Impacts of Biochar Pyrolysis Temperature, Particle Size, and Application Rate on Water Retention of Loess in the Semiarid Region
Abstract
1. Introduction
2. Materials and Methods
2.1. Soil Sampling
2.2. Biochar Preparation
2.3. Biochar Properties
2.3.1. Characterization of Biochars
2.3.2. Water Absorption and Retention Capacity of Biochars
2.4. Greenhouse Incubation Experiment
2.5. Soil Water Retention Parameters
2.6. Statistical Analysis
3. Results and Discussion
3.1. Physicochemical Characteristics of Biochars
3.2. Water Absorption and Retention Capacity
3.3. Performance of Cucumber Growth and Soil by Biochar Application
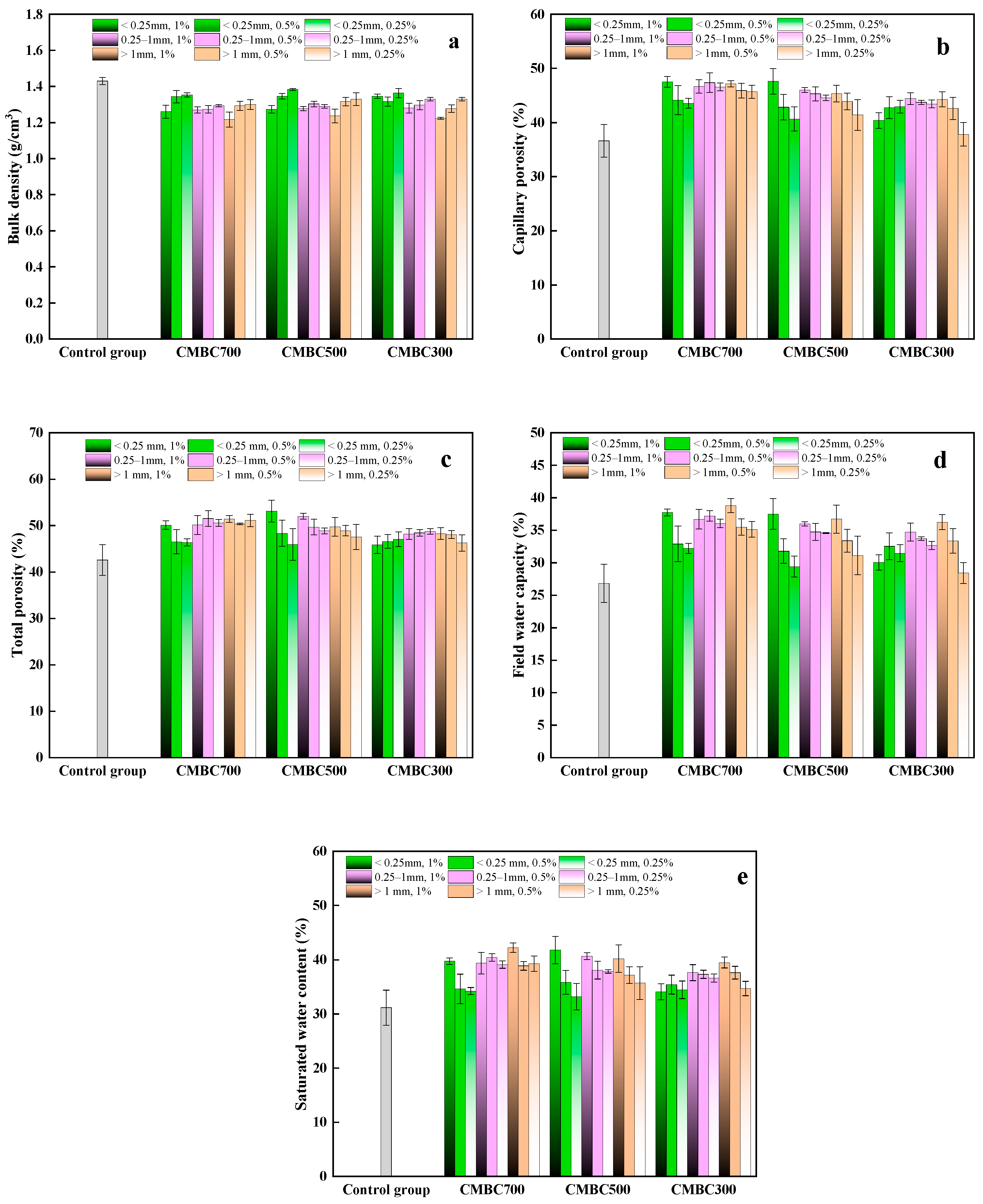
3.3.1. Soil Properties
3.3.2. Growth and Physiological Properties of Plants
3.4. Correlations Between Biochar Properties, Soil Water Retention, and Plant Growth Performance
3.5. Possible Water Retention Mechanism
4. Conclusions
Author Contributions
Funding
Data Availability Statement
Conflicts of Interest
References
- Ge, J.; Pitman, A.J.; Guo, W.D.; Zan, B.L.; Fu, C.B. Impact of revegetation of the Loess Plateau of China on the regional growing season water balance. Hydrol. Earth Syst. Sci. 2020, 24, 515–533. [Google Scholar] [CrossRef]
- He, M.; Wang, Y.; Wang, L.; Li, R. Spatio-temporal variability of multi-layer soil water at a hillslope scale in the critical zone of the Chinese Loess Plateau. Hydrol. Process. 2020, 34, 4473–4486. [Google Scholar] [CrossRef]
- Tian, P.; Tian, X.J.; Geng, R.; Zhao, G.; Yang, L.; Mu, X.; Gao, P.; Sun, W.; Liu, Y. Response of soil erosion to vegetation restoration and terracing on the Loess Plateau. Catena 2023, 227, 107103. [Google Scholar] [CrossRef]
- Zheng, H.; Li, X.; Deng, Y.; Hao, Z.; Wen, F. Study on the influence of initial state on loess erosion characteristics and microscopic mechanism. Sustainability 2023, 15, 4676. [Google Scholar] [CrossRef]
- Alghamdi, A.G.; Alkhasha, A.; Ibrahim, H.M. Effect of biochar particle size on water retention and availability in a sandy loam soil. J. Saudi Chem. Soc. 2020, 24, 1042–1050. [Google Scholar] [CrossRef]
- Ndede, E.O.; Kurebito, S.; Idowu, O.; Tokunari, T.; Jindo, K. The potential of biochar to enhance the water retention properties of sandy agricultural soils. Agronomy 2022, 12, 311. [Google Scholar] [CrossRef]
- Yang, T.; Xing, X.; Gao, Y.; Ma, X. An environmentally friendly soil amendment for enhancing soil water availability in drought-prone soils. Agronomy 2022, 12, 133. [Google Scholar] [CrossRef]
- Siedt, M.; Schaffer, A.; Smith, K.E.C.; Nabel, M.; Ross-Nickoll, M.; van Dongen, J.T. Comparing straw, compost, and biochar regarding their suitability as agricultural soil amendments to affect soil structure, nutrient leaching, microbial communities, and the fate of pesticides. Sci. Total Environ. 2021, 751, 141607. [Google Scholar] [CrossRef]
- Joseph, S.; Pow, D.; Dawson, K.; Rust, J.; Munroe, P.; Taherymoosavi, S.; Mitchell, D.R.G.; Robb, S.; Solaiman, Z.M. Biochar increases soil organic carbon, avocado yields and economic return over 4 years of cultivation. Sci. Total Environ. 2020, 724, 138153. [Google Scholar] [CrossRef]
- Hossain, M.Z.; Bahar, M.M.; Sarkar, B.; Donne, S.W.; Ok, Y.S.; Palansooriya, K.N.; Kirkham, M.B.; Chowdhury, S.; Bolan, N. Biochar and its importance on nutrient dynamics in soil and plant. Biochar 2020, 2, 379–420. [Google Scholar] [CrossRef]
- Nath, H.; Sarkar, B.; Mitra, S.; Bhaladhare, S. Biochar from Biomass: A review on biochar preparation its modification and impact on soil including soil microbiology. Geomicrobiol. J. 2022, 39, 373–388. [Google Scholar] [CrossRef]
- Lebrun, M.; Boucek, J.; Bimova, K.B.; Kraus, K.; Haisel, D.; Kulhanek, M.; Omara-Ojungu, C.; Seyedsadr, S.; Beesley, L.; Soudek, P.; et al. Biochar in manure can suppress water stress of sugar beet (Beta vulgaris) and increase sucrose content in tubers. Sci. Total Environ. 2022, 814, 152772. [Google Scholar] [CrossRef] [PubMed]
- Razzaghi, F.; Obour, P.B.; Arthur, E. Does biochar improve soil water retention? A systematic review and meta-analysis. Geoderma 2020, 361, 114055. [Google Scholar] [CrossRef]
- Shackley, S.; Hammond, J.; Gaunt, J.; Ibarrola, R. The feasibility and costs of biochar deployment in the UK. Carbon Manag. 2011, 2, 335–356. [Google Scholar] [CrossRef]
- Singh, H.; Northup, B.K.; Rice, C.W.; Prasad, P.V.V. Biochar applications influence soil physicochemical properties, microbial diversity, and crop productivity: A meta-analysis. Biochar 2022, 4, 8. [Google Scholar] [CrossRef]
- Zhang, Q.; Song, Y.; Wu, Z.; Yan, X.; Gunina, A.; Kuzyakov, Y.; Xiong, Z. Effects of six-year biochar amendment on soil aggregation, crop growth, and nitrogen and phosphorus use efficiencies in a rice-wheat rotation. J. Clean. Prod. 2020, 242, 118435. [Google Scholar] [CrossRef]
- Adhikaria, S.; Timmsa, W.; Parvez Mahmud, M.A. Optimising water holding capacity and hydrophobicity of biochar for soil amendment—A review. Sci. Total Environ. 2022, 851, 158043. [Google Scholar] [CrossRef]
- Ojeda, G.; Mattana, S.; Àvila, A.; Alcañiz, J.M.; Volkmann, M.; Bachmann, J. Are soil–water functions affected by biochar application? Geoderma 2015, 249–250, 1–11. [Google Scholar] [CrossRef]
- Rabbi, S.M.F.; Minasny, B.; Salami, S.T.; McBratney, A.B.; Young, I.M. Greater, but not necessarily better: The influence of biochar on soil hydraulic properties. Eur. J. Soil Sci. 2021, 72, 2033–2048. [Google Scholar] [CrossRef]
- Li, Y.; Zhang, F.; Yang, M.; Zhang, J.; Xie, Y. Impacts of biochar application rates and particle sizes on runoff and soil loss in small cultivated loess plots under simulated rainfall. Sci. Total Environ. 2019, 649, 1403–1413. [Google Scholar] [CrossRef]
- Jin, Z.; Chen, C.; Chen, X.; Jiang, F.; Hopkins, I.; Zhang, X.; Han, Z.; Billy, G.; Benavides, J. Soil acidity, available phosphorus content, and optimal biochar and nitrogen fertilizer application rates: A five-year field trial in upland red soil, China. Field Crop Res. 2019, 232, 77–87. [Google Scholar] [CrossRef]
- Edeh, I.G.; Masek, O.; Buss, W. A meta-analysis on biochar’s effects on soil water properties—New insights and future research challenges. Sci. Total Environ. 2020, 714, 136857. [Google Scholar] [CrossRef] [PubMed]
- Omondi, M.O.; Xia, X.; Nahayo, A.; Liu, X.; Korai, P.K.; Pan, G. Quantification of biochar effects on soil hydrological properties using meta-analysis of literature data. Geoderma 2016, 274, 28–34. [Google Scholar] [CrossRef]
- Antonangelo, J.A.; Zhang, H.; Sun, X.; Kumar, A. Physicochemical properties and morphology of biochars as affected by feedstock sources and pyrolysis temperatures. Biochar 2019, 1, 325–336. [Google Scholar] [CrossRef]
- Ippolito, J.A.; Cui, L.; Kammann, C.; Wrage-Mönnig, N.; Estavillo, J.M.; Fuertes-Mendizabal, T.; Cayuela, M.L.; Sigua, G.; Novak, J.; Spokas, K.; et al. Feedstock choice, pyrolysis temperature and type influence biochar characteristics: A comprehensive meta-data analysis review. Biochar 2020, 2, 421–438. [Google Scholar] [CrossRef]
- Parkinson, J.A.; Allen, S.E. A wet oxidation procedure suitable for the determination of nitrogen and mineral nutrients in biological material. Commun. Soil Sci. Plant Anal. 2008, 6, 1–11. [Google Scholar] [CrossRef]
- Li, H.; Tan, Z. Preparation of high water-retaining biochar and its mechanism of alleviating drought stress in the soil and plant system. Biochar 2021, 3, 579–590. [Google Scholar] [CrossRef]
- Torchia, D.F.d.; Zonta, E.; de Andrade, A.M.; García, A.C. Production and characterization of biochar obtained from different biomass and pyrolysis temperature. Braz. J. Chem. Eng. 2021, 39, 415–427. [Google Scholar] [CrossRef]
- Zhang, X.; Zhang, P.; Yuan, X.; Li, Y.; Han, L. Effect of pyrolysis temperature and correlation analysis on the yield and physicochemical properties of crop residue biochar. Bioresour. Technol. 2020, 296, 122318. [Google Scholar] [CrossRef]
- Wiersma, W.; van der Ploeg, M.J.; Sauren, I.J.M.H.; Stoof, C.R. No effect of pyrolysis temperature and feedstock type on hydraulic properties of biochar and amended sandy soil. Geoderma 2020, 364, 114209. [Google Scholar] [CrossRef]
- Yang, C.; Liu, J.; Lu, S. Pyrolysis temperature affects pore characteristics of rice straw and canola stalk biochars and biochar-amended soils. Geoderma 2021, 397, 115097. [Google Scholar] [CrossRef]
- Huang, H.; Reddy, N.G.; Huang, X.; Chen, P.; Wang, P.; Zhang, Y.; Huang, Y.; Lin, P.; Garg, A. Effects of pyrolysis temperature, feedstock type and compaction on water retention of biochar amended soil. Sci. Rep. 2021, 11, 7419. [Google Scholar] [CrossRef] [PubMed]
- Liu, Z.; Dugan, B.; Masiello, C.A.; Gonnermann, H.M. Biochar particle size, shape, and porosity act together to influence soil water properties. PLoS ONE 2017, 12, 0179079. [Google Scholar] [CrossRef] [PubMed]
- Li, L.; Zhang, Y.; Novak, A.; Yang, Y.; Wang, J. Role of biochar in improving sandy soil water retention and resilience to drought. Water 2021, 13, 407. [Google Scholar] [CrossRef]
- Carvalho, M.L.; Moraes, M.T.D.; Cerri, C.E.P.; Cherubin, M.R. Biochar amendment enhances water retention in a tropical sandy soil. Agriculture 2020, 10, 62. [Google Scholar] [CrossRef]
- Zhang, J.; Amonette, J.E.; Flury, M. Effect of biochar and biochar particle size on plant-available water of sand, silt loam, and clay soil. Soil Tillage Res. 2021, 212, 104992. [Google Scholar] [CrossRef]
- Kool, D.; Tong, B.; Tian, Z.; Heitman, J.L.; Sauer, T.J.; Horton, R. Soil water retention and hydraulic conductivity dynamics following tillage. Soil Tillage Res. 2019, 193, 95–100. [Google Scholar] [CrossRef]
- Sun, F.; Lu, S. Biochars improve aggregate stability, water retention, and pore-space properties of clayey soil. J. Plant Nutr. Soil Sci. 2014, 177, 26–33. [Google Scholar] [CrossRef]
- Herath, H.M.S.K.; Camps-Arbestain, M.; Hedley, M. Effect of biochar on soil physical properties in two contrasting soils: An Alfisol and an Andisol. Geoderma 2013, 209–210, 188–197. [Google Scholar] [CrossRef]






| Parameters | Unit | Soil |
|---|---|---|
| pH | / | 8.28 |
| EC | μs·cm−1 | 4890 |
| SOC | g kg−1 | 7.39 |
| Total N | mg kg−1 | 442 |
| Total P | mg kg−1 | 600 |
| Available P | mg kg−1 | 12.0 |
| Total K | % | 2.15 |
| Available K | mg kg−1 | 160 |
| Sand | % | 78 |
| Silt | % | 20 |
| Clay | % | 2 |
| Biochar | CSBC300 | CSBC500 | CSBC700 | |
|---|---|---|---|---|
| Elemental compositions | C% | 68.21 ± 0.44 c | 70.88 ± 0.69 b | 72.24 ± 0.34 a |
| H% | 2.61 ± 0.40 a | 1.90 ± 0.31 b | 1.39 ± 0.18 b | |
| N% | 1.20 ± 0.07 ab | 1.28 ± 0.06 a | 1.18 ± 0.06 ab | |
| O% | 13.65 ± 0.80 a | 9.39 ± 0.94 b | 5.26 ± 0.20 c | |
| Atom ratio | H/C | 0.46 | 0.32 | 0.23 |
| O/C | 0.15 | 0.10 | 0.05 | |
| (O+N)/C | 0.17 | 0.11 | 0.07 | |
| Proximate compositions | Ash% | 14.33 ± 1.43 b | 16.55 ± 2.42 ab | 19.93 ± 1.62 a |
| Volatile matter% | 22.77 ± 0.24 a | 15.16 ± 0.22 b | 6.64 ± 0.24 c | |
| Yield% | 31.97 ± 0.66 a | 28.16 ± 0.74 b | 24.50 ± 0.64 c | |
| pH | 9.54 ± 0.01 c | 9.96 ± 0.03 b | 11.21 ± 0.04 a | |
| Biochar | Particle Size (mm) | SSA (m2·g−1) | TP (cm3·g−1) | MPV (cm3·g−1) | PW (nm) |
|---|---|---|---|---|---|
| CSBC300 | >1 | 2.023 | 0.004 | 0.001 | 8.125 |
| 0.25–1 | 1.937 | 0.005 | 0.001 | 9.444 | |
| <0.25 | 3.802 | 0.008 | 0.001 | 8.584 | |
| CSBC500 | >1 | 1.878 | 0.003 | 0.002 | 6.893 |
| 0.25–1 | 2.310 | 0.006 | 0.001 | 9.806 | |
| <0.25 | 3.902 | 0.009 | 0.001 | 9.679 | |
| CSBC700 | >1 | 2.314 | 0.004 | 0.002 | 7.479 |
| 0.25–1 | 2.122 | 0.005 | 0.002 | 8.366 | |
| <0.25 | 3.009 | 0.007 | 0.002 | 9.950 |
| Biochar | Particle Size(mm) | Curve Regression Equation | R2 |
|---|---|---|---|
| Control group | / | Rt = −22.13t + 102.12 | 0.97 |
| >1 | Rt = −17.24t + 80.28 | 0.95 | |
| CSBC300 | 0.25–1 | Rt = −14.06t + 67.61 | 0.91 |
| <0.25 | Rt = −16.93t + 97.92 | 0.98 | |
| >1 | Rt = −17.13t + 95.52 | 0.99 | |
| CSBC500 | 0.25–1 | Rt = −15.87t + 74.19 | 0.86 |
| <0.25 | Rt = −19.10t + 95.44 | 0.97 | |
| >1 | Rt = −17.80t + 98.55 | 0.91 | |
| CSBC700 | 0.25–1 | Rt = −17.34t + 96.98 | 0.97 |
| <0.25 | Rt = −18.97t + 97.17 | 0.95 |
| Treatment | Particle Size (mm) | Application Rate (%) | Soil Water Content (%) | Fresh Weight per Plant (g) | Dry Weight per Plant (g) |
|---|---|---|---|---|---|
| Control group | / | / | 0.97 ± 0.01 | 0.45 ± 0.12 | 0.03 ± 0.00 |
| CSBC300 | >1 | 0.25% | 1.24 ± 0.03 | 0.85 ± 0.11 | 0.04 ± 0.01 |
| 0.5% | 1.22 ± 0.06 | 0.58 ± 0.06 | 0.04 ± 0.00 | ||
| 1% | 1.17 ± 0.03 | 0.49 ± 0.03 | 0.03 ± 0.00 | ||
| 0.25–1 | 0.25% | 1.32 ± 0.19 | 0.86 ± 0.09 | 0.06 ± 0.01 | |
| 0.5% | 1.15 ± 0.13 | 0.69 ± 0.03 | 0.04 ± 0.00 | ||
| 1% | 1.06 ± 0.03 | 0.53 ± 0.08 | 0.04 ± 0.01 | ||
| <0.25 | 0.25% | 1.37 ± 0.07 | 0.88 ± 0.07 | 0.06 ± 0.01 | |
| 0.5% | 1.20 ± 0.16 | 0.50 ± 0.05 | 0.04 ± 0.02 | ||
| 1% | 1.02 ± 0.06 | 0.49 ± 0.01 | 0.05 ± 0.03 | ||
| CSBC500 | >1 | 0.25% | 1.04 ± 0.09 | 0.61 ± 0.03 | 0.04 ± 0.00 |
| 0.5% | 1.07 ± 0.01 | 0.58 ± 0.15 | 0.04 ± 0.01 | ||
| 1% | 1.02 ± 0.05 | 0.64 ± 0.02 | 0.04 ± 0.00 | ||
| 0.25–1 | 0.25% | 1.10 ± 0.06 | 0.71 ± 0.08 | 0.05 ± 0.01 | |
| 0.5% | 1.09 ± 0.08 | 0.75 ± 0.05 | 0.04 ± 0.01 | ||
| 1% | 1.07 ± 0.06 | 0.53 ± 0.06 | 0.05 ± 0.01 | ||
| <0.25 | 0.25% | 1.14 ± 0.06 | 0.67 ± 0.04 | 0.04 ± 0.01 | |
| 0.5% | 1.05 ± 0.08 | 0.72 ± 0.11 | 0.05 ± 0.01 | ||
| 1% | 1.02 ± 0.07 | 0.62 ± 0.02 | 0.04 ± 0.00 | ||
| CSBC700 | >1 | 0.25% | 1.40 ± 0.07 | 0.72 ± 0.09 | 0.05 ± 0.00 |
| 0.5% | 1.14 ± 0.03 | 0.70 ± 0.02 | 0.04 ± 0.00 | ||
| 1% | 1.09 ± 0.04 | 0.57 ± 0.04 | 0.03 ± 0.00 | ||
| 0.25–1 | 0.25% | 1.25 ± 0.06 | 0.69 ± 0.05 | 0.05 ± 0.00 | |
| 0.5% | 1.17 ± 0.07 | 0.52 ± 0.07 | 0.04 ± 0.00 | ||
| 1% | 1.11 ± 0.05 | 0.61 ± 0.13 | 0.04 ± 0.00 | ||
| <0.25 | 0.25% | 1.42 ± 0.07 | 0.70 ± 0.09 | 0.04 ± 0.01 | |
| 0.5% | 1.09 ± 0.06 | 0.66 ± 0.01 | 0.04 ± 0.00 | ||
| 1% | 1.09 ± 0.08 | 0.67 ± 0.09 | 0.04 ± 0.00 |
Disclaimer/Publisher’s Note: The statements, opinions and data contained in all publications are solely those of the individual author(s) and contributor(s) and not of MDPI and/or the editor(s). MDPI and/or the editor(s) disclaim responsibility for any injury to people or property resulting from any ideas, methods, instructions or products referred to in the content. |
© 2024 by the authors. Licensee MDPI, Basel, Switzerland. This article is an open access article distributed under the terms and conditions of the Creative Commons Attribution (CC BY) license (https://creativecommons.org/licenses/by/4.0/).
Share and Cite
Zhang, P.; Chang, F.; Huo, L.; Yao, Z.; Luo, J. Impacts of Biochar Pyrolysis Temperature, Particle Size, and Application Rate on Water Retention of Loess in the Semiarid Region. Water 2025, 17, 69. https://doi.org/10.3390/w17010069
Zhang P, Chang F, Huo L, Yao Z, Luo J. Impacts of Biochar Pyrolysis Temperature, Particle Size, and Application Rate on Water Retention of Loess in the Semiarid Region. Water. 2025; 17(1):69. https://doi.org/10.3390/w17010069
Chicago/Turabian StyleZhang, Peizhen, Fangling Chang, Lili Huo, Zonglu Yao, and Juan Luo. 2025. "Impacts of Biochar Pyrolysis Temperature, Particle Size, and Application Rate on Water Retention of Loess in the Semiarid Region" Water 17, no. 1: 69. https://doi.org/10.3390/w17010069
APA StyleZhang, P., Chang, F., Huo, L., Yao, Z., & Luo, J. (2025). Impacts of Biochar Pyrolysis Temperature, Particle Size, and Application Rate on Water Retention of Loess in the Semiarid Region. Water, 17(1), 69. https://doi.org/10.3390/w17010069
