Next Article in Journal
Electrocoagulation Process as an Efficient Method for the Treatment of Produced Water Treatment for Possible Recycling and Reuse
Next Article in Special Issue
A Hydraulic Turbine Fault Diagnosis Method Based on Synchrosqueezed Wavelet Transform and SE-ResNet
Previous Article in Journal
The Effects of Data Quality on Deep Learning Performance for Aquatic Insect Identification: Advances for Biomonitoring Studies
Previous Article in Special Issue
A New Procedure for Determining Monthly Reservoir Storage Zones to Ensure Reliable Hourly Hydropower Supply
 
 
Font Type:
Arial Georgia Verdana
Font Size:
Aa Aa Aa
Line Spacing:
Column Width:
Background:
Article

Numerical Simulation Study on Dominant Factors of Surge Hazards in Semi-Submerged Landslides

1
Key Laboratory of Ministry of Education for Geomechanics and Embankment Engineering, Hohai University, Nanjing 210098, China
2
Research Institute of Geotechnical Engineering, Hohai University, Nanjing 210098, China
3
PowerChina Kunming Engineering Co., Ltd., Kunming 650051, China
*
Author to whom correspondence should be addressed.
Water 2025, 17(1), 22; https://doi.org/10.3390/w17010022
Submission received: 7 November 2024 / Revised: 20 December 2024 / Accepted: 23 December 2024 / Published: 25 December 2024
(This article belongs to the Special Issue Research Status of Operation and Management of Hydropower Station)

Abstract

Landslide-generated surge waves are significant natural hazards, posing severe risks to engineering safety. Despite extensive research on the dynamics of landslide-generated waves, studies analyzing controlling factors and their mechanisms remain limited, leaving key influencing processes inadequately understood. This study utilizes computational fluid dynamics (CFD) to perform a numerical simulation of a semi-submerged landslide in a hydropower station reservoir area. The research systematically investigated the effects of key variables, including slide volume, velocity, centroid height, and water depth, on the behavior of semi-submerged landslide-generated surge waves. Results demonstrate a positive correlation of slide volume, velocity, and centroid height with the initial wave height and run-up on the opposing shoreline. However, the impact of water depth reveals a more complex pattern, exhibiting distinct surge characteristics in the near-field and far-field zones. Via correlation and sensitivity analyses, this study elucidated the relationships between these factors and surge dynamics, identifying the primary factors influencing the size of the semi-submerged landslide-generated surge. The findings provide critical insights for predicting and mitigating surge disasters, offering both theoretical foundations and practical application value for landslide disaster prevention and management.

1. Introduction

Landslides represent a significant geological hazard, particularly when they occur near large bodies of water, resulting in surge waves that pose catastrophic risks to communities located along rivers, reservoirs, and coastlines [1,2,3,4]. Since the mid-20th century, landslide-generated surge waves have become increasingly prevalent in reservoir regions. One of the most well-known examples occurred on 9 October 1963, when the left bank of the Vajont Reservoir in northern Italy suddenly destabilized. Approximately 270 million cubic meters of rock and soil were displaced into the reservoir, generating enormous waves that inundated five nearby towns, claiming around 2000 lives. This event is one of the deadliest recorded landslides in European history [5,6,7]. On 12 June 1985, the northern slope of Xintan town in the Xiling Gorge section of the Three Gorges on the Yangtze River became unstable. Approximately 30 million cubic meters of rock and soil slid into the Yangtze River, generating a massive surge wave over 54 m high, resulting in 12 fatalities [8]. On 13 July 2003, a large landslide occurred in Qianjiangping Village, Hubei Province. Over 20 million cubic meters of rock and soil slid down the left bank of the river channel into the Qinggan River below, causing multiple fatalities and displacing thousands of residents. On 20 July 2009, the Huangtian landslide triggered by rainfall in the Xiaowan Reservoir area of southwestern China caused approximately 14 fatalities [9,10]. On 24 June 2015, the Hongyanzi landslide in the Three Gorges Reservoir area generated a landslide surge wave over 5 m high, resulting in two fatalities [11]. On 22 December 2018, a lateral collapse occurred on the southwest side of Indonesia’s Anak Krakatoa (AK) volcano, triggering a tsunami along the nearby coastline and resulting in at least 437 deaths [12].
Landslide-generated surge waves have long been an important research topic with practical significance [13,14,15]. Currently, the main methods for studying landslide-generated surge waves both domestically and internationally include field investigations, theoretical calculations, physical model experiments, and numerical analyses [16,17,18,19]. Physical model experiments are the most intuitive and effective method for studying landslide-generated surge waves. They can be used to determine the mechanisms and influencing factors, as well as to establish empirical equations [8,20,21]. Although physical model experiments can address the computational difficulties of theoretical analysis, their applicability is significantly limited by the complex topography of reservoir channels and the diversity of landslide types. Additionally, model experiments require substantial human and material resources and are subject to unavoidable scale effects [22]. Numerical simulation involves simulating and analyzing landslide wave problems using numerical models, offering advantages such as efficiency, low cost, and strong repeatability. The advancement of numerical methods has provided an important approach for simulating landslide waves. Yeylaghi et al. [23] utilized the incompressible Smoothed Particle Hydrodynamics (ISPH) method to simulate the waves generated by granular landslides, wherein the motion of sliding masses was modeled as non-Newtonian flow. They measured parameters such as landslide displacement, maximum landslide velocity, maximum wave height on the opposite bank, and maximum wave height generated by landslide sliding. Shi et al. [24] proposed a landslide mitigation measure for the Wangjiashan landslide based on removing the landslide volume, and evaluated the feasibility and effectiveness of the management scheme via numerical simulation. Chen et al. [25] simulated the actual impulse wave disaster near the dam area of the Lianghekou Reservoir by coupling the viscoelastic-plastic model and the RNG turbulence model in FLOW-3D, thereby validating the reliability of the numerical method.
Conducting a specialized study on the controlling factors of semi-submerged landslide-generated surge wave disasters is very important for landslide research. This paper utilized a typical semi-submerged landslide in a reservoir area as the prototype. A three-dimensional numerical model of semi-submerged landslide-generated surge waves was established, and numerical simulations were conducted considering different volumes, maximum sliding velocities, centroid heights, and water depths of the sliding mass. The study investigated the controlling factors of semi-submerged landslide-generated surge wave disasters. Based on the simulation results, a comprehensive parameter analysis of these factors was conducted, offering valuable references for geological disaster risk assessment in reservoir areas. The findings provide meaningful insights and guidance for the study and mitigation of landslide-generated surge waves. They offer effective technical support for disaster prevention and mitigation strategies, while contributing significant theoretical value to the relative field.

2. Methodology

2.1. Numerical Simulation Method of Landslide Surge Wave Based on CFD

The fluid dynamics method is suitable for solving complex fluid motion problems under certain boundary conditions. It approximates the solution of the Navier–Stokes equations through numerical methods, thus obtaining transient three-dimensional flow results of fluids in multiphysics and multiscale fields [26]. The tracking of the free surface primarily uses the Volume of Fluid (VOF) method [27], and VOF computational technology can accurately simulate various physical quantities at the free liquid surface. The Fractional Area Volume Obstacle Representation (FAVOR) meshing technology has the capability to describe complex terrain and can efficiently and accurately solve fluid motion under complex boundary conditions.
In this paper, the numerical simulation of landslide surges was performed using FLOW-3D v11.2. By combining the particle flow model, the Re-Normalization Group (RNG) turbulence model, and the air entrainment (AE) doping model in FLOW-3D, the landslide body was modeled as a particle flow, and the movement of the water body was simulated using the RNG turbulence model, and the waves generated by the impact of the landslide body on the water were modeled as the movement of incompressible viscous fluids [28]. The AE model can simulate the process of air entrainment in free surface flow and predict the volume fraction of air entrainment, which aligns more closely with actual fluid motion.

2.2. Model Validation

To verify the accuracy of the coupling method proposed in this paper, numerical simulation results were compared with physical model test results. The validation model was selected from the water tank experiment at Queen’s University [29]. The dimensions of the water tank were 33.80 m × 2.10 m × 1.21 m, and it consisted of an aerodynamic aluminum release box, with a door that triggered a sliding body to slide down a 6.73 m long aluminum incline when opened. The water depth in the tank model was 0.2 m, and the inclination angles of the sliding surface and climbing surface were 30° and 27°, respectively. The total volume of the landslide body was approximately 0.34 m3, with a density of 1400 kg/m3 and a grain size of 3.85 mm. The geometric and physical parameters in the numerical simulation were the same as those in the physical experiment. Monitoring points were set at x = 2.0, 3.0, 6.0, and 9.0 m from the bottom of the landslide to record wave heights (Figure 1).

2.2.1. Validation of Computational Effectiveness

First, the validation of computational effectiveness was performed by comparing the numerical simulation results with the physical model experiment results. It was found that the waveforms were generally consistent during propagation, and the numerical simulation reproduced the entire process of the physical experiment, as shown in Figure 2.

2.2.2. Validation of Computational Accuracy

Subsequently, the validation of computational accuracy was performed. The time series for each wave height measurement point is shown in Figure 3. The data were adjusted so that the maximum wave height arrived at the measurement point at t = 0 s. The data are shown in Figure 3. By comparing the wave curves of the physical model experiment and the numerical simulation, it was found that the waveforms were generally consistent, especially with a high degree of agreement in the maximum initial wave height, with the error within an acceptable range.
Through a comparative analysis from the perspectives of accuracy and effectiveness of the numerical simulation results, it was found that the surge motion patterns of the numerical simulation and physical model test were generally consistent. The time of peak wave occurrence in the numerical simulation closely matched that of the physical model experiment, and the results were largely consistent with the experiment. The numerical simulation based on computational fluid dynamics demonstrated high accuracy in simulating the generation and propagation of landslide-induced surges. Therefore, this coupled numerical simulation method is reasonably applicable for studying the propagation process of landslide surges.

2.3. Establishment of Numerical Model

The boundary conditions of the numerical model had to be based on the actual physical model. At the initial time step, the water surface was set to a calm, normal surface. To improve the rationality of these parameter settings, we provide a detailed explanation of the sources of the parameters; the standard atmospheric pressure boundary was based on laboratory measurements and literature data. Using wave theory and fluid dynamics principles, the continuous energy transfer of waves was simulated using symmetric boundaries. The outflow boundary adopted commonly used numerical simulation methods to reduce boundary reflections, while the wall boundary was based on actual terrain and hydrodynamic characteristics. The selection of these parameters strictly followed the on-site engineering geological conditions.
The smaller the grid size, the more refined the calculation results, but the computation time will also significantly increase. Therefore, it was necessary to find the optimal balance between computational accuracy and time cost. The rationality of the grid was also influenced by the boundary and initial conditions. Based on these considerations, multiple simulations were conducted with different grid sizes to ensure accuracy without significantly increasing time costs. The total number of grid cells was 14.46 million.
The semi-submerged landslide was located upstream of the hydropower station reservoir area, at the confluence of the Jinsha River and the Xiaojiang River. The landslide had a triangular shape in plan, with a height difference of about 400 m between the front and back edges. It was 800 m long and 90 to 500 m wide, with a total area of approximately 23.5 × 104 m2 and a total volume of about 611 × 104 m3. The landslide deposits mainly consisted of gravel mixed with soil, silty gravel, and gravel containing clay. The underlying bedrock consisted of Ordovician, Devonian, and Carboniferous limestone, dolomite, quartz sandstone interbedded with siltstone, mudstone, and shale.
Based on the engineering geological contour topographic data, NURBS surface 3D technology was used for three-dimensional terrain modeling [30]. The model was approximately 9.7 km long, 7.6 km wide, and 0.74 km high. The units of the model were standardized to the international system of units (SI). At 20 °C, the density of water was 998.2 kg/m3, and the dynamic viscosity was 0.001 kg/m/s. The particle size of the sliding material was d = 0.05 m, and the average internal friction angle of the particles was Φ = 36°. Based on engineering practice, after the landslide slid down, the deformation mainly occurred in the gravel mixture soil, and the possibility of the slide completely disintegrating into debris was relatively low. Therefore, in this experiment, the granular body was used to simulate the landslide body. After conducting on-site field inspections, it was found that in physical experiments, the landslide body was simulated using gravel-sized pebbles. The four sizes of pebbles (0 to 0.5 cm, 0.5 to 2 cm, 2 to 6 cm, and 6 to 20 cm) were mixed in a ratio of 1:1.5:1.25:1 to obtain a landslide material with an average grain size of about 0.05 m and a density of approximately 2260 kg per cubic meter, which corresponds to the granular characteristics of actual landslides. Therefore, the calculation parameters in numerical simulations are consistent with the actual experimental results [31]. The density of the particle material was set to 2260 kg/m3, the global ventilation coefficient was set to 0.02, and the particle collision restitution coefficient was set to 0.5. The completed three-dimensional terrain model was saved as an STL file (Figure 4a), with the mesh configuration and boundary conditions shown in Figure 4b, which defines the main sliding direction of the landslide along section A-A’. Calculation parameters are shown in Table 1.

2.4. Design of Numerical Simulation Scheme

To achieve the objectives of this study, the scheme outlined in Table 2 was designed. In this scheme, the volume of the sliding mass, sliding velocity, water depth, and centroid height (relative to the bottom of the landslide) were independent variables. The contact between the slider and the sliding surface simulated real terrain contact behavior. The slider moved in its natural state, with different slider velocities controlled by defining the energy exchange coefficients between the water body and the slider, thus enabling the study of a single velocity variable. For different slide volumes, the study of a single volume variable was achieved by cutting the landslide body according to different height gradients in the 3D modeling software Rhino 7. Landslide velocities typically exhibit spatial variability on the sliding surface due to factors such as surface roughness, material heterogeneity, and external forces. In the 3D numerical modeling in this paper, we simplified this aspect by assuming that the sliding velocity was constant in each scenario, representing the maximum sliding velocity of the sliding object. The numerical simulations were performed using the control variable method, with a total of 16 different measurement points, numbered W1 to W16. Ten monitoring points, numbered H1 to H10, were set up in the wave generation area of the reservoir channel and the potentially affected residential areas to collect water level changes at each point in the channel. H1 and H2 were located in the wave generation area, and H3 to H10 were located in the residential areas. The layout of the three-dimensional numerical model and the monitoring points is shown in Figure 4.

3. Semi-Submerged Landslide Movement Process and Wave Generation

Figure 5a illustrates the entire movement process of the semi-submerged landslide, from the onset of sliding to complete submersion, under the normal reservoir water level of 825 m, as well as the velocity changes of the sliding mass and the reservoir water surface. At t = 2 s, the sliding began to enter the water, triggering the generation of waves. As the volume and velocity of the sliding mass entering the water increased, a trend emerged that pushed the water forward, resulting in an increase in the movement speed of both the sliding mass and the affected water body, with the landslide waves propagating in a circular pattern. At t = 20 s, the sliding mass had completely entered the reservoir channel, generating a shock wave around the sliding mass with a velocity of approximately 10–20 m/s.
Under the impact of the sliding mass, the initially stationary portion of the water was displaced, ultimately forming a concave cavity at the point of landslide entry. The displaced water primarily moved along the main sliding direction and to both sides of the sliding mass, forming a large semicircular wave in front of the entry point, with the maximum wave height located at the center and smaller heights at the edges. The wave then ascended toward the opposite bank after developing in the generation area (Figure 5a,c). The movement of the water resulted in the formation of an initial wave peak (Figure 5b). After the initial wave peak was generated, the waves propagated from the generation area toward both upstream and downstream areas of the reservoir channel. As the sliding mass continued to descend into the water, a concave cavity formed around the impact zone due to the resistance of the sliding mass, which is referred to as the initial wave trough. The dynamic evolution of the waves in Figure 5a and the surge propagation process along section A-A’ in Figure 5c visually illustrate this process. When the water level in the impact pit dropped to its lowest point, the surrounding water pressure caused the water to rise vertically under the driving force of gravitational restoring force, flowing into the concave cavity and evolving into a second series of waves. Due to the short-term movement of the sliding mass, the generated waves were confined to the surrounding area where the landslide began. As the mechanical energy of the sliding mass was gradually converted into the mechanical energy of the water, the waves began to diffuse further. Figure 5b shows that the waves generated by the semi-submerged landslide reached the XBL residential area at t = 52 s, with maximum wave heights at measurement points H5, H6, and H7 being 7.25 m, 6.31 m, and 4.88 m, respectively, posing a potential threat to the XBL residential area.

4. Impact of Controlling Factors on Surge Wave Characteristics

4.1. Impact of Sliding Velocity on Surge Wave Characteristics

Conditions with the same sliding mass volume and reservoir water level but varying sliding velocities were selected to study the impact of sliding velocity changes on surge wave characteristics. Figure 6 shows the wave variation curves in the surge generation area under conditions W1 to W6. Figure 6a presents the wave height variation curves at measurement point H1 under conditions W1 to W6. As shown in Figure 6a, the height of the initial wave increased with increasing sliding velocity. At the same water depth and under identical volume conditions, the uplifting effect and frictional effect of the sliding mass on the water body were nearly equivalent. However, as the sliding velocity increased, the impact and squeezing effects on the water body become more pronounced, leading to an increase in the initial wave height and an earlier arrival time. The individual water level fluctuation curves in Figure 6a show that a significant initial surge wave formed, with the height of the initial wave being the maximum wave height.
The run-up height of the surge wave is also a critical evaluation indicator for assessing the impact of landslide-generated surge waves. Figure 6b shows the variation curves of the run-up height on the opposite bank at measurement point H2 under conditions W1 to W6. As shown in Figure 6b, the variation in run-up height on the opposite bank followed the same trend as the initial wave height at measurement point H1. As the sliding velocity of the mass increased, the run-up height on the opposite bank also gradually increased. However, the impact of sliding velocity on the initial wave height and the run-up height on the opposite bank differed. The attenuation rate of the surge wave at measurement point H1 was greater than that at measurement point H2, because the wave impacted the opposite bank at H2, generating reflected waves. The increase in sliding velocity accelerated the superposition and collision of the waves, thereby dissipating wave energy.
From the waveform diagram, it can be observed that changing the sliding velocity of the mass did not significantly alter the overall shape of the waveforms at measurement points H1 and H2. When the sliding velocity was high, the initial wave was tall and narrow. As the sliding velocity decreased, the initial wave became shorter and broader.
Figure 7 shows the variation in initial wave height across each residential area under conditions W1 to W6. As observed in Figure 7, the initial wave height in each residential area increased with the sliding velocity of the mass. This is because a higher sliding velocity of the landslide body results in greater kinetic energy, which transfers more energy to the water body. Consequently, the higher the initial surge wave generated, the greater the wave height propagated to each residential area. However, the impact of sliding velocity varied across different residential points. As the distance from the disturbance point increased, the rate of increase in initial wave height across the residential areas gradually diminished.

4.2. Impact of Landslide Volume on Surge Wave Characteristics

Conditions with the same sliding velocity and reservoir water level but varying landslide volumes were selected to study the impact of landslide volume changes on surge wave characteristics. Figure 8 shows the wave variation curves in the surge generation area under conditions W6 to W11. Figure 8a displays the wave height variation curves at measurement point H1 under these conditions. As shown in Figure 8a, at the same water depth and sliding velocity, an increase in landslide volume enhanced the uplifting effect of the sliding mass on the water body, thereby transferring more energy to the water. Additionally, as the water-facing area of the sliding mass’s front edge increased, the impact and compression on the water became greater. As a result, the initial wave height increased with the landslide volume. The wave height curves indicated that, under the same velocity and reservoir water level conditions, the initial wave height was positively correlated with landslide volume. Figure 8b shows the variation curves of the run-up height on the opposite bank at measurement point H2 under conditions W6 to W11. As shown in Figure 8b, as the landslide volume increased, the run-up height on the opposite bank also increased, indicating a positive correlation between landslide volume and run-up height. The overall shape of the waveform changed in a manner consistent with the effect of sliding velocity. As the landslide volume increased, the initial wave shape transitioned from tall and slender to short and broad.
Figure 9 shows the variation of initial wave height in each residential area under conditions W6 to W11. As observed in Figure 9, the landslide volume was positively correlated with the initial wave height in each residential area. The initial wave height increased with the increase in sliding mass volume. This is because a larger landslide volume possesses greater potential energy, which is transferred to the water body, resulting in higher initial surge waves and correspondingly greater wave heights propagating to each residential area.

4.3. Impact of Water Depth on Surge Wave Characteristics

Conditions with the same landslide volume and sliding velocity but varying water depths were selected to study the impact of water depth changes on surge wave characteristics. Figure 10 shows the wave variation curves in the surge generation area under conditions W6, and W12 to W16. Figure 10a displays the wave height variation curves at monitoring point H1. As shown in Figure 10a, under the same conditions of landslide volume and sliding velocity, as the reservoir water level decreased, the contact area between the landslide particles and the water decreased, reducing the interfacial friction and increasing the volume uplift effect. This results in a trend of increasing wave height. Figure 10b shows the variation curves of the run-up height on the opposite bank at monitoring point H2 under conditions W6, and W12 to W16. As shown in Figure 10b, as the reservoir water depth decreased, the run-up height on the opposite bank increased. However, for conditions W15 and W16, as the water depth decreased, the initial wave height at monitoring point H2 decreased instead.
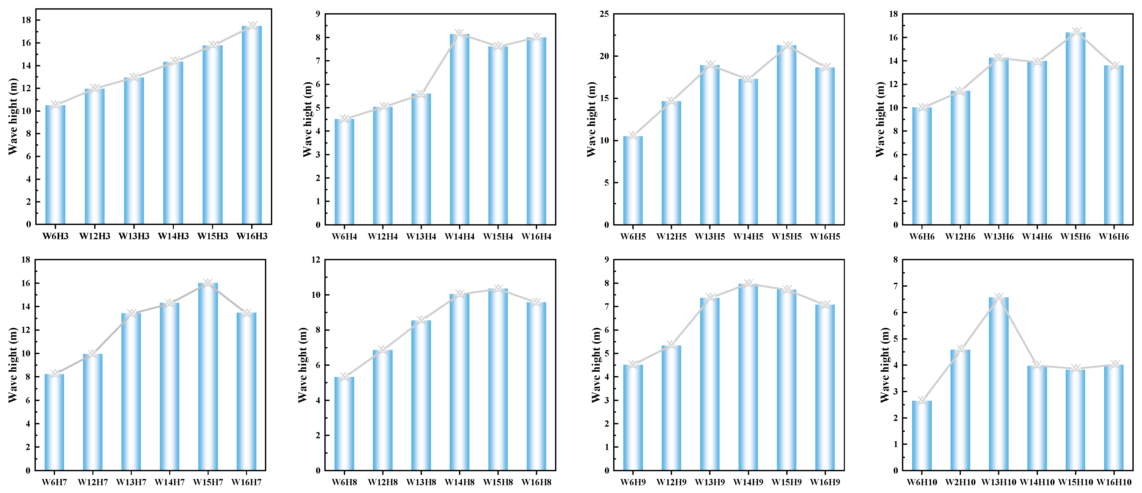
Figure 11 shows the variation of initial wave height in each residential area under conditions W6, and W12 to W16. The impact of reservoir water depth on surge wave characteristics is quite complex. In the near-field area of the surge, the initial wave height gradually increased as the water depth decreased. However, in the far-field area, as the water depth decreased, the increase in initial wave height slowed down and may even have decreased. This phenomenon may be due to the fact that the energy increase caused by the water depth effect is not sufficient to compensate for the decrease in the initial potential energy of the surge wave, leading to a reduction in the initial wave height.

5. Parameter Analysis of Controlling Factors

5.1. Correlation Analysis

Figure 12 presents the results of the regression analysis, showing that the landslide volume, centroid height, and maximum sliding velocity were positively correlated with the initial wave height and the run-up height on the opposite bank. In particular, increases in landslide volume and sliding velocity significantly enhanced both the initial wave height and the run-up height on the opposite bank. These parameters play a crucial role in the generation and propagation of landslide-generated surge waves. Additionally, the increase in centroid height was strongly correlated with both the initial wave height and the run-up height on the opposite bank, which was linked to the concentration of wave energy and its propagation path. The influence of water depth on wave height and run-up height on the opposite bank is more complex. While it generally showed a negative correlation, the impact was relatively small. This may be due to the fact that in deeper water, wave energy is dispersed over a larger volume, reducing wave height. Conversely, in shallower water, wave energy becomes more concentrated, leading to an increase in wave height and run-up height on the opposite bank. The parameters used for the correlation analysis are shown in Table 3.

5.2. Sensitivity Analysis

Correlation analysis helps to identify the relationships between controlling factors and the initial wave height or run-up height on the opposite bank. While a strong correlation between two variables may exist, it is important to note that this does not imply causality—i.e., a change in one variable does not necessarily cause a change in the other. To more accurately assess the impact of the controlling factors of the semi-submerged landslide-generated surge on the initial wave height and run-up height on the opposite bank, a sensitivity analysis of each factor was conducted. This analysis quantitatively examined how variations in individual factors influence the subject of study. The sensitivity coefficient for each factor is calculated and evaluated using the following formula:
β = Δ A Δ F
In the formula, β is the sensitivity coefficient of the research object A to the influencing factor F;  Δ F  represents the change rate of the influencing factor F;  Δ A  represents the corresponding change rate of the research object A when the influencing factor F changes.
The sensitivity analysis results are presented in Table 4. The absolute values of the average sensitivity coefficients were used to assess the sensitivity of each controlling factor to the initial wave height and the run-up height on the opposite bank. The absolute values of the average sensitivity coefficients for sliding velocity, sliding volume, water depth, and sliding centroid height in relation to the initial wave height were 0.36, 1.50, 2.17, and 2.86, respectively. The results show that the sliding centroid height had the most significant impact on the maximum initial wave height, followed by water depth, sliding volume, and sliding velocity. The absolute values of the average sensitivity coefficients for sliding velocity, sliding volume, water depth, and sliding centroid height in relation to the run-up height on the opposite bank were 0.57, 1.37, 2.69, and 2.65, respectively. The analysis indicates that water depth had the most significant impact on the maximum run-up height, followed by sliding centroid height, sliding volume, and sliding velocity.
Through further analysis of the evolution paths of the initial wave height, run-up height on the opposite shore, and their sensitivity coefficients under the influence of various controlling factors on the semi-submerged landslide in three-dimensional space, it was found that the primary controlling factors of the landslide surge were landslide volume, centroid height, and water depth. The influence of landslide velocity on the initial wave height and run-up height was smaller than that of water depth, landslide volume, and centroid height. The average absolute sensitivity coefficients of centroid height and water depth on run-up height were similar, while the average absolute sensitivity coefficient of centroid height on initial wave height was greater than that of water depth. Therefore, the centroid height of the semi-submerged landslide had an overall impact on both the initial wave height and run-up height, making it the most critical controlling factor.

6. Discussion

This study focused on the semi-submerged landslide in the reservoir area as the research object, establishing a three-dimensional numerical model. Using the control variable method, three-dimensional numerical simulations of landslide-generated surge waves were conducted to elucidate the impacts of four key controlling factors—landslide volume, sliding velocity, water depth, and centroid height—on surge wave disasters. Based on the numerical simulation results, correlation and sensitivity analyses were performed on the controlling factor parameters from the perspectives of initial wave height and run-up height on the opposite bank. The primary controlling factors of the semi-submerged landslide-generated surge disaster were ultimately identified, and key research findings were obtained. However, several aspects require further discussion and improvement:
The generation and propagation of semi-submerged landslide surge waves involve complex water-soil interactions and wave dynamics. This paper, however, only conducted single-variable analyses of the control factors, without considering the interaction effects between them. Future research should emphasize the impact of these interaction effects in order to achieve more accurate and efficient risk prevention and control of landslide surges.
This numerical simulation study has certain limitations. Firstly, the accuracy and reliability of the numerical model are influenced by the inherent complexity of geological conditions, which can introduce uncertainties in the results. In practice, geological settings are rarely uniform and can vary greatly in terms of material properties, topography, and structural features. These variations, when not adequately represented in the model, can lead to significant discrepancies between simulated and actual behavior. Furthermore, the discretization of the model through mesh division introduces another source of error. The mesh resolution plays a critical role in determining the model’s precision; finer meshes generally improve accuracy but require more computational resources, whereas coarser meshes may expedite simulations but risk omitting crucial details necessary to capture the full dynamics of the system. Another critical limitation lies in the reliance on fluid mechanics-based numerical simulations, which, while effective in many contexts, have certain constraints when applied to the study of fluid–solid interactions in landslides. The current simulation approach may not fully account for the microscopic failure mechanisms that govern landslide initiation, propagation, and interaction with the surrounding environment. These limitations should be addressed in future research.
The findings of this study provide valuable references for both theoretical studies and practical disaster prevention strategies for landslide-generated surge waves.

7. Conclusions

This study analyzed the numerical simulation results to investigate the effects of four key controlling factors—sliding volume, sliding velocity, water depth, and centroid height—on surge wave disasters. The main conclusions are as follows:
The analysis revealed that sliding centroid height plays a significant role in determining both the initial wave height and the run-up height on the opposite bank, making it the critical factor. It is followed in significance by sliding volume, water depth, and sliding velocity. Given that landslide volume directly influences centroid height, strategies for disaster prevention should focus on reducing landslide volume, while also considering the effects of water depth.
This research provides valuable insights into the practical prevention of landslide-generated surge waves. It enhances our understanding of the factors influencing surge wave hazards and offers practical considerations for risk mitigation in real-world scenarios. The findings provide a foundation for improving engineering practices, particularly in developing and optimizing preventive measures for landslide-generated surge waves.
This study contributes to the management of surge hazards from semi-submerged landslides, with implications for practical engineering applications and further research in the field of natural disaster mitigation.

Author Contributions

Conceptualization, W.X., J.L., Q.H., F.Z., L.T. and C.L.; methodology, W.X., J.L., Q.H., F.Z. and C.L.; software, W.X. and J.L.; formal analysis W.X., J.L. and C.L.; investigation, W.X., F.Z. and Q.H.; writing—original draft preparation, W.X., J.L. and Q.H.; writing—review and editing, W.X. and J.L. All authors have read and agreed to the published version of the manuscript.

Funding

This work was financially supported by the National Natural Science Foundation of China (grant numbers 51939004), Science and Technology Projects of China Power Construction Group Co., Ltd. (DJ-ZDXM-2021-02, DJ-ZDXM-2023-01), and Huaneng Group Science and Technology Project (HNKJ22-H107).

Data Availability Statement

The data that support the findings of this study are available from the corresponding author upon reasonable request.

Conflicts of Interest

Authors Qingfu Huang and Fugang Zhao were employed by the company PowerChina Kunming Engineering Co., Ltd. The remaining authors declare that the research was conducted in the absence of any commercial or financial relationships that could be construed as a potential conflict of interest.

References

  1. Harbitz, C.B.; Glimsdal, S.; Lovholt, F.; Kveldsvik, V.; Pedersen, G.K.; Jensen, A. Rockslide tsunamis in complex fjords: From an unstable rock slope at Akerneset to tsunami risk in western Norway. Coast. Eng. 2014, 88, 101–122. [Google Scholar] [CrossRef]
  2. Froude, M.J.; Petley, D.N. Global fatal landslide occurrence from 2004 to 2016. Nat. Hazards Earth Syst. Sci. 2018, 18, 2161–2181. [Google Scholar] [CrossRef]
  3. Li, C.; Fu, Z.; Wang, Y.; Tang, H.; Yan, J.; Gong, W.; Yao, W.; Criss, R.E. Susceptibility of reservoir-induced landslides and strategies for increasing the slope stability in the Three Gorges Reservoir Area: Zigui Basin as an example. Eng. Geol. 2019, 261, 105279. [Google Scholar] [CrossRef]
  4. Rauter, M.; Viroulet, S.; Gylfadottir, S.S.; Fellin, W.; Lovholt, F. Granular porous landslide tsunami modelling—The 2014 Lake Askja flank collapse. Nat. Commun. 2022, 13, 13. [Google Scholar] [CrossRef] [PubMed]
  5. Panizzo, A.; De Girolamo, P.; Di Risio, M.; Maistri, A.; Petaccia, A. Great landslide events in Italian artificial reservoirs. Nat. Hazards Earth Syst. Sci. 2005, 5, 733–740. [Google Scholar] [CrossRef]
  6. Boon, C.W.; Houlsby, G.T.; Utili, S. New insights into the 1963 Vajont slide using 2D and 3D distinct-element method analyses. Geotechnique 2014, 64, 800–816. [Google Scholar] [CrossRef]
  7. Wolter, A.; Stead, D.; Ward, B.C.; Clague, J.J.; Ghirotti, M. Engineering geomorphological characterisation of the Vajont Slide, Italy, and a new interpretation of the chronology and evolution of the landslide. Landslides 2016, 13, 1067–1081. [Google Scholar] [CrossRef]
  8. Huang, B.; Wang, S.C.; Zhao, Y.B. Impulse waves in reservoirs generated by landslides into shallow water. Coast. Eng. 2017, 123, 52–61. [Google Scholar] [CrossRef]
  9. Huang, C.; Hu, C.; An, Y.; Shi, C.Q.; Feng, C.; Wang, H.N.; Liu, Q.Q.; Wang, X.L. Numerical Simulation of the Large-Scale Huangtian (China) Landslide-Generated Impulse Waves by a GPU-Accelerated Three-Dimensional Soil-Water Coupled SPH Model. Water Resour. Res. 2023, 59, 21. [Google Scholar] [CrossRef]
  10. Xu, W.J.; Wang, Y.J.; Dong, X.Y. Influence of reservoir water level variations on slope stability and evaluation of landslide tsunami. Bull. Eng. Geol. Environ. 2021, 80, 4891–4907. [Google Scholar] [CrossRef]
  11. Xiao, L.L.; Wang, J.J.; Ward, S.; Chen, L.X. Numerical modeling of the June 24, 2015, Hongyanzi landslide generated impulse waves in Three Gorges Reservoir, China. Landslides 2018, 15, 2385–2398. [Google Scholar] [CrossRef]
  12. Grilli, S.T.; Tappin, D.R.; Carey, S.; Watt, S.F.L.; Ward, S.N.; Grilli, A.R.; Engwell, S.L.; Zhang, C.; Kirby, J.T.; Schambach, L.; et al. Modelling of the tsunami from the December 22, 2018 lateral collapse of Anak Krakatau volcano in the Sunda Straits, Indonesia. Sci. Rep. 2019, 9, 11946. [Google Scholar] [CrossRef] [PubMed]
  13. Panizzo, A.; De Girolamo, P.; Petaccia, A. Forecasting impulse waves generated by subaerial landslides. J. Geophys. Res. Ocean. 2005, 110, 23. [Google Scholar] [CrossRef]
  14. Tang, H.M.; Wasowski, J.; Juang, C.H. Geohazards in the three Gorges Reservoir Area, China Lessons learned from decades of research. Eng. Geol. 2019, 261, 16. [Google Scholar] [CrossRef]
  15. Sassa, S. Landslides and Tsunamis: Multi-Geohazards. Landslides 2023, 20, 1335–1341. [Google Scholar] [CrossRef]
  16. Fritz, H.M.; Hager, W.H.; Minor, H.-E. Near Field Characteristics of Landslide Generated Impulse Waves. J. Waterw. Port. Coast. 2004, 130, 287–302. [Google Scholar] [CrossRef]
  17. Ataie-Ashtiani, B.; Shobeyri, G. Numerical simulation of landslide impulsive waves by incompressible smoothed particle hydrodynamics. Int. J. Numer. Methods Fluids 2008, 56, 209–232. [Google Scholar] [CrossRef]
  18. Evers, F.M.; Hager, W.H.; Boes, R.M. Spatial Impulse Wave Generation and Propagation. J. Waterw. Port. Coast. Ocean. Eng. 2019, 145, 15. [Google Scholar] [CrossRef]
  19. Du, J.; Yin, K.L.; Glade, T.; Woldai, T.; Chai, B.; Xiao, L.L.; Wang, Y. Probabilistic hazard analysis of impulse waves generated by multiple subaerial landslides and its application to Wu Gorge in Three Gorges Reservoir, China. Eng. Geol. 2020, 276, 19. [Google Scholar] [CrossRef]
  20. Bregoli, F.; Bateman, A.; Medina, V. Tsunamis generated by fast granular landslides: 3D experiments and empirical predictors. J. Hydraul. Res. 2018, 56, 583–584. [Google Scholar] [CrossRef]
  21. Heller, V.; Spinneken, J. On the effect of the water body geometry on landslide-tsunamis: Physical insight from laboratory tests and 2D to 3D wave parameter transformation. Coast. Eng. 2015, 104, 113–134. [Google Scholar] [CrossRef]
  22. Heller, V.; Hager, W.H.; Minor, H.-E. Scale effects in subaerial landslide generated impulse waves. Exp. Fluids 2007, 44, 691–703. [Google Scholar] [CrossRef]
  23. Yeylaghi, S.; Moa, B.; Buckham, B.; Oshkai, P.; Vasquez, J.; Crawford, C. ISPH modelling of landslide generated waves for rigid and deformable slides in Newtonian and non-Newtonian reservoir fluids. Adv. Water Resour. 2017, 107, 212–232. [Google Scholar] [CrossRef]
  24. Shi, A.; Lei, J.; Tian, L.; Lyu, C.; Mao, P.; Wang, S. Numerical simulation on the prevention and control of landslide-induced wave disasters in Wangjiashan landslide area of Baihetan reservoir. Eur. J. Environ. Civ. Eng. 2024, 1–15. [Google Scholar] [CrossRef]
  25. Chen, S.; Xu, W.; Zhang, G.; Wang, R.; Yan, L.; Zhang, H.; Wang, H. Numerical simulation of potential impulse waves generated by the Mogu rock landslide at varying water levels in the Lianghekou Reservoir, China. Landslides 2024, 21, 2289–2305. [Google Scholar] [CrossRef]
  26. El Marjani, A.; Ruiz, F.C.; Rodriguez, M.; Santos, M.P. Numerical modelling in wave energy conversion systems. Energy 2008, 33, 1246–1253. [Google Scholar] [CrossRef]
  27. Huang, Y.; Mao, W.; Zheng, H.; Li, G. Computational fluid dynamics modeling of post-liquefaction soil flow using the volume of fluid method. Bull. Eng. Geol. Environ. 2012, 71, 359–366. [Google Scholar] [CrossRef]
  28. Franco, A.; Moernaut, J.; Schneider-Muntau, B.; Strasser, M.; Gems, B. Triggers and consequences of landslide-induced impulse waves–3D dynamic reconstruction of the Taan Fiord 2015 tsunami event. Eng. Geol. 2021, 294, 106384. [Google Scholar] [CrossRef]
  29. Bullard, G.K.; Mulligan, R.P.; Take, W.A. Landslide tsunamis: Exploring momentum transfer to waves generated by a range of materials with different mobility impacting water. Landslides 2023, 20, 2619–2633. [Google Scholar] [CrossRef]
  30. Hsu, M.C.; Kamensky, D.; Xu, F.; Kiendl, J.; Wang, C.L.; Wu, M.C.H.; Mineroff, J.; Reali, A.; Bazilevs, Y.; Sacks, M.S. Dynamic and fluid-structure interaction simulations of bioprosthetic heart valves using parametric design with T-splines and Fung-type material models. Comput. Mech. 2015, 55, 1211–1225. [Google Scholar] [CrossRef] [PubMed]
  31. Shi, A.; Lei, J.; Tian, L.; Lyu, C.; Mao, P.; Xu, W. Benchmarking Physical Model Experiments with Numerical Simulations for the Wangjiashan Landslide-Induced Surge Waves in the Baihetan Reservoir Area. Water 2024, 16, 1930. Available online: https://www.mdpi.com/2073-4441/16/13/1930 (accessed on 8 July 2024). [CrossRef]
Figure 1. Verification of model dimensions and wave height points placement.
Figure 1. Verification of model dimensions and wave height points placement.
Water 17 00022 g001
Figure 2. Comparison between physical experiment recorded images and numerical simulation results. (a) t = 0.156 s; (b) t = 0.268 s; (c) t = 0.362 s; (d) t = 0.547 s; (e) t = 0.784 s; (f) t = 1.01 s.
Figure 2. Comparison between physical experiment recorded images and numerical simulation results. (a) t = 0.156 s; (b) t = 0.268 s; (c) t = 0.362 s; (d) t = 0.547 s; (e) t = 0.784 s; (f) t = 1.01 s.
Water 17 00022 g002
Figure 3. Comparison of wave curves between physical experiment and numerical simulation. (a) Wave height monitoring point at x = 2 m; (b) wave height monitoring point at x = 3 m; (c) wave height monitoring point at x = 6 m; (d) wave height monitoring point at x = 9 m.
Figure 3. Comparison of wave curves between physical experiment and numerical simulation. (a) Wave height monitoring point at x = 2 m; (b) wave height monitoring point at x = 3 m; (c) wave height monitoring point at x = 6 m; (d) wave height monitoring point at x = 9 m.
Water 17 00022 g003
Figure 4. (a) Three-dimensional numerical model of the landslide and layout of monitoring points. (b) Grid division and boundary condition setting.
Figure 4. (a) Three-dimensional numerical model of the landslide and layout of monitoring points. (b) Grid division and boundary condition setting.
Water 17 00022 g004
Figure 5. Semi-submerged landslide movement and surge generation processes. (a) Dynamic evolution process of sliding mass maximum velocity and free water surface at different time sequences. (b) Time series variation curve of free water surface elevation at wave height measurement points. (c) Surge propagation process along section A-A’.
Figure 5. Semi-submerged landslide movement and surge generation processes. (a) Dynamic evolution process of sliding mass maximum velocity and free water surface at different time sequences. (b) Time series variation curve of free water surface elevation at wave height measurement points. (c) Surge propagation process along section A-A’.
Water 17 00022 g005
Figure 6. Wave variation curves in the surge generation area under conditions w1 to w6. (a) Wave height variation curves under conditions w1 to w6. (b) Run−up height variation curves on the opposite bank under conditions w1 to w6.
Figure 6. Wave variation curves in the surge generation area under conditions w1 to w6. (a) Wave height variation curves under conditions w1 to w6. (b) Run−up height variation curves on the opposite bank under conditions w1 to w6.
Water 17 00022 g006
Figure 7. Variation of initial wave height in each residential area under conditions w1 to w6.
Figure 7. Variation of initial wave height in each residential area under conditions w1 to w6.
Water 17 00022 g007
Figure 8. Wave variation curves in the surge generation area under conditions w6 to w11. (a) Wave height variation curves under conditions w6 to w11. (b) Run−up height variation curves on the opposite bank under conditions w6 to w11.
Figure 8. Wave variation curves in the surge generation area under conditions w6 to w11. (a) Wave height variation curves under conditions w6 to w11. (b) Run−up height variation curves on the opposite bank under conditions w6 to w11.
Water 17 00022 g008
Figure 9. Variation of initial wave height in each residential area under conditions w6 to w11.
Figure 9. Variation of initial wave height in each residential area under conditions w6 to w11.
Water 17 00022 g009
Figure 10. Wave variation curves in the surge generation area under conditions w6 to w11. (a) Wave height variation curves under conditions W6, and W12 to W16. (b) Run−up height variation curves on the opposite bank under conditions W6, and W12 to W16.
Figure 10. Wave variation curves in the surge generation area under conditions w6 to w11. (a) Wave height variation curves under conditions W6, and W12 to W16. (b) Run−up height variation curves on the opposite bank under conditions W6, and W12 to W16.
Water 17 00022 g010
Figure 11. Variation of initial wave height in each residential area under conditions W6, and W12 to W16.
Figure 11. Variation of initial wave height in each residential area under conditions W6, and W12 to W16.
Water 17 00022 g011
Figure 12. Regression analysis of landslide surge characteristics and different controlling factors. (a) Regression analysis of surge characteristics and velocity; (b) regression analysis of surge characteristics and volume; (c) regression analysis of surge characteristics and water depth; (d) regression analysis of surge characteristics and centroid height.
Figure 12. Regression analysis of landslide surge characteristics and different controlling factors. (a) Regression analysis of surge characteristics and velocity; (b) regression analysis of surge characteristics and volume; (c) regression analysis of surge characteristics and water depth; (d) regression analysis of surge characteristics and centroid height.
Water 17 00022 g012
Table 1. Main calculation parameters used for the numerical simulations.
Table 1. Main calculation parameters used for the numerical simulations.
Main ParametersUnitValue
Particle densityKg/m32260
Average grain diameterm0.05
Friction angle°36
Angle of repose°26
Fluid densityKg/m3998.2
Fluid viscosityKg/m/s0.001
Global ventilation coefficient0.02
Grain restitution coefficient0.5
Drag coefficient1.0
Mechanical jamming volume fraction0.61
Close packing volume fraction0.63
Loose packing volume fraction0.50
Air entrainment coefficient0.50
Surface roughness0.0007
Table 2. Parameter design of controlling factors for semi-submerged landslide under different conditions.
Table 2. Parameter design of controlling factors for semi-submerged landslide under different conditions.
NumberLandslide VolumeSliding VelocityWater DepthCentroid Height
W16111.12105147
W26113.30105147
W36115.52105147
W46117.11105147
W56118.52105147
W661111.03105147
W754311.03105137
W850211.03105134
W946311.03105129
W1040911.03105122
W1133311.03105113
W1261111.03101147
W1361111.0395147
W1461111.0390147
W1561111.0384147
W1661111.0380147
Table 3. Parameters for correlation analysis of controlling factors.
Table 3. Parameters for correlation analysis of controlling factors.
Control FactorNumberParameters
Values
Initial Wave Heigh (m)Run-Up Height on the Opposite Bank (m)
Velocity (m/s)W11.123.181.31
W23.306.262.45
W35.527.283.68
W47.118.035.46
W58.5210.506.89
W611.0312.949.42
Volume (×104 m3)W661112.949.42
W754310.588.43
W85029.146.84
W94637.815.92
W104096.994.97
W113335.813.37
Water Depth (m)W610512.949.42
W1210114.3410.93
W139515.0711.63
W149016.5612.83
W158417.9714.56
W168020.3012.89
Centroid Height (m)W60.9812.949.42
W70.9110.588.43
W80.899.146.84
W90.867.815.92
W100.816.994.97
W110.745.813.37
Table 4. Sensitivity analysis of landslide surge disaster control parameters on surge wave characteristics.
Table 4. Sensitivity analysis of landslide surge disaster control parameters on surge wave characteristics.
Controlling FactorValueChange RateChange RateSensitivity CoefficientAverage Sensitivity Coefficient
ABABAB
Velocity (m/s)1.12000//0.360.57
3.301.950.970.870.500.45
5.523.931.291.820.330.46
7.115.351.533.180.290.59
8.526.612.304.280.350.65
11.038.853.076.210.350.70
Volume (×104 m3)611000//1.501.37
543−0.11−0.18−0.111.640.95
502−0.18−0.29−0.271.641.53
463−0.24−0.40−0.371.641.53
409−0.33−0.46−0.471.391.43
333−0.45−0.55−0.641.211.41
Water Depth (m)105000//−2.17−2.69
101−0.040.111.51−2.84−4.21
95−0.100.162.21−1.73−2.46
90−0.140.283.41−1.96−2.53
84−0.200.395.14−1.94−2.73
80−0.240.573.47−2.39−1.55
Centroid Height (m)147000//2.862.65
137−0.07−0.18−0.112.681.55
134−0.09−0.29−0.273.323.10
129−0.12−0.40−0.373.243.03
122−0.17−0.46−0.472.702.77
113−0.23−0.55−0.642.382.78
Notes: A refers to the initial wave heigh, B refers to the run-up height on the opposite bank. From the table calculations, it can be seen that the slider center of mass height was the most sensitive to the maximum first wave height, followed in order by water depth, slider volume, and slider velocity. The effect of slip depth on the maximum first wave height of the landslide was the most sensitive, followed by the height of the center of mass of the slide, the volume of the slide, the slide velocity.
Disclaimer/Publisher’s Note: The statements, opinions and data contained in all publications are solely those of the individual author(s) and contributor(s) and not of MDPI and/or the editor(s). MDPI and/or the editor(s) disclaim responsibility for any injury to people or property resulting from any ideas, methods, instructions or products referred to in the content.

Share and Cite

MDPI and ACS Style

Lei, J.; Xu, W.; Huang, Q.; Tian, L.; Zhao, F.; Lyu, C. Numerical Simulation Study on Dominant Factors of Surge Hazards in Semi-Submerged Landslides. Water 2025, 17, 22. https://doi.org/10.3390/w17010022

AMA Style

Lei J, Xu W, Huang Q, Tian L, Zhao F, Lyu C. Numerical Simulation Study on Dominant Factors of Surge Hazards in Semi-Submerged Landslides. Water. 2025; 17(1):22. https://doi.org/10.3390/w17010022

Chicago/Turabian Style

Lei, Jie, Weiya Xu, Qingfu Huang, Lei Tian, Fugang Zhao, and Changhao Lyu. 2025. "Numerical Simulation Study on Dominant Factors of Surge Hazards in Semi-Submerged Landslides" Water 17, no. 1: 22. https://doi.org/10.3390/w17010022

APA Style

Lei, J., Xu, W., Huang, Q., Tian, L., Zhao, F., & Lyu, C. (2025). Numerical Simulation Study on Dominant Factors of Surge Hazards in Semi-Submerged Landslides. Water, 17(1), 22. https://doi.org/10.3390/w17010022

Note that from the first issue of 2016, this journal uses article numbers instead of page numbers. See further details here.

Article Metrics

Back to TopTop