Development of Multi-Temporal-Scales Precipitation-Type Separation Method in the Qinghai–Tibetan Plateau
Abstract
1. Introduction
2. Study Area and Data
2.1. Study Area
2.2. Data
3. Methods
3.1. Development of a Dynamic Threshold Separation Method for Precipitation Type at Multiple Time Scales
3.2. Development of a Frequency Threshold Separation Method for Precipitation Types at Multiple Time Scales
3.3. Model for Testing the Precipitation Type
4. Results and Discussion
4.1. Accuracy Assessment
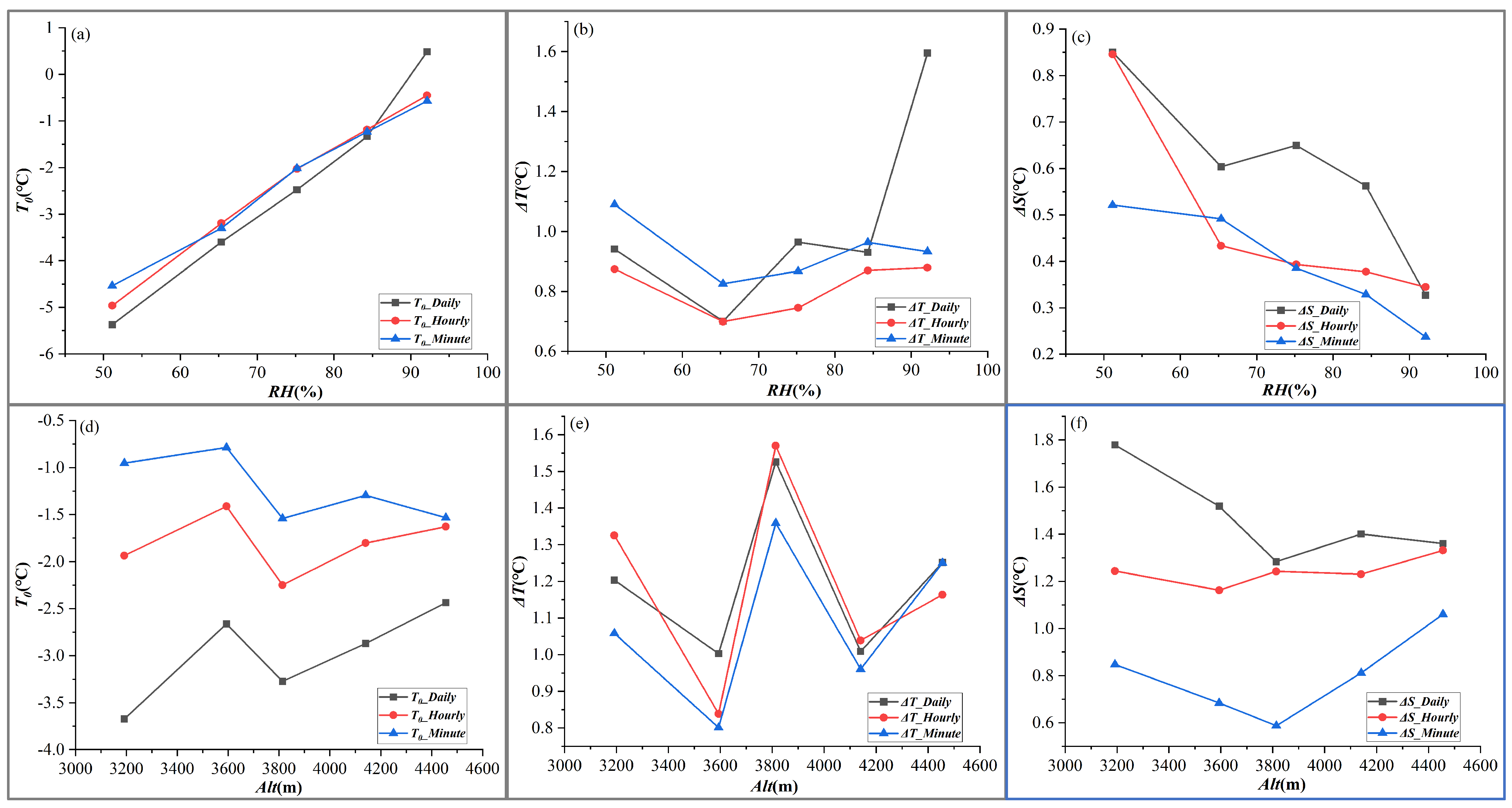
4.2. Sensitivity Analysis of Surface Meteorological Factors at the Per-Minute Scale and Daily Scale
4.3. Comparison of the Daily Time Scales in This Study and the Ding Model
4.4. Analysis of the Causes of Insufficient Identification of Sleet
5. Conclusions
Author Contributions
Funding
Data Availability Statement
Conflicts of Interest
Appendix A. The Parameter Calculation Process of Ding Model [26]

References
- Berghuijs, W.R.; Woods, R.A.; Hrachowitz, M. A precipitation shift from snow towards rain leads to a decrease in streamflow. Nat. Clim. Chang. 2014, 4, 583–586. [Google Scholar] [CrossRef]
- Gjertsen, U.; Ødegaard, V. The water phase of precipitation a comparison between observed, estimated and predicted values. Atmos. Res. 2005, 77, 218–231. [Google Scholar] [CrossRef]
- Thériault, J.M.; Stewart, R.E.; Milbrandt, J.A.; Yau, M.K. On the simulation of winter precipitation types. J. Geophys. Res. 2006, 111, D18202. [Google Scholar] [CrossRef]
- Yao, T.D.; Bolch, T.; Chen, D.L.; Gao, J.; Immerzeel, W.; Piao, S.; Su, F.G.; Thompson, L.; Wada, Y.; Wang, L.; et al. The imbalance of the Asian water tower. Nature reviews. Earth Environ. 2022, 3, 618–632. [Google Scholar] [CrossRef]
- Behrangi, A.; Yin, X.; Rajagopal, S.; Stampoulis, D.; Ye, H. On distinguishing snowfall from rainfall using near-surface atmospheric information: Comparative analysis, uncertainties and hydrologic importance. Q. J. R. Meteorol. Soc. 2018, 144, 89–102. [Google Scholar] [CrossRef]
- Harder, P.; Pomeroy, J. Estimating precipitation phase using a psychrometric energy balance method. Hydrol. Process. 2013, 27, 1901–1914. [Google Scholar] [CrossRef]
- Qin, Q.C.; Zhang, L.N.; Yu, J.; Wu, L. Simulation study on phase state of two rain and snow processes in Beijing Area. Plateau Meteorol. 2019, 38, 1027–1037. [Google Scholar] [CrossRef]
- Ralph, F.M.; Rauber, R.M.; Jewett, B.F.; Kingsmill, D.E.; Pisano, P.; Pugner, P.; Rasmussen, R.M.; Reynolds, D.W.; Schlatter, T.W.; Stewart, R.E.; et al. Improving Short-Term (0–48 h) Cool-Season Quantitative Precipitation Forecasting: Recommendations from a USWRP Workshop. Am. Meteorol. Soc. 2005, 86, 1619–1632. [Google Scholar] [CrossRef]
- Arnold, J.G.; Srinivasan, R.; Muttiah, R.S.; Williams, J.R. Large area hydrologic modeling and assessment part I: Model development. J. Am. Water Resour. Assoc. 1998, 34, 73–89. [Google Scholar] [CrossRef]
- Huang, Y.X.; Wang, B.J.; Xiao, W.; Fu, J.; Tan, D.; Peng, X. Precipitation phase state forecasting indicators under the complex topography condition. Arid Land Geogr. 2016, 39, 521–529. [Google Scholar] [CrossRef]
- Wigmosta, M.S.; Vail, L.W.; Lettenmaier, D.P. A distributed hydrology-vegetation model for complex terrain. Water Resour. Res. 1994, 30, 1665–1679. [Google Scholar] [CrossRef]
- Zhang, J.L.; Peng, J. A forecast analysis of precipitation phase transformation and rainfall intensity in Spring over Northern Xinjiang. Plateau Meteorol. 2017, 36, 939–949. [Google Scholar] [CrossRef]
- Qi, L.B.; Zhang, Y. Research on Winte Precipitation Types Discrimination Criterion in Eastern China. Meteorol. Mon. 2012, 38, 96–102. [Google Scholar]
- Zhang, L.N.; Guo, R.; Zeng, J.; Lu, B.; Duan, L.; Liu, L.; Sun, Z.B. Research on Discrimination Criterion of Precipitation Types in Beijing in Winte. Plateau Meteorol. 2013, 32, 1780–1786. [Google Scholar] [CrossRef]
- Cui, J.; Zhou, X.S.; Yan, Q.; Zhang, A.Z. Snow-to-liquid ratio variation and its atmosphere influence factors in Shenyang. J. Glaciol. Geocryol. 2015, 37, 1508–1514. [Google Scholar] [CrossRef]
- Duan, Y.X.; Li, D.Q.; Li, D.W.; Liang, H.; Chai, X.L.; Zhang, S. Analysis on Precipitation Phase Characteristics and Its Forecast Methods of Shenyang. J. Arid Meteorol. 2016, 34, 51–57. [Google Scholar] [CrossRef]
- Liu, Y.L.; Ren, G.Y.; Yu, H.M.; Kang, H.Y. Climatic Characteristics of Intense Snowfall in China with Its Variation. J. Appl. Meteorol. Sci. 2013, 24, 304–313. [Google Scholar]
- Lu, Y.; Meng, M.Z.; Qiao, D.Y.; Ren, H.; He, Y.; Han, J. Fine objective forecast method of precipitation phases in the winter half-year in Baoji City. J. Arid Meteorol. 2023, 41, 820–827. [Google Scholar] [CrossRef]
- Xu, H.; Zong, Z.P. Analysis on Characteristics of Thermal Vertical Structure Evolution During the Transition of Precipitation Type in Winter. Plateau Meteorol. 2014, 33, 1272–1280. [Google Scholar] [CrossRef]
- Liu, S.H.; Yan, D.H.; Wang, H.; Qin, T.L.; Weng, B.S.; Lu, Y.J. Separation of snowfall from precipitation and its evolution trend and reasons analysis in upper reaches of Nujiang River Basin. J. Hydraul. Eng. 2018, 49, 254–262. [Google Scholar] [CrossRef]
- Auer, A.H. The Rain versus Snow Threshold Temperatures. Weatherwise 1974, 27, 67. [Google Scholar] [CrossRef]
- Yang, Z.L.; Dickinson, R.E.; Robock, A.; Vinnikov, K.Y. Validation of the Snow Submodel of the Biosphere-Atmosphere Transfer Scheme with Russian Snow Cover and Meteorological Observational Data. J. Clim. 1997, 10, 353–373. [Google Scholar] [CrossRef]
- Kang, E.S.; Cheng, G.D.; Lan, Y.C.; Jin, H.J. A model for simulating the response of runoff from the mountainous watersheds of inland river basins in the arid area of northwest China to climatic changes. Sci. China Earth Sci. 1999, 42, 52–63. [Google Scholar] [CrossRef]
- Chen, R.S.; Lu, S.H.; Kang, E.S.; Ji, X.B.; Zhang, Z.H.; Yang, Y.; Qing, W.W. A distributed water-heat coupled model for mountainous watershed of an inland river basin of Northwest China (I) model structure and equations. Env. Geol 2008, 53, 1299–1309. [Google Scholar] [CrossRef]
- Han, C.; Chen, R.; Liu, J.; Yang, Y.; Qing, W. A discuss of the separating solid and liquid precipitations. J. Glaciol. Geocryol. 2010, 32, 249–256. [Google Scholar]
- Ding, B.H.; Yang, K.; Qin, J.; Wang, L.; Chen, Y.Y.; He, X.B. The dependence of precipitation types on surface elevation and meteorological conditions and its parameterization. J. Hydrol. 2014, 513, 154–163. [Google Scholar] [CrossRef]
- Ye, H.; Cohen, J.; Rawlins, M. Discrimination of Solid from Liquid Precipitation over Northern Eurasia Using Surface Atmospheric Conditions. J. Hydrometeorol. 2013, 14, 1345–1355. [Google Scholar] [CrossRef]
- Zhang, X.T.; Li, X.M.; Gao, P.; Li, Q.; Tang, H. Separation of precipitation forms based on different methods in Tianshan mountainous area, Northwest China. J. Glaciol. Geocryol. 2017, 39, 235–244. [Google Scholar] [CrossRef]
- Wang, J. Change of snowfall/precipitation ratio in the Tibetan Plateau During 1961–2014. Master’s Thesis, Northwest Normal University, Lanzhou, China, 2017. [Google Scholar]
- Dai, A.G. Temperature and pressure dependence of the rain-snow phase transition over land and ocean. Geophys. Res. Lett. 2008, 35, L12802. [Google Scholar] [CrossRef]
- Koistinen, J.; Saltikoff, E. Experience of customer products of accumulated snow, sleet and rain. COST75 Adv. Weather. Radar Syst. 1998, 397, 406. [Google Scholar]
- Marks, D.; Winstral, A.; Reba, M.; Pomeroy, J.; Kumar, M. An evaluation of methods for determining during-storm precipitation phase and the rain/snow transition elevation at the surface in a mountain basin. Adv. Water Resour. 2013, 55, 98–110. [Google Scholar] [CrossRef]
- Sims, E.M.; Liu, G. A Parameterization of the Probability of Snow-Rain Transition. J. Hydrometeorol. 2015, 16, 1466–1477. [Google Scholar] [CrossRef]
- Hou, Z.K.; Xu, M.; Kang, S.C.; Han, H.D.; Wang, P.S.; Li, Z.Z.; Zhang, X. Separation and variation of precipitation forms in Northwest China. Trans. Chin. Soc. Agric. Eng. 2023, 39, 120–132. [Google Scholar] [CrossRef]
- Su, B.; Xiao, C.D.; Zhao, H.Y.; Huang, Y.; Dou, T.F.; Wang, X.J.; Chen, D.L. Estimated changes in different forms of precipitation (snow, sleet, and rain) across China: 1961–2016. Atmos. Res. 2022, 270, 106078. [Google Scholar] [CrossRef]
- Tian, Y.L.; Li, X.M.; Li, Z.; Qin, Q.R. Spatial and temporal variations of different precipitation types in the Tianshan Mountains from 1980-2017. Arid Land Geography 2020, 43, 308–318. [Google Scholar] [CrossRef]
- Wang, W.P.; Liu, Y.Q.; Zhao, Q.D.; Qin, Y.; Meng, X.Y.; Zhang, M.X.; Jin, Z.Z. Spatiotemporal characteristics of extreme precipitation and its response to temperature change in Xinjiang, China. Trans. Chin. Soc. Agric. Eng. 2022, 38, 133–142. [Google Scholar] [CrossRef]
- Hu, J.H.; Che, T.; He, Y.; Huang, W.; Yang, X.F. An intercomparison of empirical schemes for partitioning precipitation phase. J. Hydrol. Reg. Stud. 2024, 53, 101757. [Google Scholar] [CrossRef]
- Liu, J.F.; Chen, R.S. Discriminating types of precipitation in Qilian Mountains, Tibetan Plateau. J. Hydrol. Reg. Stud. 2016, 5, 20–32. [Google Scholar] [CrossRef]
- Wang, S. Study on Parameter Estimation for Hydrological Model and Uncertainty in Estimated Parameters; Cold and Arid Regions Environmental and Engineering Research Institute: Lanzhou, China, 2006. [Google Scholar]
- Yao, T.D.; Xue, Y.K.; Chen, D.L. Recent Third Pole’s rapid warming accompanies cryospheric melt and water cycle intensification and interactions between monsoon and environment: Multidisciplinary approach with observations, modeling, and analysis. Bull. Am. Meteorol. Soc. 2019, 100, 423–444. [Google Scholar] [CrossRef]
- Chen, D.L.; Xu, B.Q.; Yao, T.D.; Guo, Z.T.; Cui, P. Assessment of past, present and future environmental changes on the Tibetan Plateau. Chin. Sci. Bull. 2015, 60, 3025–3035. [Google Scholar] [CrossRef]
- Xu, X.; Zhao, T.; Lu, C.; Guo, Y.; Chen, B.; Liu, R.; Li, Y.; Shi, X. An important mechanism sustaining the atmospheric "water tower" over the Tibetan Plateau. Atmos. Chem. Phys. 2014, 14, 11287–11295. [Google Scholar] [CrossRef]
- Li, L.; Zhang, P.L.; Shen, H.Y.; Li, J.G.; Jian, Y. Spatial and Temporal Variation Characteristics and Mechanism of Water Vapor Transport over the Three Rivers Source Region. Plateau Mt. Meteorol. Res. 2021, 41, 9–16. [Google Scholar] [CrossRef]
- Jin, Z.; You, Q.L.; Wu, F.Y.; Sun, B.; Cai, Z.Y. Changes of climate and climate extremes in the Three-Rivers Headwaters Region over the Tibetan Plateau during the past 60 years. Trans. Atmos. Sci. 2020, 43, 1042–1055. [Google Scholar] [CrossRef]
- Bi, R.; Chen, Z. The Snowfall Characteristics and Cause of Formation in Winter of Three-River Headwaters Region. J. Chengdu Univ. Inf. Technol. 2022, 37, 318–324. [Google Scholar] [CrossRef]
- Cao, X.Y.; Xiao, J.S.; Hao, X.H.; Shi, F.F.; Liu, Z.Y.; Lu, S.Y. Variation of snow cover days and topographic differentiation in Sanjiangyuan area from 2001 to 2020. Arid. Land Geogr. 2022, 45, 1370–1380. [Google Scholar] [CrossRef]
- Murray, F.W. On the Computation of Saturation Vapor Pressure. J. Appl. Meterology 1967, 6, 203–204. [Google Scholar] [CrossRef]
- Deng, S.; Luo, J.; Liu, Y.; Wang, X.; Yang, J. Classification model based on ensemble random forests. Appl. Res. Comput. 2015, 32, 1621–1624, 1629. [Google Scholar] [CrossRef]
- Shao, J.; Fang, W. Assessment of Direct Economic Loss Levels Caused by Tropical Cyclone Disasters in County-Level Using Machine Learning: A Case Study of Fujian Province. Trop. Geogr. 2024, 44, 1064–1078. [Google Scholar] [CrossRef]
- Bernstein, B.C. Regional and Local Influences on Freezing Drizzle, Freezing Rain, and Ice Pellet Events. Weather Add Forecast. 2000, 15, 485–508. [Google Scholar] [CrossRef]
- Gibson, S.R.; Stewart, R.E.; Henson, W. On the variation of ice pellet characteristics. J. Geophys. Res. 2009, 114, D09207. [Google Scholar] [CrossRef]
- Hanesiak, J.M.; Stewart, R.E. The Mesoscale and Microscale Structure of a Severe Ice Pellet Storm. Mon. Weather Rev. 1995, 123, 3144–3162. [Google Scholar] [CrossRef]
- Huffman, G.J.; Norman, G.A. The Supercooled Warm Rain Process and the Specification of Freezing Precipitation. Mon. Weather Rev. 1988, 116, 2172–2182. [Google Scholar] [CrossRef]
- Yuter, S.E.; Kingsmill, D.E.; Nance, L.B.; Löffler-Mang, M. Observations of Precipitation Size and Fall Speed Characteristics within Coexisting Rain and Wet Snow. J. Appl. Meteorol. Climatol. 2006, 45, 1450–1464. [Google Scholar] [CrossRef]
- Lu, Z.Q. Construction of a Theoretical Model of Winter Precipitation Type and the Influence of Terrain on the Distribution of Precipitation Types. Ph.D. Thesis, Nanjing University of Information Science and Technology, Nanjing, China, 2022. [Google Scholar]
- Thériault, J.M.; Stewart, R.E. A Parameterization of the Microphysical Processes Forming Many Types of Winter Precipitation. J. Atmos. Sci. 2010, 67, 1492–1508. [Google Scholar] [CrossRef]
- Minder, J.R.; Durran, D.R.; Roe, G.H. Mesoscale Controls on the Mountainside Snow Line. J. Atmos. Sci. 2011, 68, 2107–2127. [Google Scholar] [CrossRef]









| Time-Scales | Formula |
|---|---|
| Per-minute | ΔT = 0.0004 × RH × RH − 0.064 × RH + 3.2599 |
| T0 = 0.1015 × RH − 9.8847 | |
| ΔS = −0.0073 × RH + 0.9328 | |
| Hourly | ΔT = 0.0073 × RH + 0.2205 |
| T0 = 0.1041 × RH − 9.9859 | |
| ΔS = 0.0004 × RH × RH − 0.068 × RH + 3.1873 | |
| Daily | ΔT = 0.0012 × RH × RH − 0.1558 × RH + 5.8122 |
| T0 = 0.142 × RH − 12.866 | |
| ΔS = −0.0111 × RH + 1.4138 |
Disclaimer/Publisher’s Note: The statements, opinions and data contained in all publications are solely those of the individual author(s) and contributor(s) and not of MDPI and/or the editor(s). MDPI and/or the editor(s) disclaim responsibility for any injury to people or property resulting from any ideas, methods, instructions or products referred to in the content. |
© 2024 by the authors. Licensee MDPI, Basel, Switzerland. This article is an open access article distributed under the terms and conditions of the Creative Commons Attribution (CC BY) license (https://creativecommons.org/licenses/by/4.0/).
Share and Cite
Zhang, J.; Wang, W.; Che, T.; Su, X.; Su, W. Development of Multi-Temporal-Scales Precipitation-Type Separation Method in the Qinghai–Tibetan Plateau. Water 2024, 16, 3690. https://doi.org/10.3390/w16243690
Zhang J, Wang W, Che T, Su X, Su W. Development of Multi-Temporal-Scales Precipitation-Type Separation Method in the Qinghai–Tibetan Plateau. Water. 2024; 16(24):3690. https://doi.org/10.3390/w16243690
Chicago/Turabian StyleZhang, Juan, Weizhen Wang, Tao Che, Xianfeng Su, and Wenjiang Su. 2024. "Development of Multi-Temporal-Scales Precipitation-Type Separation Method in the Qinghai–Tibetan Plateau" Water 16, no. 24: 3690. https://doi.org/10.3390/w16243690
APA StyleZhang, J., Wang, W., Che, T., Su, X., & Su, W. (2024). Development of Multi-Temporal-Scales Precipitation-Type Separation Method in the Qinghai–Tibetan Plateau. Water, 16(24), 3690. https://doi.org/10.3390/w16243690

