Resilient Strategies for Disaster Prevention and Ecological Restoration of River and Lake Benggang and Bank Erosion
Abstract
1. Introduction
2. Methods
2.1. Study Design and Framework Overview
2.2. Ecological Resilience Assessment
2.3. Disaster Risk Evaluation
2.4. River and Lake Ecosystems Restoration
2.5. Sustainable Water Resources Utilization
2.6. Biodiversity Evaluation and Habitat Restoration
3. Results
3.1. Slope Protection Strength and Overall Stability
3.2. Anti-Erosion and Anti-Scouring Capabilities
3.3. Frost Resistance Durability Assessment
3.4. Fertility Sustainability
4. Discussion
5. Conclusions
Author Contributions
Funding
Data Availability Statement
Conflicts of Interest
References
- Chen, Y.; Duo, L.; Zhao, D.; Zeng, Y.; Guo, X. The response of ecosystem vulnerability to climate change and human activities in the Poyang Lake city group, China. Environ. Res. 2023, 233, 116473. [Google Scholar] [CrossRef] [PubMed]
- Miller, J.D.; Hutchins, M. The impacts of urbanisation and climate change on urban flooding and urban water quality: A review of the evidence concerning the United Kingdom. J. Hydrol. Reg. Stud. 2017, 12, 345–362. [Google Scholar] [CrossRef]
- Talbot, C.J.; Bennett, E.M.; Cassell, K.; Hanes, D.M.; Minor, E.C.; Paerl, H.; Raymond, P.A.; Vargas, R.; Vidon, P.G.; Wollheim, W.; et al. The impact of flooding on aquatic ecosystem services. Biogeochemistry 2018, 141, 439–461. [Google Scholar] [CrossRef]
- Wei, Y.; Liu, Z.; Wu, X.; Zhang, Y.; Cui, T.; Cai, C.; Guo, Z.; Wang, J.; Cheng, D. Can Benggang be regarded as gully erosion? Catena 2021, 207, 105648. [Google Scholar] [CrossRef]
- Yan, X.; Geng, S.; Jiang, H.; Sun, Z.; Wang, N.; Zhang, S.; Yang, L.; Wen, M. Redefining Benggang management: A novel integration of soil erosion and disaster risk assessments. Land 2024, 13, 613. [Google Scholar] [CrossRef]
- Cepic, M.; Bechtold, U.; Wilfing, H. Modelling human influences on biodiversity at a global scale—A human ecology perspective. Ecol. Model. 2022, 465, 109854. [Google Scholar] [CrossRef]
- Laurila-Pant, M.; Lehikoinen, A.; Uusitalo, L.; Venesjärvi, R. How to value biodiversity in environmental management? Ecol. Indic. 2015, 55, 1–11. [Google Scholar] [CrossRef]
- Wang, X.; Wang, J.; Wang, B.; Burkhard, B.; Che, L.; Dai, C.; Zheng, L. The nature-based ecological engineering paradigm: Symbiosis, coupling, and coordination. Engineering 2022, 19, 14–21. [Google Scholar] [CrossRef]
- Sabater, S.; Freixa, A.; Jiménez, L.; López-Doval, J.; Pace, G.; Pascoal, C.; Perujo, N.; Craven, D.; González-Trujillo, J.D. Extreme weather events threaten biodiversity and functions of river ecosystems: Evidence from a meta-analysis. Biol. Rev. 2023, 98, 450–461. [Google Scholar] [CrossRef] [PubMed]
- Herrera, E.C.; Nadaoka, K. Temporal dynamics and drivers of lake ecosystem metabolism using high resolution observations in a shallow, tropical, eutrophic lake (Laguna Lake, Philippines). J. Great Lakes Res. 2021, 47, 997–1020. [Google Scholar] [CrossRef]
- Vigneron, A.; Cruaud, P.; Langlois, V.; Lovejoy, C.; Culley, A.I.; Vincent, W.F. Ultra-small and abundant: Candidate phyla radiation bacteria are potential catalysts of carbon transformation in a thermokarst lake ecosystem. Limnol. Oceanogr. Lett. 2020, 5, 212–220. [Google Scholar] [CrossRef]
- Wang, M.; Du, Z.; Duan, Z.; Yan, C.; Gao, W.; Liu, C. Estimating the eco-environmental water demand of a river and lake coupled ecosystem: A case study of Lake Dianchi Basin. Acta Ecol. Sin. 2021, 41, 1341–1348. [Google Scholar] [CrossRef]
- Heino, J.; Alahuhta, J.; Bini, L.M.; Cai, Y.; Heiskanen, A.S.; Hellsten, S.; Kortelainen, P.; Kotamäki, N.; Tolonen, K.T.; Vihervaara, P.; et al. Lakes in the era of global change: Moving beyond single-lake thinking in maintaining biodiversity and ecosystem services. Biol. Rev. 2021, 96, 89–106. [Google Scholar] [CrossRef]
- Yan, Z.; Song, N.; Wang, C.; Jiang, H. Functional potential and assembly of microbes from sediments in a lake bay and adjoining river ecosystem for polycyclic aromatic hydrocarbon biodegradation. Environ. Microbiol. 2021, 23, 628–640. [Google Scholar] [CrossRef] [PubMed]
- Battin, T.J.; Lauerwald, R.; Bernhardt, E.S.; Bertuzzo, E.; Gener, L.G.; Hall, R.O., Jr.; Hotchkiss, E.R.; Maavara, T.; Pavelsky, T.M.; Ran, L.; et al. River ecosystem metabolism and carbon biogeochemistry in a changing world. Nature 2023, 613, 449–459. [Google Scholar] [CrossRef] [PubMed]
- Culp, J.M.; Droppo, I.G.; di Cenzo, P.D.; Alexander, A.C.; Baird, D.J.; Beltaos, S.; Bickerton, G.; Bonsal, B.; Brua, R.B.; Chambers, P.A.; et al. Ecological effects and causal synthesis of oil sands activity impacts on river ecosystems: Water synthesis review. Environ. Rev. 2021, 29, 315–327. [Google Scholar] [CrossRef]
- Petsch, D.K.; Cionek, V.M.; Thomaz, S.M.; Dos Santos, N.C.L. Ecosystem services provided by river-floodplain ecosystems. Hydrobiologia 2023, 850, 2563–2584. [Google Scholar] [CrossRef]
- Li, L. Application of water environment ecological management in river and lake engineering. Eng. Constr. Manag. 2024, 2, 100–102. [Google Scholar]
- Wang, J. Current situation of rural river courses and application of ecological slope protection technology. Rural. Sci. Technol. 2021, 12, 114–115. [Google Scholar]
- Chen, G. Research on construction Technology of river ecological slope Protection. Heilongjiang Hydraul. Sci. Technol. 2021, 49, 167–169. [Google Scholar]
- Dang, H.; Yang, D.; Yang, J. Application of frame girder ecological revetment in slope protection of urban river regulation project. Yunnan Water Power 2021, 37, 167–169. [Google Scholar]
- Zhu, Y. Application of ecological slope protection technology in river course management project. Water Conserv. Constr. Manag. 2021, 41, 60–65. [Google Scholar]
- Liu, L.; Song, Y.; Zhong, B.; Fang, S.; Xu, W.; Wang, Y.; Li, M. Research progress on ecological restoration technology of vegetation concrete. J. Environ. Eng. Technol. 2022, 12, 916–927. [Google Scholar]
- Xu, X.; Wu, W.L. A brief discussion on the application of ecological slope protection technology in water conservancy projects. Technol. Appl. Water Conserv. Electr. Power 2022, 4, 166–168. [Google Scholar]
- Jiang, Y. Research on the application of ecological slope protection technology in river regulation. Leather Manuf. Environ. Technol. 2021, 2, 94–96. [Google Scholar]
- Zhou, S.; Geng, N.; Lin, X.; Yu, W.; Fei, S.; Tong, R. Research progress of river ecological slope protection. Intell. City 2021, 7, 118–119. [Google Scholar]
- Hayes, S.; Desha, C.; Burke, M.; Gibbs, M.; Chester, M. Leveraging socio-ecological resilience theory to build climate resilience in transport infrastructure. Transp. Rev. 2019, 39, 677–699. [Google Scholar] [CrossRef]
- Maltby, J.; Day, L.; Hall, S.; Chivers, S. The measurement and role of ecological resilience systems theory across domain-specific outcomes: The domain-specific resilient systems scales. Assessment 2019, 26, 1444–1461. [Google Scholar] [CrossRef] [PubMed]
- Resmi, S.R.; Patel, P.L.; Timbadiya, P.V. Morphological study of Upper Tapi river using remote sensing and GIS techniques. ISH J. Hydraul. Eng. 2019, 25, 260–268. [Google Scholar] [CrossRef]
- Al-Hurban, A.; Al-Ruwaih, F.; Al-Dughairi, A. Quantitative geomorphological and hydromorphometric analysis of drainage basins of as sabriyah (Kuwait) using GIS techniques. J. Geogr. Inf. Syst. 2021, 13, 166–193. [Google Scholar] [CrossRef]
- Zhang, L.; Zhang, X.; Wang, H. Key points of application of river ecological slope protection construction technology in water conservancy projects. Mod. Constr. Eng. Technol. 2024, 1, 58–60. [Google Scholar]
- Leng, W.C. Brief analysis on the application of ecological slope protection technology in river management. Technol. Appl. Water Conserv. Electr. Power 2022, 4, 25–27. [Google Scholar]
- Sahu, M.K.; Shwetha, H.R.; Dwarakish, G.S. State-of-the-art hydrological models and application of the HEC-HMS model: A review. Model. Earth Syst. Environ. 2023, 9, 3029–3051. [Google Scholar] [CrossRef]
- Sahu, S.; Pyasi, S.K.; Galkate, R.V. A review on the HEC-HMS rainfall-runoff simulation model. Int. J. Agric. Sci. Res. 2020, 10, 183–190. [Google Scholar]
- Lengyel, D.M.; Mazzuchi, T.A.; Vesely, W.E. Establishing risk matrix standard criteria for use in the continuous risk management process. J. Space Saf. Eng. 2023, 10, 276–283. [Google Scholar] [CrossRef]
- Qazi, A.; Dikmen, I. From risk matrices to risk networks in construction projects. IEEE Trans. Eng. Manag. 2019, 68, 1449–1460. [Google Scholar] [CrossRef]
- Puvanendran, V.; Mortensen, A.; Johansen, L.; Kettunen, A.; Hansen, Ø.J.; Henriksen, E.; Heide, M. Development of cod farming in Norway: Past and current biological and market status and future prospects and directions. Rev. Aquac. 2022, 14, 308–342. [Google Scholar]
- Lee, J.; Lee, S.; Yu, S.; Rhew, D. Relationships between water quality parameters in rivers and lakes: BOD5, COD, NBOPs, and TOC. Environ. Monit. Assess. 2016, 188, 252. [Google Scholar] [CrossRef]
- Jia, X.; Liu, C.; Ji, X.; Xue, F. Data collection and edge calculation of green vegetation index based on ecological health. Chin. J. Dis. Control Prev. 2022, 26, 1167–1173. [Google Scholar]
- Orimoloye, I.R.; Ololade, O.O. Spatial evaluation of land-use dynamics in gold mining area using remote sensing and GIS technology. Int. J. Environ. Sci. Technol. 2020, 17, 4465–4480. [Google Scholar] [CrossRef]
- Paul, P.K.; Aithal, P.S.; Bhuimali, A.; Tiwary, K.S.; Saavedra, R.; Aremu, B. Geo information systems & remote sensing: Applications in environmental systems & management. Int. J. Manag. Technol. Soc. Sci. (IJMTS) 2020, 5, 11–18. [Google Scholar]
- Akca, M.S.; Bostancı, O.; Aydin, A.K.; Koyuncu, I.; Altinbas, M. BioH2 production from food waste by anaerobic membrane bioreactor. Int. J. Hydrogen Energy 2021, 46, 27941–27955. [Google Scholar] [CrossRef]
- Arif, A.U.A.; Sorour, M.T.; Aly, S.A. Cost analysis of activated sludge and membrane bioreactor WWTPs using CapdetWorks simulation program: Case study of Tikrit WWTP (middle Iraq). Alex. Eng. J. 2020, 59, 4659–4667. [Google Scholar] [CrossRef]
- Omayio, D.; Mzungu, E.; Kakamega, K. Modification of Shannon-Wiener diversity index towards quantitative estimation of environmental wellness and biodiversity levels under a non-comparative Scenario. J. Environ. Earth Sci. 2019, 9, 46–57. [Google Scholar]
- Wang, Z.; Feng, D.; Chen, Y.; He, D.; Elimelech, M. Comparison of energy consumption of osmotically assisted reverse osmosis and low-salt-rejection reverse osmosis for brine management. Environ. Sci. Technol. 2021, 55, 10714–10723. [Google Scholar] [CrossRef]
- Yao, Y.; Zhang, W.; Du, Y.; Li, M.; Wang, L.; Zhang, X. Toward enhancing the chlorine resistance of reverse osmosis membranes: An effective strategy via an end-capping technology. Environ. Sci. Technol. 2019, 53, 1296–1304. [Google Scholar] [CrossRef] [PubMed]
- Starke, J.; Ehlers, T.A.; Schaller, M. Latitudinal effect of vegetation on erosion rates identified along western South America. Science 2020, 367, 1358–1361. [Google Scholar] [CrossRef] [PubMed]
- Yu, Y.; Wei, W.; Chen, L.; Feng, T.; Daryanto, S. Quantifying the effects of precipitation, vegetation, and land preparation techniques on runoff and soil erosion in a loess watershed of China. Sci. Total Environ. 2019, 652, 755–764. [Google Scholar] [CrossRef] [PubMed]
- Wang, L.; Li, J.; Zhang, S.; Huang, Y.; Ouyang, Z.; Mai, Z. Biological soil crust elicits microbial community and extracellular polymeric substances restructuring to reduce the soil erosion on tropical island, South China Sea. Mar. Environ. Res. 2024, 197, 106449. [Google Scholar] [CrossRef]
- He, J.; Liu, R.; Liu, F.; Wu, M.; Wen, Q. Freeze-thaw resistance mechanisms of rubber-cement soil: Insights from a macro- and micro-level perspective. Environ. Technol. 2025, 46, 4394–4406. [Google Scholar] [CrossRef]
- Yang, J.; Jia, D.; Zhai, B.; Chen, X.; Wang, J. Bank erosion under the impacts of fluvial erosion, frost heaving/freeze-thaw process of rivers in seasonal frozen regions. Heliyon 2024, 10, e37448. [Google Scholar] [CrossRef] [PubMed]
- Yang, Z.; Zhang, K.; Li, X.; Ren, S.; Li, P. The effects of long-term freezing-thawing on the strength properties and the chemical stability of compound solidified/stabilized lead-contaminated soil. Environ. Sci. Pollut. Res. Int. 2023, 30, 38185–38201. [Google Scholar] [CrossRef]
- Lann, T.; Bao, H.; Lan, H.; Zheng, H.; Yan, C.; Peng, J. Hydro-mechanical effects of vegetation on slope stability: A review. Sci. Total Environ. 2024, 926, 171691. [Google Scholar] [CrossRef]
- Cai, M.; Chen, H.; Tan, H.; Chen, J.; He, S.; Long, M. Temporal dynamics of nutrient release from mulching of legume roots and shoots litter driven by microbial community during decomposition in organic orchards. BMC Plant Biol. 2025, 25, 374. [Google Scholar] [CrossRef] [PubMed]
- Costantini, E.A.; Castaldini, M.; Diago, M.P.; Giffard, B.; Lagomarsino, A.; Schroers, H.-J.; Priori, S.; Valboa, G.; Agnelli, A.E.; Akça, E.; et al. Effects of soil erosion on agro-ecosystem services and soil functions: A multidisciplinary study in nineteen organically farmed European and Turkish vineyards. J. Environ. Manag. 2018, 223, 614–624. [Google Scholar] [CrossRef] [PubMed]






| Number of Experiments | Erosion Modulus | Mass Loss | Surface Scouring Performance | ||||
|---|---|---|---|---|---|---|---|
| A | B | A | B | A | B | ||
| 1 | 83 | 138 | 1.5% | 15% | No cracks, loss, stable | Severe surface detachment and soil erosion | |
| 2 | 82 | 141 | 1% | 17% | No cracks, loss, stable | Severe surface detachment and soil erosion | |
| 3 | 82 | 133 | 1% | 12% | No cracks, loss, stable | Obvious soil erosion and detachment on the surface | |
| 4 | 81 | 141 | 0.5% | 17% | No cracks, loss, stable | Severe surface detachment and soil erosion | |
| 5 | 84 | 133 | 2% | 12% | No cracks, loss, stable | Obvious soil erosion and detachment on the surface | |
| 6 | 85 | 142 | 3% | 18% | Surface micro cracks, slight loss | Severe surface detachment and soil erosion | |
| 7 | 81 | 132 | 0.5% | 10% | No cracks, loss, stable | Obvious soil erosion and detachment on the surface | |
| 8 | 85 | 142 | 3% | 18% | Surface micro cracks, slight loss | Severe surface detachment and soil erosion | |
| 9 | 83 | 135 | 1.5% | 13% | No cracks, loss, stable | Obvious soil erosion and detachment on the surface | |
| 10 | 80 | 143 | 0 | 20% | No cracks, loss, stable | Severe surface detachment and soil erosion | |
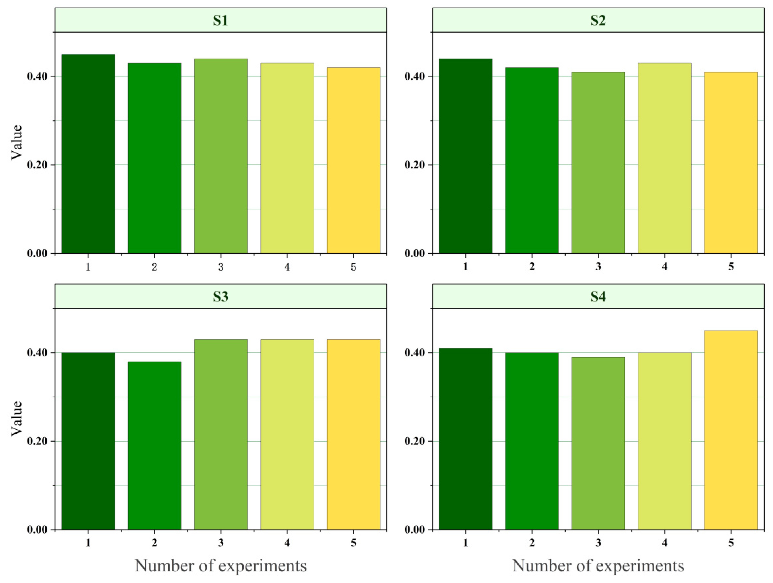
| Sample Number | 1 | 2 | 3 | 4 | 5 | Average Value | Standard Deviation |
|---|---|---|---|---|---|---|---|
| S1 | 0.45 | 0.43 | 0.44 | 0.43 | 0.42 | 0.43 | 0.01 |
| S2 | 0.44 | 0.42 | 0.41 | 0.43 | 0.41 | 0.42 | 0.01 |
| S3 | 0.4 | 0.38 | 0.43 | 0.43 | 0.43 | 0.41 | 0.02 |
| S4 | 0.41 | 0.4 | 0.39 | 0.4 | 0.45 | 0.41 | 0.02 |
| Sample Number | T1 | T2 |
|---|---|---|
| 1 | 1600 | 100 |
| 2 | 1550 | 90 |
| 3 | 1500 | 95 |
| 4 | 1580 | 85 |
| 5 | 1620 | 110 |
| 6 | 1650 | 105 |
| 7 | 1700 | 92 |
| 8 | 1670 | 98 |
| 9 | 1640 | 100 |
| 10 | 1590 | 88 |
| Average value | 1610 | 96.3 |
| T1 | T2 | |
|---|---|---|
| t value | 27.45 | |
| df (degree of freedom) | 18 | |
| p-value | <0.001 | |
Disclaimer/Publisher’s Note: The statements, opinions and data contained in all publications are solely those of the individual author(s) and contributor(s) and not of MDPI and/or the editor(s). MDPI and/or the editor(s) disclaim responsibility for any injury to people or property resulting from any ideas, methods, instructions or products referred to in the content. |
© 2025 by the authors. Licensee MDPI, Basel, Switzerland. This article is an open access article distributed under the terms and conditions of the Creative Commons Attribution (CC BY) license (https://creativecommons.org/licenses/by/4.0/).
Share and Cite
Qin, H.; Ye, Y. Resilient Strategies for Disaster Prevention and Ecological Restoration of River and Lake Benggang and Bank Erosion. Water 2025, 17, 2744. https://doi.org/10.3390/w17182744
Qin H, Ye Y. Resilient Strategies for Disaster Prevention and Ecological Restoration of River and Lake Benggang and Bank Erosion. Water. 2025; 17(18):2744. https://doi.org/10.3390/w17182744
Chicago/Turabian StyleQin, Huihuang, and Yong Ye. 2025. "Resilient Strategies for Disaster Prevention and Ecological Restoration of River and Lake Benggang and Bank Erosion" Water 17, no. 18: 2744. https://doi.org/10.3390/w17182744
APA StyleQin, H., & Ye, Y. (2025). Resilient Strategies for Disaster Prevention and Ecological Restoration of River and Lake Benggang and Bank Erosion. Water, 17(18), 2744. https://doi.org/10.3390/w17182744
