4143 | 2.4115 | 2.4415 | 2.4266 | 2.4450 | 2.4143 | 2.4115 | 2.4415 | 2.4279 |
| 407 | 2.4452 | 2.4151 | 2.4121 | 2.4418 | 2.4280 | 2.4452 | 2.4151 | 2.4121 | 2.4418 | 2.4285 |
| 406 | 2.4457 | 2.4142 | 2.4129 | 2.4425 | 2.4273 | 2.4457 | 2.4142 | 2.4129 | 2.4425 | 2.4287 |
| 405 | 2.4464 | 2.4140 | 2.4134 | 2.4439 | 2.4283 | 2.4464 | 2.4140 | 2.4134 | 2.4439 | 2.4293 |
| 404 | 2.4474 | 2.4151 | 2.4144 | 2.4441 | 2.4294 | 2.4474 | 2.4151 | 2.4144 | 2.4441 | 2.4302 |
| 403 | 2.4477 | 2.4156 | 2.4154 | 2.4448 | 2.4304 | 2.4477 | 2.4156 | 2.4154 | 2.4448 | 2.4308 |
| 402 | 2.4489 | 2.4167 | 2.4153 | 2.4453 | 2.4305 | 2.4489 | 2.4167 | 2.4153 | 2.4453 | 2.4314 |
| 401 | 2.4498 | 2.4169 | 2.4158 | 2.4463 | 2.4309 | 2.4498 | 2.4169 | 2.4158 | 2.4463 | 2.4321 |
| 400 | 2.4501 | 2.4175 | 2.4162 | 2.4477 | 2.4325 | 2.4501 | 2.4175 | 2.4162 | 2.4477 | 2.4328 |
| 399 | 2.4506 | 2.4187 | 2.4171 | 2.4484 | 2.4316 | 2.4506 | 2.4187 | 2.4171 | 2.4484 | 2.4335 |
| 398 | 2.4516 | 2.4188 | 2.4179 | 2.4481 | 2.4340 | 2.4516 | 2.4188 | 2.4179 | 2.4481 | 2.4341 |
| 397 | 2.4516 | 2.4195 | 2.4186 | 2.4483 | 2.4341 | 2.4516 | 2.4195 | 2.4186 | 2.4483 | 2.4345 |
| 396 | 2.4527 | 2.4195 | 2.4185 | 2.4484 | 2.4356 | 2.4527 | 2.4195 | 2.4185 | 2.4484 | 2.4349 |
| 395 | 2.4529 | 2.4211 | 2.4194 | 2.4492 | 2.4362 | 2.4529 | 2.4211 | 2.4194 | 2.4492 | 2.4357 |
| 394 | 2.4537 | 2.4209 | 2.4209 | 2.4492 | 2.4370 | 2.4537 | 2.4209 | 2.4209 | 2.4492 | 2.4363 |
| 393 | 2.4537 | 2.4216 | 2.4209 | 2.4503 | 2.4382 | 2.4537 | 2.4216 | 2.4209 | 2.4503 | 2.4368 |
| 392 | 2.4544 | 2.4210 | 2.4207 | 2.4505 | 2.4382 | 2.4544 | 2.4210 | 2.4207 | 2.4505 | 2.4368 |
| 391 | 2.4559 | 2.4217 | 2.4218 | 2.4511 | 2.4389 | 2.4559 | 2.4217 | 2.4218 | 2.4511 | 2.4378 |
| 390 | 2.4557 | 2.4233 | 2.4226 | 2.4518 | 2.4394 | 2.4557 | 2.4233 | 2.4226 | 2.4518 | 2.4384 |
| 389 | 2.4559 | 2.4228 | 2.4219 | 2.4506 | 2.4377 | 2.4559 | 2.4228 | 2.4219 | 2.4506 | 2.4378 |
| 388 | 2.4558 | 2.4235 | 2.4234 | 2.4514 | 2.4399 | 2.4558 | 2.4235 | 2.4234 | 2.4514 | 2.4387 |
| 387 | 2.4560 | 2.4240 | 2.4232 | 2.4515 | 2.4422 | 2.4560 | 2.4240 | 2.4232 | 2.4515 | 2.4391 |
| 386 | 2.4568 | 2.4243 | 2.4231 | 2.4520 | 2.4424 | 2.4568 | 2.4243 | 2.4231 | 2.4520 | 2.4394 |
| 385 | 2.4571 | 2.4241 | 2.4244 | 2.4521 | 2.4415 | 2.4571 | 2.4241 | 2.4244 | 2.4521 | 2.4397 |
| 384 | 2.4568 | 2.4264 | 2.4240 | 2.4532 | 2.4415 | 2.4568 | 2.4264 | 2.4240 | 2.4532 | 2.4403 |
| 383 | 2.4602 | 2.4258 | 2.4218 | 2.4517 | 2.4408 | 2.4602 | 2.4258 | 2.4218 | 2.4517 | 2.4400 |
| 382 | 2.4576 | 2.4243 | 2.4228 | 2.4523 | 2.4414 | 2.4576 | 2.4243 | 2.4228 | 2.4523 | 2.4395 |
| 381 | 2.4569 | 2.4237 | 2.4225 | 2.4533 | 2.4423 | 2.4569 | 2.4237 | 2.4225 | 2.4533 | 2.4394 |
| 380 | 2.4575 | 2.4232 | 2.4230 | 2.4535 | 2.4424 | 2.4575 | 2.4232 | 2.4230 | 2.4535 | 2.4396 |
| 379 | 2.4578 | 2.4240 | 2.4228 | 2.4539 | 2.4420 | 2.4578 | 2.4240 | 2.4228 | 2.4539 | 2.4399 |
| 378 | 2.4583 | 2.4247 | 2.4233 | 2.4530 | 2.4445 | 2.4583 | 2.4247 | 2.4233 | 2.4530 | 2.4403 |
| 377 | 2.4591 | 2.4255 | 2.4244 | 2.4535 | 2.4441 | 2.4591 | 2.4255 | 2.4244 | 2.4535 | 2.4410 |
| 376 | 2.4597 | 2.4255 | 2.4245 | 2.4539 | 2.4443 | 2.4597 | 2.4255 | 2.4245 | 2.4539 | 2.4413 |
| 375 | 2.4592 | 2.4265 | 2.4245 | 2.4536 | 2.4448 | 2.4592 | 2.4265 | 2.4245 | 2.4536 | 2.4414 |
| 374 | 2.4603 | 2.4255 | 2.4247 | 2.4535 | 2.4452 | 2.4603 | 2.4255 | 2.4247 | 2.4535 | 2.4415 |
| 373 | 2.4600 | 2.4274 | 2.4268 | 2.4547 | 2.4456 | 2.4600 | 2.4274 | 2.4268 | 2.4547 | 2.4426 |
| 372 | 2.4604 | 2.4270 | 2.4267 | 2.4559 | 2.4442 | 2.4604 | 2.4270 | 2.4267 | 2.4559 | 2.4427 |
| 371 | 2.4629 | 2.4311 | 2.4256 | 2.4544 | 2.4452 | 2.4629 | 2.4311 | 2.4256 | 2.4544 | 2.4437 |
| 370 | 2.4600 | 2.4262 | 2.4248 | 2.4549 | 2.4453 | 2.4600 | 2.4262 | 2.4248 | 2.4549 | 2.4419 |
| 369 | 2.4605 | 2.4265 | 2.4260 | 2.4548 | 2.4473 | 2.4605 | 2.4265 | 2.4260 | 2.4548 | 2.4426 |
| 368 | 2.4619 | 2.4256 | 2.4244 | 2.4547 | 2.4468 | 2.4619 | 2.4256 | 2.4244 | 2.4547 | 2.4422 |
| 367 | 2.4615 | 2.4262 | 2.4232 | 2.4537 | 2.4464 | 2.4615 | 2.4262 | 2.4232 | 2.4537 | 2.4417 |
| 366 | 2.4614 | 2.4268 | 2.4245 | 2.4546 | 2.4467 | 2.4614 | 2.4268 | 2.4245 | 2.4546 | 2.4424 |
| 365 | 2.4625 | 2.4277 | 2.4259 | 2.4566 | 2.4481 | 2.4625 | 2.4277 | 2.4259 | 2.4566 | 2.4437 |
| 364 | 2.4623 | 2.4275 | 2.4263 | 2.4576 | 2.4489 | 2.4623 | 2.4275 | 2.4263 | 2.4576 | 2.4440 |
| 363 | 2.4640 | 2.4296 | 2.4270 | 2.4575 | 2.4486 | 2.4640 | 2.4296 | 2.4270 | 2.4575 | 2.4450 |
| 362 | 2.4649 | 2.4274 | 2.4277 | 2.4579 | 2.4485 | 2.4649 | 2.4274 | 2.4277 | 2.4579 | 2.4449 |
| 361 | 2.4624 | 2.4312 | 2.4317 | 2.4572 | 2.4513 | 2.4624 | 2.4312 | 2.4317 | 2.4572 | 2.4463 |
| 360 | 2.4630 | 2.4320 | 2.4267 | 2.4558 | 2.4471 | 2.4630 | 2.4320 | 2.4267 | 2.4558 | 2.4447 |
| 359 | 2.4628 | 2.4263 | 2.4267 | 2.4558 | 2.4485 | 2.4628 | 2.4263 | 2.4267 | 2.4558 | 2.4435 |
| 358 | 2.4621 | 2.4267 | 2.4253 | 2.4559 | 2.4457 | 2.4621 | 2.4267 | 2.4253 | 2.4559 | 2.4429 |
| 357 | 2.4662 | 2.4260 | 2.4249 | 2.4557 | 2.4481 | 2.4662 | 2.4260 | 2.4249 | 2.4557 | 2.4437 |
| 356 | 2.4569 | 2.4282 | 2.4289 | 2.4540 | 2.4510 | 2.4569 | 2.4282 | 2.4289 | 2.4540 | 2.4430 |
| 355 | 2.4592 | 2.4275 | 2.4190 | 2.4523 | 2.4406 | 2.4592 | 2.4275 | 2.4190 | 2.4523 | 2.4396 |
| 354 | 2.4582 | 2.4229 | 2.4219 | 2.4495 | 2.4393 | 2.4582 | 2.4229 | 2.4219 | 2.4495 | 2.4383 |
| 353 | 2.4615 | 2.4226 | 2.4210 | 2.4554 | 2.4396 | 2.4615 | 2.4226 | 2.4210 | 2.4554 | 2.4401 |
| 352 | 2.4519 | 2.4209 | 2.4222 | 2.4483 | 2.4430 | 2.4519 | 2.4209 | 2.4222 | 2.4483 | 2.4366 |
| 351 | 2.4509 | 2.4201 | 2.4135 | 2.4426 | 2.4340 | 2.4509 | 2.4201 | 2.4135 | 2.4426 | 2.4320 |
| 350 | 2.4439 | 2.4148 | 2.4141 | 2.4404 | 2.4338 | 2.4439 | 2.4148 | 2.4141 | 2.4404 | 2.4289 |
| 349 | 2.4436 | 2.4042 | 2.4078 | 2.4390 | 2.4264 | 2.4436 | 2.4042 | 2.4078 | 2.4390 | 2.4240 |
| 348 | 2.4668 | 2.4386 | 2.4307 | 2.4538 | 2.4527 | 2.4668 | 2.4386 | 2.4307 | 2.4538 | 2.4481 |
| 347 | 2.4653 | 2.4287 | 2.4276 | 2.4540 | 2.4427 | 2.4653 | 2.4287 | 2.4276 | 2.4540 | 2.4438 |
| 346 | 2.4650 | 2.4357 | 2.4285 | 2.4556 | 2.4442 | 2.4650 | 2.4357 | 2.4285 | 2.4556 | 2.4460 |
| 345 | 2.4689 | 2.4413 | 2.4334 | 2.4535 | 2.4589 | 2.4689 | 2.4413 | 2.4334 | 2.4535 | 2.4503 |
| 344 | 2.4691 | 2.4403 | 2.4382 | 2.4585 | 2.4539 | 2.4691 | 2.4403 | 2.4382 | 2.4585 | 2.4518 |
| 343 | 2.4714 | 2.4424 | 2.4407 | 2.4552 | 2.4528 | 2.4714 | 2.4424 | 2.4407 | 2.4552 | 2.4525 |
| 342 | 2.4721 | 2.4432 | 2.4333 | 2.4626 | 2.4598 | 2.4721 | 2.4432 | 2.4333 | 2.4626 | 2.4536 |
| 341 | 2.4772 | 2.4385 | 2.4362 | 2.4593 | 2.4443 | 2.4772 | 2.4385 | 2.4362 | 2.4593 | 2.4519 |
| 340 | 2.4781 | 2.4409 | 2.4396 | 2.4631 | 2.4614 | 2.4781 | 2.4409 | 2.4396 | 2.4631 | 2.4561 |
| 339 | 2.4780 | 2.4465 | 2.4447 | 2.4641 | 2.4542 | 2.4780 | 2.4465 | 2.4447 | 2.4641 | 2.4579 |
| 338 | 2.4785 | 2.4490 | 2.4448 | 2.4694 | 2.4602 | 2.4785 | 2.4490 | 2.4448 | 2.4694 | 2.4604 |
| 337 | 2.4833 | 2.4510 | 2.4443 | 2.4636 | 2.4715 | 2.4833 | 2.4510 | 2.4443 | 2.4636 | 2.4618 |
| 336 | 2.4833 | 2.4488 | 2.4515 | 2.4696 | 2.4664 | 2.4833 | 2.4488 | 2.4515 | 2.4696 | 2.4637 |
| 335 | 2.4822 | 2.4528 | 2.4480 | 2.4723 | 2.4579 | 2.4822 | 2.4528 | 2.4480 | 2.4723 | 2.4632 |
| 334 | 2.4829 | 2.4505 | 2.4519 | 2.4749 | 2.4720 | 2.4829 | 2.4505 | 2.4519 | 2.4749 | 2.4658 |
| 333 | 2.4855 | 2.4560 | 2.4539 | 2.4773 | 2.4764 | 2.4855 | 2.4560 | 2.4539 | 2.4773 | 2.4691 |
| 332 | 2.4893 | 2.4525 | 2.4546 | 2.4771 | 2.4776 | 2.4893 | 2.4525 | 2.4546 | 2.4771 | 2.4694 |
| 331 | 2.4909 | 2.4549 | 2.4619 | 2.4768 | 2.4681 | 2.4909 | 2.4549 | 2.4619 | 2.4768 | 2.4708 |
| 330 | 2.4934 | 2.4554 | 2.4551 | 2.4766 | 2.4778 | 2.4934 | 2.4554 | 2.4551 | 2.4766 | 2.4710 |
| 329 | 2.4943 | 2.4644 | 2.4661 | 2.4825 | 2.4775 | 2.4943 | 2.4644 | 2.4661 | 2.4825 | 2.4769 |
| 328 | 2.4983 | 2.4689 | 2.4651 | 2.4818 | 2.4798 | 2.4983 | 2.4689 | 2.4651 | 2.4818 | 2.4787 |
| 327 | 2.4990 | 2.4694 | 2.4574 | 2.4876 | 2.4786 | 2.4990 | 2.4694 | 2.4574 | 2.4876 | 2.4784 |
| 326 | 2.5026 | 2.4640 | 2.4651 | 2.4911 | 2.4849 | 2.5026 | 2.4640 | 2.4651 | 2.4911 | 2.4812 |
| 325 | 2.5068 | 2.4688 | 2.4683 | 2.4905 | 2.4844 | 2.5068 | 2.4688 | 2.4683 | 2.4905 | 2.4837 |
| 324 | 2.5082 | 2.4701 | 2.4677 | 2.4954 | 2.4864 | 2.5082 | 2.4701 | 2.4677 | 2.4954 | 2.4855 |
| 323 | 2.5124 | 2.4804 | 2.4782 | 2.4993 | 2.4874 | 2.5124 | 2.4804 | 2.4782 | 2.4993 | 2.4920 |
| 322 | 2.5143 | 2.4781 | 2.4735 | 2.4982 | 2.4998 | 2.5143 | 2.4781 | 2.4735 | 2.4982 | 2.4920 |
| 321 | 2.5161 | 2.4787 | 2.4828 | 2.5040 | 2.4952 | 2.5161 | 2.4787 | 2.4828 | 2.5040 | 2.4954 |
| 320 | 2.5201 | 2.4898 | 2.4781 | 2.5092 | 2.4962 | 2.5201 | 2.4898 | 2.4781 | 2.5092 | 2.4990 |
| 319 | 2.5248 | 2.4877 | 2.4815 | 2.5093 | 2.5016 | 2.5248 | 2.4877 | 2.4815 | 2.5093 | 2.5009 |
| 318 | 2.5278 | 2.4954 | 2.4867 | 2.5131 | 2.5130 | 2.5278 | 2.4954 | 2.4867 | 2.5131 | 2.5066 |
| 317 | 2.5284 | 2.4955 | 2.4872 | 2.5215 | 2.5196 | 2.5284 | 2.4955 | 2.4872 | 2.5215 | 2.5094 |
| 316 | 2.5344 | 2.5015 | 2.4985 | 2.5205 | 2.5131 | 2.5344 | 2.5015 | 2.4985 | 2.5205 | 2.5136 |
| 315 | 2.5430 | 2.5061 | 2.5018 | 2.5220 | 2.5289 | 2.5430 | 2.5061 | 2.5018 | 2.5220 | 2.5194 |
| 314 | 2.5450 | 2.5071 | 2.4996 | 2.5302 | 2.5334 | 2.5450 | 2.5071 | 2.4996 | 2.5302 | 2.5219 |
| 313 | 2.5492 | 2.5126 | 2.5050 | 2.5345 | 2.5321 | 2.5492 | 2.5126 | 2.5050 | 2.5345 | 2.5261 |
| 312 | 2.5507 | 2.5142 | 2.5109 | 2.5401 | 2.5329 | 2.5507 | 2.5142 | 2.5109 | 2.5401 | 2.5294 |
| 311 | 2.5581 | 2.5167 | 2.5146 | 2.5405 | 2.5453 | 2.5581 | 2.5167 | 2.5146 | 2.5405 | 2.5339 |
| 310 | 2.5608 | 2.5293 | 2.5246 | 2.5517 | 2.5434 | 2.5608 | 2.5293 | 2.5246 | 2.5517 | 2.5418 |
| 309 | 2.5686 | 2.5336 | 2.5266 | 2.5541 | 2.5441 | 2.5686 | 2.5336 | 2.5266 | 2.5541 | 2.5455 |
| 308 | 2.5839 | 2.5363 | 2.5348 | 2.5643 | 2.5559 | 2.5839 | 2.5363 | 2.5348 | 2.5643 | 2.5549 |
| 307 | 2.5823 | 2.5460 | 2.5359 | 2.5686 | 2.5645 | 2.5823 | 2.5460 | 2.5359 | 2.5686 | 2.5589 |
| 306 | 2.5856 | 2.5503 | 2.5513 | 2.5766 | 2.5720 | 2.5856 | 2.5503 | 2.5513 | 2.5766 | 2.5666 |
| 305 | 2.5939 | 2.5611 | 2.5510 | 2.5791 | 2.5744 | 2.5939 | 2.5611 | 2.5510 | 2.5791 | 2.5716 |
| 304 | 2.5983 | 2.5645 | 2.5605 | 2.5899 | 2.5765 | 2.5983 | 2.5645 | 2.5605 | 2.5899 | 2.5781 |
| 303 | 2.6087 | 2.5732 | 2.5663 | 2.5933 | 2.5958 | 2.6087 | 2.5732 | 2.5663 | 2.5933 | 2.5865 |
| 302 | 2.6159 | 2.5838 | 2.5800 | 2.6045 | 2.5994 | 2.6159 | 2.5838 | 2.5800 | 2.6045 | 2.5964 |
| 301 | 2.6270 | 2.5839 | 2.5805 | 2.6179 | 2.6089 | 2.6270 | 2.5839 | 2.5805 | 2.6179 | 2.6031 |
| 300 | 2.6302 | 2.5953 | 2.5885 | 2.6252 | 2.6212 | 2.6302 | 2.5953 | 2.5885 | 2.6252 | 2.6111 |
| 299 | 2.6376 | 2.6080 | 2.5933 | 2.6320 | 2.6252 | 2.6376 | 2.6080 | 2.5933 | 2.6320 | 2.6185 |
| 298 | 2.6523 | 2.6138 | 2.6066 | 2.6392 | 2.6387 | 2.6523 | 2.6138 | 2.6066 | 2.6392 | 2.6292 |
| 297 | 2.6619 | 2.6253 | 2.6161 | 2.6517 | 2.6398 | 2.6619 | 2.6253 | 2.6161 | 2.6517 | 2.6389 |
| 296 | 2.6627 | 2.6281 | 2.6258 | 2.6646 | 2.6540 | 2.6627 | 2.6281 | 2.6258 | 2.6646 | 2.6463 |
| 295 | 2.6786 | 2.6395 | 2.6337 | 2.6683 | 2.6662 | 2.6786 | 2.6395 | 2.6337 | 2.6683 | 2.6563 |
| 294 | 2.6899 | 2.6547 | 2.6468 | 2.6808 | 2.6815 | 2.6899 | 2.6547 | 2.6468 | 2.6808 | 2.6696 |
| 293 | 2.7017 | 2.6624 | 2.6574 | 2.6938 | 2.6858 | 2.7017 | 2.6624 | 2.6574 | 2.6938 | 2.6796 |
| 292 | 2.7127 | 2.6740 | 2.6647 | 2.7017 | 2.6900 | 2.7127 | 2.6740 | 2.6647 | 2.7017 | 2.6885 |
| 291 | 2.7281 | 2.6883 | 2.6786 | 2.7171 | 2.7077 | 2.7281 | 2.6883 | 2.6786 | 2.7171 | 2.7035 |
| 290 | 2.7400 | 2.7028 | 2.6883 | 2.7366 | 2.7173 | 2.7400 | 2.7028 | 2.6883 | 2.7366 | 2.7170 |
| 289 | 2.7502 | 2.7076 | 2.7062 | 2.7526 | 2.7390 | 2.7502 | 2.7076 | 2.7062 | 2.7526 | 2.7302 |
| 288 | 2.7647 | 2.7283 | 2.7182 | 2.7589 | 2.7459 | 2.7647 | 2.7283 | 2.7182 | 2.7589 | 2.7429 |
| 287 | 2.7809 | 2.7378 | 2.7310 | 2.7716 | 2.7592 | 2.7809 | 2.7378 | 2.7310 | 2.7716 | 2.7557 |
| 286 | 2.7938 | 2.7502 | 2.7404 | 2.7843 | 2.7696 | 2.7938 | 2.7502 | 2.7404 | 2.7843 | 2.7674 |
| 285 | 2.8040 | 2.7647 | 2.7573 | 2.7965 | 2.7799 | 2.8040 | 2.7647 | 2.7573 | 2.7965 | 2.7805 |
| 284 | 2.8201 | 2.7804 | 2.7798 | 2.8181 | 2.7989 | 2.8201 | 2.7804 | 2.7798 | 2.8181 | 2.7995 |
| 283 | 2.8370 | 2.7937 | 2.7872 | 2.8297 | 2.8077 | 2.8370 | 2.7937 | 2.7872 | 2.8297 | 2.8114 |
| 282 | 2.8547 | 2.8058 | 2.8075 | 2.8446 | 2.8228 | 2.8547 | 2.8058 | 2.8075 | 2.8446 | 2.8276 |
| 281 | 2.8666 | 2.8215 | 2.8206 | 2.8621 | 2.8437 | 2.8666 | 2.8215 | 2.8206 | 2.8621 | 2.8428 |
| 280 | 2.8809 | 2.8394 | 2.8322 | 2.8772 | 2.8628 | 2.8809 | 2.8394 | 2.8322 | 2.8772 | 2.8580 |
| 279 | 2.8968 | 2.8536 | 2.8474 | 2.8939 | 2.8735 | 2.8968 | 2.8536 | 2.8474 | 2.8939 | 2.8730 |
| 278 | 2.9148 | 2.8788 | 2.8682 | 2.9096 | 2.8888 | 2.9148 | 2.8788 | 2.8682 | 2.9096 | 2.8924 |
| 277 | 2.9290 | 2.8832 | 2.8862 | 2.9256 | 2.9115 | 2.9290 | 2.8832 | 2.8862 | 2.9256 | 2.9066 |
| 276 | 2.9480 | 2.9073 | 2.9033 | 2.9471 | 2.9245 | 2.9480 | 2.9073 | 2.9033 | 2.9471 | 2.9262 |
| 275 | 2.9643 | 2.9160 | 2.9209 | 2.9550 | 2.9355 | 2.9643 | 2.9160 | 2.9209 | 2.9550 | 2.9387 |
| 274 | 2.9822 | 2.9385 | 2.9379 | 2.9815 | 2.9539 | 2.9822 | 2.9385 | 2.9379 | 2.9815 | 2.9593 |
| 273 | 2.9945 | 2.9536 | 2.9531 | 2.9988 | 2.9639 | 2.9945 | 2.9536 | 2.9531 | 2.9988 | 2.9738 |
| 272 | 3.0206 | 2.9713 | 2.9700 | 3.0101 | 2.9808 | 3.0206 | 2.9713 | 2.9700 | 3.0101 | 2.9916 |
| 271 | 3.0343 | 2.9887 | 2.9938 | 3.0266 | 3.0000 | 3.0343 | 2.9887 | 2.9938 | 3.0266 | 3.0097 |
| 270 | 3.0504 | 3.0064 | 3.0126 | 3.0524 | 3.0296 | 3.0504 | 3.0064 | 3.0126 | 3.0524 | 3.0303 |
| 269 | 3.0628 | 3.0227 | 3.0279 | 3.0643 | 3.0448 | 3.0628 | 3.0227 | 3.0279 | 3.0643 | 3.0444 |
| 268 | 3.0868 | 3.0416 | 3.0446 | 3.0770 | 3.0701 | 3.0868 | 3.0416 | 3.0446 | 3.0770 | 3.0633 |
| 267 | 3.0998 | 3.0524 | 3.0610 | 3.0967 | 3.0674 | 3.0998 | 3.0524 | 3.0610 | 3.0967 | 3.0764 |
| 266 | 3.1212 | 3.0664 | 3.0807 | 3.1178 | 3.0802 | 3.1212 | 3.0664 | 3.0807 | 3.1178 | 3.0947 |
| 265 | 3.1381 | 3.0929 | 3.0971 | 3.1357 | 3.1160 | 3.1381 | 3.0929 | 3.0971 | 3.1357 | 3.1160 |
| 264 | 3.1507 | 3.1102 | 3.1194 | 3.1479 | 3.1334 | 3.1507 | 3.1102 | 3.1194 | 3.1479 | 3.1322 |
| 263 | 3.1721 | 3.1312 | 3.1387 | 3.1754 | 3.1383 | 3.1721 | 3.1312 | 3.1387 | 3.1754 | 3.1526 |
| 262 | 3.1908 | 3.1466 | 3.1529 | 3.1893 | 3.1662 | 3.1908 | 3.1466 | 3.1529 | 3.1893 | 3.1695 |
| 261 | 3.2071 | 3.1688 | 3.1730 | 3.2075 | 3.1725 | 3.2071 | 3.1688 | 3.1730 | 3.2075 | 3.1873 |
| 260 | 3.2246 | 3.1757 | 3.1909 | 3.2241 | 3.2030 | 3.2246 | 3.1757 | 3.1909 | 3.2241 | 3.2037 |
| 259 | 3.2392 | 3.1979 | 3.2032 | 3.2430 | 3.2163 | 3.2392 | 3.1979 | 3.2032 | 3.2430 | 3.2203 |
| 258 | 3.2485 | 3.2113 | 3.2299 | 3.2453 | 3.2539 | 3.2485 | 3.2113 | 3.2299 | 3.2453 | 3.2360 |
| 257 | 3.2653 | 3.2289 | 3.2416 | 3.2656 | 3.2474 | 3.2653 | 3.2289 | 3.2416 | 3.2656 | 3.2500 |
| 256 | 3.2830 | 3.2390 | 3.2611 | 3.2836 | 3.2580 | 3.2830 | 3.2390 | 3.2611 | 3.2836 | 3.2657 |
| 255 | 3.2939 | 3.2563 | 3.2689 | 3.3053 | 3.2700 | 3.2939 | 3.2563 | 3.2689 | 3.3053 | 3.2799 |
| 254 | 3.3141 | 3.2815 | 3.2887 | 3.3182 | 3.2936 | 3.3141 | 3.2815 | 3.2887 | 3.3182 | 3.2999 |
| 253 | 3.3353 | 3.2934 | 3.3178 | 3.3305 | 3.3208 | 3.3353 | 3.2934 | 3.3178 | 3.3305 | 3.3194 |
| 252 | 3.3474 | 3.3070 | 3.3208 | 3.3451 | 3.3432 | 3.3474 | 3.3070 | 3.3208 | 3.3451 | 3.3315 |
| 251 | 3.3618 | 3.3287 | 3.3379 | 3.3559 | 3.3533 | 3.3618 | 3.3287 | 3.3379 | 3.3559 | 3.3469 |
| 250 | 3.3748 | 3.3458 | 3.3581 | 3.3752 | 3.3489 | 3.3748 | 3.3458 | 3.3581 | 3.3752 | 3.3618 |
| 249 | 3.3957 | 3.3524 | 3.3715 | 3.3860 | 3.3795 | 3.3957 | 3.3524 | 3.3715 | 3.3860 | 3.3768 |
| 248 | 3.4147 | 3.3647 | 3.3815 | 3.4067 | 3.3650 | 3.4147 | 3.3647 | 3.3815 | 3.4067 | 3.3889 |
| 247 | 3.4210 | 3.3929 | 3.4034 | 3.4328 | 3.4166 | 3.4210 | 3.3929 | 3.4034 | 3.4328 | 3.4130 |
| 246 | 3.4318 | 3.4038 | 3.4241 | 3.4374 | 3.4154 | 3.4318 | 3.4038 | 3.4241 | 3.4374 | 3.4233 |
| 245 | 3.4497 | 3.4226 | 3.4340 | 3.4546 | 3.4486 | 3.4497 | 3.4226 | 3.4340 | 3.4546 | 3.4411 |
| 244 | 3.4699 | 3.4357 | 3.4573 | 3.4634 | 3.4632 | 3.4699 | 3.4357 | 3.4573 | 3.4634 | 3.4573 |
| 243 | 3.4876 | 3.4442 | 3.4775 | 3.4827 | 3.4768 | 3.4876 | 3.4442 | 3.4775 | 3.4827 | 3.4734 |
| 242 | 3.5058 | 3.4599 | 3.4862 | 3.4880 | 3.4971 | 3.5058 | 3.4599 | 3.4862 | 3.4880 | 3.4863 |
| 241 | 3.5168 | 3.4886 | 3.5002 | 3.5139 | 3.5278 | 3.5168 | 3.4886 | 3.5002 | 3.5139 | 3.5074 |
| 240 | 3.5410 | 3.4965 | 3.5109 | 3.5325 | 3.5278 | 3.5410 | 3.4965 | 3.5109 | 3.5325 | 3.5211 |
| 239 | 3.5523 | 3.5279 | 3.5424 | 3.5546 | 3.5601 | 3.5523 | 3.5279 | 3.5424 | 3.5546 | 3.5461 |
| 238 | 3.5688 | 3.5321 | 3.5408 | 3.5586 | 3.5755 | 3.5688 | 3.5321 | 3.5408 | 3.5586 | 3.5529 |
| 237 | 3.5995 | 3.5472 | 3.5624 | 3.5681 | 3.5803 | 3.5995 | 3.5472 | 3.5624 | 3.5681 | 3.5705 |
| 236 | 3.6104 | 3.5665 | 3.5862 | 3.6100 | 3.6090 | 3.6104 | 3.5665 | 3.5862 | 3.6100 | 3.5950 |
| 235 | 3.6262 | 3.5845 | 3.5948 | 3.6161 | 3.6287 | 3.6262 | 3.5845 | 3.5948 | 3.6161 | 3.6080 |
| 234 | 3.6412 | 3.6162 | 3.6160 | 3.6426 | 3.6322 | 3.6412 | 3.6162 | 3.6160 | 3.6426 | 3.6293 |
| 233 | 3.6737 | 3.6286 | 3.6589 | 3.6483 | 3.6633 | 3.6737 | 3.6286 | 3.6589 | 3.6483 | 3.6536 |
| 232 | 3.6871 | 3.6586 | 3.6620 | 3.6727 | 3.7014 | 3.6871 | 3.6586 | 3.6620 | 3.6727 | 3.6736 |
| 231 | 3.7095 | 3.6863 | 3.6754 | 3.6871 | 3.7180 | 3.7095 | 3.6863 | 3.6754 | 3.6871 | 3.6927 |
| 230 | 3.7325 | 3.6880 | 3.7000 | 3.7143 | 3.7481 | 3.7325 | 3.6880 | 3.7000 | 3.7143 | 3.7131 |
| 229 | 3.7486 | 3.7192 | 3.7042 | 3.7338 | 3.7393 | 3.7486 | 3.7192 | 3.7042 | 3.7338 | 3.7279 |
| 228 | 3.7612 | 3.7311 | 3.7308 | 3.7541 | 3.7645 | 3.7612 | 3.7311 | 3.7308 | 3.7541 | 3.7465 |
| 227 | 3.7817 | 3.7418 | 3.7555 | 3.7764 | 3.8147 | 3.7817 | 3.7418 | 3.7555 | 3.7764 | 3.7695 |
| 226 | 3.8027 | 3.7485 | 3.7784 | 3.7705 | 3.8140 | 3.8027 | 3.7485 | 3.7784 | 3.7705 | 3.7794 |
| 225 | 3.8280 | 3.7874 | 3.7906 | 3.7922 | 3.8296 | 3.8280 | 3.7874 | 3.7906 | 3.7922 | 3.8029 |
| 224 | 3.8310 | 3.7997 | 3.8086 | 3.8185 | 3.8841 | 3.8310 | 3.7997 | 3.8086 | 3.8185 | 3.8222 |
| 223 | 3.8558 | 3.7998 | 3.8277 | 3.8389 | 3.8728 | 3.8558 | 3.7998 | 3.8277 | 3.8389 | 3.8353 |
| 222 | 3.8696 | 3.8124 | 3.8180 | 3.8434 | 3.8961 | 3.8696 | 3.8124 | 3.8180 | 3.8434 | 3.8425 |
| 221 | 3.8959 | 3.8254 | 3.8622 | 3.8760 | 3.8846 | 3.8959 | 3.8254 | 3.8622 | 3.8760 | 3.8671 |
| 220 | 3.8949 | 3.8644 | 3.8551 | 3.8820 | 3.9332 | 3.8949 | 3.8644 | 3.8551 | 3.8820 | 3.8807 |
| 219 | 3.9260 | 3.8745 | 3.8635 | 3.8882 | 3.9278 | 3.9260 | 3.8745 | 3.8635 | 3.8882 | 3.8925 |
| 218 | 3.9466 | 3.8782 | 3.8983 | 3.9159 | 3.9543 | 3.9466 | 3.8782 | 3.8983 | 3.9159 | 3.9147 |
| 217 | 3.9619 | 3.8858 | 3.9051 | 3.9142 | 3.9708 | 3.9619 | 3.8858 | 3.9051 | 3.9142 | 3.9227 |
| 216 | 3.9564 | 3.9129 | 3.9176 | 3.9368 | 3.9962 | 3.9564 | 3.9129 | 3.9176 | 3.9368 | 3.9382 |
| 215 | 3.9725 | 3.9368 | 3.9429 | 3.9296 | 4.0048 | 3.9725 | 3.9368 | 3.9429 | 3.9296 | 3.9521 |
| 214 | 3.9928 | 3.9443 | 3.9571 | 3.9557 | 4.0055 | 3.9928 | 3.9443 | 3.9571 | 3.9557 | 3.9672 |
| 213 | 4.0313 | 3.9817 | 3.9591 | 3.9589 | 4.0297 | 4.0313 | 3.9817 | 3.9591 | 3.9589 | 3.9880 |
| 212 | 4.0395 | 3.9624 | 3.9601 | 3.9983 | 4.0573 | 4.0395 | 3.9624 | 3.9601 | 3.9983 | 3.9975 |
| 211 | 4.0556 | 3.9838 | 3.9816 | 4.0053 | 4.0833 | 4.0556 | 3.9838 | 3.9816 | 4.0053 | 4.0151 |
| 210 | 4.0885 | 4.0106 | 3.9979 | 4.0302 | 4.1005 | 4.0885 | 4.0106 | 3.9979 | 4.0302 | 4.0394 |
| 209 | 4.0920 | 4.0443 | 4.0633 | 4.0560 | 4.1559 | 4.0920 | 4.0443 | 4.0633 | 4.0560 | 4.0741 |
| 208 | 4.1484 | 4.0556 | 4.0403 | 4.0722 | 4.1018 | 4.1484 | 4.0556 | 4.0403 | 4.0722 | 4.0816 |
| 207 | 4.1691 | 4.1529 | 4.0709 | 4.0979 | 4.2432 | 4.1691 | 4.1529 | 4.0709 | 4.0979 | 4.1361 |
| 206 | 4.2266 | 4.1280 | 4.1303 | 4.1378 | 4.3205 | 4.2266 | 4.1280 | 4.1303 | 4.1378 | 4.1740 |
| 205 | 4.2418 | 4.1439 | 4.1606 | 4.1915 | 4.3733 | 4.2418 | 4.1439 | 4.1606 | 4.1915 | 4.2054 |
| 204 | 4.2916 | 4.1953 | 4.2417 | 4.1930 | 4.4549 | 4.2916 | 4.1953 | 4.2417 | 4.1930 | 4.2553 |
| 203 | 4.7100 | 4.6705 | 4.6270 | 4.2609 | 4.4617 | 4.7100 | 4.6705 | 4.6270 | 4.2609 | 4.5554 |
| 202 | 4.4805 | 4.4733 | 4.3876 | 4.3616 | 4.5297 | 4.4805 | 4.4733 | 4.3876 | 4.3616 | 4.4373 |
| 201 | 4.4446 | 4.3884 | 4.3239 | 4.9973 | 4.7119 | 4.4446 | 4.3884 | 4.3239 | 4.9973 | 4.5578 |
| 200 | 4.6483 | 4.5419 | 4.4252 | 4.6196 | 4.6358 | 4.6483 | 4.5419 | 4.4252 | 4.6196 | 4.5673 |
References
- Davis, K.A.; Pawlak, G.; Monismith, S.G. Turbulence and Coral Reefs. Annu. Rev. Mar. Sci. 2021, 13, 343–373. [Google Scholar] [CrossRef]
- Alegría-Ortega, A.; Sanín-Pérez, M.J.; Quan-Young, L.I.; Londoño-Mesa, M.H. Genetic Structure of Orbicella faveolata Population Reveals High Connectivity among a Marine Protected Area and Varadero Reef in the Colombian Caribbean. Aquat. Conserv. Mar. Freshw. Ecosyst. 2021, 31, 764–776. [Google Scholar] [CrossRef]
- López-Londoño, T.; Galindo-Martínez, C.T.; Gómez-Campo, K.; González-Guerrero, L.A.; Roitman, S.; Pollock, F.J.; Pizarro, V.; López-Victoria, M.; Medina, M.; Iglesias-Prieto, R. Physiological and Ecological Consequences of the Water Optical Properties Degradation on Reef Corals. Coral Reefs 2021, 40, 1243–1256. [Google Scholar] [CrossRef]
- López-Victoria, M.; Herrera, M.A.; Muñoz-López, V.; Rodríguez-Moreno, M.; Puentes-Sayo, A.; Torres-Rodríguez, J.; Torres, O.; Chasqui, L.H.; Tavera, J.; Acero, A. Fish Species Richness of a Coral Reef under Suboptimum Conditions: The Case of Varadero (Cartagena Bay, Colombia). Acta Biol. Colomb. 2023, 28, 108–117. [Google Scholar] [CrossRef]
- López-Victoria, M.; Rodríguez-Moreno, M.; Zapata, F.A. A Paradoxical Reef from Varadero, Cartagena Bay, Colombia. Coral Reefs 2015, 34, 231. [Google Scholar] [CrossRef]
- Pizarro, V.; Rodríguez, S.C.; López-Victoria, M.; Zapata, F.A.; Zea, S.; Galindo-Martínez, C.T.; Iglesias-Prieto, R.; Pollock, J.; Medina, M. Unraveling the Structure and Composition of Varadero Reef, an Improbable and Imperiled Coral Reef in the Colombian Caribbean. PeerJ 2017, 5, e4119. [Google Scholar] [CrossRef]
- Roitman, S.; López-Londoño, T.; Joseph Pollock, F.; Ritchie, K.B.; Galindo-Martínez, C.T.; Gómez-Campo, K.; González-Guerrero, L.A.; Pizarro, V.; López-Victoria, M.; Iglesias-Prieto, R. Surviving Marginalized Reefs: Assessing the Implications of the Microbiome on Coral Physiology and Survivorship. Coral Reefs 2020, 39, 795–807. [Google Scholar] [CrossRef]
- Zweifler, A.; O’leary, M.; Morgan, K.; Browne, N.K. Turbid Coral Reefs: Past, Present and Future—A Review. Diversity 2021, 13, 251. [Google Scholar] [CrossRef]
- Mobley, C.D. The Optical Properties of Water. Handb. Opt. 1995, 1, 43. [Google Scholar]
- Coble, P.G. Marine Optical Biogeochemistry: The Chemistry of Ocean Color. Chem. Rev. 2007, 107, 402–418. [Google Scholar] [CrossRef]
- Zepp, R.G.; Shank, G.C.; Stabenau, E.; Patterson, K.W.; Cyterski, M.; Fisher, W.; Bartels, E.; Anderson, S.L. Spatial and Temporal Variability of Solar Ultraviolet Exposure of Coral Assemblages in the Florida Keys: Importance of Colored Dissolved Organic Matter. Limnol. Oceanogr. 2008, 53, 1909–1922. [Google Scholar] [CrossRef]
- Russell, B.J.; Dierssen, H.M.; Hochberg, E.J. Water Column Optical Properties of Pacific Coral Reefs Across Geomorphic Zones and in Comparison to Offshore Waters. Remote Sens. 2019, 11, 1757. [Google Scholar] [CrossRef]
- Mitchell, B.G.; Kahru, M.; Wieland, J.; Stramska, M. Determination of Spectral Absorption Coefficients of Particles, Dissolved Material and Phytoplankton for Discrete Water Samples. In Ocean Optics Protocols for Satellite Ocean Color Sensor Validation, Revision 3; NASA Goddard Space Flight Center: Greenbelt, MD, USA, 2002; Volume 210004, p. 231. [Google Scholar]
- Betancur-Turizo, S.P.; Mejia-Trejo, A.; Santos-Barrera, Y.; Marin-Amado, T.; Zapata-Valezuela, E.P.; Rivero-Hernández, J.P.; del Pilar Adames-Prada, R. Dataset on the Variability of the Light Field in Coastal Waters. Data Brief 2024, 57, 110923. [Google Scholar] [CrossRef]
- Eljaiek-Urzola, M.; Betancur-Turizo, S.P.; De Carvalho, L.A.S.; Quiñones-Bolaños, E. Seasonal and Spatial Variability of Absorption Properties in Cartagena Bay’s Complex Waters. Estuaries Coasts 2025, 48, 10. [Google Scholar] [CrossRef]
- Santamaría-del-Angel, E.; Soto, I.; Millán-Nuñez, R.; González-Silvera, A.; Wolny, J.; Cerdeira-Estrada, S.; Cajal-Medrano, R.; Muller-Karger, F.; Cannizzaro, J.; Padilla-Rosas, Y.; et al. Phytoplankton Blooms: New Initiative Using Marine Optics as a Basis for Monitoring Programs. In Coastal Ecosystems: Experiences and Recommendations for Environmental Monitoring Programs; Nova Science Publishers: Hauppauge, NY, USA, 2015; pp. 57–88. [Google Scholar]
- Baird, R.B.; Eaton, A.D.; Rice, E.W. Standard Methods for the Examination of Water and Wastewater, 23rd ed.; American Public Health Association: Washington, DC, USA, 2017. [Google Scholar]
- Roesler, C.; Stramski, D.; D’Sa, E.; Röttgers, R.; Reynolds, R.A. Spectrophotometric Measurements of Particulate Absorption Using Filter Pads; IOCCG: Washington, DC, USA, 2018. [Google Scholar]
- Morel, A.; Prieur, L. Analysis of Variations in Ocean Color1. Limnol. Oceanogr. 1977, 22, 709–722. [Google Scholar] [CrossRef]
- Castillo-Ramírez, A.; Santamaría-del-Ángel, E.; González-Silvera, A.; Frouin, R.; Sebastiá-Frasquet, M.-T.; Tan, J.; Lopez-Calderon, J.; Sánchez-Velasco, L.; Enríquez-Paredes, L. A New Algorithm to Estimate Diffuse Attenuation Coefficient from Secchi Disk Depth. J. Mar. Sci. Eng. 2020, 8, 558. [Google Scholar] [CrossRef]
- Santamaría-del-Angel, E.; Millán-Núñez, R.; González-Silvera, A.; Cajal-Medrano, R. A Comparison of Chl a Concentrations Estimated in Situ and Chl a Concentrations Determined via Remote Sensing: A Statistical Examination of the Match-up Approach. In Handbook of Satellite Remote Sensing Image Interpretation: Applications for Marine Living Resources Conservation and Management; EU PRESPO and IOCCG: Dartmouth, NH, Canada, 2011; pp. 241–259. [Google Scholar]
- Perdices, M. Null Hypothesis Significance Testing, p-Values, Effects Sizes and Confidence Intervals. Brain Impair. 2018, 19, 70–80. [Google Scholar] [CrossRef]
- Mu, Y.; Liu, X.; Wang, L. A Pearson’s Correlation Coefficient Based Decision Tree and Its Parallel Implementation. Inf. Sci. 2018, 435, 40–58. [Google Scholar] [CrossRef]
- Kokoska, S.; Nevison, C. Critical Values For Spearman’s Rank Correlation Coefficient. In Statistical Tables and Formulae; Springer Texts in Statistics; Springer: New York, NY, USA, 1989; p. 86. ISBN 978-0-387-96873-5. [Google Scholar]
- Xi, H.; Larouche, P.; Tang, S.; Michel, C. Seasonal Variability of Light Absorption Properties and Water Optical Constituents in Hudson Bay, Canada. JGR Ocean. 2013, 118, 3087–3102. [Google Scholar] [CrossRef]
- Juhls, B.; Overduin, P.P.; Hölemann, J.; Hieronymi, M.; Matsuoka, A.; Heim, B.; Fischer, J. Dissolved Organic Matter at the Fluvial–Marine Transition in the Laptev Sea Using in Situ Data and Ocean Colour Remote Sensing. Biogeosciences 2019, 16, 2693–2713. [Google Scholar] [CrossRef]
- Mohd-Shazali, S.M.; Madihah, J.-S.; Ali, N.; Cheng-Ann, C.; Brewin, R.J.W.; Idris, M.S.; Noir, P.P. Dynamics of Absorption Properties of CDOM and Its Composition in Likas Estuary, North Borneo, Malaysia. Oceanologia 2022, 64, 583–594. [Google Scholar] [CrossRef]
- Martin, P.; Sanwlani, N.; Lee, T.W.Q.; Wong, J.M.C.; Chang, K.Y.W.; Wong, E.W.-S.; Liew, S.C. Dissolved Organic Matter from Tropical Peatlands Reduces Shelf Sea Light Availability in the Singapore Strait, Southeast Asia. Mar. Ecol. Prog. Ser. 2021, 672, 89–109. [Google Scholar] [CrossRef]
- Keith, D.J.; Lunetta, R.S.; Schaeffer, B.A. Optical Models for Remote Sensing of Colored Dissolved Organic Matter Absorption and Salinity in New England, Middle Atlantic and Gulf Coast Estuaries USA. Remote Sens. 2016, 8, 283. [Google Scholar] [CrossRef]
- Nima, C.; Frette, Ø.; Hamre, B.; Stamnes, J.J.; Chen, Y.-C.; Sørensen, K.; Norli, M.; Lu, D.; Xing, Q.; Muyimbwa, D. CDOM Absorption Properties of Natural Water Bodies along Extreme Environmental Gradients. Water 2019, 11, 1988. [Google Scholar] [CrossRef]
- Tamir, R.; Eyal, G.; Kramer, N.; Laverick, J.H.; Loya, Y. Light Environment Drives the Shallow-to-mesophotic Coral Community Transition. Ecosphere 2019, 10, e02839. [Google Scholar] [CrossRef]
- Ferrari, G.M.; Bo, F.G.; Babin, M. Geo-Chemical and Optical Characterizations of Suspended Matter in European Coastal Waters. Estuar. Coast. Shelf Sci. 2003, 57, 17–24. [Google Scholar] [CrossRef]
- Wang, C.; Li, W.; Chen, S.; Li, D.; Wang, D.; Liu, J. The Spatial and Temporal Variation of Total Suspended Solid Concentration in Pearl River Estuary during 1987–2015 Based on Remote Sensing. Sci. Total Environ. 2018, 618, 1125–1138. [Google Scholar] [CrossRef] [PubMed]
- Molares, R.; Mestres, M. Efectos de La Descarga Estacional Del Canal Del Dique En El Mecanismo de Intercambio de Aguas de Una Bahía Semicerrada y Micromareal: Bahía de Cartagena, Colombia. Bol. Cient. CIOH 2012, 30, 53–74. [Google Scholar] [CrossRef]
- Tilstone, G.H.; Peters, S.W.; van der Woerd, H.J.; Eleveld, M.A.; Ruddick, K.; Schönfeld, W.; Krasemann, H.; Martinez-Vicente, V.; Blondeau-Patissier, D.; Röttgers, R. Variability in Specific-Absorption Properties and Their Use in a Semi-Analytical Ocean Colour Algorithm for MERIS in North Sea and Western English Channel Coastal Waters. Remote Sens. Environ. 2012, 118, 320–338. [Google Scholar] [CrossRef]
- Chang, G.C.; Barnard, A.H.; McLean, S.; Egli, P.J.; Moore, C.; Zaneveld, J.R.V.; Dickey, T.D.; Hanson, A. In Situ Optical Variability and Relationships in the Santa Barbara Channel: Implications for Remote Sensing. Appl. Opt. 2006, 45, 3593–3604. [Google Scholar] [CrossRef]
- Tosic, M.; Restrepo, J.D.; Lonin, S.; Izquierdo, A.; Martins, F. Water and Sediment Quality in Cartagena Bay, Colombia: Seasonal Variability and Potential Impacts of Pollution. Estuar. Coast. Shelf Sci. 2019, 216, 187–203. [Google Scholar] [CrossRef]
- Chu, Q.; Zhang, Y.; Ma, R.; Hu, M.; Jing, Y. MODIS-Based Remote Estimation of Absorption Coefficients of an Inland Turbid Lake in China. Remote Sens. 2020, 12, 1940. [Google Scholar] [CrossRef]
- Arena, M.; Delgado, A.L.; Celleri, C.; Pratolongo, P.D. Preliminary Assessment of Spatial and Short-Term Variability of Bio-Optical Properties in a Tidal Dominated Estuary (Bahía Blanca, Argentina). Reg. Stud. Mar. Sci. 2019, 29, 100639. [Google Scholar] [CrossRef]
- Noernberg, M.A.; Mizerkowski, B.D.; Mafra, L.L., Jr.; Freitas, F.H. Seasonal Evolution of Particulate and Dissolved Absorption Coefficients in a Subtropical Estuary. Estuar. Coast. Shelf Sci. 2020, 244, 106907. [Google Scholar] [CrossRef]
- Teixeira, C.D.; Leitão, R.L.L.; Ribeiro, F.V.; Moraes, F.C.; Neves, L.M.; Bastos, A.C.; Pereira-Filho, G.H.; Kampel, M.; Salomon, P.S.; Sá, J.A.; et al. Sustained Mass Coral Bleaching (2016–2017) in Brazilian Turbid-Zone Reefs: Taxonomic, Cross-Shelf and Habitat-Related Trends. Coral Reefs 2019, 38, 801–813. [Google Scholar] [CrossRef]
- Perry, C.T.; Larcombe, P. Marginal and Non-Reef-Building Coral Environments. Coral Reefs 2003, 22, 427–432. [Google Scholar] [CrossRef]
- Stramski, D.; Reynolds, R.A.; Kaczmarek, S.; Uitz, J.; Zheng, G. Correction of pathlength amplification in the filter-pad technique for measurements of particulate absorption coefficient in the visible spectral region. Appl. Opt. 2015, 54, 6763–6782. [Google Scholar] [CrossRef] [PubMed]
- Lefering, I.; Röttgers, R.; Weeks, R.; Connor, D.; Utschig, C.; Heymann, K.; McKee, D. Improved determination of particulate absorption from combined filter pad and PSICAM measurements. Opt. Express 2016, 24, 24805–24823. [Google Scholar] [CrossRef]









| Variable | Unit | Sept 2021 Surface | Sept 2021 Bottom | Feb 2022 Surface | Feb 2022 Bottom | Jun 2022 Surface | Jun 2022 Bottom |
|---|---|---|---|---|---|---|---|
| Temperature | °C | 30.2 | 29.3 | 28.7 | 27.6 | 30.5 | 29.1 |
| Salinity | PSS | 26.9 | 34.5 | 30.2 | 35.5 | 23.3 | 35.3 |
| Turbidity | NTU | 11.1 | 3.4 | 6.7 | 3.6 | 10.1 | 1.6 |
| Chlorophyll-a | µg L−1 | 2.3 | 1.4 | 2.7 | 0.8 | 6.2 | 0.6 |
| ap(440) | m−1 | 0.466 | 0.075 | 0.285 | 0.289 | 0.944 | 0.096 |
| aCDOM(440) | m−1 | 0.368 | 0.021 | 0.111 | 0.047 | 0.552 | 0.038 |
| at(440) | m−1 | 0.848 | 0.111 | 0.411 | 0.351 | 1.511 | 0.149 |
| ZSD | m | 0.6 | — | 3.0 | — | 1.9 | — |
| Kd PAR | m−1 | 2.63 | — | 1.13 | — | 1.08 | — |
| Variable Pair | rs |
|---|---|
| Salinity vs. aCDOM(440) | −0.827 |
| Salinity vs. ap(440) | −0.696 |
| Salinity vs. at(440) | −0.768 |
| Salinity vs. Chl-a | −0.638 |
| Turbidity vs. ap(440) | 0.635 |
| Turbidity vs. aCDOM(440) | 0.503 |
| Turbidity vs. at(440) | 0.648 |
| Turbidity vs. Salinity | −0.429 |
| Chl-a vs. ap(440) | 0.531 |
| Chl-a vs. at(440) | 0.573 |
| Chl-a vs. Turbidity | 0.219 |
| Variable Pair | rs |
|---|---|
| Turbidity vs. at(440) | 0.417 |
| Turbidity vs. ap(440) | 0.404 |
| Otros pares | < |
Disclaimer/Publisher’s Note: The statements, opinions and data contained in all publications are solely those of the individual author(s) and contributor(s) and not of MDPI and/or the editor(s). MDPI and/or the editor(s) disclaim responsibility for any injury to people or property resulting from any ideas, methods, instructions or products referred to in the content. |
© 2025 by the authors. Licensee MDPI, Basel, Switzerland. This article is an open access article distributed under the terms and conditions of the Creative Commons Attribution (CC BY) license (https://creativecommons.org/licenses/by/4.0/).
Share and Cite
Betancur-Turizo, S.P.; Mejía-Trejo, A.; Santamaria-del-Angel, E.; Santos-Barrera, Y.; Mayo-Mancebo, G.; Rivero-Hernández, J.P. Potential Applications of Light Absorption Coefficients in Assessing Water Optical Quality: Insights from Varadero Reef, an Extreme Coral Ecosystem. Water 2025, 17, 2820. https://doi.org/10.3390/w17192820
Betancur-Turizo SP, Mejía-Trejo A, Santamaria-del-Angel E, Santos-Barrera Y, Mayo-Mancebo G, Rivero-Hernández JP. Potential Applications of Light Absorption Coefficients in Assessing Water Optical Quality: Insights from Varadero Reef, an Extreme Coral Ecosystem. Water. 2025; 17(19):2820. https://doi.org/10.3390/w17192820
Chicago/Turabian StyleBetancur-Turizo, Stella Patricia, Adán Mejía-Trejo, Eduardo Santamaria-del-Angel, Yerinelys Santos-Barrera, Gisela Mayo-Mancebo, and Joaquín Pablo Rivero-Hernández. 2025. "Potential Applications of Light Absorption Coefficients in Assessing Water Optical Quality: Insights from Varadero Reef, an Extreme Coral Ecosystem" Water 17, no. 19: 2820. https://doi.org/10.3390/w17192820
APA StyleBetancur-Turizo, S. P., Mejía-Trejo, A., Santamaria-del-Angel, E., Santos-Barrera, Y., Mayo-Mancebo, G., & Rivero-Hernández, J. P. (2025). Potential Applications of Light Absorption Coefficients in Assessing Water Optical Quality: Insights from Varadero Reef, an Extreme Coral Ecosystem. Water, 17(19), 2820. https://doi.org/10.3390/w17192820

