Promoting or Inhibiting: New Insights into the Role of Formate in Syntrophic Propionate Metabolism
Abstract
1. Introduction
2. Materials and Methods
2.1. Batch Experiment of Anaerobic Sludge System
2.2. Bath Experiment of Syntrophic Co-Culture System
2.2.1. Rejuvenation of the Strain and Construction of Co-Culture System
2.2.2. Design of Co-Culture System Experiment
2.3. Analyseise Methods
2.3.1. Biogas and VFAs
2.3.2. Extraction of DNA and RNA
2.3.3. Absolute RNA Quantification
2.3.4. Data Analysis
3. Results and Discussion
3.1. Effect of Formate on Methanogenesis Metabolism of Syntrophic Propionate Oxidation in Anaerobic Sludge System
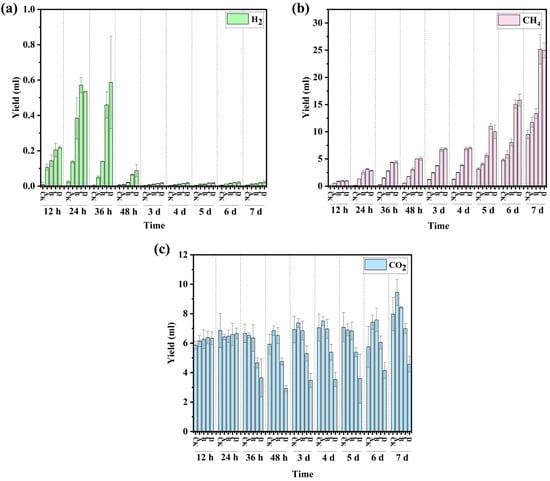
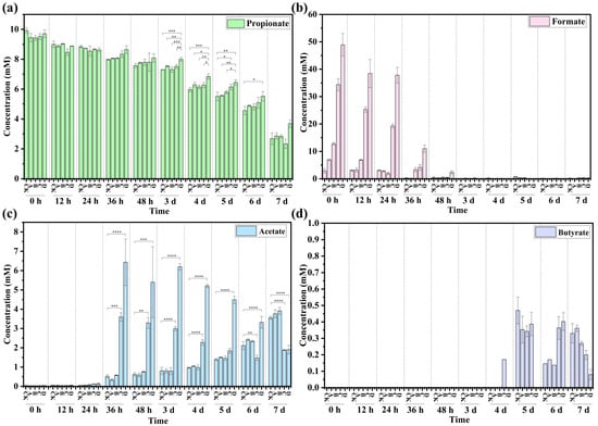
3.1.1. Effects of Formate on Metabolites of Syntrophic Propionate Oxidation
3.1.2. Effects of Formate on Alpha Diversity of Microbial Communities
3.1.3. Response of Microbial Community Structure to Different Formate Concentration
3.1.4. Response of Metabolic Pathway to Different Formate Concentration
3.2. The Mechanism of Formate on MMC Pathway of Propionate in Syntrophic Propionate Metabolism Was Elucidated Through Co-Culture System
Effects of Formate on Metabolites of Syntrophic Propionate Oxidation in Co-Culture
4. Conclusions
Supplementary Materials
Author Contributions
Funding
Data Availability Statement
Conflicts of Interest
References
- Strokal, M.; Bai, Z.; Franssen, W.; Hofstra, N.; Koelmans, A.A.; Ludwig, F.; Ma, L.; van Puijenbroek, P.; Spanier, J.E.; Vermeulen, L.C.; et al. Urbanization: An increasing source of multiple pollutants to rivers in the 21st century. NPJ Urban Sustain. 2021, 1, 24. [Google Scholar] [CrossRef]
- Cao, B.; Zhang, T.; Zhang, W.; Wang, D. Enhanced technology based for sewage sludge deep dewatering: A critical review. Water Res. 2021, 189, 116650. [Google Scholar] [CrossRef] [PubMed]
- Liu, K.; Lv, L.; Li, W.; Ren, Z.; Wang, P.; Liu, X.; Gao, W.; Sun, L.; Zhang, G. A comprehensive review on food waste anaerobic co-digestion: Research progress and tendencies. Sci. Total Environ. 2023, 878, 163155. [Google Scholar] [CrossRef]
- Wang, Z.; Liu, T.; Duan, H.; Song, Y.; Lu, X.; Hu, S.; Yuan, Z.; Batstone, D.; Zheng, M. Post-treatment options for anaerobically digested sludge: Current status and future prospect. Water Res. 2021, 205, 117665. [Google Scholar] [CrossRef]
- Zhang, C.; Yuan, Q.; Lu, Y. Inhibitory effects of ammonia on syntrophic propionate oxidation in anaerobic digester sludge. Water Res. 2018, 146, 275–287. [Google Scholar] [CrossRef]
- Westerholm, M.A.-O.; Calusinska, M.; Dolfing, J. Syntrophic propionate-oxidizing bacteria in methanogenic systems. Microbiol. Rev. 2022, 46, fuab057. [Google Scholar] [CrossRef]
- Boone, D.R.; Johnson, R.L.; Liu, Y. Diffusion of the Interspecies Electron Carriers H2 and Formate in Methanogenic Ecosystems and Its Implications in the Measurement of Km for H2 or Formate Uptake. Appl. Environ. Microbiol. 1989, 55, 1735–1741. [Google Scholar] [CrossRef] [PubMed]
- Xu, H.; Wang, C.; Yan, K.; Wu, J.; Zuo, J.; Wang, K. Anaerobic granule-based biofilms formation reduces propionate accumulation under high H2 partial pressure using conductive carbon felt particles. Bioresour. Technol. 2016, 216, 677–683. [Google Scholar] [CrossRef]
- Thiele, J.H.; Zeikus, J.G. Control of Interspecies Electron Flow during Anaerobic Digestion: Significance of Formate Transfer versus Hydrogen Transfer during Syntrophic Methanogenesis in Flocs. Appl. Environ. Microbiol. 1988, 54, 20. [Google Scholar] [CrossRef]
- Sedano-Núñez, V.T.; Boeren, S.; Stams, A.J.M.; Plugge, C.M. Comparative proteome analysis of propionate degradation by Syntrophobacter fumaroxidans in pure culture and in coculture with methanogens. Environ. Microbiol. 2018, 20, 1842–1856. [Google Scholar] [CrossRef]
- Li, C.; Wang, R.; Yuan, Z.; Xie, S.; Wang, Y.; Zhang, Y. Novel strategy for efficient energy recovery and pollutant control from sewage sludge and food waste treatment. Water Res. 2024, 261, 122050. [Google Scholar] [CrossRef] [PubMed]
- Pan, X.; Wang, L.; Lv, N.; Ning, J.; Zhou, M.; Wang, T.; Li, C.; Zhu, G.A.-O. Impact of physical structure of granular sludge on methanogenesis and methanogenic community structure. RSC Adv. 2019, 9, 29570–29578. [Google Scholar] [CrossRef] [PubMed]
- Wang, R.; Lv, N.; Li, C.; Cai, G.; Pan, X.; Li, Y.; Zhu, G. Novel strategy for enhancing acetic and formic acids generation in acidogenesis of anaerobic digestion via targeted adjusting environmental niches. Water Res. 2021, 193, 116896. [Google Scholar] [CrossRef] [PubMed]
- Viggi, C.C.; Rossetti, S.; Fazi, S.; Paiano, P.; Majone, M.; Aulenta, F. Magnetite Particles Triggering a Faster and More Robust Syntrophic Pathway of Methanogenic Propionate Degradation. Environ. Sci. Technol. 2014, 48, 7536–7543. [Google Scholar] [CrossRef]
- Dolfing, J. Syntrophic Propionate Oxidation via Butyrate: A Novel Window of Opportunity under Methanogenic Conditions. Appl. Environ. Microbiol. 2013, 79, 4515–4516. [Google Scholar] [CrossRef]
- Worm, P.; Fermoso, F.G.; Stams, A.J.M.; Lens, P.N.L.; Plugge, C.M. Transcription of fdh and hyd in Syntrophobacter spp. and Methanospirillum spp. as a diagnostic tool for monitoring anaerobic sludge deprived of molybdenum, tungsten and selenium. Environ. Microbiol. 2011, 13, 1228–1235. [Google Scholar] [CrossRef]
- Worm, P.; Stams, A.J.M.; Cheng, X. Growth- and substrate-dependent transcription of formate dehydrogenase and hydrogenase coding genes in Syntrophobacter fumaroxidans and Methanospirillum hungatei. Microbiology 2013, 157, 280–289. [Google Scholar] [CrossRef]
- Pinske, C.; Sawers, R.G. Anaerobic Formate and Hydrogen Metabolism. Ecosal Plus 2004, 1. [Google Scholar] [CrossRef]
- Sinha, P.; Roy, S.; Das, D. Role of formate hydrogen lyase complex in hydrogen production in facultative anaerobes. Int. J. Hydrogen Energy 2015, 40, 8806–8815. [Google Scholar] [CrossRef]
- Lv, N.; Zhao, L.; Wang, R.; Ning, J.; Pan, X.; Li, C.; Cai, G.; Zhu, G. Novel strategy for relieving acid accumulation by enriching syntrophic associations of syntrophic fatty acid-oxidation bacteria and H2/formate-scavenging methanogens in anaerobic digestion. Bioresour. Technol. 2020, 313, 123702. [Google Scholar] [CrossRef]
- Pan, X.; Li, H.; Zhao, L.; Yang, X.; Su, J.; Dai, S.; Ning, J.; Li, C.; Cai, G.; Zhu, G. Response of syntrophic bacterial and methanogenic archaeal communities in paddy soil to soil type and phenological period of rice growth. J. Clean. Prod. 2021, 278, 123418. [Google Scholar] [CrossRef]
- Zhao, Z.; Zhang, Y.; Li, Y.; Zhao, H.; Quan, X. Electrochemical reduction of carbon dioxide to formate with Fe-C electrodes in anaerobic sludge digestion process. Water Res. 2016, 106, 339–343. [Google Scholar] [CrossRef] [PubMed]
- Müller, N.; Worm, P.; Schink, B.; Stams, A.J.; Plugge, C.M. Syntrophic butyrate and propionate oxidation processes: From genomes to reaction mechanisms. Environ. Microbiol. Rep. 2010, 2, 489–499. [Google Scholar] [CrossRef]
- Pan, X.; Zhao, L.; Li, C.; Angelidaki, I.; Lv, N.; Ning, J.; Cai, G.; Zhu, G. Deep insights into the network of acetate metabolism in anaerobic digestion: Focusing on syntrophic acetate oxidation and homoacetogenesis. Water Res. 2021, 190, 116774. [Google Scholar] [CrossRef] [PubMed]
- Chen, Y.-T.; Zeng, Y.; Wang, H.-Z.; Zheng, D.; Kamagata, Y.; Narihiro, T.; Nobu, M.K.; Tang, Y.-Q. Different Interspecies Electron Transfer Patterns during Mesophilic and Thermophilic Syntrophic Propionate Degradation in Chemostats. Microb. Ecol. 2020, 80, 120–132. [Google Scholar] [CrossRef]
- Ito, T.; Yoshiguchi, K.; Ariesyady, H.D.; Okabe, S. Identification and quantification of key microbial trophic groups of methanogenic glucose degradation in an anaerobic digester sludge. Bioresour. Technol. 2012, 123, 599–607. [Google Scholar] [CrossRef]
- Xie, M.; Zheng, Y.; Zhang, X. Formate as an Alternative Electron Donor for the Anaerobic Methanotrophic Archaeon Candidatus ‘Methanoperedens nitroreducens’. Environ. Sci. Technol. Lett. 2023, 10, 506–512. [Google Scholar] [CrossRef]
- Plugge, C.M.; Henstra, A.M.; Worm, P.; Swarts, D.C.; Paulitsch-Fuchs, A.H.; Scholten, J.C.M.; Lykidis, A.; Lapidus, A.L.; Goltsman, E.; Kim, E. Complete genome sequence of Syntrophobacter fumaroxidans strain (MPOBT). Stand. Genom. Sci. 2012, 7, 91–106. [Google Scholar] [CrossRef] [PubMed]
- Chen, Y.T.; Zeng, Y.; Li, J.; Zhao, X.Y.; Tang, Y. Novel syntrophic isovalerate-degrading bacteria and their energetic cooperation with methanogens in methanogenic chemostats. Environ. Sci. Technol. 2020, 54, 9618–9628. [Google Scholar] [CrossRef]
- Chen, C.; Chen, H.; Zhang, Y.; Thomas, H.R.; Frank, M.H.; He, Y.; Xia, R. TBtools: An Integrative Toolkit Developed for Interactive Analyses of Big Biological Data. Mol. Plant 2020, 13, 1194–1202. [Google Scholar] [CrossRef]
- Thiel, V.; Fukushima, S.-I.; Kanno, N.; Hanada, S. Encyclopedia of Microbiology, 4th ed.; Schmidt, T.M., Ed.; Academic Press: Oxford, UK, 2019; pp. 651–662. [Google Scholar] [CrossRef]
- Venkata Mohan, S.; Agarwal, L.; Mohanakrishna, G.; Srikanth, S.; Kapley, A.; Purohit, H.J.; Sarma, P.N. Firmicutes with iron dependent hydrogenase drive hydrogen production in anaerobic bioreactor using distillery wastewater. Int. J. Hydrogen Energy 2011, 36, 8234–8242. [Google Scholar] [CrossRef]
- McInerney, M.J.; Rohlin, L.; Mouttaki, H.; Kim, U.; Krupp, R.S.; Rios-Hernandez LSieber, J.; Struchtemeyer, C.G.; Bhattacharyya, A.; Campbell, J.W.; Gunsalus, R.P. The genome of Syntrophus aciditrophicus: Life at the thermodynamic limit of microbial growth. Proc. Natl. Acad. Sci. USA 2007, 104, 7600–7605. [Google Scholar] [CrossRef] [PubMed]
- Xia, X.; Zhang, J.; Song, T.; Lu, Y. Stimulation of Smithella-dominating propionate oxidation in a sediment enrichment by magnetite and carbon nanotubes. Environ. Microbiol. Rep. 2019, 11, 236–248. [Google Scholar] [CrossRef]
- Liu, X.; Wu, Y.; Xu, Q.; Du, M.; Wang, D.; Yang, Q.; Yang, G.; Chen, H.; Zeng, T.; Liu, Y.; et al. Mechanistic insights into the effect of poly ferric sulfate on anaerobic digestion of waste activated sludge. Water Res. 2021, 189, 116645. [Google Scholar] [CrossRef] [PubMed]
- Wang, S.; Wang, Z.; Usman, M.; Zheng, Z.; Zhao, X.; Meng, X.; Hu, K.; Shen, X.; Wang, X.; Cai, Y. Two microbial consortia obtained through purposive acclimatization as biological additives to relieve ammonia inhibition in anaerobic digestion. Water Res. 2023, 230, 119583. [Google Scholar] [CrossRef]
- Ahn, J.H.; Seo, H.; Park, W.; Seok, J.; Lee, J.A.; Kim, W.J.; Kim, G.B.; Kim, K.-J.; Lee, S.Y. Enhanced succinic acid production by Mannheimia employing optimal malate dehydrogenase. Nat. Commun. 2020, 11, 1970. [Google Scholar] [CrossRef]
- Lee, B.I.; Chang, C.; Cho, S.-J.; Eom, S.H.; Kim, K.K.; Yu, Y.G.; Suh, S.W. Crystal structure of the MJ0490 gene product of the hyperthermophilic archaebacterium Methanococcus jannaschii, a novel member of the Lactate/Malate family of dehydrogenases. Huber. J. Mol. Biol. 2001, 307, 1351–1362. [Google Scholar] [CrossRef]
- Gendron, A.; Allen, K. Heterologous expression and assembly of methyl-coenzyme M reductase from anaerobic methanotrophs. FASEB J. 2021, 35, 02755. [Google Scholar] [CrossRef]
- Bok, F.A.M.D.; Roze, E.H.A.; Stams, A.J.M. Hydrogenases and formate dehydrogenases of Syntrophobacter fumaroxidans. Antonie Van Leeuwenhoek 2002, 81, 283–291. [Google Scholar] [CrossRef]
- Worm, P.; Müller, N.; Plugge, C.M.; Stams, A.J.M.; Schink, B. Syntrophy in Methanogenic Degradation; Springer: Berlin/Heidelberg, Germany, 2010. [Google Scholar] [CrossRef]






| Sample ID | Chao1 | Observed_Species | PD_Whole_Tree | Shannon |
|---|---|---|---|---|
| CK | 3264.52 | 2577 | 194.01 | 8.16 |
| A | 3226.89 | 2592 | 195.01 | 8.19 |
| B | 3205.38 | 2585 | 194.03 | 8.14 |
| C | 3306.63 | 2506 | 190.91 | 8.08 |
| D | 3131.95 | 2476 | 187.52 | 7.96 |
Disclaimer/Publisher’s Note: The statements, opinions and data contained in all publications are solely those of the individual author(s) and contributor(s) and not of MDPI and/or the editor(s). MDPI and/or the editor(s) disclaim responsibility for any injury to people or property resulting from any ideas, methods, instructions or products referred to in the content. |
© 2024 by the authors. Licensee MDPI, Basel, Switzerland. This article is an open access article distributed under the terms and conditions of the Creative Commons Attribution (CC BY) license (https://creativecommons.org/licenses/by/4.0/).
Share and Cite
Li, Y.; Cai, G.; Pan, X.; Lv, N.; Feng, L.; Zhu, G.; Lv, Z.; Ye, Z. Promoting or Inhibiting: New Insights into the Role of Formate in Syntrophic Propionate Metabolism. Water 2024, 16, 3551. https://doi.org/10.3390/w16243551
Li Y, Cai G, Pan X, Lv N, Feng L, Zhu G, Lv Z, Ye Z. Promoting or Inhibiting: New Insights into the Role of Formate in Syntrophic Propionate Metabolism. Water. 2024; 16(24):3551. https://doi.org/10.3390/w16243551
Chicago/Turabian StyleLi, Yanlin, Guanjing Cai, Xiaofang Pan, Nan Lv, Lin Feng, Gefu Zhu, Zunjing Lv, and Zhilong Ye. 2024. "Promoting or Inhibiting: New Insights into the Role of Formate in Syntrophic Propionate Metabolism" Water 16, no. 24: 3551. https://doi.org/10.3390/w16243551
APA StyleLi, Y., Cai, G., Pan, X., Lv, N., Feng, L., Zhu, G., Lv, Z., & Ye, Z. (2024). Promoting or Inhibiting: New Insights into the Role of Formate in Syntrophic Propionate Metabolism. Water, 16(24), 3551. https://doi.org/10.3390/w16243551

