Spatial Distribution of Calanoida in Freshwater Ecosystems and Their Application as a Food Web Assessment Index
Abstract
1. Introduction
2. Materials and Methods
2.1. Study Site and Data Collection
2.2. Statistical Analysis
2.2.1. Analysis of Calanoida Occurrence Characteristics: Assessment of the Occurrence Probability Based on Water Quality and Food Environment Conditions
2.2.2. Analysis of Calanoida Abundance Characteristics: Identification of Relationships with Water Quality and Food Environment Conditions
2.2.3. Assessment of Calanoida as an Indicator: Analysis of Distribution Trends by Copepod Genus
3. Results
3.1. Occurrence Characteristics of Calanoida in 49 Lakes in Korea
3.2. Analysis of Calanoida Occurrence Characteristics
3.2.1. Comparison of Calanoida Occurrence Rates According to the Physical Characteristics of Lakes
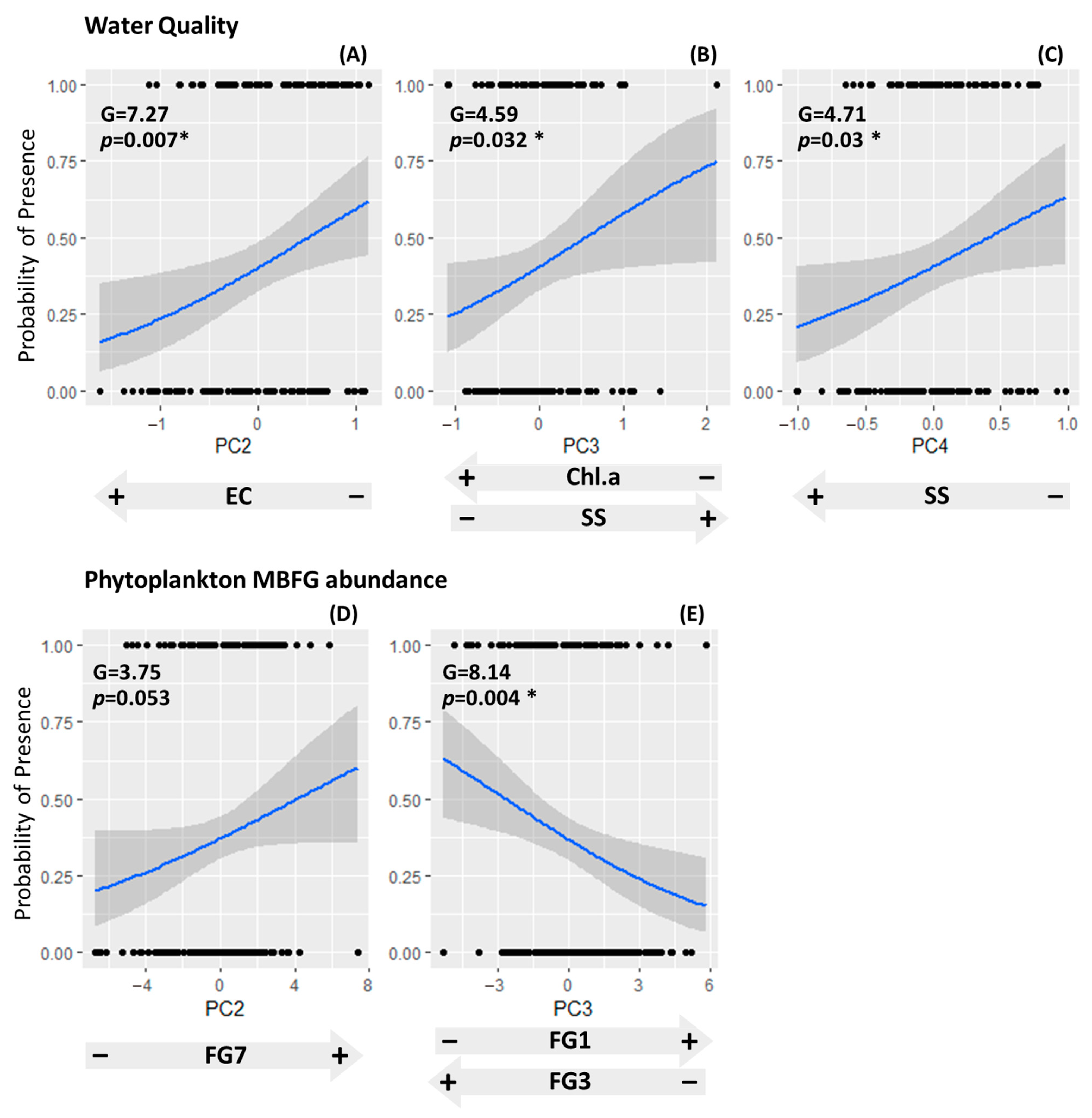
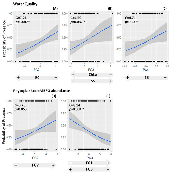
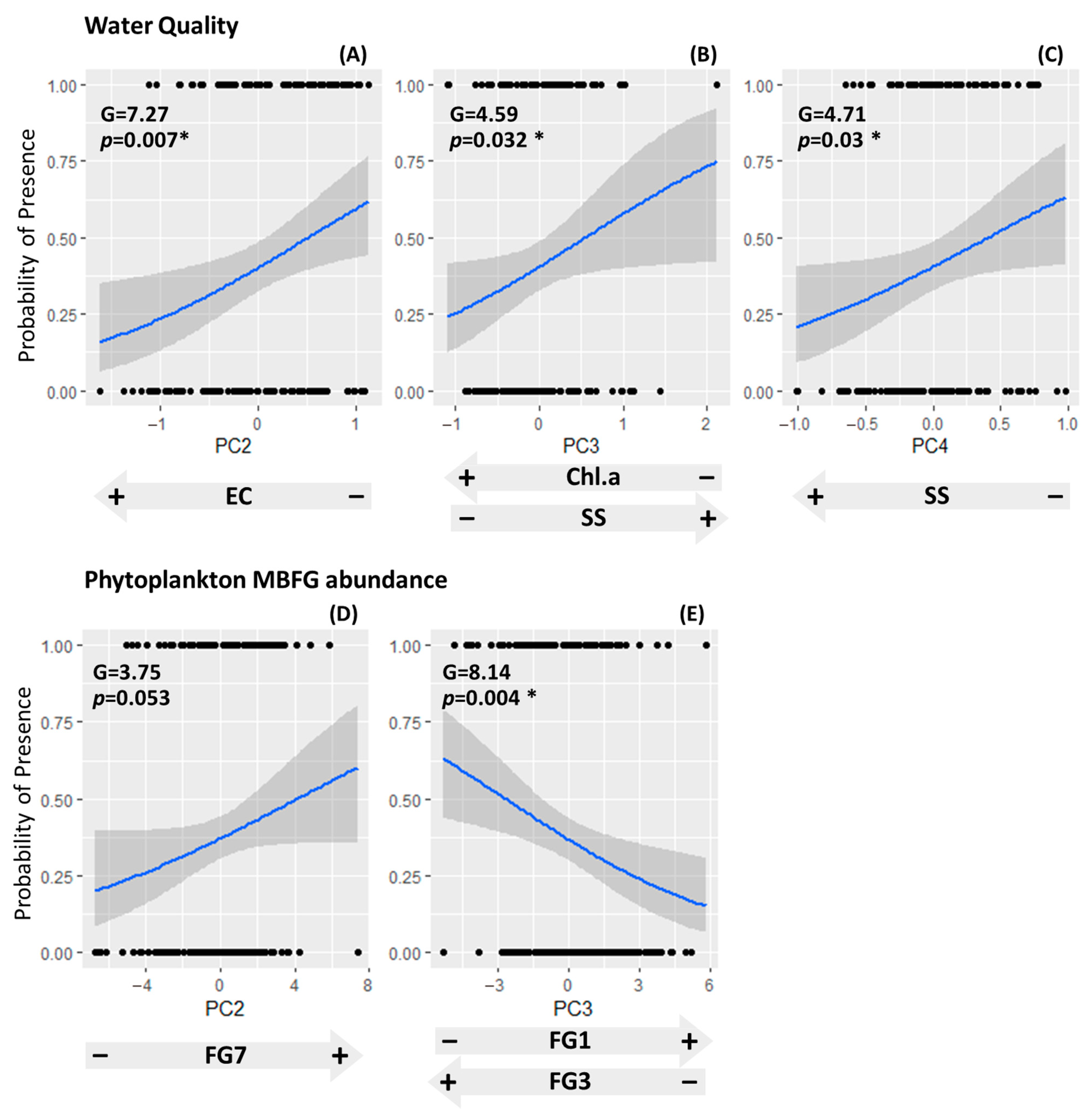
3.2.2. Assessment of Occurrence Probability Based on Water Quality and Food Environment Conditions
3.3. Relationships of Calanoida Abundance with Water Quality and Food Environment Conditions
3.4. Comparison of Copepod Genera Distribution Trends with Water Quality and Feeding Environment Factors
4. Discussion
5. Conclusions
Author Contributions
Funding
Data Availability Statement
Conflicts of Interest
Appendix A. MBFG (Morphology-Based Functional Group) Classification of Phytoplankton from This Study
| MBFG | Description | Phytoplankton in This Study (Genus Level) |
| I | Small organisms with high surface/volume | Euastrum, Teilingia, Chlorella, Coronastrum, Dicloster, Dictyosphaerium, Stichococcus, Tetradesmus, Tetraedron, Romeria, Synechocystis |
| II | Small-flagellated organisms with siliceous exoskeletal structures | Dinobryon, Kephyrion, Lagynion, Mallomonas, Stenokalyx, Synura, Chlorogonium, Coccomonas, Phacotus |
| III | Large filaments with aerotopes with high surface/volume | Anabaena, Anabaenopsis, Aphanizomenon, Geitlerinema, Lyngbya, Oscillatoria, Phormidium, Pseudanabaena, Raphidiopsis |
| IV | Organisms of medium size lacking specialized traits | Closterium, Cosmarium, Desmidium, Elakatothrix, Gonatozygon, Mougeotia, Pleurotaenium, Staurastrum, Centritractus, Ophiocytium, Acanthosphaera, Actinastrum, Ankistrodesmus, Ankyra, Asterococcus, Chodatella, Closteriopsis, Coelastrum, Desmatractum, Diacanthos, Dicellula, Didymocystis, Didymogenes, Echinosphaeridium, Euastrum, Golenkinia, Hofmania, Kirchneriella, Micractinium, Monoraphidium, Pachycladella, Pediastrum, Planktosphaeria, Polyedriopsis, Scenedesmus, Schroederia, Selenastrum, Siderocelis, Sorastrum, Staurodesmus, Tetrachlorella, Tetraedron, Tetrallantos, Tetrastrum, Treubaria, Ulothrix, Spirulina |
| V | Unicellular flagellates of medium to large size | Cryptomonas, Rhodomonas, Colacium, Entosiphon, Euglena, Lepocinclis, Phacus, Strombomonas, Trachelomonas, Ceratium, Glenodinium, Gymnodinium, Peridinium, Prorocentrum, Basichlamys, Carteria, Characium, Chlamydomonas, Eudorina, Gonium, Pteromonas, Sphaerellopsis |
| VI | Non-flagellated organisms with siliceous exoskeletons | Acanthoceras, Achnanthes, Actinocyclus, Amphipleura, Amphiprora, Amphora, Anomoeoneis, Asterionella, Attheya, Aulacoseira, Bacillaria, Caloneis, Cocconeis, Cyclostephanos, Cyclotella, Cymbella, Diatoma, Diploneis, Eunotia, Fragilaria, Frustulia, Gomphonema, Gyrosigma, Hannaea, Hantzschia, Leptocylindrus, Melosira, Meridion, Navicula, Neidium, Nitzschia, Pinnularia, Plagiotropis, Pseudostaurosira, Reimeria, Rhaphoneis, Rhizosolenia, Rhoicosphenia, Rhopalodia, Skeletonema, Stephanodiscus, Surirella, Synedra, Tabellaria, Tabularia, Thalassiosira |
| VII | Large mucilaginous colonies with low surface/volume colonies | Botryococcus, Coenochloris, Coenocystis, Crucigenia, Dichotomococcus, Dimorphococcus, Eutetramorus, Franceia, Gloeocystis, Granulocystis, Granulocystopsis, Lagerheimia, Nephrocytium, Oocystis, Pandorina, Quadricoccus, Radiococcus, Selenodictyum, Sphaerocystis, Tetraspora, Westella, Aphanocapsa, Aphanothece, Chroococcus, Coelosphaerium, Cylindrospermum, Gloeocapsa, Gomphosphaeria, Merismopedia, Microcystis, Myxosarcina, Snowella, Woronichinia |
Appendix B. Range of Water Quality and Feeding Environment Factors in the 49 Lakes During the Survey Period
| Water Quality Factors | Avg. ± SD (Min–Max) | Feeding Environment Factors | Avg. ± SD (Min–Max) |
| WT (°C) | 16.1 ± 6.5 (3.8–32) | Total phytoplankton(cells/mL) | 7822.7 ± 21,300.9 (47.2–168,800) |
| DO (mg/L) | 9.48 ± 2.57 (3.31–17.1) | MBFG1 (cells/mL) | 84.7 ± 304.5 (0–2950) |
| COD (mg/L) | 4.55 ± 2.7 (0.95–14.3) | MBFG2 (cells/mL) | 37.8 ± 211.6 (0–2600) |
| SS (mg/L) | 6.89 ± 9.34 (0.45–64) | MBFG3 (cells/mL) | 1757.8 ± 9581.4 (0–93,900) |
| TN (mg/L) | 1.59 ± 0.97 (0.36–5.98) | MBFG4 (cells/mL) | 627.6 ± 2011.6 (0–19,510) |
| TP (mg/L) | 0.03 ± 0.03 (0–0.15) | MBFG5 (cells/mL) | 333.3 ± 802.5 (0–8604.5) |
| TOC (mg/L) | 2.98 ± 1.83 (0.8–13.6) | MBFG6 (cells/mL) | 1800.6 ± 2754.7 (0–18,681.5) |
| EC (μS/cm) | 186.67 ± 132.17 (51–841.5) | MBFG7 (cells/mL) | 3180.9 ± 14,950.1 (0–146,304) |
| DTN (mg/L) | 1.47 ± 0.94 (0.32–5.83) | ||
| DTP (mg/L) | 0.01 ± 0.02 (0–0.14) | ||
| Chl.a (mg/m3) | 14.27 ± 28.54 (0.1–239.5) |
Appendix C. Average ± Standard Deviation of Water Quality Factors in the Lakes Analyzed in This Study
| Num. | Name | WT (°C) | TN (mg/L) | TP (mg/L) | TOC (mg/L) | pH | EC (μS/cm) | Chl.a (mg/m3) |
| 1 | Hwacheon Lake | 13.18 ± 5.15 | 1.11 ± 0.03 | 0.01 ± 0.01 | 1.26 ± 0.15 | 7.86 ± 0.29 | 114.08 ± 14.1 | 1.86 ± 0.79 |
| 2 | Chuncheon Lake | 14.69 ± 6.62 | 1.32 ± 0.15 | 0.02 ± 0.01 | 1.91 ± 0.42 | 8.05 ± 0.7 | 105.25 ± 16.07 | 4.65 ± 1.77 |
| 3 | Soyang Lake | 11.71 ± 4.39 | 2.26 ± 0.12 | 0.01 ± 0 | 1.77 ± 0.2 | 6.98 ± 0.3 | 78.17 ± 6.06 | 1.08 ± 0.46 |
| 4 | Uiam Lake | 15.15 ± 6.6 | 1.58 ± 0.16 | 0.02 ± 0 | 2.25 ± 0.59 | 7.99 ± 0.42 | 113.88 ± 6.01 | 7.4 ± 3.51 |
| 5 | Cheongpyeong Lake | 15.06 ± 6.89 | 1.77 ± 0.2 | 0.01 ± 0 | 1.36 ± 0.35 | 7.71 ± 0.14 | 115.38 ± 12.59 | 2.5 ± 1.26 |
| 6 | Paldang Lake | 16.48 ± 5.61 | 2.52 ± 0.29 | 0.04 ± 0.02 | 2.6 ± 0.47 | 8.16 ± 0.35 | 229.75 ± 26.6 | 14.18 ± 4.05 |
| 7 | Seo Lake | 17.75 ± 4.33 | 5.18 ± 0.8 | 0.11 ± 0.02 | 7.68 ± 2.31 | 9.35 ± 0.17 | 518 ± 65.96 | 103.48 ± 32.18 |
| 8 | Woncheon Lake | 16.28 ± 5.2 | 0.78 ± 0.15 | 0.02 ± 0 | 3.25 ± 0.91 | 7.95 ± 0.21 | 432.5 ± 114.88 | 10.68 ± 4.08 |
| 9 | Chungju Regulating Reservoir | 16.83 ± 5.03 | 2.39 ± 0.23 | 0.01 ± 0.01 | 1.9 ± 0.14 | 8.31 ± 0.27 | 224 ± 26.57 | 2.75 ± 2.65 |
| 10 | Chungju Lake | 9.96 ± 7 | 2.34 ± 0.1 | 0.02 ± 0.01 | 1.67 ± 0.24 | 7.7 ± 0.81 | 227.92 ± 18.35 | 1.5 ± 1.01 |
| 11 | Goesan Lake | 17.23 ± 5.36 | 1.42 ± 0.29 | 0.03 ± 0.01 | 3.38 ± 2.62 | 7.63 ± 0.33 | 150 ± 54.37 | 3.53 ± 1.32 |
| 12 | Chopyeong Lake | 17.48 ± 6.21 | 1.21 ± 0.33 | 0.02 ± 0.01 | 3.5 ± 0.46 | 7.65 ± 0.69 | 145 ± 17.85 | 17.38 ± 19.62 |
| 13 | Sapgyo Lake | 18.83 ± 7.3 | 3.91 ± 0.86 | 0.12 ± 0.03 | 3.96 ± 0.97 | 8.04 ± 0.29 | 475 ± 243.12 | 21.95 ± 8.46 |
| 14 | Songak Lake | 18.3 ± 5.38 | 1.1 ± 0.37 | 0.04 ± 0.02 | 3.83 ± 0.53 | 8.2 ± 0.61 | 166.25 ± 27.86 | 44.83 ± 28.43 |
| 15 | Yedang Lake | 17.11 ± 6.73 | 1.26 ± 0.56 | 0.04 ± 0.01 | 3.41 ± 1.04 | 8.34 ± 0.51 | 221.13 ± 49.07 | 33.54 ± 16.91 |
| 16 | Cheongcheon Lake | 18.1 ± 5.2 | 1.25 ± 0.32 | 0.02 ± 0 | 2.59 ± 0.31 | 7.61 ± 0.68 | 158.63 ± 19.64 | 9.41 ± 2.21 |
| 17 | Boryeong Lake | 15.11 ± 7.09 | 2.45 ± 0.56 | 0.01 ± 0 | 1.79 ± 0.17 | 7.79 ± 0.31 | 107.5 ± 36.62 | 3.54 ± 2.01 |
| 18 | Tapjeong Lake | 18.28 ± 9.28 | 1.68 ± 0.46 | 0.03 ± 0.01 | 1.91 ± 0.36 | 7.86 ± 0.49 | 123 ± 24.57 | 10.99 ± 12.02 |
| 19 | Buan Lake | 16.74 ± 5.72 | 2.25 ± 0.14 | 0.01 ± 0 | 1.98 ± 0.19 | 6.63 ± 0.25 | 75.38 ± 2.94 | 1.01 ± 0.82 |
| 20 | Gyeongcheon Lake | 16.82 ± 2.38 | 1.77 ± 0.21 | 0.03 ± 0.02 | 2.03 ± 0.31 | 7.8 ± 0.5 | 79 ± 14.72 | 8.02 ± 6.29 |
| 21 | Otae Lake | 19.13 ± 4.83 | 0.69 ± 0.11 | 0.01 ± 0 | 2.6 ± 0.22 | 7.5 ± 0.08 | 126 ± 14.51 | 2.67 ± 0.85 |
| 22 | Imha Lake | 14.04 ± 5.42 | 1.35 ± 0.16 | 0.02 ± 0 | 4.24 ± 0.37 | 7.01 ± 0.27 | 231.88 ± 44.97 | 1.55 ± 0.29 |
| 23 | Yongyeon Lake | 13.8 ± 3.68 | 1.07 ± 0.41 | 0.02 ± 0.01 | 3.67 ± 0.84 | 7.6 ± 0.22 | 182 ± 69.82 | 20.07 ± 6.35 |
| 24 | Yeongcheon Lake | 15.85 ± 7.28 | 1.58 ± 0.09 | 0.01 ± 0 | 3.85 ± 0.56 | 7.43 ± 0.44 | 178.88 ± 70.57 | 6.64 ± 2.02 |
| 25 | Gidong Lake | 18 ± 3.33 | 1.01 ± 0.64 | 0.02 ± 0 | 4.77 ± 0.73 | 7.87 ± 0.39 | 171.67 ± 11.81 | 20.03 ± 9.13 |
| 26 | Angye Lake | 16.8 ± 6.07 | 1.22 ± 0.29 | 0.01 ± 0 | 3.53 ± 0.33 | 7.95 ± 0.42 | 207.75 ± 39.54 | 5.38 ± 2.21 |
| 27 | Deokdong Lake | 6.7 ± 0 | 0.86 ± 0 | 0.1 ± 0 | 3.3 ± 0 | 7.1 ± 0 | 114 ± 0 | 2.9 ± 0 |
| 28 | Bomun Lake | 16.6 ± 5.34 | 0.87 ± 0.3 | 0.06 ± 0.04 | 3.5 ± 0.37 | 7.83 ± 0.36 | 169 ± 34.38 | 11.23 ± 4.36 |
| 29 | Sayeon Lake | 14.4 ± 7.12 | 0.73 ± 0.18 | 0.01 ± 0 | 3.25 ± 0.52 | 7.4 ± 0.3 | 160 ± 14.65 | 6.65 ± 4.15 |
| 30 | Seonam Lake | 17.98 ± 7.44 | 1.58 ± 0.42 | 0.02 ± 0.01 | 3.35 ± 0.7 | 8 ± 0.51 | 327 ± 81.04 | 11.93 ± 8.64 |
| 31 | Daeam Lake | 16.83 ± 6.58 | 1.77 ± 0.54 | 0.02 ± 0.01 | 3.3 ± 0.63 | 7.7 ± 0.19 | 293.25 ± 46.56 | 12.63 ± 12.92 |
| 32 | Hoeya Lake | 16.73 ± 5.27 | 1.6 ± 0.51 | 0.03 ± 0.01 | 3.25 ± 0.3 | 7.5 ± 0.34 | 337.25 ± 95.51 | 10.3 ± 3.02 |
| 33 | Hoedong Reservoir | 17.82 ± 5.34 | 1.54 ± 0.26 | 0.02 ± 0.01 | 3.35 ± 0.72 | 7.99 ± 0.53 | 271.92 ± 92.37 | 9.98 ± 3.52 |
| 34 | Junam Reservoir | 17.98 ± 3.5 | 1.26 ± 0.24 | 0.06 ± 0.04 | 9.75 ± 2.44 | 7.73 ± 0.13 | 363.5 ± 74.53 | 105.2 ± 81.01 |
| 35 | Jangcheok Lake | 19.4 ± 1.02 | 1.03 ± 0.33 | 0.08 ± 0.06 | 10.17 ± 2.22 | 6.67 ± 0.26 | 214.67 ± 34.26 | 24.87 ± 19.62 |
| 36 | Bongsan Lake | 12.2 ± 8.45 | 0.67 ± 0.43 | 3.04 ± 4.21 | 7.53 ± 0.86 | 4.8 ± 3.4 | 190 ± 150.11 | 26.53 ± 8.89 |
| 37 | Jilnalbeol Lake | 18.04 ± 8.67 | 1.29 ± 0.33 | 0.05 ± 0.01 | 3.53 ± 0.59 | 7.09 ± 0.32 | 206 ± 23.27 | 54.13 ± 23.08 |
| 38 | Namgang Lake | 18.38 ± 8.4 | 1.13 ± 0.34 | 0.02 ± 0 | 2.14 ± 0.22 | 8.65 ± 0.15 | 87.13 ± 19.05 | 4.65 ± 2.36 |
| 39 | Jangseong Lake | 14.24 ± 4.29 | 0.71 ± 0.17 | 0.02 ± 0 | 2.85 ± 0.27 | 8.29 ± 1.48 | 104.38 ± 4.52 | 12.9 ± 4.54 |
| 40 | Damyang Lake | 12.29 ± 3.56 | 0.68 ± 0.09 | 0.01 ± 0 | 2.24 ± 0.54 | 7.63 ± 0.9 | 67.5 ± 7.87 | 6.14 ± 1.3 |
| 41 | Gwangju Lake | 18.45 ± 4.56 | 0.71 ± 0.16 | 0.02 ± 0 | 3.3 ± 0.52 | 7.88 ± 0.23 | 109.5 ± 15.53 | 4.63 ± 1.09 |
| 42 | Daedong Lake | 19.9 ± 2.8 | 1.67 ± 0.27 | 0.04 ± 0.01 | 4.6 ± 0.1 | 8.55 ± 0.85 | 224.5 ± 9.5 | 22.3 ± 11.3 |
| 43 | Naju Lake | 14.94 ± 4.99 | 0.55 ± 0.03 | 0.03 ± 0.01 | 3.7 ± 0.55 | 7.51 ± 0.22 | 95 ± 6.94 | 12.35 ± 4.82 |
| 44 | Dongbok Lake | 17.19 ± 7.54 | 0.73 ± 0.09 | 0.02 ± 0.01 | 2.28 ± 0.45 | 7.35 ± 0.54 | 80.88 ± 17.11 | 6.03 ± 1.04 |
| 45 | Juam Lake | 16.29 ± 6.03 | 0.97 ± 0.21 | 0.02 ± 0.01 | 2.08 ± 0.14 | 7.18 ± 0.18 | 77.42 ± 16.8 | 6.99 ± 2.95 |
| 46 | Sangsa Lake | 14.79 ± 5.87 | 1.36 ± 0.1 | 0.01 ± 0.01 | 1.65 ± 0.15 | 7.03 ± 0.11 | 73.38 ± 11.45 | 4.26 ± 1.95 |
| 47 | Sueo Lake | 16.53 ± 6.48 | 1.09 ± 0.21 | 0.01 ± 0 | 1.55 ± 0.21 | 7.08 ± 0.39 | 81.75 ± 29.76 | 3.75 ± 0.99 |
| 48 | Hadong Lake | 23.18 ± 5.74 | 0.45 ± 0.08 | 0.01 ± 0 | 2.13 ± 0.58 | 8.25 ± 0.6 | 36.17 ± 0.24 | 13.13 ± 2.95 |
| 49 | Okjeong Lake | 13.6 ± 6.15 | 1.76 ± 0.3 | 0.01 ± 0 | 1.91 ± 0.31 | 7.46 ± 0.32 | 111.38 ± 28.38 | 5.5 ± 3.97 |
References
- Kane, D.D.; Gordon, S.I.; Munawar, M.; Charlton, M.N.; Culver, D.A. The planktonic index of biotic integrity (P-IBI): An approach for assessing lake ecosystem health. Ecol. Indic. 2009, 9, 1234–1247. [Google Scholar] [CrossRef]
- Leese, F.; Bouchez, A.; Abarenkov, K.; Altermatt, F.; Borja, A.; Bruce, K.; Ekrem, T.; Čiampor, F., Jr.; Čiamporová-Zaťovičová, Z., Jr.; Costa, F.O., Jr.; et al. Why we need sustainable networks bridging countries, disciplines, cultures and generations for aquatic biomonitoring 2.0: A perspective derived from the DNAqua-Net COST action. Adv. Ecol. Res. 2018, 58, 63–99. [Google Scholar]
- Kelly, M.; Juggins, S.; Moschandreou, K.; Kemitzoglou, D.; Tsiaoussi, V. Development of novel diatom metrics to assess ecological status of phytobenthos in Greek lakes. Ecol. Indic. 2023, 147, 109974. [Google Scholar] [CrossRef]
- Ndatimana, G.; Nantege, D.; Arimoro, F.O. A review of the application of the macroinvertebrate-based multimetirc indices (MMIs) for water quality monitoring in lakes. Environ. Sci. Pollut. Res. 2023, 30, 73098–73115. [Google Scholar] [CrossRef]
- Yang, J.; Zhang, X. eDNA metabarcoding in zooplankton improves the ecological status assessment of aquatic ecosystems. Environ. Int. 2020, 134, 105230. [Google Scholar] [CrossRef] [PubMed]
- Stevenson, R.J.; Bahls, L.L. Rapid bioassessment protocols for use in streams and wadeable rivers: Periphyton, benthic macroinvertebrates and fish. In Periphyton Protocols, 2nd ed.; Barbour, M.T., Gerritsen, J., Snyder, B.D., Tribling, J.B., Eds.; US EPA: Washington, DC, USA, 2002. [Google Scholar]
- Choi, Y.; Oh, H.J.; Lee, D.H.; Jang, M.H.; Lee, K.L.; Chang, K.H.; Kim, H.W. Current utilization and further application of zooplankton indices for ecosystem health assessment of lake ecosystems. Sustainability 2023, 15, 10950. [Google Scholar] [CrossRef]
- Zymaroieva, A.; Bondarev, D.; Kunakh, O.; Svenning, J.C.; Zhukov, O. Yong-of-the-year fish as bioindicators of eutrophication and temperature regime of water bodies. Environ. Monit. Assess. 2024, 196, 161. [Google Scholar] [CrossRef]
- Doi, H.; Chang, K.H.; Ando, T.; Imai, H.; Nakano, S.; Kajimoto, A.; Katano, I. Drifting plankton from a reservoir subsidize downstream food webs and alter community structure. Oecologia 2008, 156, 363–371. [Google Scholar] [CrossRef]
- Erasmus, J.H.; Lorenz, A.W.; Zimmermann, S.; Wepener, V.; Sures, B.; Smit, N.J.; Malherbe, W. A diversity and functional approach to evaluate the macroinvertebrate responses to multiple stressors in a small subtropical austral river. Ecol. Indic. 2021, 131, 108206. [Google Scholar] [CrossRef]
- Rombouts, I.; Beaugrand, G.; Fizzala, X.; Gaill, F.; Greenstreet, S.P.R.; Lamare, S.; Le Loc’h, F.; McQuatters-Gollop, A.; Mialet, B.; Niquil, N.; et al. Food web indicators under the Marine Strategy Framework Directive: From complexity to simplicity? Ecol. Indc. 2013, 29, 246–254. [Google Scholar] [CrossRef]
- Hillbricht-Ilkowska, A. Response of planktonic rotifers to the eutrophication process and to the Autumnal shift of blooms in Lake Biwa, Japan. I. Changes in abundance and composition of rotifers. Jpn. J. Limnol. 1983, 44, 93–106. [Google Scholar] [CrossRef]
- Ejsmont-Karabin, J. The usefulness of zooplankton as lake ecosystem indicators: Rotifer trophic state index. Pol. J. Ecol. 2012, 60, 339–350. [Google Scholar]
- Stamou, G.; Katsiapi, M.; Moustaka-Gouni, M.; Michaloudi, E. Trophic state assessment based on zooplankton communities in Mediterranean lakes. Hydrobiologia 2019, 844, 83–103. [Google Scholar] [CrossRef]
- Gao, Y.; Lai, Z.; Liu, E.; Yang, W.; Liu, Q. Spatiotemporal variation of planktonic rotifers in surface water of a eutrophic reservoir in the southern subtropical region of China (2011–2020). Inland Water Biol. 2023, 16, 255–265. [Google Scholar] [CrossRef]
- Ejsmont-Karabin, J.; Karabin, A. The suitability of zooplankton as lake ecosystem indcators: Curstacean trophic state index. Pol. J. Ecol. 2013, 61, 561–573. [Google Scholar]
- Ochocka, A. ZIPLAs: Zooplankton Index for Polish Lakes’ Assessment: A new method to assess the ecological status of stratified lakes. Environ. Monit. Assess. 2021, 193, 664. [Google Scholar] [CrossRef]
- Saage, A.; Vadstein, O.; Sommer, U. Feeding behavior of adult Centropages hamatus (Copepoda, Calanoida): Functional response and selective feeding experiments. J. Sea Res. 2009, 62, 16–21. [Google Scholar] [CrossRef]
- Kunzmann, A.J.; Ehret, H.; Yohannes, E.; Straile, D.; Rothhaupt, K.O. Calanoid copepod grazing affects plankton size structure and composition in a deep, large lake. J. Plankton Res. 2019, 41, 955–966. [Google Scholar] [CrossRef]
- Burns, C.W.; Schallenberg, M. Calanoid copepods versus cladocerans: Consumer effects on protozoa in lakes of different trophic status. Limnol. Oceanogr. 2001, 46, 1558–1565. [Google Scholar] [CrossRef]
- Yoshioka, T.; Wada, E.; Hayashi, H. A stable isotope study on seasonal food web dynamics in a eutrophic lake. Ecology 1994, 75, 835–846. [Google Scholar] [CrossRef]
- Persaud, A.D.; Dillon, P.J.; Lasenby, D.; Yan, D. Stable isotope variability of meso-zooplankton along a gradient of dissolved organic carbon. Freshw. Biol. 2009, 54, 1705–1719. [Google Scholar] [CrossRef]
- Oliveira, L.D.F.; Bode-Dalby, M.; Schukat, A.; Auel, H.; Hagen, W. Cascading effects of calanoid copepod functional groups on the biological carbon pump in the subtrophica South Atlantic. Front. Mar. Sci. 2022, 9, 920483. [Google Scholar] [CrossRef]
- Flanagan, N.E.; Richardson, C.J. A multi-scale approach to prioritize wetland restoration for watershed-level water quality improvement. Wetl. Ecol. Manag. 2010, 18, 695–706. [Google Scholar] [CrossRef]
- Ren, W.; Wu, X.; Ge, X.; Lin, G.; Feng, L.; Ma, W.; Xu, D. Study on the water quality characteristics of the Baoan Lake Basin in China under different land use and landscape pattern distributions. Int. J. Environ. Res. Public Health 2022, 19, 6082. [Google Scholar] [CrossRef]
- Cheng, C.; Zhang, F.; Shi, J.; Kung, H.T. What is the relationship between land use and surface water quality? A review and prospects from remote sensing perspective. Environ. Sci. Pollut. Res. 2022, 29, 56887–56907. [Google Scholar] [CrossRef]
- Paik, W.H. Illustrated Encyclopedia of Fauna & Flora of Korea; Ministry of Education: Sejong, Republic of Korea, 1989. [Google Scholar]
- Mesquita, M.C.; Graco-Roza, C.; de Magalhães, L.; Ger, K.A.; Marinho, M.M. Environmental variables outpace biotic interactions in shaping a phytoplankton community. Diversity 2024, 16, 438. [Google Scholar] [CrossRef]
- Kruk, C.; Huszar, V.L.; Peeters, E.T.; Bonilla, S.; Costa, L.; Lürling, M.; Scheffer, M. A morphological classification capturing functional variation in phytoplankton. Freshw. Biol. 2010, 55, 614–627. [Google Scholar] [CrossRef]
- R Core Team. R: A Language and Environment for Statistical Computing; R Foundation for Statistical Computing: Vienna, Austria, 2020. [Google Scholar]
- Clarke, K.R.; Gorley, R.N. PRIMER: Getting Started with v6; PRIMER-E Ltd.: Plymouth, UK, 2005; pp. 931–932. [Google Scholar]
- Chen, G.; Dalton, C.; Taylor, D. Cladocera as indicators of trophic state in Irish lakes. J. Paleolimnol. 2010, 44, 465–481. [Google Scholar] [CrossRef]
- Stamou, G.; Katsiapi, M.; Moustaka-Gouni, M.; Michaloudi, E. Grazing potential—A functional plankton food web metric for ecological water quality assessment in Mediterranean lakes. Water 2019, 11, 1274. [Google Scholar] [CrossRef]
- Stemberger, R.S.; Lazorchak, J.M. Zooplankton assemblage responses to disturbance gradients. Can. J. Aquat. Sci. 1994, 51, 2435–2447. [Google Scholar] [CrossRef]
- Jeppesen, E.; Peder Jensen, J.; Søndergaard, M.; Lauridsen, T.; Landkildehus, F. Trophic structure, species richness and biodiversity in Danish lakes: Changes along a phosphorus gradient. Freshw. Biol. 2000, 45, 201–218. [Google Scholar] [CrossRef]
- Van Egeren, S.J.; Dodson, S.I.; Torke, B.; Maxted, J.T. The relative significance of environmental and anthropogenic factors affecting zooplankton community structure in Southeast Wisconsin Till Plain lakes. Hydrobiologia 2011, 668, 137–146. [Google Scholar] [CrossRef]
- Min, C.; Johansson, L.S.; Søndergaard, M.; Lauridsen, T.L.; Chen, F.; Sh, T.; Jeppesen, E. Copepods as environmental indicators in lakes: Special focus on changes in the proportion of calanoids along nutrient and pH gradients. Aquat. Ecol. 2021, 55, 1241–1252. [Google Scholar] [CrossRef]
- Haberman, J.; Haldna, M. Indices of zooplankton community as valuable tools in assessing the trophic state and water quality of eutrophic lakes: Long term study of Lake Võrtsjärv. J. Limnol. 2014, 73, 2. [Google Scholar] [CrossRef]
- Seebens, H.; Straile, D.; Hoegg, R.; Stich, H.B.; Einsle, U. Population dynamics of a freshwater calanoid copepod: Complex responses to changes in trophic status and climate variability. Limnol. Oceanogr. 2007, 52, 2364–2372. [Google Scholar] [CrossRef]
- Nogueira, M.G. Zooplankton composition, dominance and abundance as indicators of environmental compartmentalization in Jurumirim Reservoir (Paranapanema River), São Paulo, Brazil. Hydrobiologia 2001, 455, 1–18. [Google Scholar] [CrossRef]
- Sánchez, M.L.; Lagomarsino, L.; Allende, L.; Izaguirre, I. Changes in the phytoplankton structure in a Pampean shallow lake in the transition from a clear to a turbid regime. Hydrobiologia 2014, 752, 65–76. [Google Scholar] [CrossRef]
- Song, D.X.; Zhang, C.Z. Fauna Sinica, Crustacean, Freshwater Copepod; Fauna Editorial Committee, Chinese Academy of Science, Ed.; Science Press: Beijing, China, 1979; pp. 31–50. [Google Scholar]
- Sandercock, G.A.; Scudder, G.G.E. An Introduction and Key to the Freshwater Calanoid Copepods (Crustacea) of British Columbia; Department of Zoology University of British Columbia: Vancouver, BC, Canada, 1994; 136p. [Google Scholar]
- Santer, B. Life cycle strategies of free-living copepods in fresh waters. J. Mar. Syst. 1998, 15, 327–336. [Google Scholar] [CrossRef]
- Xie, P.; Yang, Y. Long-term changes of copepoda community (1957–1996) in a subtropical Chinese lake stocked densely with planktivorous filterfeeding silver and bighead carp. J. Plankton Res. 2000, 22, 1757–1778. [Google Scholar] [CrossRef][Green Version]
- Soto, D.; Hurlbert, S.H. Long-term experiments on calanoid-cyclopoid interactions. Ecol. Monogr. 1991, 61, 245–266. [Google Scholar] [CrossRef]
- Chang, K.H.; Nagata, T.; Hanazato, T. Direct and indirect impacts of predation by fish on the zooplankton community: An experimental analysis using tanks. Limnology 2004, 5, 121–124. [Google Scholar] [CrossRef]
- Pinto-Coelho, R.; Pinel-Alloul, B.; Méthot, G.; Havens, K.E. Crustacean zooplankton in lakes and reservoirs of temperate and tropical regions: Variation with trophic status. Can. J. Fish. Aquat. Sci. 2005, 62, 348–361. [Google Scholar] [CrossRef]
- Yoshida, T.; Gurung, T.; Kagami, M.; Urabe, J. Contrasting effects of a cladoceran (Daphnia galeata) and a calanoid copepod (Eodiaptomus japonicus) on algal and microbial plankton in a Japanese lake, Lake Biwa. Oecologia 2001, 129, 602–610. [Google Scholar] [CrossRef] [PubMed]
- Chang, K.H.; Hanazato, T. Vulnerability of cladoceran species to predation by the copepod Mesocyclops leuckarti: Laboratory observations on the behavioural interactions between predator and prey. Freshw. Biol. 2003, 48, 476–484. [Google Scholar] [CrossRef]
- Faithfull, C.; Huss, M.; Vrede, T.; Karlsson, J.; Bergström, A.K. Transfer of bacterial production based on labile carbon to higher trophic levels in an oligotrophic pelagic system. Can. J. Fish. Aquat. Sci. 2012, 69, 85–93. [Google Scholar] [CrossRef]





| Num. | River Basin | Name | Size | Primary Land-Use Type | Avg. Depth (m) |
|---|---|---|---|---|---|
| 1 | Han river | Hwacheon Lake | Large | Forest | 14.3 |
| 2 | Chuncheon Lake | Medium | Forest | ≤5 | |
| 3 | Soyang Lake | Large | Forest | 20≤ | |
| 4 | Uiam Lake | Medium | Other | 7.0 | |
| 5 | Cheongpyeong Lake | Medium | Forest | 6.0 | |
| 6 | Paldang Lake | Large | Urban | 12.7 | |
| 7 | Seo Lake | Small | Urban | ≤5 | |
| 8 | Woncheon Lake | Small | Urban | 7.8 | |
| 9 | Chungju Regulating Reservoir | Medium | Other | ≤5 | |
| 10 | Chungju Lake | Large | Forest | 5.0 | |
| 11 | Goesan Lake | Small | Forest | 5.1 | |
| 12 | Geum river | Chopyeong Lake | Small | Other | ≤5 |
| 13 | Sapgyo Lake | Medium | Agriculture | 5.9 | |
| 14 | Songak Lake | Small | Forest | ≤5 | |
| 15 | Yedang Lake | Medium | Other | ≤5 | |
| 16 | Cheongcheon Lake | Small | Forest | ≤5 | |
| 17 | Boryeong Lake | Medium | Forest | ≤5 | |
| 18 | Tapjeong Lake | Medium | Forest | ≤5 | |
| 19 | Buan Lake | Medium | Forest | 20≤ | |
| 20 | Nakdong river | Gyeongcheon Lake | Small | Forest | ≤5 |
| 21 | Otae Lake | Small | Other | ≤5 | |
| 22 | Imha Lake | Medium | Forest | 12.5 | |
| 23 | Yongyeon Lake | Small | Other | 7.0 | |
| 24 | Yeongcheon Lake | Medium | Forest | 13.0 | |
| 25 | Gidong Lake | Small | Forest | ≤5 | |
| 26 | Angye Lake | Small | Forest | 17.0 | |
| 27 | Deokdong Lake | Small | Forest | 20≤ | |
| 28 | Bomun Lake | Small | Other | 7.0 | |
| 29 | Sayeon Lake | Small | Forest | 16.0 | |
| 30 | Seonam Lake | Small | Other | 13.0 | |
| 31 | Daeam Lake | Small | Forest | 11.0 | |
| 32 | Hoeya Lake | Small | Other | 8.0 | |
| 33 | Hoedong Reservoir | Small | Forest | 8.0 | |
| 34 | Junam Reservoir | Medium | Agriculture | ≤5 | |
| 35 | Jangcheok Lake | Small | Other | ≤5 | |
| 36 | Bongsan Lake | Small | Agriculture | ≤5 | |
| 37 | Jilnalbeol Lake | Small | Other | ≤5 | |
| 38 | Namgang Lake | Medium | Forest | 6.8 | |
| 39 | Youngsan river | Jangseong Lake | Medium | Forest | 15.0 |
| 40 | Damyang Lake | Medium | Forest | 15.0 | |
| 41 | Gwangju Lake | Small | Forest | 6.0 | |
| 42 | Daedong Lake | Small | Other | 6.0 | |
| 43 | Naju Lake | Medium | Forest | 15.0 | |
| 44 | Dongbok Lake | Medium | Forest | 17.6 | |
| 45 | Juam Lake | Large | Forest | 14.6 | |
| 46 | Sangsa Lake | Medium | Forest | 20≤ | |
| 47 | Sueo Lake | Small | Forest | 20≤ | |
| 48 | Hadong Lake | Small | Forest | 20≤ | |
| 49 | Okjeong Lake | Medium | Forest | ≤5 |
| Copepoda | Species | Presence Frequency (%) | Avg. ± SD (Min–Max) (ind./L) |
|---|---|---|---|
| Calanoida | Heliodiaptomus kikuchii | 11.73 | 0.099 ± 0.488 (0–4.192) |
| Neodiaptomus schmackeri | 18.37 | 0.428 ± 2.284 (0–20.718) | |
| Sinocalanus tenellus | 0.51 | 0.001 ± 0.012 (0–0.169) | |
| Sinocalanus sp. | 0.51 | 0.004 ± 0.059 (0–0.821) | |
| Sinodiaptomus sarsi | 1.02 | 0 ± 0.003 (0–0.044) | |
| Calanoida copepodid | 18.37 | 0.169 ± 0.93 (0–9.059) | |
| Calanoida nauplius | 2.04 | 0.019 ± 0.156 (0–1.911) | |
| Cyclopoida | Acanthocyclops sp. | 4.59 | 0.026 ± 0.178 (0–2.01) |
| Cyclops kikuchii | 0.51 | 0.029 ± 0.41 (0–5.747) | |
| Cyclops vicinus | 14.29 | 0.194 ± 1.514 (0–19.927) | |
| Cyclops sp. | 9.69 | 0.082 ± 0.446 (0–4.232) | |
| Eucyclops sp. | 0.51 | 0.001 ± 0.01 (0–0.133) | |
| Mesocyclops dissimilis | 3.57 | 0.004 ± 0.031 (0–0.354) | |
| Mesocyclops leuckarti | 6.12 | 0.069 ± 0.762 (0–10.639) | |
| Mesocyclops sp. | 31.63 | 0.595 ± 2.602 (0–23.128) | |
| Microcyclops sp. | 3.57 | 0.026 ± 0.159 (0–1.439) | |
| Thermocyclops crassus | 9.18 | 0.071 ± 0.409 (0–4.782) | |
| Thermocyclops taihokuensis | 6.12 | 0.078 ± 0.454 (0–5.006) | |
| Thermocyclops sp. | 40.31 | 0.864 ± 2.383 (0–15.557) | |
| Cyclopoida copepodid | 40.31 | 2.383 ± 8.582 (0–95.146) | |
| Cyclopoida nauplius | 12.24 | 2.238 ± 11.374 (0–136.164) | |
| Unidentified Cyclopoida | 0.51 | 0 ± 0.006 (0–0.09) | |
| Harpacticoida | Harpacticoida copepodid | 1.02 | 0 ± 0.003 (0–0.035) |
| Unidentified Harpacticoida | 1.53 | 0 ± 0.005 (0–0.068) | |
| Unidentified nauplius | 26.53 | 5.784 ± 20.688 (0–170.024) |
| Environment Factor | Value | PC1 | PC2 | PC3 | PC4 | PC5 |
|---|---|---|---|---|---|---|
| Water quality | WT | 0.110 | 0.334 | 0.526 | 0.532 | 0.387 |
| DO | 0.001 | −0.222 | −0.181 | −0.324 | −0.038 | |
| COD | 0.268 | 0.034 | 0.091 | 0.067 | −0.196 | |
| SS | 0.501 | −0.020 | 0.590 * | −0.568 * | −0.111 | |
| TN | 0.035 | −0.384 | 0.047 | −0.090 | 0.530 | |
| TP | 0.015 | −0.005 | 0.007 | −0.013 | 0.013 | |
| TOC | 0.210 | −0.015 | 0.101 | 0.129 | −0.265 | |
| EC | 0.290 | −0.682 * | 0.035 | 0.501 | −0.315 | |
| DTN | 0.028 | −0.396 | 0.044 | −0.078 | 0.536 | |
| DTP | 0.006 | −0.004 | 0.005 | −0.003 | 0.011 | |
| Chl.a | 0.731 | 0.260 | −0.563 * | 0.057 | 0.245 | |
| PCA values | Eigenvalues | 1.72 | 0.36 | 0.28 | 0.15 | 0.14 |
| %Variation | 62.0 | 13.1 | 9.9 | 5.5 | 5.0 | |
| Cum.%Variation | 62.0 | 75.0 | 85.0 | 90.5 | 95.5 | |
| Feeding environment | Total phytoplankton | −0.299 | −0.131 | 0.051 | 0.174 | 0.043 |
| MBFG1 | −0.246 | 0.236 | 0.585 * | −0.497 | −0.493 | |
| MBFG2 | −0.002 | −0.367 | 0.331 | −0.516 | 0.682 | |
| MBFG3 | −0.598 | −0.322 | −0.592 * | −0.373 | −0.149 | |
| MBFG4 | −0.324 | −0.044 | 0.184 | 0.148 | −0.188 | |
| MBFG5 | −0.273 | −0.398 | 0.356 | 0.387 | 0.022 | |
| MBFG6 | −0.142 | −0.348 | 0.184 | 0.341 | −0.056 | |
| MBFG7 | −0.541 | 0.639 * | 0.021 | 0.171 | 0.479 | |
| PCA values | Eigenvalues | 23.7 | 5.36 | 4.68 | 3.16 | 2.58 |
| %Variation | 54.8 | 12.4 | 10.8 | 7.3 | 6 | |
| Cum.%Variation | 54.8 | 67.1 | 77.9 | 85.2 | 91.2 |
| Environmental Factor | PCA Axis | Estimate | Z-Value | p |
|---|---|---|---|---|
| Water quality | PC2 | 0.783 | 2.61 | 0.009 |
| PC3 | 0.699 | 2.09 | 0.037 | |
| PC4 | 0.950 | 2.12 | 0.034 | |
| Feeding environment | PC2 | 0.127 | 1.89 | 0.058 |
| PC3 | −0.203 | −2.76 | 0.006 |
| GAM | (A) Water Quality | (B) Feeding Environment |
|---|---|---|
| Family | Gaussian | |
| Link function | Identity | |
| Adjusted r2 | 0.305 | 0.164 |
| Deviance explained (%) | 43.3 | 22.6 |
| GVC score | 0.323 | 0.351 |
| AIC | 187.01 | 250.04 |
| Calanoids’ abundance~ | s(WT) *** + s(TP) * + s(TOC) * + s(Chl.a) * | s(MBFG7) *** + s(MBFG2) **+ s(MBFG3) * |
Disclaimer/Publisher’s Note: The statements, opinions and data contained in all publications are solely those of the individual author(s) and contributor(s) and not of MDPI and/or the editor(s). MDPI and/or the editor(s) disclaim responsibility for any injury to people or property resulting from any ideas, methods, instructions or products referred to in the content. |
© 2024 by the authors. Licensee MDPI, Basel, Switzerland. This article is an open access article distributed under the terms and conditions of the Creative Commons Attribution (CC BY) license (https://creativecommons.org/licenses/by/4.0/).
Share and Cite
Choi, Y.; Hong, G.-H.; La, G.-H.; Kim, H.-W.; Kim, M.S.; Jang, M.-H.; Chang, K.-H.; Oh, H.-J. Spatial Distribution of Calanoida in Freshwater Ecosystems and Their Application as a Food Web Assessment Index. Water 2024, 16, 3414. https://doi.org/10.3390/w16233414
Choi Y, Hong G-H, La G-H, Kim H-W, Kim MS, Jang M-H, Chang K-H, Oh H-J. Spatial Distribution of Calanoida in Freshwater Ecosystems and Their Application as a Food Web Assessment Index. Water. 2024; 16(23):3414. https://doi.org/10.3390/w16233414
Chicago/Turabian StyleChoi, Yerim, Geun-Hyeok Hong, Geung-Hwan La, Hyun-Woo Kim, Moo Seong Kim, Min-Ho Jang, Kwang-Hyeon Chang, and Hye-Ji Oh. 2024. "Spatial Distribution of Calanoida in Freshwater Ecosystems and Their Application as a Food Web Assessment Index" Water 16, no. 23: 3414. https://doi.org/10.3390/w16233414
APA StyleChoi, Y., Hong, G.-H., La, G.-H., Kim, H.-W., Kim, M. S., Jang, M.-H., Chang, K.-H., & Oh, H.-J. (2024). Spatial Distribution of Calanoida in Freshwater Ecosystems and Their Application as a Food Web Assessment Index. Water, 16(23), 3414. https://doi.org/10.3390/w16233414

