Research Progress on Migratory Water Birds: Indicators of Heavy Metal Pollution in Inland Wetland Resources of Punjab, Pakistan
Abstract
1. Introduction
2. Materials and Methods
2.1. Study Area and Sampling Sites
2.2. Collection and Preparation of Tissues
2.3. Quantification of Heavy Metals in Samples
2.4. Statistical Analysis
2.5. Histopathological Analysis
3. Results
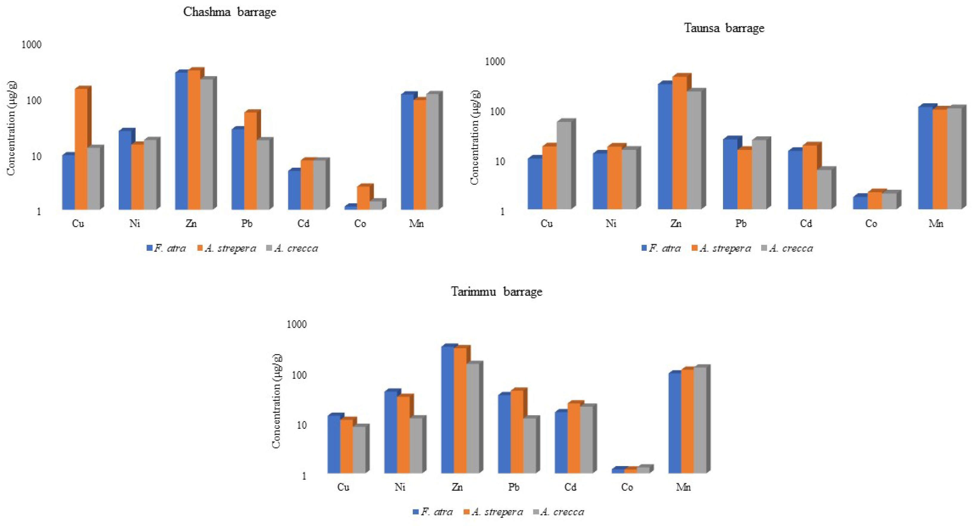
3.1. Comparison of Heavy Metals between Sites
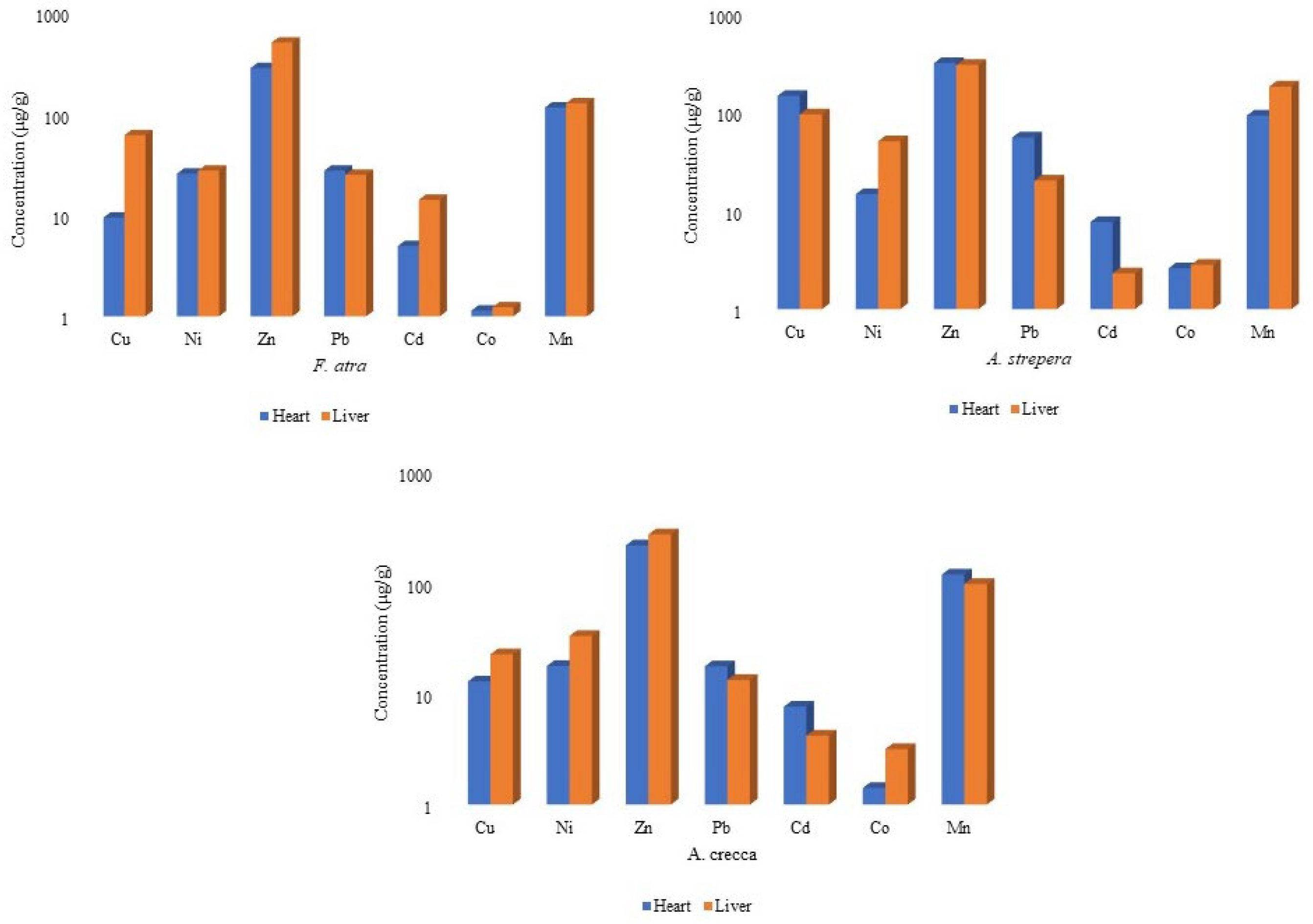
3.2. Comparison of Heavy Metals between Tissues
3.3. Comparison of Heavy Metals between Species
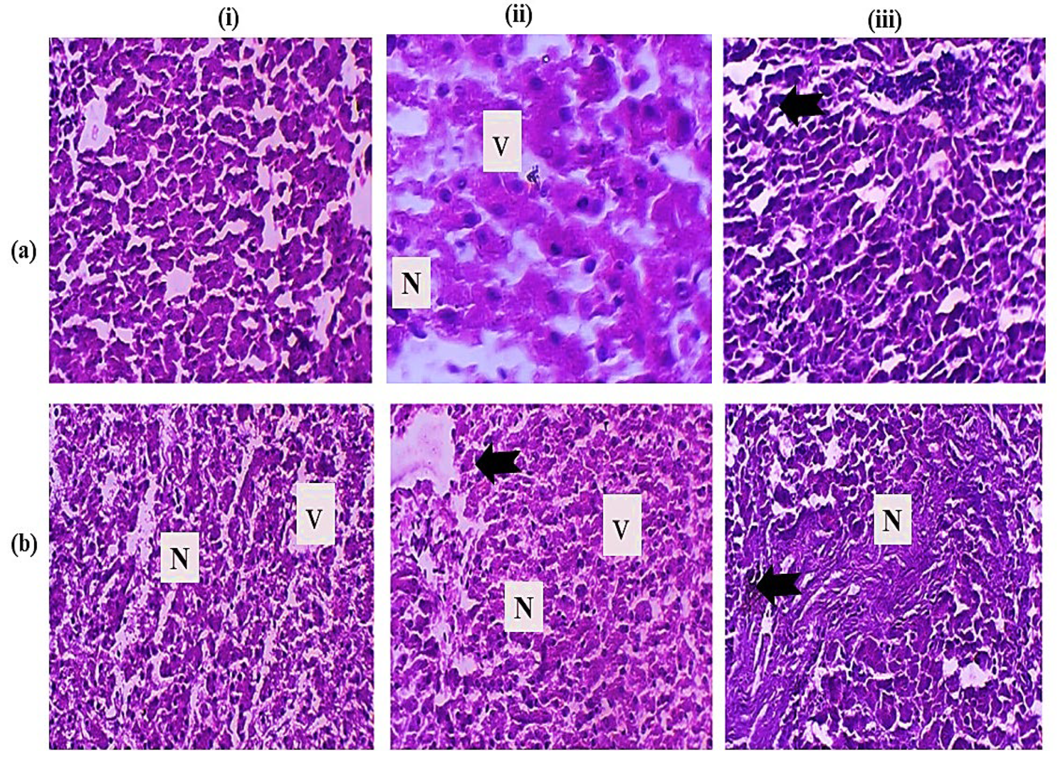
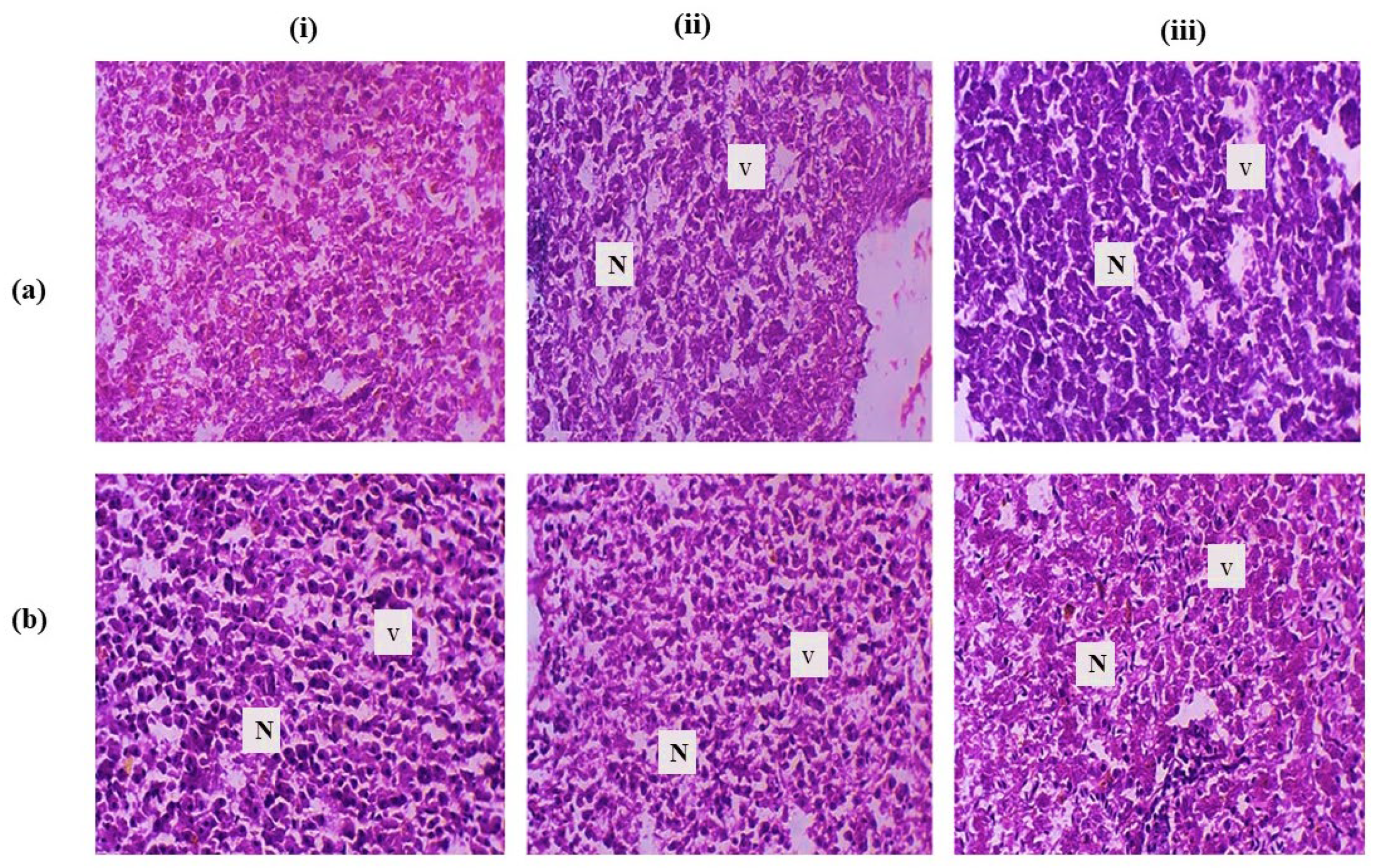
3.4. Histopathological Analysis
3.4.1. Heart
3.4.2. Liver
4. Discussion
4.1. Metal Concentrations in Tissues
4.2. Comparison between Sites
4.3. Comparison between Species
4.4. Histopathology
5. Conclusions
Author Contributions
Funding
Data Availability Statement
Acknowledgments
Conflicts of Interest
References
- Tylmann, W.; Gołębiewski, R.; Woźniak, P.P.; Czarnecka, K. Heavy metals in sediments as evidence for recent pollution and quasi-estuarine processes: An example from Lake Druzno, Poland. Environ. Geol. 2007, 53, 35–46. [Google Scholar] [CrossRef]
- Burger, J.; Diaz-Barriga, F.; Marafante, E.; Pounds, J.; Robson, M. Methodologies to examine the importance of host factors in bioavailability of metals. Ecotoxicol. Environ. Saf. 2003, 56, 20–31. [Google Scholar] [CrossRef]
- Peakall, D.; Burger, J. Methodologies for assessing exposure to metals: Speciation, bioavailability of metals, and ecological host factors. Ecotoxicol. Environ. Saf. 2003, 56, 110–121. [Google Scholar] [CrossRef] [PubMed]
- Spiegel, H. Trace element accumulation in selected bioindicators exposed to emissions along the industrial facilities of Danube Lowland. Turk. J. Chem. 2002, 26, 815–824. [Google Scholar]
- Mahboob, S.; al-Balawi, H.A.; Al-Misned, F.; Ahmad, Z.; Sultana, S. Study on Avian Diversity of Thal Desert (District Jhang), Punjab, Pakistan. Life Sci. 2013, 10, 1–8. [Google Scholar]
- Mahboob, S. Diversity of avifauna of Trimmu barrage, district Jhang, Punjab, Pakistan. Pak. J. Zool. 2009, 41, 43–49. [Google Scholar]
- Zaman, A.; Rafique, A.; Ashraf, A.; Mahmood, M.S.; Nahid, N.; Jabeen, F.; Sultana, S.; Sultana, T.; Ali, S.; Zihad, S.M.; et al. Diversity, Abundance, and Distribution of Avifauna in District Jhang, Pakistan. J. Zool. Syst. Evol. Res. 2022, 2023, 3308651. [Google Scholar] [CrossRef]
- Mahmood-ul-Hassan, M. Population trend of the black coot (Fulica atra) in the Punjab, Pakistan during 1989 through 2008. Pak. J. Zool. 2011, 43, 665–671. [Google Scholar]
- Eka, N.; Retno, S.; Rohman, A. Validation and quantitative analysis of cadmium and lead in snake fruit by flame atomic absorption spectrophotometry. Int. Food Res. J. 2012, 19, 937. [Google Scholar]
- Ruelas-Inzunza, J.; Páez-Osuna, F. Trace metals in tissues of resident and migratory birds from a lagoon associated with an agricultural drainage basin (SE Gulf of California). Arch. Environ. Contam. Toxicol. 2004, 47, 117–125. [Google Scholar] [CrossRef]
- Akoto, O.; Bortey-Sam, N.; Ikenaka, Y.; Nakayama, S.M.; Baidoo, E.; Yohannes, Y.B.; Ishizuka, M. Contamination levels and sources of heavy metals and a metalloid in surface soils in the Kumasi Metropolis, Ghana. J. Health Pollut. 2017, 7, 28–39. [Google Scholar] [CrossRef] [PubMed]
- Lucia, M.; André, J.-M.; Bernadet, M.-D.; Gontier, K.; Gérard, G.; Davail, S. Concentrations of metals (zinc, copper, cadmium, and mercury) in three domestic ducks in France: Pekin, muscovy, and mule ducks. J. Agric. Food Chem. 2008, 56, 281–288. [Google Scholar] [CrossRef] [PubMed]
- Isanhart, J.P.; Wu, H.; Pandher, K.; MacRae, R.K.; Cox, S.B.; Hooper, M.J. Behavioral, clinical, and pathological characterization of acid metalliferous water toxicity in mallards. Arch. Environ. Contam. Toxicol. 2011, 61, 653–667. [Google Scholar] [CrossRef] [PubMed]
- Beyer, W.N.; Dalgarn, J.; Dudding, S.; French, J.B.; Mateo, R.; Miesner, J.; Sileo, L.; Spann, J. Zinc and lead poisoning in wild birds in the Tri-State Mining District (Oklahoma, Kansas, and Missouri). Arch. Environ. Contam. Toxicol. 2004, 48, 108–117. [Google Scholar] [CrossRef] [PubMed]
- Sileo, L.; Nelson Beyer, W.; Mateo, R. Pancreatitis in wild zinc-poisoned waterfowl. Avian Pathol. 2003, 32, 655–660. [Google Scholar] [CrossRef] [PubMed]
- Deng, H.; Zhang, Z.; Chang, C.; Wang, Y. Trace metal concentration in great tit (Parus major) and greenfinch (Carduelis sinica) at the Western Mountains of Beijing, China. Environ. Pollut. 2007, 148, 620–626. [Google Scholar] [CrossRef] [PubMed]
- Fedynich, A.M.; Ballard, B.M.; McBride, T.J.; Estrella, J.A.; Garvon, J.M.; Hooper, M.J. Arsenic, cadmium, copper, lead, and selenium in migrating blue-winged teal (Anas discors L.). Arch. Environ. Contam. Toxicol. 2007, 53, 662–666. [Google Scholar] [CrossRef] [PubMed]
- Mansouri, B.; Majnoni, F. Comparison of the metal concentrations in organs of two bird species from western of Iran. Bull. Environ. Contam. 2014, 92, 433–439. [Google Scholar] [CrossRef] [PubMed]
- Sinkakarimi, M.-H.; Binkowski, L.J.; Hassanpour, M.; Rajaei, G.; Ahmadpour, M.; Levengood, J.M. Metal concentrations in tissues of gadwall and common teal from Miankaleh and Gomishan International wetlands, Iran. Biol. Trace Elem. Res. 2018, 185, 177–184. [Google Scholar] [CrossRef]
- Binkowski, Ł.J. The influence of environmental conditions on lead transfer from spent gunshot to sediments and water: Other routes for Pb poisoning. Chemosphere 2017, 187, 330–337. [Google Scholar] [CrossRef]
- Pain, D. Lead in waterfowl. In Environmental Contaminants in Wildlife: Interpreting Tissue Concentrations; Beyer, W.M., Heinz, G.H., Redman-Norwood, A.W., Eds.; Lewis Publishers: Boca Raton, FL, USA, 1996. [Google Scholar]
- Yohannes, Y.B.; Ikenaka, Y.; Nakayama, S.M.M.; Mizukawa, H.; Ishizuka, M. Trace element contamination in tissues of four bird species from the Rift Valley Region, Ethiopia. Bull. Environ. Contam. Toxicol. 2017, 98, 172–177. [Google Scholar] [CrossRef] [PubMed]
- Ullah, K.; Hashmi, M.Z.; Malik, R.N. Heavy-metal levels in feathers of cattle egret and their surrounding environment: A case of the Punjab Province, Pakistan. Arch. Environ. Contam. Toxicol. 2014, 66, 139–153. [Google Scholar] [CrossRef] [PubMed]
- Kim, J.; Koo, T.-H.; Oh, J.-M. Monitoring of heavy metal contamination using tissues of two Ardeids chicks, Korea. Bull. Environ. Contam. Toxicol. 2010, 84, 754–758. [Google Scholar] [CrossRef] [PubMed]
- Kim, J.; Oh, J.-M. Metal levels in livers of waterfowl from Korea. Ecotoxicol. Environ. Saf. 2012, 78, 162–169. [Google Scholar] [CrossRef] [PubMed]
- Sujak, A.; Wiącek, D.; Jakubas, D.; Komosa, A.; Kitowski, I. Mallards Anas platyrhynchos shot in Eastern Poland: Ecological risk evaluated by analysis of trace elements in liver. Hum. Ecol. Risk Assess. Int. J. 2019, 25, 2116–2132. [Google Scholar] [CrossRef]
- Dauwe, T.; Janssens, E.; Pinxten, R.; Eens, M. The reproductive success and quality of blue tits (Parus caeruleus) in a heavy metal pollution gradient. Environ. Pollut. 2005, 136, 243–251. [Google Scholar] [CrossRef]
- Jabeen, F.; Chaudhry, A.S. Environmental impacts of anthropogenic activities on the mineral uptake in Oreochromis mossambicus from Indus River in Pakistan. Environ. Monit. Assess. 2010, 166, 641–651. [Google Scholar] [CrossRef] [PubMed]
- Lebedeva, N. Accumulation of heavy metals by birds in the southwest of Russia. Russ. J. Ecol. 1997, 28, 41–46. [Google Scholar]
- Van Eeden, P.H. Metal concentrations in selected organs and tissues of five Red-knobbed Coot (Fulica cristata) populations. Water SA 2003, 29, 313–322. [Google Scholar] [CrossRef]
- Carpene, E.; Serra, R.; Isani, G. Heavy metals in some species of waterfowl of northern Italy. J. Wildl. Dis. 1995, 31, 49–56. [Google Scholar] [CrossRef]
- Mateo, R.; Guitart, R. Heavy metals in livers of waterbirds from Spain. Arch. Environ. Contam. Toxicol. 2003, 44, 0398–0404. [Google Scholar] [CrossRef] [PubMed]
- Aloupi, M.; Karagianni, A.; Kazantzidis, S.; Akriotis, T. Heavy metals in liver and brain of waterfowl from the Evros Delta, Greece. Arch. Environ. Contam. Toxicol. 2017, 72, 215–234. [Google Scholar] [CrossRef] [PubMed]
- Cobbina, S.J.; Chen, Y.; Zhou, Z.; Wu, X.; Zhao, T.; Zhang, Z.; Feng, W.; Wang, W.; Li, Q.; Wu, X.; et al. Toxicity assessment due to sub-chronic exposure to individual and mixtures of four toxic heavy metals. J. Hazard. Mater. 2015, 294, 109–120. [Google Scholar] [CrossRef] [PubMed]
- Riaz, M.A.; Nisa, Z.U.; Anjum, M.S.; Butt, H.; Mehmood, A.; Riaz, A.; Akhtar, A.B.T. Assessment of metals induced histopathological and gene expression changes in different organs of non-diabetic and diabetic rats. Sci. Rep. 2020, 10, 5897. [Google Scholar] [CrossRef] [PubMed]
- Xu, L.-H.; Mu, F.-F.; Zhao, J.-H.; He, Q.; Cao, C.-L.; Yang, H.; Liu, Q.; Liu, X.-H.; Sun, S.-J. Lead induces apoptosis and histone hyperacetylation in rat cardiovascular tissues. PLoS ONE 2015, 10, e0129091. [Google Scholar] [CrossRef]
- Jayawardena, U.A.; Angunawela, P.; Wickramasinghe, D.D.; Ratnasooriya, W.D.; Udagama, P.V. Heavy metal–induced toxicity in the Indian green frog: Biochemical and histopathological alterations. Environ. Toxicol. Chem. 2017, 36, 2855–2867. [Google Scholar] [CrossRef]












| Sample | Site | Cu | Ni | Zn | Pb | Cd | Co | Mn |
|---|---|---|---|---|---|---|---|---|
| WHO standards for Pakistan 2004 (mg/L) | 2 | 0.02 | 5 | 2.5 | 0.003 | 0.001 | 0.20 | |
| water (mg/L) | Taunsa barrage | 0.26 ± 0.13 | 0.13 ± 0.039 | 0.297 ± 0.07 | 0.21 ± 0.17 | 0.011 ± 0.01 | 0.22 ± 0.34 | 0.053 ± 0.075 |
| Chashma barrage | 0.019 ± 0.007 | 0.065 ± 0.058 | 0.316 ± 0.20 | 0.084 ± 0.04 | 0.003 ± 0.00 | 0.006 ± 0.007 | 0.02 ± 0.008 | |
| Trimmu barrage | 0.25 ± 0.07 | 0.285 ± 0.22 | 0.39 ± 0.019 | 0.69 ± 0.30 | 0.025 ± 0.018 | 0.004 ± 0.001 | 0.73 ± 0.16 | |
| Metal | F. atra | A. strepera | A. crecca | ||||||
|---|---|---|---|---|---|---|---|---|---|
| Site I a N = 9 | Site II b N = 6 | Site III c N = 11 | Site I N = 7 | Site II N = 6 | Site III N = 10 | Site I N = 10 | Site II N = 8 | Site III N = 7 | |
| Cu | 9.44 ± 5.16 | 10.14 ± 6.02 | 13.77 ± 2.42 | 144.6 ± 144.0 | 17.67 ± 4.13 | 11.43 ± 2.54 | 12.79 ± 3.09 | 54.3 ± 50.4 | 8.33 ± 4.33 |
| NS | p < 0.05 | p < 0.05 | |||||||
| Ni | 25.61 ± 15.79 | 12.75 ± 6.48 | 41.33 ± 18.20 | 14.59 ± 5.45 | 17.51 ± 14.35 | 32.67 ± 10.35 | 17.64 ± 17.73 | 15.16 ± 9.83 | 12.24 ± 11.39 |
| p < 0.05 | p < 0.05 | NS | |||||||
| Zn | 282.5 ± 150.8 | 304.2 ± 52.7 | 319.9 ± 215.1 | 310.4 ± 187.7 | 427.7 ± 190.1 | 298.5 ± 139.1 | 214.3 ± 132.8 | 217.8 ± 155.4 | 146.2 ± 104.7 |
| NS | NS | NS | |||||||
| Pb | 27.4 ± 30.7 | 24.48 ± 11.77 | 35.26 ± 13.56 | 54.76 ± 17.65 | 15.11 ± 8.58 | 43.2 ± 31.4 | 17.5 ± 10.77 | 23.63 ± 18.87 | 12.19 ± 13.52 |
| NS | p < 0.05 | NS | |||||||
| Cd | 4.94 ± 2.51 | 14.40 ± 12.42 | 16.22 ± 8.72 | 7.62 ± 2.4 | 18.46 ± 13.30 | 24.18 ± 12.86 | 7.59 ± 1.02 | 6.03 ± 2.25 | 20.81 ± 11.59 |
| NS | p < 0.05 | p < 0.01 | |||||||
| Co | 1.14 ± 1.18 | 1.76 ± 1.48 | 0.76 ± 0.44 | 2.59 ± 0.53 | 2.18 ± 1.21 | 0.54 ± 0.14 | 1.41 ± 0.6 | 2.06 ± 1.96 | 1.31 ± 0.76 |
| NS | p < 0.01 | NS | |||||||
| Mn | 115.31 ± 18.63 | 106.98 ± 20.65 | 94.97 ± 2.85 | 91.33 ± 6.29 | 95.25 ± 10.38 | 112 ± 30.8 | 117.08 ± 13.06 | 100.96 ± 15.43 | 124.33 ± 9.53 |
| NS | NS | p < 0.05 | |||||||
| Metal | F. atra | A. strepera | A. crecca | ||||||
|---|---|---|---|---|---|---|---|---|---|
| Site I a N = 9 | Site II b N = 6 | Site III c N = 11 | Site I N = 7 | Site II N = 6 | Site III N = 10 | Site I N = 10 | Site II N = 8 | Site III N = 7 | |
| Cu | 61.4 ± 51.6 | 16.58 ± 9 | 8.18 ± 6.61 | 94 ± 84.2 | 114.7 ± 109.4 | 117.2 ± 116.6 | 22.46 ± 10.39 | 82.9 ± 113.7 | 27.82 ± 5.22 |
| p < 0.05 | NS | NS | |||||||
| Ni | 27.47 ± 17.33 | 39.25 ± 20.22 | 13.22 ± 8.49 | 50.19 ± 6.24 | 67.8 ± 31 | 26.14 ± 3.88 | 32.83 ± 18.74 | 53.9 ± 33.1 | 78.5 ± 52 |
| p < 0.05 | p < 0.01 | NS | |||||||
| Zn | 503 ± 181.9 | 521 ± 144.6 | 363.3 ± 82.6 | 298.2 ± 205.3 | 166.5 ± 47.9 | 85.87 ± 10.83 | 269 ± 259 | 104.2 ± 41.4 | 116 ± 35.7 |
| NS | p < 0.05 | NS | |||||||
| Pb | 24.95 ± 15.98 | 24.81 ± 20.84 | 28.47 ± 21.01 | 20.05 ± 6.18 | 9.85 ± 2.35 | 9.94 ± 0.57 | 13.19 ± 7.02 | 14.65 ± 7.22 | 12.49 ± 4.62 |
| NS | p < 0.01 | NS | |||||||
| Cd | 14.14 ± 9.14 | 9.09 ± 0.88 | 19.2 ± 11.78 | 2.3 ± 2.94 | 0.39 ± 0.21 | 0.17 ± 0.04 | 4.17 ± 4.41 | 1.47 ± 3.19 | 1.35 ± 2.71 |
| NS | NS | NS | |||||||
| Co | 1.23 ± 0.83 | 1.62 ± 1.14 | 1.08 ± 1.04 | 2.81 ± 1.34 | 2.16 ± 1.18 | 2.66 ± 0.48 | 3.16 ± 1.28 | 1.02 ± 0.46 | 2.24 ± 0.95 |
| NS | NS | p < 0.01 | |||||||
| Mn | 126.88 ± 12.28 | 115.73 ± 11.1 | 120.28 ± 11.73 | 179.7 ± 87.1 | 132 ± 47.5 | 66.15 ± 3.41 | 96.42 ± 15.62 | 79.61 ± 20.86 | 89.35 ± 15.68 |
| NS | p < 0.05 | NS | |||||||
Disclaimer/Publisher’s Note: The statements, opinions and data contained in all publications are solely those of the individual author(s) and contributor(s) and not of MDPI and/or the editor(s). MDPI and/or the editor(s) disclaim responsibility for any injury to people or property resulting from any ideas, methods, instructions or products referred to in the content. |
© 2024 by the authors. Licensee MDPI, Basel, Switzerland. This article is an open access article distributed under the terms and conditions of the Creative Commons Attribution (CC BY) license (https://creativecommons.org/licenses/by/4.0/).
Share and Cite
Shaffique, S.; Kang, S.-M.; Ashraf, M.A.; Umar, A.; Khan, M.S.; Wajid, M.; Al-Ghamdi, A.A.; Lee, I.-J. Research Progress on Migratory Water Birds: Indicators of Heavy Metal Pollution in Inland Wetland Resources of Punjab, Pakistan. Water 2024, 16, 1163. https://doi.org/10.3390/w16081163
Shaffique S, Kang S-M, Ashraf MA, Umar A, Khan MS, Wajid M, Al-Ghamdi AA, Lee I-J. Research Progress on Migratory Water Birds: Indicators of Heavy Metal Pollution in Inland Wetland Resources of Punjab, Pakistan. Water. 2024; 16(8):1163. https://doi.org/10.3390/w16081163
Chicago/Turabian StyleShaffique, Shifa, Sang-Mo Kang, Muhammad Ahsan Ashraf, Ali Umar, Muhammad Saleem Khan, Muhammad Wajid, Abdullah Ahmed Al-Ghamdi, and In-Jung Lee. 2024. "Research Progress on Migratory Water Birds: Indicators of Heavy Metal Pollution in Inland Wetland Resources of Punjab, Pakistan" Water 16, no. 8: 1163. https://doi.org/10.3390/w16081163
APA StyleShaffique, S., Kang, S.-M., Ashraf, M. A., Umar, A., Khan, M. S., Wajid, M., Al-Ghamdi, A. A., & Lee, I.-J. (2024). Research Progress on Migratory Water Birds: Indicators of Heavy Metal Pollution in Inland Wetland Resources of Punjab, Pakistan. Water, 16(8), 1163. https://doi.org/10.3390/w16081163

