Design of Pump-and-Treat Strategies for Contaminated Groundwater Remediation Using Numerical Modeling: A Case Study
Abstract
1. Introduction
2. Materials and Methods
2.1. Study Area
2.2. Numerical Simulation
- (1)
- When setting up extraction wells, existing detailed survey monitoring wells should be fully utilized;
- (2)
- The layout of extraction wells should consider the land use situation and try to avoid affecting the production and operation of the enterprise as much as possible;
- (3)
- The single-well pumping rate of the extraction well should be determined based on the results of the pilot test (the recommended value for the pilot test is 6 m3/d);
- (4)
- The layout of extraction wells needs to be determined in conjunction with the project schedule.
3. Results and Discussion
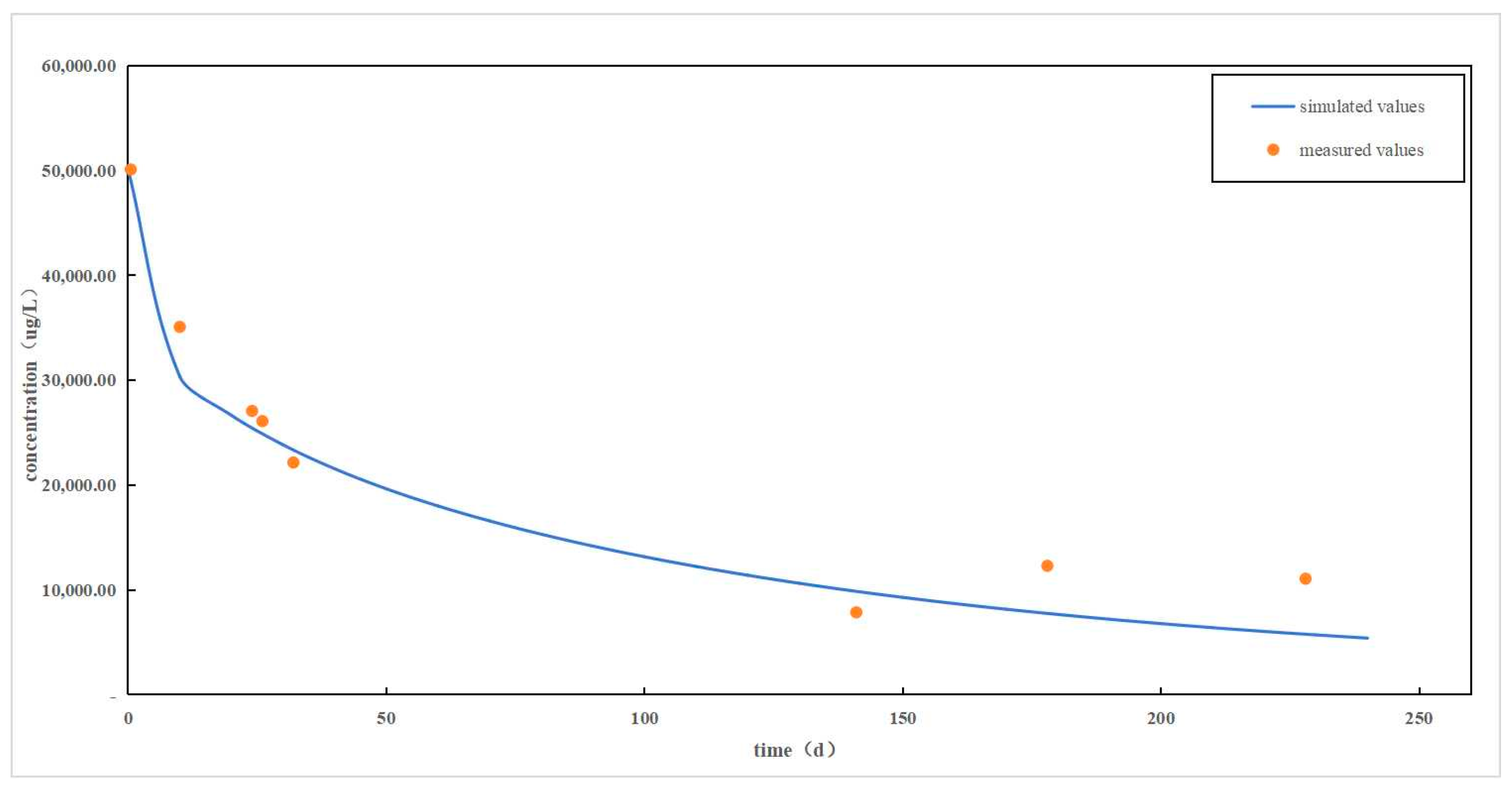
3.1. Model Calibration and Validation
3.2. Scenario Analysis
3.2.1. Scenario 1
3.2.2. Scenario 2
3.2.3. Scenario 3
3.2.4. Scenario 4
3.2.5. Scenario 5
3.3. Discussion
4. Conclusions
Author Contributions
Funding
Data Availability Statement
Conflicts of Interest
References
- Zhang, L.; Liu, F.; Yuan, H.Q.; Liang, K.X. Research Progress and Prospect of Groundwater Pump and Treat Technology. Geoscience 2023, 37, 977. [Google Scholar] [CrossRef]
- Bian, R.W.; Song, J.; Sun, X.M.; Wu, J.F.; Wu, J.C. Application of MGO to optimal design of pump and treat system in groundwater contamination remediation. Ground Water 2018, 40, 12. [Google Scholar] [CrossRef]
- Soderstrom, M.; Boldemann, C.; Sahlin, U.; Mårtensson, F.; Raustorp, A.; Blennow, M. The quality of the out-door environment influences children’s health-across-sectional study of preschools. Acta Paediatr. 2013, 102, 83. [Google Scholar] [CrossRef] [PubMed]
- Ozdemir, S.; Johnson, F.R. Estimating willingness to pay: Do health and environmental researchers have different methodological standards? Appl. Econ. 2013, 45, 2215. [Google Scholar] [CrossRef]
- Cheng, M.; Zeng, G.M.; Huang, D.L.; Lai, C.; Xu, P.; Zhang, C.; Liu, Y. Hydroxyl radicals based advanced oxidation processes (AOPs) for remediation of soils contaminated with organic compounds: A review. Chem. Eng. J. 2016, 284, 582. [Google Scholar] [CrossRef]
- Thomé, A.; Reddy, K.R.; Reginatto, C.; Cecchin, I. Review of Nanotechnology for Soil and Groundwater Remediation: Brazilian Perspectives. Water Air Soil Pollut. 2015, 226, 121. [Google Scholar] [CrossRef]
- Zhao, Y.S. Groundwater Pollution Control and Remediation. J. Jilin Univ. Earth Sci. Ed. 2007, 2, 303. [Google Scholar] [CrossRef]
- Soil Ecological Environment Department of the Ministry of Ecology and Environment. Technical manual for Risk Control and Remediation of Contaminated Groundwater; China Environmental Publishing Group: Beijing, China, 2021. [Google Scholar]
- Kahler, M.D.; Kabala, J.Z. Acceleration of groundwater remediation by deep sweeps and vortex ejections induced by rapidly pulsed pumping. Water Resour. Res. 2016, 52, 3930. [Google Scholar] [CrossRef]
- Khan, F.I.; Husain, T.; Hejazi, R. An overview and analysis of site remediation technologies. J. Environ. Manag. 2004, 71, 95. [Google Scholar] [CrossRef]
- Mackay, M.D.; Cherry, A.J. Groundwater contamination: Pump-and-treat remediation. Environ. Sci. Technol. 1989, 23, 630. [Google Scholar] [CrossRef]
- Sheng, Y.; Zhang, X.; Zhai, X.; Zhang, F.; Li, G.; Zhang, D. A mobile, modular and rapidly-acting treatment system for optimizing and improving the removal of nonaqueous phase liquids (NAPLs) in groundwater. J. Hazard. Mater. 2018, 360, 639. [Google Scholar] [CrossRef] [PubMed]
- Naseri-Rad, M.; Berndtsson, R.; McKnight, U.S.; Persson, M.; Persson, K.M. INSIDE-T: A groundwater contamination transport model for sustainability assessment in remediation practice. Sustainability 2021, 13, 7596. [Google Scholar] [CrossRef]
- Suthersan, S.S.; Killenbeck, E.; Potter, S.T.; Divine, C.; LeFrancois, M. Resurgence of pump and treat solutions: Directed groundwater recirculation. Ground Water Monit. Remediat. 2015, 35, 23. [Google Scholar] [CrossRef]
- Paolo, C.; Carlo, E.; Ernst, B.; Eduard, A.; Marco, P.P. Pump-and-treat (P&T) vs groundwater circulation wells (GCW): Which approach delivers more sustainable and effective groundwater remediation? Environ. Res. 2023, 234, 116538. [Google Scholar] [CrossRef]
- Sharief, V.M.S.; Eldho, I.T.; Rastogi, K.A.; Gurunadha, R.V.V.S. Optimal Groundwater Remediation by Pump and Treat Using FEM- and EGA-Based Simulation-Optimization Model. J. Hazard. Toxic Radioact. Waste 2012, 16, 106. [Google Scholar] [CrossRef]
- Mohammad, J.Z.; Mohsen, P.B.; Abolfazl, A.; Jafar, Y.; Slim, Z. Optimizing pump-and-treat method by considering important remediation objectives. Appl. Water Sci. 2022, 12, 268. [Google Scholar] [CrossRef]
- Park, Y.; Jeong, J.; Eom, S.; Jeong, U. Optimal management design of a pump and treat system at the industrial complex in Wonju, Korea. Geosci. J. 2011, 15, 207. [Google Scholar] [CrossRef]
- Compernolle, T.; Passel, V.S.; Lebbe, L. The Value of Groundwater Modeling to Support a Pump and Treat Design. Groundw. Monit. Remediat. 2013, 33, 111. [Google Scholar] [CrossRef]
- Mackay, D.M.; Wilson, R.D.; Brown, M.J.; Ball, W.P.; Xia, G.; Durfee, D.P. A controlled field evaluation of continuous vs. Pulsed pump-and-treat remediation of a VOC-contaminated aquifer: Site characterization, experimental setup, and overview of results. J. Contam. Hydrol. 2000, 41, 81. [Google Scholar] [CrossRef]
- Borden, R.C.; Kao, C.M. Evaluation of groundwater extraction for remediation of petroleum-contaminated aquifers. Water Environ. Res. 1992, 64, 28. [Google Scholar] [CrossRef]
- Colombani, N.; Mastrocicco, M.; Gargini, A.; Davis, G.B.; Prommer, H. Modelling the fate of styrene in a mixed petroleum hydrocarbon plume. J. Contam. Hydrol. 2009, 105, 38. [Google Scholar] [CrossRef] [PubMed]
- Qi, S.Q.; Hou, D.Y.; Wang, Y.D.; Cao, X.Y. The Influence of VOCs Nonequilibrium Transport on Soil Remediation. Res. Environ. Sci. 2021, 34, 1464. [Google Scholar] [CrossRef]
- Amacher, M.C.; Kotuby-Amacher, J.; Selim, H.M.; Iskandar, I. Retention and release of metals by soils-evaluation of several models. Geoderma 1986, 38, 131. [Google Scholar] [CrossRef]
- Sharma, P.; Kostarelos, K.; Lenschow, S.; Christensen, A.; de Blanc, P.C. Surfactant flooding makes a comeback: Results of a full-scale, field implementation to recover mobilized NAPL. J. Contam. Hydrol. 2020, 230, 103602. [Google Scholar] [CrossRef] [PubMed]
- Parker, L.B.; Chapman, W.S.; Guilbeault, A.M. Plume persistence caused by back diffusion from thin clay layers in a sand aquifer following TCE source-zone hydraulic isolation. J. Contam. Hydrol. 2008, 102, 86. [Google Scholar] [CrossRef] [PubMed]
- Lester, G.; Pinder, G. Transport of Solute from a Fine-Grained Unit to a Coarse-Grained Host Under Pulsed-Pumping Fluid Dynamics: An Experimental Investigation. Transp. Porous Media 2016, 112, 737. [Google Scholar] [CrossRef]
- Xie, T.; Dang, Z.; Zhang, J.; Zhang, Q.; Zhang, R.H.; Liao, C.J.; Lu, G.N. Decontamination of dense nonaqueous-phase liquids in groundwater using pump-and treat and in situ chemical oxidation processes: A field test. RSC Adv. 2021, 11, 4237. [Google Scholar] [CrossRef] [PubMed]
- Thornton, S.F.; Baker, K.M.; Bottrell, S.H.; Rolfe, S.A.; McNamee, P.; Forrest, F.; Duffield, P.; Wilson, R.D.; Fairburn, A.W.; Cieslak, L.A. Enhancement of in situ biodegradation of organic compounds in groundwater by targeted pump and treat intervention. Appl. Geochem. 2014, 48, 28. [Google Scholar] [CrossRef]
- Severino, G.; Fallico, C.; Brunetti, G.F.A. Correlation Structure of Steady Well-Type Flows Through Heterogeneous Porous Media: Results and Application. Water Resour. Res. 2024, 60, e2023WR036279. [Google Scholar] [CrossRef]
- Dato, D.M.; Bellin, A.; Fiori, A. Convergent radial transport in three-dimensional heterogeneous aquifers: The impact of the hydraulic conductivity structure. Adv. Water Resour. 2019, 131, 103381. [Google Scholar] [CrossRef]
- Ko, N.Y.; Lee, K.K.; Hyun, Y.J. Optimal groundwater remediation design of a pump and treat system considering clean-up time. Geosci. J. 2005, 9, 23–31. [Google Scholar] [CrossRef]
- Kazemzadeh-Parsi, J.M.; Daneshmand, F.; Ahmadfard, A.M.; Adamowski, J.F.; Martel, R. Optimal groundwater remediation design of pump and treat systems via a simulation–optimization approach and firefly algorithm. Eng. Optim. 2015, 47, 1–17. [Google Scholar] [CrossRef]
- GB/T 14848-2017; Standardization Administration of China, General Administration of Quality Supervision, Inspection and Quarantine of the People’s Republic of China. Standards for Groundwater Quality. Standards Press of China: Beijing, China, 2017.
- Harbaugh, A.W.; McDonald, M.G. User’s Documentation for MODFLOW-96, An Update to the U.S. Geological Survey Modular Finite-Difference Ground-Water Flow Model; U.S. Geological Survey Open-File Report 96-485; U.S. Geological Survey: Reston, VA, USA, 1996; 55p. [Google Scholar]
- Wei, X.L.; Bailey, R.T. Evaluating nitrate and phosphorus remediation in intensively irrigated stream-aquifer systems using a coupled flow and reactive transport model. J. Hydrol. 2021, 598, 126304. [Google Scholar] [CrossRef]












| Zone | Hydraulic Conductivity (m/d) | Vertical Anisotropy |
|---|---|---|
| 1 | 0.3 | 4 |
| 2 | 0.5 | 4 |
| 3 | 15 | 4 |
| 4 | 1 × 10−8 | 4 |
| 5 | 5 | 4 |
| 6 | 0.5 | 4 |
| 7 | 25 | 4 |
| 8 | 5 | 4 |
| 9 | 10 | 4 |
| Scenarios | Number of Extraction Wells | Extraction Rate (m3/d) | Remark |
|---|---|---|---|
| Scenario 1 | 3 | 144 | The simulation was conducted using three existing wells |
| Scenario 2 | 17 | 216 | Compared to Scenario 1, 14 new wells were added with an extraction rate of 216 m3/d |
| Scenario 3 | 19 | 96 | Compared to Scenario 1, 16 new wells were added for the simulation, based on the distribution of the pollution plume with an extraction rate of 96 m3/d |
| Scenario 4 | 19 | 144 | Compared to Scenario 1, 16 new wells were added for the simulation based on the distribution of the pollution plume with an extraction rate of 144 m3/d |
| Scenario 5 | 19 | 144–288 | Compared to Scenario 1, 16 new wells were added based on the distribution of the pollution plume; the extraction rate in the high-concentration area was 288 m3/d and the extraction rate in the low-concentration area was 144 m3/d for simulation purposes |
| Scenario | Extraction Well Number (Holes) | Extraction Rate (m3/d) | Time Required (d) | Total Extraction (×104 m3) |
|---|---|---|---|---|
| Scenario 1 | 3 | 144 | / | 788.4 |
| Scenario 2 | 17 | 216 | 1100 | 298.1 |
| Scenario 3 | 19 | 96 | 1450 | 205.4 |
| Scenario 4 | 19 | 144 | 1200 | 250.6 |
| Scenario 5 | 19 | 144–288 | 1100 | 290.2 |
Disclaimer/Publisher’s Note: The statements, opinions and data contained in all publications are solely those of the individual author(s) and contributor(s) and not of MDPI and/or the editor(s). MDPI and/or the editor(s) disclaim responsibility for any injury to people or property resulting from any ideas, methods, instructions or products referred to in the content. |
© 2024 by the authors. Licensee MDPI, Basel, Switzerland. This article is an open access article distributed under the terms and conditions of the Creative Commons Attribution (CC BY) license (https://creativecommons.org/licenses/by/4.0/).
Share and Cite
Song, Z.; Wang, Y.; Wang, J.; Huan, H.; Li, H. Design of Pump-and-Treat Strategies for Contaminated Groundwater Remediation Using Numerical Modeling: A Case Study. Water 2024, 16, 3665. https://doi.org/10.3390/w16243665
Song Z, Wang Y, Wang J, Huan H, Li H. Design of Pump-and-Treat Strategies for Contaminated Groundwater Remediation Using Numerical Modeling: A Case Study. Water. 2024; 16(24):3665. https://doi.org/10.3390/w16243665
Chicago/Turabian StyleSong, Zongzhong, Yanwei Wang, Jingrui Wang, Huan Huan, and Haixiang Li. 2024. "Design of Pump-and-Treat Strategies for Contaminated Groundwater Remediation Using Numerical Modeling: A Case Study" Water 16, no. 24: 3665. https://doi.org/10.3390/w16243665
APA StyleSong, Z., Wang, Y., Wang, J., Huan, H., & Li, H. (2024). Design of Pump-and-Treat Strategies for Contaminated Groundwater Remediation Using Numerical Modeling: A Case Study. Water, 16(24), 3665. https://doi.org/10.3390/w16243665

