“Low-Hanging Fruit” Practices for Improving Water Productivity of Rainfed Potatoes Using Integration of Cultivar Selection, Mulch Application, and Different Agroecological Zones in Sub-Tropical, Semi-Arid Regions
Abstract
1. Introduction
2. Materials and Methods
2.1. Potato Cultivars’ Selection
2.2. Field Description and Climate Data
2.3. Experimental Design and Field Management
2.4. Collection of Field-Measured Variables
2.4.1. Growth and Phenological Parameters
2.4.2. Actual Crop Evapotranspiration (ETa)
2.4.3. Vapor Pressure Deficit
2.5. Statistical Analysis
3. Results and Discussion
3.1. Potato Cultivars’ Response to Weather Data
3.2. Seasonal Variation in Crop Water Productivity
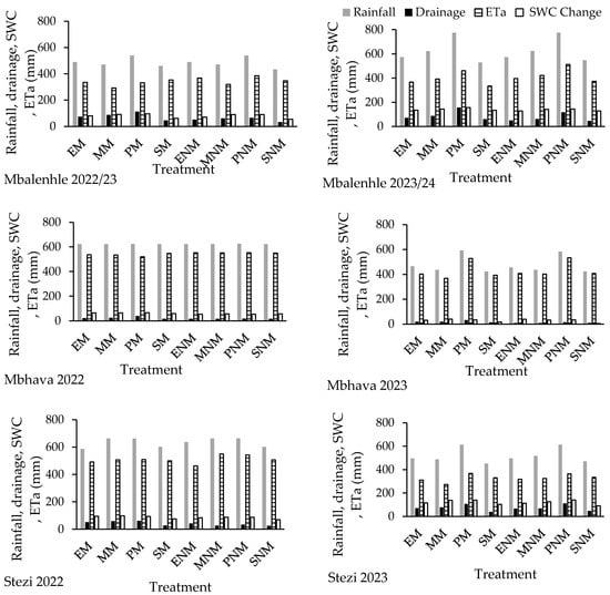
3.3. Soil Moisture Content and Drainage
3.4. Actual Crop Evapotranspiration
3.5. Yield
3.6. Water Productivity
4. Conclusions
Author Contributions
Funding
Data Availability Statement
Acknowledgments
Conflicts of Interest
References
- Mabhaudhi, T.; Mpandeli, S.; Luxon, N.; Chimonyo, V.G.P.; Senzanje, A.; Modi, A.T. Options for Improving Agricultural Water Productivity Under Increasing Water Scarcity in South Africa. In Proceedings of the 3rd World Irrigation Forum (WIF3) on Development for Water, Food and Nutrition Security in a Competitive Environment, Bali, Indonesia, 1–7 September 2019. [Google Scholar]
- Lindi, S.; Iticha, B.; Hone, M. Effect of Moisture Stress at Different Growth Stage on Wheat (Triticum aestevum L.) Yield and Water Productivity at Kulumsa, Ethiopia. Irrig. Drain. Syst. Eng. 2021, 10, 3–6. [Google Scholar]
- Ijaz-Ul-hassan, S.; Khan, A.; Erum, S. Effect of deficit drip irrigation on yield and water productivity of potato crop. Int. J. Agric. Ext. 2021, 9, 239–244. [Google Scholar] [CrossRef]
- Muthoni, J.; Shimelis, H. Chapter 24—An Overview of Potato Production in Africa. In Potato production worldwide; Caliskan, M.E., Bakhsh, A., Jabran, K., Eds.; Academic Press: Cambridge, MA, USA, 2023; pp. 435–456. [Google Scholar] [CrossRef]
- van Steenbergen, F.; Mulder, E.; Bremer, K.; Mul, M.; Chukalla, A.; Chevalking, S.; Deligianni, A.; van der Plujim, L.; Deribe, M. Compendium of Approaches to Improve Water Productivity; Water-PIP Technical Report Series; IHE Delft Institute for Water Education: Delft, The Netherlands, 2022. [Google Scholar]
- Allen, R.G.; Pereira, L.S. Crop Evapotranspiration Guidelines for Computing Crop Water Requirements; FAO Irrigation and Drainage Paper No.56; FAO: Rome, Italy, 1998; ISBN 9251042195. [Google Scholar]
- Ndayakunze, A. Optimising Rainfall Utilisation in Dryland Crop Production: A Case of Shallow-Rooted Crop; University of Pretoria: Pretoria, South Africa, 2014. [Google Scholar]
- Kader, M.A.; Singha, A.; Begum, M.A.; Jewel, A.; Khan, F.H.; Khan, N.I. Mulching as water-saving technique in dryland agriculture: Review article. Bull. Natl. Res. Cent. 2019, 43, 147. [Google Scholar] [CrossRef]
- Zayton, A.; Guirguis, A.; Allam, K. Effect of Mulching Type and Duration on the Productivity and Water Use Efficiency of Potato. J. Soil Sci. Agric. Eng. 2015, 6, 719–733. [Google Scholar] [CrossRef]
- Chen, Y.; Chai, S.; Tian, H.; Chai, Y.; Li, Y.; Chang, L. Straw strips mulch on furrows improves water use efficiency and yield of potato in a rainfed semiarid area. Agric. Water Manag. 2019, 211, 142–151. [Google Scholar] [CrossRef]
- Brar, A.S.; Buttar, G.S.; Thind, H.S.; Singh, K.B. Improvement of Water Productivity, Economics and Energetics of Potato through Straw Mulching and Irrigation Scheduling in Indian Punjab. Potato Res. 2019, 62, 465–484. [Google Scholar] [CrossRef]
- Zhang, S.; Wang, H.; Sun, X.; Fan, J.; Zhang, F.; Zheng, J.; Li, Y. Effects of farming practices on yield and crop water productivity of wheat, maize and potato in China: A meta-analysis. Agric. Water Manag. 2021, 243, 106444. [Google Scholar] [CrossRef]
- Biswal, P.; Swain, D.K.; Jha, M.K. Straw mulch with limited drip irrigation influenced soil microclimate in improving tuber yield and water productivity of potato in subtropical India. Soil Tillage Res. 2022, 223, 105484. [Google Scholar] [CrossRef]
- Trapero-mozos, A.; Morris, W.L.; Ducreux, L.J.M.; Mclean, K.; Stephens, J.; Torrance, L.; Bryan, G.J.; Hancock, R.D.; Taylor, M.A. Engineering heat tolerance in potato by temperature-dependent expression of a specific allele of heat-shock cognate. Plant Biotechnol. J. 2018, 70, 197–207. [Google Scholar] [CrossRef] [PubMed]
- Thuo, C.M.; Maina, S.W. Strengthening smallholder farmers resiliency for improved sustainable productivity of Irish Potatoes in Kenya. World J. Adv. Res. Rev. 2024, 22, 512–520. [Google Scholar] [CrossRef]
- Thomas-sharma, S.; Abdurahman, A.; Ali, S.; Andrade-piedra, J.L.; Bao, S. Seed degeneration in potato: The need for an integrated seed health strategy to mitigate the problem in developing countries. Plant Pathol. 2016, 65, 3–16. [Google Scholar] [CrossRef]
- Mabhaudhi, T.; Nhamo, L.; Mpandeli, S. Enhancing Crop Water Productivity Under Increasing Water Scarcity in South Africa; Elsevier Inc.: Amsterdam, The Netherlands, 2021. [Google Scholar] [CrossRef]
- Wolfe, D.W.; Fereres, E.; Voss, R.E. Growth and yield response of two potato cultivars to various levels of applied water. Irrig. Sci. 1983, 3, 211–222. [Google Scholar] [CrossRef]
- Fandika, I.R.; Kemp, P.D.; Millner, J.P.; Horne, D.; Roskruge, N. Irrigation and nitrogen effects on tuber yield and water use efficiency of heritage and modern potato cultivars. Agric. Water Manag. 2016, 170, 148–157. [Google Scholar] [CrossRef]
- Ngobese, N.Z.; Naidoo, M.; Workneh, T.S. Yield and tuber quality performance of eight European potato (Solanum tuberosum) cultivars in a short-day temperate climate. J. Cent. Eur. Agric. 2022, 23, 807–816. [Google Scholar] [CrossRef]
- Mthembu, S.G.; Magwaza, L.S.; Mashilo, J.; Mditshwa, A.; Odindo, A. Drought tolerance assessment of potato (Solanum tuberosum L.) genotypes at different growth stages, based on morphological and physiological traits. Agric. Water Manag. 2022, 261, 107361. [Google Scholar] [CrossRef]
- Soil Classification Working Group Soil Classification: A National and Anthropogenic System for South Africa, 3rd ed.Agricultural Research Council Institute for Soil, Climate and Water: Pretoria, South Africa, 2018; pp. 77–81.
- Saxton, K.E.; Willey, P.H. The SPAW model for agricultural field and pond hydrologic simulation. In Watershed Model; CRC Press: Boca Raton, FL, USA, 2005; pp. 401–435. [Google Scholar] [CrossRef]
- Ndlovu, H.S.; Odindi, J.; Sibanda, M.; Mutanga, O.; Clulow, A.; Chimonyo, V.G.P.; Mabhaudhi, T. A Comparative Estimation of Maize Leaf Water Content Using Machine Learning Techniques and Unmanned Aerial Vehicle (UAV)—Based Proximal and Remotely Sensed Data. Remote Sens. 2021, 13, 4091. [Google Scholar] [CrossRef]
- Tamako, N.; Thamaga-Chitja, J.M. Does social capital play a role in climate change adaptation among smallholder farmers for improving food security and livelihoods? J. Consum. Sci. 2017, 2, 16–26. [Google Scholar]
- Popoola, A.Q. Using Agrometeorological Data to Equip Local Farmers for Sustainable Food Production in Swayimane, KwaZulu-Natal. Doctoral Dissertation, University of KwaZulu-Natal, Pietermaritzburg, Soith Africa, 2019. [Google Scholar]
- Mthembu, S.G. Response of Potato Genotypes to Production Sites and Water Deficit Imposed at Different Growth Stages, University of KwaZulu-Natal. Master’s Dissertation, Pietermaritzberg, South Africa, 2020. [Google Scholar]
- Manson, A.D.; Bainbridge, S.H.; Thibaud, G.R. Methods Used for Analysis of Soils and Plant Material by Analytical Services at Cedara; KZN Agri-Report No. N/A2020/07; KZN Department of Agriculture & Ruaral Development: Pietermaritzburg, South Africa, 2020. [Google Scholar]
- Phungula, N.P.M.; Hadebe, S.; Schulte-Geldermann, E.; Ngobese, N.Z. Morphological Response of Four Potato Cultivars (Solanum tuberosum L.) Cultivars to Different Agriculture Practices Under Rainfed Production, Proceeding of the Acta Hortic.1391. ISHS 2024: Proc. IX South-Eastern Europe Symposium on Vegetables and Potatoes; ISHS Acta Horticulturae: Leuven, Belgium, 2024; pp. 131–138. [Google Scholar] [CrossRef]
- Mukiibi, A.; Franke, A.C.; Steyn, J.M. Determination of Crop Coefficients and Evapotranspiration of Potato in a Semi-Arid Climate Using Canopy State Variables and Satellite-Based NDVI. Remote Sens. 2023, 15, 4579. [Google Scholar] [CrossRef]
- Sahoo, P.; Brar, A.S.; Sharma, S. Effect of methods of irrigation and sulphur nutrition on seed yield, economic and bio-physical water productivity of two sun fl ower (Helianthus annuus L.) hybrids. Agric. Water Manag. 2018, 206, 158–164. [Google Scholar] [CrossRef]
- Machakaire, A.T.B.; Steyn, J.M.; Franke, A.C. Photosynthesis rate, radiation and water use efficiencies of irrigated potato in a semi-arid climate using Eddy Covariance techniques. J. Agric. Sci. 2023, 161, 217–229. [Google Scholar] [CrossRef]
- Naidoo, M.; van Rij, N.; Arathoon, J. Potato Production for KwazZulu-Natal; Agriculture Update; KZN Department of Agriculture, Environmental Affairs and Rural Development: Pietermaritzberg, South Africa, 2010. [Google Scholar]
- Sarker, K.K.; Hossain, A.; Timsina, J.; Biswas, S.K.; Kundu, B.C.; Barman, A.; Murad, K.F.I.; Akter, F. Yield and quality of potato tuber and its water productivity are influenced by alternate furrow irrigation in a raised bed system. Agric. Water Manag. 2019, 224, 105750. [Google Scholar] [CrossRef]
- Karam, F.; Amacha, N.; Fahed, S.; Asmar, T.E.L.; Domínguez, A. Response of potato to full and deficit irrigation under semiarid climate: Agronomic and economic implications. Agric. Water Manag. 2014, 142, 144–151. [Google Scholar] [CrossRef]
- Li, R.; Chai, S.; Chai, Y.; Li, Y.; Lan, X.; Ma, J. Mulching optimizes water consumption characteristics and improves crop water productivity on the semi-arid Loess Plateau of China. Agric. Water Manag. 2021, 254, 106965. [Google Scholar] [CrossRef]
- Waqas, M.S.; Cheema, M.J.M.; Hussain, S.; Ullah, M.K.; Iqbal, M.M. Delayed irrigation: An approach to enhance crop water productivity and to investigate its effects on potato yield and growth parameters. Agric. Water Manag. 2021, 245, 106576. [Google Scholar] [CrossRef]
- Das, S.; Mitra, B.; Luthra, S.K.; Saha, A.; Hassan, M.M. Study on Morphological, Physiological Characteristics and Yields of Twenty-One Potato (Solanum tuberosum L.) Cultivars Grown in Eastern Sub-Himalayan Plains of India. Agronomy 2021, 11, 335. [Google Scholar] [CrossRef]
- Kassaye, K.T.; Yilma, W.A.; Fisha, M.H.; Haile, D.H. Yield and Water Use Efficiency of Potato under Alternate Furrows and Deficit Irrigation. Int. J. Agron. 2020, 2020, 8869098. [Google Scholar] [CrossRef]








| Cultivar | Drought Tolerance | Length of the Growing Season | Maturation Period (Days) |
|---|---|---|---|
| Electra 1 | Good | Medium late | 119–126 |
| Mondial 1 | Good | Medium late | 119–126 |
| Panamera 1 | Susceptible | Late | 132–142 |
| Sababa 2 | Good | Medium | 112–120 |
| Macro-Climate (Agroecologies) | Appelsbosch | Swayimane | |
|---|---|---|---|
| Micro-climate (locality) | Mbalenhle | Stezi | Mbhava |
| Coordinates | 29°22′33.88″ S 30°52′4.84″ E | 29°31′51.10″ S 30°35′24.42″ E | 29°33′54.98″ S 30°39′44.64″ E |
| Elevation (m.a.s.l) | 1003 | 874 | 750 |
| Average air temperatures (°C) 1,2 | 17.1 | 18.7 | 18.7 |
| Humidity levels 1,2 | High | Moderate | Moderate |
| Annual mean and range of rainfall (mm) 1,2 | 650 (500–800) 1 | 800 (600–1100) 2 | 800 (600–1100) 2 |
| Aspect | North-facing slope | North-facing slope | South-facing slope |
| Bioresource group (BRU) 3,4 | Warm moist grass veld | Sub-tropical coastal | Sub-tropical coastal |
| Locality | Soil Depth | Soil Form | Textural Class | Clay Content | 1 PWP | 2 FC | 3 SAT |
|---|---|---|---|---|---|---|---|
| (m) | % | ||||||
| Mbalenhle | >1 | Inanda (Umbrisols) | Sandy loam | 20.7 | 22.1 | 33.7 | 43.7 |
| Mbhava | >1 | Hutton (Ferralsols) | Clay | 50.4 | 29.5 | 39.9 | 42.0 |
| Stezi | >1 | Inanda (Umbrisols) | Sandy clay loam | 26.6 | 23.1 | 39.1 | 46.7 |
| Locality | 2022/23 Season | 2023/24 Season |
|---|---|---|
| Mbalenhle | 0.78 | 0.74 |
| Mbhava | 1.08 | 1.14 |
| Stezi | 0.82 | 0.83 |
| Source of Variation | Duration of 1 CCx | 2 ∆SWC | Rainfall | 3 ETa | Yield | 4 WP |
|---|---|---|---|---|---|---|
| Season (S) | <0.001 | <0.001 | <0.001 | <0.001 | 0.556 | <0.001 |
| Source of Variation | Duration of 1 CCx | 2 ETa | Yield | Rainfall | 3 ∆SWC | 4 WP |
|---|---|---|---|---|---|---|
| Duration of CCx | 1 | 0.19 * | 0.2178 * | 0.23 * | 0.009 ns | −0.01 ns |
| ETa | 1 | −0.01 ns | 0.76 *** | 0.32 *** | −0.64 *** | |
| Yield | 1 | 0.10 ns | −0.45 *** | 0.74 *** | ||
| Rainfall | 1 | 0.11 *** | −0.35 *** | |||
| SWC | 1 | −0.52 *** | ||||
| WP | 1 |
| Locality | Cultivar | Mulching | Yield (t ha−1) | WP (kg m−3) | ||||
|---|---|---|---|---|---|---|---|---|
| 2022/23 | 2023/24 | Mean | 2022/23 | 2023/24 | Mean | |||
| Mbalenhle | Electra | Mulch | 61.53 g | 64.22 f | 62.88 | 18.38 j | 17.84 e | 18.11 |
| Mondial | 38.99 bcde | 51.27 bcdef | 45.13 | 13.34 hi | 13.07 bcde | 13.21 | ||
| Panamera | 42.93 def | 59.13 ef | 51.03 | 12.94 hi | 12.83 bcde | 12.89 | ||
| Sababa | 35.81 abcd | 28.48 abc | 32.15 | 10.25 defgh | 8.50 abcd | 9.38 | ||
| Electra | Not mulch | 58.94 g | 62.99 f | 60.97 | 15.98 ij | 16.06 cde | 16.02 | |
| Mondial | 37.05 abcde | 53.66 cdef | 45.36 | 11.68 fgh | 12.76 bcde | 12.22 | ||
| Panamera | 40.32 cde | 54.22 def | 47.27 | 10.46 efgh | 10.58 abcde | 10.52 | ||
| Sababa | 36.53 abcd | 40.35 abcdef | 38.44 | 10.52 efgh | 10.82 abcde | 10.67 | ||
| Mbhava | Electra | Mulch | 43.78 def | 36.07 abcde | 39.93 | 8.14 bcdef | 8.97 abcd | 8.56 |
| Mondial | 25.62 ab | 27.66 ab | 26.64 | 4.79 ab | 7.52 ab | 6.16 | ||
| Panamera | 30.66 abc | 27.32 ab | 28.99 | 5.03 ab | 5.18 ab | 5.11 | ||
| Sababa | 27.43 abc | 30.69 abcd | 29.06 | 5.01 ab | 7.82 ab | 6.42 | ||
| Electra | Not mulch | 51.44 efg | 30.97 abcd | 41.21 | 9.29 cdefg | 7.63 ab | 8.46 | |
| Mondial | 23.18 a | 26.43 ab | 24.81 | 4.20 a | 6.59 ab | 5.40 | ||
| Panamera | 37.58 abcde | 22.56 a | 30.07 | 6.78 abcd | 3.85 a | 5.32 | ||
| Sababa | 25.61 ab | 32.45 abcd | 29.03 | 4.66 ab | 7.95 abc | 6.31 | ||
| Stezi | Electra | Mulch | 59.99 g | 50.17 bcdef | 55.08 | 12.29 gh | 16.21 de | 14.25 |
| Mondial | 39.94 bcde | 43.94 abcdef | 41.94 | 7.90 bcde | 16.28 de | 12.09 | ||
| Panamera | 33.71 abcd | 37.17 abcde | 35.44 | 5.01 ab | 9.99 abcde | 7.50 | ||
| Sababa | 37.97 bcde | 33.42 abcd | 35.70 | 7.58 abcde | 10.13 abcde | 8.50 | ||
| Electra | Not mulch | 56.69 fg | 36.02 abcde | 46.36 | 12.26 gh | 10.80 abcde | 11.53 | |
| Mondial | 34.17 abcd | 40.60 abcdef | 37.39 | 6.22 abc | 12.68 bcde | 9.45 | ||
| Panamera | 25.53 ab | 40.66 abcdef | 33.10 | 6.20 abc | 11.20 abcde | 8.70 | ||
| Sababa | 44.35 def | 32.56 abcd | 38.45 | 8.790 cdefg | 9.76 abcde | 9.28 | ||
Disclaimer/Publisher’s Note: The statements, opinions and data contained in all publications are solely those of the individual author(s) and contributor(s) and not of MDPI and/or the editor(s). MDPI and/or the editor(s) disclaim responsibility for any injury to people or property resulting from any ideas, methods, instructions or products referred to in the content. |
© 2024 by the authors. Licensee MDPI, Basel, Switzerland. This article is an open access article distributed under the terms and conditions of the Creative Commons Attribution (CC BY) license (https://creativecommons.org/licenses/by/4.0/).
Share and Cite
Phungula, N.P.M.; Hadebe, S.T.; Schulte-Geldermann, E.; Sithole, L.; Ngobese, N.Z. “Low-Hanging Fruit” Practices for Improving Water Productivity of Rainfed Potatoes Using Integration of Cultivar Selection, Mulch Application, and Different Agroecological Zones in Sub-Tropical, Semi-Arid Regions. Water 2024, 16, 3422. https://doi.org/10.3390/w16233422
Phungula NPM, Hadebe ST, Schulte-Geldermann E, Sithole L, Ngobese NZ. “Low-Hanging Fruit” Practices for Improving Water Productivity of Rainfed Potatoes Using Integration of Cultivar Selection, Mulch Application, and Different Agroecological Zones in Sub-Tropical, Semi-Arid Regions. Water. 2024; 16(23):3422. https://doi.org/10.3390/w16233422
Chicago/Turabian StylePhungula, Nosipho Precious Minenhle, Sandile Thamsanqa Hadebe, Elmar Schulte-Geldermann, Lucky Sithole, and Nomali Ziphorah Ngobese. 2024. "“Low-Hanging Fruit” Practices for Improving Water Productivity of Rainfed Potatoes Using Integration of Cultivar Selection, Mulch Application, and Different Agroecological Zones in Sub-Tropical, Semi-Arid Regions" Water 16, no. 23: 3422. https://doi.org/10.3390/w16233422
APA StylePhungula, N. P. M., Hadebe, S. T., Schulte-Geldermann, E., Sithole, L., & Ngobese, N. Z. (2024). “Low-Hanging Fruit” Practices for Improving Water Productivity of Rainfed Potatoes Using Integration of Cultivar Selection, Mulch Application, and Different Agroecological Zones in Sub-Tropical, Semi-Arid Regions. Water, 16(23), 3422. https://doi.org/10.3390/w16233422

