Optimization of Water and Land Allocation in Fruit Orchards over a 20-Year Period
Abstract
1. Introduction
2. Materials and Methods
2.1. Production Functions
2.2. Model Formulation
2.2.1. Objective Function
2.2.2. Model Constraints
- Land availability: This constraint ensures that the total cultivated area does not exceed the total area available in the farm and is expressed aswhere is the total land area (ha).
- Water availability: This constraint ensures that the sum of the gross water requirements of the fruit crops i in the year k does not exceed the farm’s total water availability ().where is the gross water requirement for each fruit crop i in the year k (m3) and is efficiency of the irrigation system for the fruit tree i (). This variable is multiplied by 10 to convert mm to m3.
- Minimum water applied: This constraint ensures that each crop receives the minimum amount of water required for crop development and productivity. The criterion used to determine the minimum amount of water applied to each crop in the year k is that it should not be less than 55% of the potential evapotranspiration of that crop, adjusted for the cultivated area. This value was obtained by analyzing the production functions presented in Table 1. This threshold is essential for preventing significant water stress, which could compromise both the crop yield and the sustainability of the agricultural system. Mathematically, this constraint is expressed as
- Labor availability: Given that the labor force can change from one year to the next, this constraint is expressed aswhere is the total annual availability of labor per year k (person-day year−1).
- Price risk constraint: This constraint aims to mitigate the financial impact of the volatility of market prices on the farm. It guarantees that the sum of the cultivated areas, weighted by a risk factor associated with the price volatility of each crop, does not exceed the acceptable risk limit for the farm. Mathematically, it is expressed aswhere is the risk factor associated with the fruit crop i (adimensional). is calculated as the ratio between the standard deviation of the price of the fruit crop and the maximum standard deviation observed among all fruit crops (Equation (12)).In our model, the ‘risk level’ represents the uncertainty associated with the market price of fruit crops. The total risk limit, (ha), is determined by the farm manager and is expressed as a percentage of the total area ():This limit is conceptualized in terms of ‘equivalent hectares of risk’, a metric that quantifies the risk in relation to the size of the farm, facilitating risk management based on market price volatility and the farmer’s risk tolerance.
- Crop area considerations: Agricultural, market, and productive diversity management criteria need to be considered in order to restrict maximum and minimum crop areas based on possible market or agricultural limitations. These constraints are expressed as follows:where and correspond to the minimum and maximum crop area assigned to a farm producing fruit crop i, respectively (both in ha).
- Complementary considerations: A constraint is required to force the crop water requirement to assume a value greater than or equal to zero when the cultivated area is also zero, and this is expressed aswhere K is a positive constant (K = 10.000 mm ha−1). In addition, to prevent the application of more water than the crop requires, the following constraint is added:
- Finally, there is a non-negativity constraint, which is expressed as
2.3. Study Site
2.4. Model Input Data
| Fruit Crop | Source | |||
|---|---|---|---|---|
| Blueberry | −0.6306 | 1.7716 | −0.1204 | Holzapfel et al. [46] |
| Cherry | −2.4364 | 3.1661 | −0.0286 | Carrasco-Benavides et al. [47] |
| Citrus fruit | −0.4664 | 1.0754 | 0.3962 | Holzapfel et al. [48] |
| Peach | −1.3714 | 2.6952 | −0.3238 | Darshana et al. [49] |
| Kiwi | −0.7875 | 1.6847 | 0.1149 | Holzapfel et al. [50] |
| Apple | −1.0448 | 2.0595 | −0.0147 | Darshana et al. [49] |
| Wine grape | −0.6604 | 1.1676 | 0.506 | Jara et al. [51] |
| Table grape | −0.576 | 1.236 | 0.2827 | Zúñiga-Espinoza et al. [52] |
| Pear | −2.3378 | 4.2551 | 9.966 | Gomes et al. [53] |
| Avocado | −0.4462 | 1.1205 | 0.3257 | Holzapfel et al. [54] |
| Fruit Crop | Maximum Yield (t ha−1) | Source |
|---|---|---|
| Blueberry | 20 | Holzapfel et al. [45] |
| Cherry | 20 | Blanco et al. [55] |
| Citrus fruit | 70 | Holzapfel et al. [48] |
| Peach | 40 | INIA [56] |
| Kiwi | 45 | Holzapfel et al. [50] |
| Apple | 70 | Lecaros-Arellano et al. [57] |
| Wine grape | 25 | Jara et al. [51] |
| Table grape | 28 | INIA [58] |
| Pear | 50 | ODEPA [38] |
| Avocado | 25 | Holzapfel et al. [54] |
2.5. Model Evaluation
3. Results and Discussion
3.1. Homogeneous Fruit Crop Distribution Pattern
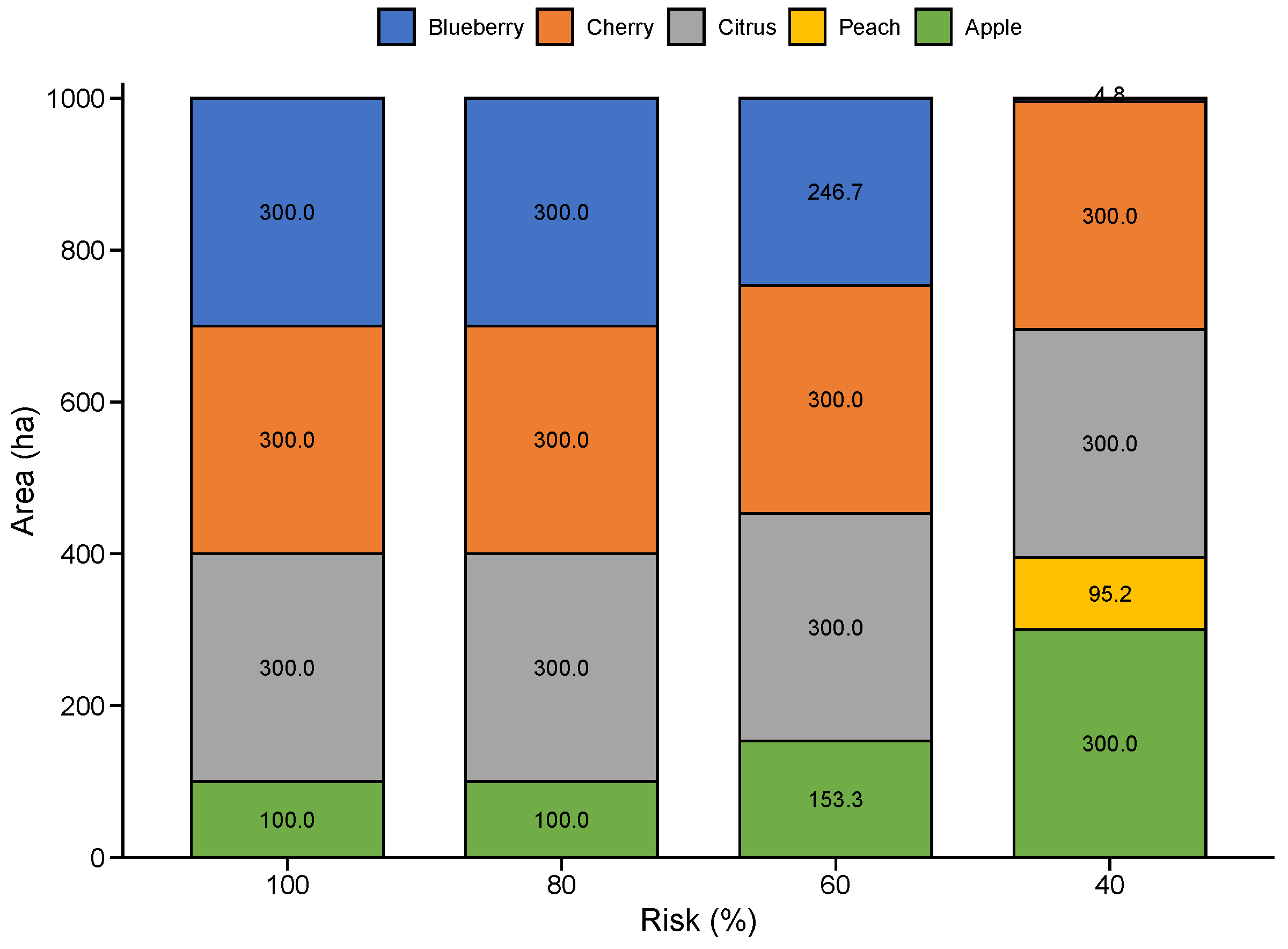
3.2. Analysis of the Land Distribution Associated with Price Risk
3.3. Labor Sensitivity Analysis
3.4. Water Sensitivity Analysis
3.5. Optimum Cropping Pattern
4. Conclusions
Author Contributions
Funding
Data Availability Statement
Acknowledgments
Conflicts of Interest
References
- Mancosu, N.; Snyder, R.L.; Kyriakakis, G.; Spano, D. Water Scarcity and Future Challenges for Food Production. Water 2015, 7, 975–992. [Google Scholar] [CrossRef]
- Galán-Martín, A.; Vaskan, P.; Antón, A.; Esteller, L.J.; Guillén-Gosálbez, G. Multi-objective optimization of rainfed and irrigated agricultural areas considering production and environmental criteria: A case study of wheat production in Spain. J. Clean. Prod. 2017, 140, 816–830. [Google Scholar] [CrossRef]
- Ibarrola-Rivas, M.; Granados-Ramírez, R.; Nonhebel, S. Is the available cropland and water enough for food demand? A global perspective of the Land-Water-Food nexus. Adv. Water Resour. 2017, 110, 476–483. [Google Scholar] [CrossRef]
- de Fraiture, C.; Wichelns, D. Satisfying future water demands for agriculture. Agric. Water Manag. 2010, 97, 502–511, Comprehensive Assessment of Water Management in Agriculture. [Google Scholar] [CrossRef]
- Hanjra, M.A.; Qureshi, M.E. Global water crisis and future food security in an era of climate change. Food Policy 2010, 35, 365–377. [Google Scholar] [CrossRef]
- Ritchie, H.; Rosado, P.; Roser, M. Agricultural Production. Our World in Data. 2023. Available online: https://ourworldindata.org/agricultural-production (accessed on 7 March 2024).
- Retamales, J.B. World temperate fruit production: Characteristics and challenges. Rev. Bras. Frutic. 2011, 33, 121–130. [Google Scholar] [CrossRef]
- Alexander, P.; Rounsevell, M.D.; Dislich, C.; Dodson, J.R.; Engström, K.; Moran, D. Drivers for global agricultural land use change: The nexus of diet, population, yield and bioenergy. Glob. Environ. Change 2015, 35, 138–147. [Google Scholar] [CrossRef]
- Mason-D’Croz, D.; Bogard, J.R.; Sulser, T.B.; Cenacchi, N.; Dunston, S.; Herrero, M.; Wiebe, K. Gaps between fruit and vegetable production, demand, and recommended consumption at global and national levels: An integrated modelling study. Lancet Planet. Health 2019, 3, e318–e329. [Google Scholar] [CrossRef]
- FAO. Agricultural Production Statistics 2000–2020; FAO: Rome, Italy, 2022. [Google Scholar]
- ODEPA. Evolución de la Fruticultura Chilena en los Últimos 20 Años; Technical Report; Oficina de Estudios y Políticas Agrarias (ODEPA): Santiago, Chile, 2020.
- ODEPA. La Fruticultura en Chile: Tendencias Productivas y su Expresión Territorial. Análisis Realizado a Partir de los Catastros Frutícolas para el Período 1999–2018; Technical Report; Oficina de Estudios y Políticas Agrarias (ODEPA): Santiago, Chile, 2019.
- Gatzke, E. Introduction to Numerical Optimization. In Introduction to Modeling and Numerical Methods for Biomedical and Chemical Engineers; Springer International Publishing: Cham, Switzerland, 2022; pp. 189–205. [Google Scholar] [CrossRef]
- Mortada, S.; Abou Najm, M.; Yassine, A.; El Fadel, M.; Alamiddine, I. Towards sustainable water-food nexus: An optimization approach. J. Clean. Prod. 2018, 178, 408–418. [Google Scholar] [CrossRef]
- Abdi-Dehkordi, M.; Bozorg-Haddad, O.; Chu, X. Determination of optimized cropping patterns according to crop yield response under baseline condition and climate-change condition. Irrig. Drain. 2018, 67, 654–669. [Google Scholar] [CrossRef]
- Bhatia, M.; Rana, A. A mathematical approach to optimize crop allocation—A linear programming model. Int. J. Des. Nat. Ecodyn. 2020, 15, 245–252. [Google Scholar] [CrossRef]
- Chen, Y.; Zhou, Y.; Fang, S.; Li, M.; Wang, Y.; Cao, K. Crop pattern optimization for the coordination between economy and environment considering hydrological uncertainty. Sci. Total Environ. 2022, 809, 151152. [Google Scholar] [CrossRef] [PubMed]
- Richter, B.D.; Ao, Y.; Lamsal, G.; Wei, D.; Amaya, M.; Marston, L.; Davis, K.F. Alleviating water scarcity by optimizing crop mixes. Nat. Water 2023, 1, 1035–1047. [Google Scholar] [CrossRef]
- Varade, S.; Patel, J.N. Optimization of groundwater resource for balanced cropping pattern. Water Policy 2019, 21, 643–657. [Google Scholar] [CrossRef]
- Mardani Najafabadi, M.; Ashktorab, N. Mathematical programming approaches for modeling a sustainable cropping pattern under uncertainty: A case study in Southern Iran. Environ. Dev. Sustain. 2023, 25, 9731–9755. [Google Scholar] [CrossRef]
- Abdi-Dehkordi, M.; Bozorg-Haddad, O.; Loáiciga, H.A. Optimized cropping patterns under climate-change conditions. Clim. Change 2017, 143, 429–443. [Google Scholar] [CrossRef]
- Dariane, A.; Ghasemi, M.; Karami, F.; Azaranfar, A.; Hatami, S. Crop pattern optimization in a multi-reservoir system by combining many-objective and social choice methods. Agric. Water Manag. 2021, 257, 107162. [Google Scholar] [CrossRef]
- Varade, S.; Patel, J.N. Determination of Optimum Cropping Pattern Using Advanced Optimization Algorithms. J. Hydrol. Eng. 2018, 23, 05018010. [Google Scholar] [CrossRef]
- Zeng, X.T.; Huang, G.H.; Zhang, J.L.; Li, Y.P.; You, L.; Chen, Y.; Hao, P.P. A stochastic rough-approximation water management model for supporting sustainable water-environment strategies in an irrigation district of arid region. Stoch. Environ. Res. Risk Assess. 2017, 31, 2183–2200. [Google Scholar] [CrossRef]
- Zeng, X.; Chen, C.; Liu, A.; Wei, H.; Zhang, H.; Huang, G.; Wu, Y. Planning a sustainable regional irrigated production and forest protection under land and water stresses with multiple uncertainties. J. Clean. Prod. 2018, 188, 751–762. [Google Scholar] [CrossRef]
- Kuschel-Otárola, M.; Rivera, D.; Holzapfel, E.; Palma, C.D.; Godoy-Faúndez, A. Multiperiod Optimisation of Irrigated Crops under Different Conditions of Water Availability. Water 2018, 10, 1434. [Google Scholar] [CrossRef]
- Herrera, E.A. Economic Comparison of Removing Pecan Trees and Planting Young Trees and Transplanting Established, Mature Trees. HortTechnology 1995, 5, 212–214. [Google Scholar] [CrossRef]
- Day, K.; DeJong, T.; Johnson, R. Orchard-system configurations increase efficiency, improve profits in peaches and nectarines. Calif. Agric. 2005, 59, 75–79. [Google Scholar] [CrossRef]
- Sharif, M.N.; Akmal, N.; Taj, S. Financial viability for investing in citrus cultivation in punjab, pakistan. J. Agric. Res. Pak. 2009, 47, 79–89. [Google Scholar]
- Vinyes, E.; Gasol, C.M.; Asin, L.; Alegre, S.; Muñoz, P. Life Cycle Assessment of multiyear peach production. J. Clean. Prod. 2015, 104, 68–79. [Google Scholar] [CrossRef]
- Carvallo, H.O.; Holzapfel, E.A.; Lopez, M.A.; Mariño, M.A. Irrigated Cropping Optimization. J. Irrig. Drain. Eng. 1998, 124, 67–72. [Google Scholar] [CrossRef]
- Varzi, M.M. Crop water production functions—A review of available mathematical method. J. Agric. Sci. 2016, 8, 76–83. [Google Scholar] [CrossRef][Green Version]
- Foster, T.; Brozović, N. Simulating Crop-Water Production Functions Using Crop Growth Models to Support Water Policy Assessments. Ecol. Econ. 2018, 152, 9–21. [Google Scholar] [CrossRef]
- Holzapfel, E.A.; Mariño, M.A.; Valenzuela, A. Drip Irrigation Nonlinear Optimization Model. J. Irrig. Drain. Eng. 1990, 116, 479–496. [Google Scholar] [CrossRef]
- Li, J.; Jiao, X.; Jiang, H.; Song, J.; Chen, L. Optimization of Irrigation Scheduling for Maize in an Arid Oasis Based on Simulation–Optimization Model. Agronomy 2020, 10, 935. [Google Scholar] [CrossRef]
- Steiner, H.M. Opportunity Cost, Capital Recovery, and Profit Analysis of Logistics Systems. Transp. J. 1973, 13, 15–22. [Google Scholar]
- MMA. Plan de Acción Regional de Cambio Climático (PARCC)—Región del Libertador General Bernardo O’Higgins; Ministerio del Medio Ambiente (MMA): Santiago, Chile, 2023. Available online: https://cambioclimatico.mma.gob.cl/wp-content/uploads/2023/10/PARCC_OHiggins-25-08-2023.pdf (accessed on 4 June 2024).
- ODEPA and CIREN. Catastro Frutícola: Región de O’Higgins, Principales Resultados; Technical Report; Oficina de Estudios y Políticas Agrarias (ODEPA), Centro de Información de Recursos Naturales (CIREN): Santiago, Chile, 2021.
- ODEPA. Catastro Vitícola Nacional. Available online: https://www.odepa.gob.cl/rubro/vinos/catastro-viticola-nacional (accessed on 2 July 2024).
- ODEPA. Available online: https://aplicativos.odepa.gob.cl/matriz.do (accessed on 22 March 2024).
- Banco Central de Chile. Base de Datos Estadísticos. Available online: https://si3.bcentral.cl/Siete/ES/Siete/Cuadro/CAP_TIPO_CAMBIO/MN_TIPO_CAMBIO4/DOLAR_OBS_ADO?cbFechaDiaria=2024&cbFrecuencia=ANNUAL&cbCalculo=NONE&cbFechaBase= (accessed on 22 March 2024).
- Comisión Nacional de Riego (CNR) and MdeA Consultores Ltda. Estudio Básico Diagnóstico y Perfil Agroeconómico Mediante Estándares de Producción. 2014. Available online: https://bibliotecadigital.odepa.gob.cl/handle/20.500.12650/70531 (accessed on 17 March 2024).
- Alvarez-Garreton, C.; Mendoza, P.A.; Boisier, J.P.; Addor, N.; Galleguillos, M.; Zambrano-Bigiarini, M.; Lara, A.; Puelma, C.; Cortes, G.; Garreaud, R.; et al. The CAMELS-CL dataset: Catchment attributes and meteorology for large sample studies—Chile dataset. Hydrol. Earth Syst. Sci. 2018, 22, 5817–5846. [Google Scholar] [CrossRef]
- Holzapfel, E.; Jara, J.; Coronata, A. Number of drip laterals and irrigation frequency on yield and exportable fruit size of highbush blueberry grown in a sandy soil. Agric. Water Manag. 2015, 148, 207–212. [Google Scholar] [CrossRef]
- Holzapfel, E.; Lillo-Saavedra, M.; Rivera, D.; Gavilán, V.; García-Pedrero, A.; Gonzalo-Martín, C. A satellite-based ex post analysis of water management in a blueberry orchard. Comput. Electron. Agric. 2020, 176, 105635. [Google Scholar] [CrossRef]
- Holzapfel, E.; Hepp, R.; Mariño, M. Effect of irrigation on fruit production in blueberry. Agric. Water Manag. 2004, 67, 173–184. [Google Scholar] [CrossRef]
- Carrasco-Benavides, M.; Meza, S.E.; Olguín-Cáceres, J.; Muñoz-Concha, D.; von Bennewitz, E.; Ávila-Sánchez, C.; Ortega-Farías, S. Effects of regulated post-harvest irrigation strategies on yield, fruit quality and water productivity in a drip-irrigated cherry orchard. N. Z. J. Crop Hortic. Sci. 2020, 48, 97–116. [Google Scholar] [CrossRef]
- Holzapfel, E.A.; Lopez, C.; Joublan, J.P.; Matta, R. Efecto del agua y fertirrigación en el desarrollo y producción de naranjos cv. thompson navel. Agric. Téc. 2001, 61, 51–60. [Google Scholar] [CrossRef]
- Darshana; Pandey, A.; Ostrowski, M.; Pandey, R.P. Simulation and optimization for irrigation and crop planning. Irrig. Drain. 2012, 61, 178–188. [Google Scholar] [CrossRef]
- Holzapfel, E.A.; Merino, R.; Mariño, M.A.; Matta, R. Water production functions in kiwi. Irrig. Sci. 2000, 19, 73–79. [Google Scholar] [CrossRef]
- Jara, J.; Holzapfel, E.; Billib, M.; Arumi, J.; Lagos, O.; Rivera, D. Effect of water application on wine quality and yield in ‘Carménère’ under the presence of a shallow water table in Central Chile. Chil. J. Agric. Res. 2017, 77, 171–179. [Google Scholar] [CrossRef]
- Zúñiga-Espinoza, C.; Aspillaga, C.; Ferreyra, R.; Selles, G. Response of Table Grape to Irrigation Water in the Aconcagua Valley, Chile. Agronomy 2015, 5, 405. [Google Scholar] [CrossRef]
- Gomes, V.H.; Simões, W.L.; Silva, J.S.d.; Garrido, M.d.S.; Silva, J.A.d.; Lopes, P.R.; Silva, W.O.d.; Santos, L.R.d. Production, gas and biochemical exchanges in pear cultivated in semi-arid region under different irrigation managements. Rev. Bras. Eng. Agríc. Ambient. 2023, 27, 335–342. [Google Scholar] [CrossRef]
- Holzapfel, E.; de Souza, J.A.; Jara, J.; Guerra, H.C. Responses of avocado production to variation in irrigation levels. Irrig. Sci. 2017, 35, 205–215. [Google Scholar] [CrossRef]
- Blanco, V.; Torres-Sánchez, R.; Blaya-Ros, P.J.; Pérez-Pastor, A.; Domingo, R. Vegetative and reproductive response of ‘Prime Giant’ sweet cherry trees to regulated deficit irrigation. Sci. Hortic. 2019, 249, 478–489. [Google Scholar] [CrossRef]
- INIA. Manual de Manejo del Cultivo de Duraznero; Technical Report; Instituto de Investigaciones Agropecuarias (INIA): Santiago, Chile, 2017.
- Lecaros-Arellano, F.; Holzapfel, E.; Fereres, E.; Rivera, D.; Muñoz, N.; Jara, J. Effects of the number of drip laterals on yield and quality of apples grown in two soil types. Agric. Water Manag. 2021, 248, 106781. [Google Scholar] [CrossRef]
- INIA. Manual del Cultivo de Uva de Mesa; Technical Report; Instituto de Investigaciones Agropecuarias (INIA): Santiago, Chile, 2017.
- Pintér, J.D. Nonlinear optimization with GAMS/LGO. J. Glob. Optim. 2007, 38, 79–101. [Google Scholar] [CrossRef]
- Ćalasan, M.P.; Nikitović, L.; Mujović, S. CONOPT solver embedded in GAMS for optimal power flow. J. Renew. Sustain. Energy 2019, 11, 046301. [Google Scholar] [CrossRef]
- Duraiappah, A.K. Formulating and Solving Non-Linear Integrated Ecological-Economic Models Using GAMS. In Computational Models in the Economics of Environment and Development; Springer: Dordrecht, The Netherlands, 2003; pp. 19–33. [Google Scholar] [CrossRef]














| Avg Labor Requirement (Person-d/Season) | Avg Water Requirement (m3/Season) | Profit (M CLP) |
|---|---|---|
| 192,943 | 9,480,158 | 533,143 |
| Risk (%) | Avg Labor Requirement (Person-d/Season) | Avg Water Requirement (m3/Season) | Profit (M CLP) |
|---|---|---|---|
| 100 | 273,694 | 10,676,152 | 985,130 |
| 80 | 247,586 | 9,816,545 | 917,708 |
| 60 | 214,752 | 8,735,484 | 832,916 |
| 40 | 181,919 | 7,654,423 | 748,123 |
| Risk (%) | Avg Labor Requirement (Person-d/Season) | Avg Water Requirement (m3/Season) | Profit (M CLP) |
|---|---|---|---|
| 100 | 325,149 | 8,955,335 | 821,609 |
| 80 | 325,149 | 8,955,335 | 821,609 |
| 60 | 302,660 | 8,932,573 | 795,403 |
| 40 | 200,773 | 8,937,287 | 673,780 |
| Labor Availability (%) | Max Labor Requirement (Person-d/Season) | Avg Labor Requirement (Person-d/Season) | Avg Water Requirement (m3/Season) | Profit (M CLP) | Reduction of Profits (%) |
|---|---|---|---|---|---|
| 100.0 | 318,250 | 301,869 | 9,018,882 | 762,162 | 0.0 |
| 87.5 | 278,469 | 264,683 | 9,323,579 | 743,920 | 2.4 |
| 75.0 | 238,688 | 226,893 | 9,393,474 | 706,050 | 7.4 |
| 62.5 | 198,906 | 189,102 | 9,463,369 | 668,181 | 12.3 |
| 50.0 | 159,125 | 151,312 | 9,533,263 | 630,311 | 17.3 |
| 37.5 | 119,344 | 114,521 | 9,057,336 | 533,676 | 30.0 |
| Water Availability (%) | Avg Labor Requirement (Person-d/Season) | Max Water Requirement (m3/Season) | Avg Water Requirement (m3/Season) | Profit (M CLP) | Reduction of Profits (%) |
|---|---|---|---|---|---|
| 100.0 | 301,869 | 9,658,391 | 9,018,882 | 762,162 | 0.0 |
| 87.5 | 301,869 | 8,451,092 | 8,451,092 | 754,801 | 1.0 |
| 75.0 | 286,851 | 7,243,794 | 7,243,794 | 717,885 | 5.8 |
| 62.5 | 278,252 | 6,036,495 | 6,036,495 | 656,624 | 13.8 |
| 50.0 | 258,053 | 4,829,196 | 4,829,196 | 565,379 | 25.8 |
| Max Labor Availability (Person-d/Season) | Max Water Availability (m3/Season) | Max Labor Requirement (Person-d/season) | Max Water Requirement (m3/Season) | Risk (%) | Profit (M CLP) |
|---|---|---|---|---|---|
| 301,869 | 9,658,391 | 240,880 | 9,648,769 | 52 | 719,070 |
| Water Availability (%) | Avg Labor Requirement (Person-d/Season) | Avg Water Requirement (m3/Season) | Profit (M CLP) | Reduction in Profits (%) |
|---|---|---|---|---|
| 100.0 | 228,810 | 9,009,919 | $719,070 | 0.0 |
| 92.5 | 228,810 | 8,872,055 | $717,917 | 0.2 |
| 85.0 | 228,810 | 8,209,633 | $708,961 | 1.4 |
| 77.5 | 228,810 | 7,485,253 | $690,910 | 3.9 |
| 70.0 | 228,810 | 6,760,874 | $662,853 | 7.8 |
Disclaimer/Publisher’s Note: The statements, opinions and data contained in all publications are solely those of the individual author(s) and contributor(s) and not of MDPI and/or the editor(s). MDPI and/or the editor(s) disclaim responsibility for any injury to people or property resulting from any ideas, methods, instructions or products referred to in the content. |
© 2024 by the authors. Licensee MDPI, Basel, Switzerland. This article is an open access article distributed under the terms and conditions of the Creative Commons Attribution (CC BY) license (https://creativecommons.org/licenses/by/4.0/).
Share and Cite
Quezada, L.; Holzapfel, E.; Kuschel-Otárola, M.; Lillo-Saavedra, M.; Rivera, D.; Souto, C.; Lagos, O.; Palma, D. Optimization of Water and Land Allocation in Fruit Orchards over a 20-Year Period. Water 2025, 17, 8. https://doi.org/10.3390/w17010008
Quezada L, Holzapfel E, Kuschel-Otárola M, Lillo-Saavedra M, Rivera D, Souto C, Lagos O, Palma D. Optimization of Water and Land Allocation in Fruit Orchards over a 20-Year Period. Water. 2025; 17(1):8. https://doi.org/10.3390/w17010008
Chicago/Turabian StyleQuezada, Luciano, Eduardo Holzapfel, Mathias Kuschel-Otárola, Mario Lillo-Saavedra, Diego Rivera, Camilo Souto, Octavio Lagos, and Diego Palma. 2025. "Optimization of Water and Land Allocation in Fruit Orchards over a 20-Year Period" Water 17, no. 1: 8. https://doi.org/10.3390/w17010008
APA StyleQuezada, L., Holzapfel, E., Kuschel-Otárola, M., Lillo-Saavedra, M., Rivera, D., Souto, C., Lagos, O., & Palma, D. (2025). Optimization of Water and Land Allocation in Fruit Orchards over a 20-Year Period. Water, 17(1), 8. https://doi.org/10.3390/w17010008

