Variability of Drinking Water Quality on the Basis of Analysis of Qualitative Monitoring from a Selected Water Supply Network Located in South-Eastern Poland
Abstract
1. Introduction
2. Selected Organoleptic Indicators Defining the Quality of Tap Water
3. Materials and Methods
4. Characteristics of the Study Object
- (1)
- Initial ozonation—During this stage of treatment, color compounds and those causing the smell and taste of water are removed from the water in the oxidation process. The role of the oxidant is played by ozone, which is produced from oxygen in ozone generators. In this process, initial disinfection of water also takes place.
- (2)
- Coagulation using aluminum compounds—Colloids and suspensions that do not settle easily are removed from the water, which determines the turbidity of the water and the intensity of its color, mainly humic compounds, silica, and organic pollutants.
- (3)
- Sedimentation in horizontal settling tanks—Particles with a density greater than that of water are removed from the water, i.e., particles that easily settle, produced in the coagulation process.
- (4)
- Filtration through a sand bed and filtration through an anthracite–sand bed—This ensures the removal of particles with a diameter larger than 0.1 mm from water.
- (5)
- Indirect ozonation—The oxidation process removes the remains of colored compounds and those causing the taste and smell of water. The role of the oxidant is played by ozone, which is produced from oxygen in ozone generators. In this process, the initial disinfection of water also takes place.
- (6)
- Filtration through an activated carbon bed—This includes the removal of dissolved organic compounds. The activated carbon filling of the bed also helps to reduce the content of micropollutants that cause the color, taste, and smell of water.
- (7)
- Pre-disinfection with UV lamps—This is used to increase the microbiological stability of treated water, improve its organoleptic properties, and reduce the doses of disinfectants (chlorine and chlorine dioxide).
- (8)
- Disinfection with chlorine compounds: chlorine dioxide and chlorine gas—This ensures good sanitary quality of water in the water supply network; therefore, this process is used at the end of the water treatment system. The chlorine dioxide needed for disinfection is produced in chlorine dioxide generators from sodium chlorite and chlorine gas.
- (9)
- Water pH correction station using sodium carbonate—Equipping WTP with a system for correcting water pH by periodically using (if necessary) sodium carbonate contributed to the elimination of the corrosive properties of water.
5. Results
5.1. Qualitative Monitoring Results During the Operating Years 2018–2022
5.2. Analysis of Water Quality Variability in the Water Supply Network for the Years 2018–2022
- Color—Throughout the period covered by the analysis, the color of the water was at a constant level of <5 mg/L. It met the permissible range of values, was acceptable to water consumers, and had no abnormal changes.
- Turbidity—The results of water quality monitoring in the years analyzed showed that the turbidity of the water remained at a constant level, which was <0.20 NTU, and this is a value acceptable to consumers. The low level of water turbidity throughout the five-year period of research indicates a low content of colloidal particles and suspensions in the tested water.
- pH—The pH value in all analyzed quarters was in the range of 7.57—8.00. The results of the water pH indicator in the water supply network are characterized by low variability over the quarters and in the analyzed period of time. It was observed that in the second and third quarters of each year, the pH was lower than in quarters I and IV. This results from the influence of temperature on water pH. In months when the water temperature is higher, pH decreases. Despite small changes in pH in the quarterly cycle in the analyzed years, the water in the water supply network was stable in terms of pH.
- Conductivity—Average quarterly values ranged from 540.0 to 676.67 μS/cm. When observing the variability of the conductivity of tap water over the quarters, it was noted that electrolytic conductivity was always higher for the fourth quarter in each of the analyzed years. In the remaining quarters, conductivity was at a similar level. There is no significant variability in the electrolytic conductivity of tap water over the years 2018–2022. Small fluctuations are related to changes in the amount of calcium and magnesium ions present in water, which also affect its hardness.
- Nitrates—When analyzing the quarterly concentration of nitrates in tap water in the years 2018–2022, it was observed that their amount was variable. It was noted that in the year 2018, the average quarterly value was 7.43 mg/L, in 2019, it was 7.5 mg/L, in 2020, it was 6.93 mg/L, and in 2022, it was 6.85 mg/L. In 2021, the concentration of nitrates was significantly higher than in other years (the average quarterly value was 8.13 mg/L). Despite this, over the period of time studied, the concentration of nitrates was characterized by average variability, and the permissible values for drinking water were never exceeded.
- Nitrites—By analyzing the amount of nitrites contained in tap water in individual quarters of the five-year study period, it was observed that their concentration in tap water remained at a constant level and amounted to <0.05 mg/L.
- Chlorides—After observing the variability of chloride content in water in the water supply network, its concentration increased in the quarterly cycle. On the other hand, when analyzing the change in chloride content in tap water in the network over the years 2018–2022, it was noticed that for Q1, Q2, and Q3, the amount in tap water increased each year. In Q4, a decrease in chloride concentration was observed, and in 2022, its amount was higher compared to 2021.
- Chromium—Throughout the analyzed period, the average quarterly chromium concentration was in the range of <0.5–<3.0 μg/L. In 2018, 2019, and 2021, the amount of chromium was constantly at the same level of <3.0 μg/L. Slightly different results were observed in 2020, when the amount of detected chromium was abrupt. In 2021, however, a downward trend was observed. To sum up, the chromium content in tap water was characterized by high variability.
- Aluminum—The amount of aluminum in tap water remained at <40.0 μg/L for most of the analyzed period. In some quarters this value is higher, which could be due to irregularities that occurred during treatment, such as in the coagulation process using aluminum compounds. However, increased aluminum concentration in water is sporadic, and always after such an incident, the amount of this element in water decreases.
- Cadmium—When analyzing the results of quarterly average values for cadmium contained in water, it was observed that its concentration remained at a constant level and amounted to <0.5 μg/L.
- Magnesium—Based on the obtained results of analyses of the variability of magnesium content in tap water in the network, a downward trend in the amount of this element in water was observed over the years 2019–2021. The exception is the first quarter of 2019, when the amount of Mg in water was significantly higher than in other quarters. In 2022, a slight increase in Mg in water was observed. The results of the variability of magnesium content in water in the quarterly cycle show, however, that its amount in water fluctuated.
- Manganese—When analyzing the amount of manganese contained in tap water in individual quarters of the five-year study period, it was observed that in 2018–2021, its concentration remained at a constant level of <20 μg/L. The change occurred in the fourth quarter of 2021, when a lower Mn content in water was recorded, and in 2022, its amount remained at a level of <15 μg/L.
- Copper—The results of quarterly water quality analyses for 2018–2022 showed that the concentration of copper was in the range of 0.002–0.005 mg/L. The content of this element in water was characterized by small variability. In 2018 and 2019, the content of this element in water was at the same level, while in 2020 a slight increase was noted. The lowest values were recorded in 2021, when the amount of Cu was 0.002 mg/L. In 2022, its concentration increased again and remained at 0.005 mg/L. Despite small fluctuations, the tap water in the tested network was stable in terms of the copper ions contained in it.
- Nickel—Throughout the analyzed period, the average quarterly concentration of nickel was in the range of <0.5–<6.3 μg/L. The variability of the concentration of this element in tap water was abrupt. The differences in the amount of nickel detected in water could result from the precipitation of this element from water pipes in different amounts.
- Lead—The minimum recorded average quarterly content of lead in water in the water supply network in the analyzed period was <0.5 μg/L, while the highest was <4.3 μg/L. Based on the results of the analyses, it was noted that in most cases, the average quarterly values were <4.0 μg/L. A noticeable difference was observed in 2020, when a significant decrease in the lead content in the analyzed water was noted.
- Mercury—This parameter has been analyzed since 2019. By analyzing the amount of mercury contained in tap water in individual quarters of the five-year study period, it was observed that its concentration in water remained at a constant level of <0.10 μg/L.
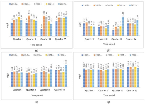
- Sulfates—Throughout the analyzed period, the average quarterly concentration of sulfates was in the range of 29.7–53.0 mg/L. When analyzing the quarterly variability of sulfates in tap water, it was noted that in Q2, the concentration of sulfates was lower than in Q1, and in the subsequent quarters, an upward trend was observed. However, based on the analysis of average quarterly values in the context of changes in the years 2018—2022, a jump in the nature of changes was noted. Despite this, the range of fluctuations in the content of sulfates in water was not large. The exception is Q4 2022, when the recorded concentration of sulfates in water differed significantly from the others. A higher concentration of sulfates in water is associated with an increase in its hardness, due to their combination with calcium and magnesium.
- Total iron—When analyzing the results of quarterly average values for total iron contained in water, it was observed that its concentration remained at a constant level and amounted to <20 μg/L.
- Oxidizability with KMnO4—Throughout the analyzed period, the average quarterly oxidizability was in the range of 0.43–1.50 mg/L. When analyzing the quarterly variability, it was noticed that in the years 2018–2021, in the second and second quarters, oxidizability was lower than in the first quarter. In the fourth quarter, higher value results were recorded than in the previous quarters. An exception was 2022, when an upward trend was observed from the first quarter, and in the fourth quarter, a decrease in oxidizability was noted. On the other hand, based on the analysis of the average quarterly values in the context of changes in the years 2018–2022, a jump in the nature of changes was noticed. The range of fluctuations in water oxidizability was not large. The exception is the third quarter of 2022, when the recorded value differs significantly from the others.
- Chloroform—By analyzing the concentration of chloroform contained in tap water in individual quarters of 2018–2022, it can be observed that its concentration in tap water remained at a constant level and was <1 μg/L.
- Total THM (Trihalomethanes)—Throughout the analyzed period, the average quarterly concentration of total THM was in the range of <1.0–20.7 μg/L. The variability of the concentration of this element in tap water was abrupt. The highest presence of THM was recorded in 2018. In subsequent years, concentrations were lower. Throughout 2022, the total THM present in water was already <1.0 μg/L. Higher THM concentrations in some quarters could have resulted from intensified reactions between chlorine and organic compounds and bromides present in water.
- Total organic carbon (TOC)—Throughout the analyzed period, the average quarterly TOC was in the range of 0.74–2.13 mg/L. Analyzing the quarterly variability, it was noticed that in the years 2018–2021, in the first quarter, the TOC content in water in the water supply network had an upward trend, and then, in 2022, it decreased. In the second quarter, a decrease in the TOC content was noted compared to the first quarter, with the exception of 2019. It was similar in the case of the third quarter, and the only difference was in 2020, when there was an increase. In the fourth quarter, the recorded results were higher than in the third, with the exception of 2019, when the TOC content increased. However, based on the analysis of the average quarterly values in the context of changes in the years 2018–2022, the abrupt nature of the changes can be seen. The range of TOC fluctuations in water was average. An exception was in the third quarter of 2018, when the recorded value was lower and differed from the others.
- Total chlorites and chlorates—Throughout the analyzed period, the average quarterly concentration of total chlorites and chlorates was in the range of <0.15–<0.25 mg/L. The content of chlorites and chlorates was higher in 2018–2020, but a downward trend was observed later. The higher content of chlorites and chlorates in the water could have been the result of using a larger amount of disinfectant that remained in the water.
- Escherichia Coli, Enterococci, Coliform bacteria, and Clostridium Perfingens (with spores)—After analyzing the content of bacteria in water in the water supply network in individual quarters of 2018–2022, no microbiological changes in the tested water were detected. For water hardness, the results of quarterly water quality analyses for the years 2018–2022 showed that water hardness was in the range of 218.7–281.3 mg CaCO3/L. Analyzing the above results, small fluctuations in water hardness were observed for the tested water supply network. Higher value results are observed in 2018–2019 and 2021–2022 for quarter IV. A slight decrease was noted in 2019. Despite small fluctuations, the tap water in the tested network was stable in terms of hardness (water in each analyzed quarter from the period 2018–2022 was classified as medium hardness).
6. Discussion and Conclusions
Funding
Data Availability Statement
Acknowledgments
Conflicts of Interest
References
- Directive (EU) 2020/2184 of the European Parliament and of the Council of 16 December 2020 on the Quality of Water Intended for Human Consumption. Available online: https://eur-lex.europa.eu/eli/dir/2020/2184/oj (accessed on 15 April 2024).
- World Health Organization. Guidelines for Drinking-Water Quality, 4th ed.; World Health Organization: Geneva, Switzerland, 2011.
- Polish Legal Act of June 7, 2001 on Collective Water Supply and Collective Sewage Disposal (Journal of Laws of 2001, No. 72, Item 747). Available online: https://isap.sejm.gov.pl/isap.nsf/DocDetails.xsp?id=WDU20010720747 (accessed on 23 April 2024).
- World Health Organization. Water Safety Plans, Managing Drinking-Water Quality from Catchment to Consumer, Water, Sanitation and Health, Protection and the Human Environment; World Health Organization: Geneva, Switzerland, 2005.
- Polish Waterworks Chamber of Commerce. Guidelines for the Quality of Drinking Water; No. 1; Chamber of Commerce “Polish Waterworks”: Bydgoszcz, Poland, 2014. [Google Scholar]
- Tchórzewska-Cieślak, B.; Rak, J.; Pietrucha-Urbanik, K.; Piegdoń, I.; Boryczko, K.; Szpak, D.; Żywiec, J. Water supply safety assessment considering the water supply system resilience. Desalin. Water Treat. 2023, 288, 26–36. [Google Scholar] [CrossRef]
- Piegdoń, I.; Tchórzewska-Cieślak, B. Risk estimation method of secondary water pollution in water supply system. Desalin. Water Treat. 2023, 301, 1–13. [Google Scholar] [CrossRef]
- Xue, J.; Wang, Q.; Zhang, M. A review of non-point source water pollution modeling for the urban–rural transitional areas of China: Research status and prospect. Sci. Total Environ. 2022, 826, 154146. [Google Scholar] [CrossRef] [PubMed]
- Da Luz, N.; Tobiason, J.E.; Kumpel, E. Water quality monitoring with purpose: Using a novel framework and leveraging longterm data. Sci. Total Environ. 2022, 818, 151729. [Google Scholar] [CrossRef] [PubMed]
- Papciak, D.; Tchórzewska-Cieślak, B.; Domoń, A.; Wojtuś, A.; Żywiec, J.; Konkol, J. The Impact of the Quality of Tap Water and the Properties of Installation Materials on the Formation of Biofilms. Water 2019, 11, 1903. [Google Scholar] [CrossRef]
- Aghlmand, R.; Nezami, S.R.; Abbasi, A. Evaluation od chemical parameters of urban drinking water quality along with health risk assessment: A case study of Ardabil Province, Iran. Int. J. Environ. Res. Public Health 2021, 18, 5179. [Google Scholar] [CrossRef]
- Liu, G.; Zhang, Y.; Knibbe, W.J.; Feng, C.; Liu, W.; Medema, G.; van der Meer, W. Potential impacts of changing supply-water quality on drinking water distribution: A review. Water Res. 2017, 116, 135–148. [Google Scholar] [CrossRef]
- Papciak, D.; Tchórzewska-Cieslak, B.; Pietrucha-Urbanik, K.; Pietrzyk, A. Analysis of the biological stability of tap water on the basis of risk analysis and parameters limiting the secondary growth of microorganisms in water distribution systems. Desalin. Water Treat. 2018, 117, 1–8. [Google Scholar] [CrossRef]
- Wolska, M.; Mołczan, M. Assessment of the Stability of Water Entering the Water Supply Network. Environ. Prot. 2015, 37, 51–56. [Google Scholar]
- Pietrucha-Urbanik, K.; Tchórzewska-Cieślak, B.; Papciak, D.; Skrzypczak, I. Analysis of chemical stability of tap water in terms of required level of technological safety. Arch. Environ. Prot. 2017, 43, 3–12. [Google Scholar] [CrossRef]
- Karam, S.; Zango, B.S.; Seidou, O.; Perera, D.; Nagabhatla, N.; Tshimanga, R.M. Impacts of Climate Change on Hydrological Regimes in the Congo River Basin. Sustainability 2023, 15, 6066. [Google Scholar] [CrossRef]
- Wojtkowska, M.; Mlesińska, A.; Machowska, A.; Puntorieri, P.; Barbaro, G.; Fiamma, V.; Biedugnis, S. The Influence of Water Quality Change on the Corrosion Process in Galvanized Pipes of Fire Protection Installations. Sustainability 2022, 14, 7708. [Google Scholar] [CrossRef]
- Wang, L.; Liu, X.; Fang, L.; Wu, Z.; Chen, H. Corrosion analysis of a steel drinking water pipe in an indoor environment. Mater. Perform. 2012, 51, 62–65. [Google Scholar]
- Lehtola, M.J.; Laxander, M.; Miettinen, I.T.; Hirvonen, A.; Vartiainen, T.; Martikainen, P.J. The effects of changing water flow velocity on the formation of biofilms and water quality in pilot distribution system consisting of copper or polyethylene pipes. Water Res. 2006, 40, 2151–2160. [Google Scholar] [CrossRef] [PubMed]
- Niquette, P. Impacts of pipe materials on densities of fixed bacterial biomass in a drinking water distribution system. Water Res. 2000, 34, 1952–1956. [Google Scholar] [CrossRef]
- Bucheli-Witschel, M.; Kötzsch, S.; Darr, S.; Widler, R.; Egli, T. A new method to assess the influence of migration from polymeric materials on the biostability of drinking water. Water Res. 2012, 46, 246–260. [Google Scholar] [CrossRef]
- Waines, P.L.; Moate, R.; Moody, A.J.; Allen, M.; Bradley, G. The effect of material choice on biofilm formation in a model warm water distribution system. Biofouling 2011, 27, 1161–1174. [Google Scholar] [CrossRef]
- Yu, J.; Kim, D.; Lee, T. Microbial diversity in biofilms on water distribution pipes of different materials. Water Sci. Technol. 2010, 61, 163–171. [Google Scholar] [CrossRef]
- Lehtola, M.J.; Miettinen, I.T.; Lampola, T.; Hirvonen, A.; Vartiainen, T.; Martikainen, P.J. Pipeline materials modify the effectiveness of disinfectants in drinking water distribution systems. Water Res. 2005, 39, 1962–1971. [Google Scholar] [CrossRef]
- Inkinen, J.; Kaunisto, T.; Pursiainen, A.; Miettinen, I.T.; Kusnetsov, J.; Riihinen, K.; Keinänen-Toivola, M.M. Drinking water quality and formation of biofilms in an office building during its first year of operation, a full scale study. Water Res. 2014, 49, 83–91. [Google Scholar] [CrossRef]
- Manuel, C.M.; Nunes, O.C.; Melo, L.F. Dynamics of drinking water biofilm in flow/non-flow conditions. Water Res. 2007, 41, 551–562. [Google Scholar] [CrossRef] [PubMed]
- Pietrzyk, A.; Papciak, D. The influence of water treatment technology on the process of biofilm formation on the selected installation materials. J. Civ. Eng. Environ. Archit. 2017, 64, 131–142. [Google Scholar]
- Donlan, R.M. Biofilms: Microbial Life on Surfaces. Emerg. Infect. Dis. 2002, 8, 881–890. [Google Scholar] [CrossRef] [PubMed]
- Kooij, D. Potential for biofilm development in drinking water distribution systems. J. Appl. Microbiol. 1998, 85, 39S–44S. [Google Scholar] [CrossRef] [PubMed]
- Hallam, N.; West, J.; Forster, C.; Simms, J. The potential for biofilm growth in water distribution systems. Water Res. 2001, 35, 4063–4071. [Google Scholar] [CrossRef]
- Francisque, A.; Rodriguez, M.J.; Miranda-Moreno, L.F.; Sadiq, R.; Proulx, F. Modeling of heterotrophic bacteria counts in a water distribution system. Water Res. 2009, 43, 1075–1087. [Google Scholar] [CrossRef]
- Lu, C.; Chu, C. Effects of Acetic Acid on the Regrowth of Heterotrophic Bacteria in the Drinking Water Distribution System. World J. Microbiol. Biotechnol. 2005, 21, 989–998. [Google Scholar] [CrossRef]
- Chowdhury, S. Heterotrophic bacteria in drinking water distribution system: A review. Environ. Monit. Assess. 2012, 184, 6087–6137. [Google Scholar] [CrossRef]
- Zhao, L.; Liu, Y.; Li, W.N.; Fan, X.-Y.; Li, X. Response of bacterial regrowth, abundant and rare bacteria and potential pathogens to secondary chlorination in secondary water supply system. Sci. Total Environ. 2020, 719, 137499. [Google Scholar] [CrossRef]
- Tchórzewska-Cieślak, B.; Pietrucha-Urbanik, K.; Piegdoń, I. The failure risk analysis of the water supply network. Water 2023, 15, 3815. [Google Scholar] [CrossRef]
- Wojtyła-Buciora, P.; Marcinkowski, J.T. Szacowanie ryzyka zdrowotnego wynikającego z występowania przekroczeń parametrów chemicznych w wodzie przeznaczonej do spożycia. Probl. Hig. Epidemiol. 2010, 91, 137–142. [Google Scholar]
- Świderska-Bróż, M. Skutki braku stabilności biologicznej wody wodociągowej. Ochrona Środowiska 2003, 4, 7–12. [Google Scholar]
- Patil, P.N.; Sawant, D.V.; Deshmukh, R.N. Physico-chemical parameters for testing of water—A review. Int. J. Environ. Sci. 2012, 3, 1194–1206. [Google Scholar]
- Available online: https://wik-szydlowiec.pl/jakosc-wody-ma-znaczenie/ (accessed on 7 June 2024).
- Łomotowski, J. Przyczyny Zmian Jakości Wody w Systemach Wodociągowych; Instytut Badań Systemowych PAN: Warszawa, Poland, 2007; pp. 1–137. [Google Scholar]
- PN-EN ISO 5667-5:2003; Water Quality—Sampling, Part 5: Guidelines for Sampling of Drinking Water and Water Used for Food and Beverage Production. ISO: Geneva, Switzerland, 2003.
- Documentation, data and materials provided by the water supply company (operator of the research object).
- PN-EN ISO 7027-1:2016-09; Water Quality-Determination of Turbidity-Part 1: Quantitative Methods. ISO: Geneva, Switzerland, 2016.
- PN-EN ISO 10304-1:2009 + AC:2012; Water Quality-Determination of Dissolved Anions by Liquid Chromatography of Ions-Part 1: Determination of Bromide, Chloride, Fluoride, Nitrate, Nitrite, Phosphate and Sulfate-Technical Corrigendum 1. ISO: Geneva, Switzerland, 2010.
- PN-92/C-04605/02; Water Quality-Determination of Aluminum-Spectrophotometric Method. Polish Standardization Committee: Warsaw, Poland, 1992.
- PN-EN ISO 6059:1999; Water Quality-Determination of Total Calcium and Magnesium Content-EDTA Titration Method. ISO: Geneva, Switzerland, 1999.
- PN-92/C-04590/03; Water Quality-Determination of Manganese-Spectrophotometric Method. Polish Standardization Committee: Warsaw, Poland, 1992.
- PN-ISO 8288:2002 Method A; Water Quality-Determination of Cobalt, Nickel, Copper, Zinc, Cadmium and Lead-Flame Atomic Absorption Spectrometric Methods. ISO: Geneva, Switzerland, 2002.
- PN-ISO 6332:2001; Water Quality. Iron Determination. Spectrometric Method. ISO: Geneva, Switzerland, 2001.
- PN-EN ISO 10304-4:2022-08; Water Quality—Determination of Dissolved Anions by Ion Chromatography—Part 4: Determination of Chlorates(V), Chlorides and Chlorates(III) in Low-Pollution Waters. ISO: Geneva, Switzerland, 2022.
- PN-EN ISO 9308-1:2014-12 +A1:2017-04; Water Quality-Enumeration of Escherichia coli and Coliform Bacteria—Part 1: Membrane Filtration Method for Testing Waters with Low Levels of Associated Microflora. ISO: Geneva, Switzerland, 2014.
- PN-EN ISO 7899-2:2004; Water Quality-Detection and Enumeration of Intestinal Enterococci-Part 2: Membrane Filtration Method. ISO: Geneva, Switzerland, 2004.
- PN-EN ISO 14189:2016-10; Water Quality-Enumeration of Clostridium Perfringens-Method Using Membrane Filtration. ISO: Geneva, Switzerland, 2016.
- Malinowska, A. Analysis of Water Quality in the Water Supply Network in a Selected City. Master’s Thesis, Rzeszów University of Technology, Rzeszów, Poland, 2023. Unpublished work. [Google Scholar]
- Polish Legal Act of 7 December 2017: Regulation of the Minister of Health on the Quality of Water Intended for Human Consumption. Available online: https://isap.sejm.gov.pl/isap.nsf/DocDetails.xsp?id=WDU20170002294 (accessed on 15 April 2024).





| Material from Which the Water Pipe Is Made | Susceptibility to Corrosion |
|---|---|
| Plain carbon steel | The material that is most susceptible to corrosion. |
| Gray cast iron | A material that is susceptible to corrosion. |
| Nodular cast iron | A material that is more susceptible to corrosion than gray cast iron. |
| Steel or cast iron with concrete covering | Materials with good resistance to corrosion. |
| Galvanized steel | Anti-corrosion treatment increases corrosion resistance, but passive coatings dissolve causing a possible increase in zinc concentration in the water at the point of use |
| Asbestos–cement | Leaching of calcium and magnesium compounds has been observed in waters containing aggressive carbon dioxide |
| Plastics (PVC, polyamide, PEHD, PE, PP) | Corrosion resistant. Monomers and plasticizers are observed to be washed out of pipelines by tap water. Pipes used to build the network must have certificates that allow the material to come into contact with water. Biofilms form on the internal surfaces of water pipes. |
| Copper | Material used in the construction of internal water supply networks (ground and hot water installations). The speed of the corrosion process depends on the quality of the water supplied from the external water supply network. A basic mistake is to make internal installations from different materials. In installations made of a combination of steel, galvanized steel, and copper pipes, corrosion quickly leads to the destruction of the water installation. When making internal installations from copper pipes, the influence of water quality on the speed of copper compounds leaching by the water supply is generally not taken into account. |
| Water Quality Indicator | Influence on the Rate of the Corrosion Process |
|---|---|
| Dissolved oxygen | High concentrations increase the corrosion rate. In the absence of oxygen and chlorine, anaerobic processes may occur in the sediment zone, as well as the denitrification process and the formation of sulfides by the reduction of sulfates. These processes only occur in the presence of organic compounds in the water (sediments). Reducing the amount of oxygen in water increases the rate of leaching of corrosion products of steel and cast iron pipes. |
| Aggressive carbon dioxide | This causes intensification of corrosion as a result of the destruction of passive coatings. |
| pH | High pH slows down the corrosion of steel and cast iron; low pH intensifies this process. |
| Total hardness and alkalinity of water | High water hardness inhibits corrosion, especially when calcium carbonate settles on the surface of the pipe walls. Disturbance of the carbonate balance can cause the precipitation of carbonate minerals in the pipes and intensive overgrowing of the pipes with sediments. |
| Sulfates and chlorides | The increase in the concentration of these ions intensifies corrosion, as the specific conductivity of water increases. The process depends on the alkalinity of water and the formation of passive carbonate coatings. |
| Nitrates | These cause intensification of the corrosion rate. |
| Copper | These cause intensification of the corrosion rate. |
| Iron and manganese | Intensification of the corrosion process rate due to uneven precipitation of deposits on the surface of steel and cast iron pipes and the formation of galvanic cells. The presence of iron and manganese ions in tap water promotes the growth of ferruginous and manganese bacteria. |
| Sodium and potassium | They increase the electrical conductivity of water, which accelerates corrosion. |
| Sulfur and hydrosulfuric ion | These cause intensification of the corrosion process as a result of the growth of sulfur bacteria. |
| Ammonium | This causes intensification of the corrosion process due to the development of nitrifying bacteria. |
| Free chlorine | This increases the intensity of the electrochemical corrosion process of steel; however, it reduces biological corrosion. |
| Conductivity of water | An increase in the indicator causes corrosion. |
| Phosphates and humate compounds | These are inhibitors of corrosion processes. |
| Operational Factor | Influence on the Speed of the Corrosion Process |
|---|---|
| Technical condition | As the age of the pipes increases, their technical condition deteriorates, and the corrosion rate increases. Also, poor quality of the network construction increases the probability of corrosion. |
| Flushing and cleaning of pipes, replacement/renovation of damaged pipes or their sections, proper maintenance of pipes and assembly, use of control, measurement, and safety fittings | These factors reduce the corrosion rate. |
| Water flow speed and its daily changes, changes in its flow direction and pressure | Low flow rates increase the possibility of corrosion due to the longer contact time of water with the pipe, while high flow rates cause the corrosion products to be torn off from the inner surface of the pipes. |
| Character of water flow | Turbulent water flow increases the corrosion rate. |
| Water distribution and daily variability | Small water consumption increases the intensity of corrosion, and large water consumption contributes to the removal of corrosion products from the internal surfaces of pipes. |
| Method of designing a water supply network | Oversizing the network in the design phase, e.g., by taking into account the water demand for fire-fighting purposes, causes a decrease in its flow rate, which increases the possibility of corrosion. |
| Water residence time in the water supply network | The extension of water age causes its quality to deteriorate. This phenomenon is particularly visible at the ends of the network. |
| Mixing of water from different water intakes or water treatment plants in the water supply system | Frequent changes in water flow direction and composition increase the potential for minerals to settle in the water. When the direction of water flow changes, sediment is transported from the pipelines. |
| Analysis | Type of Packaging/Container | Filling Method |
|---|---|---|
| Physicochemical tests | ||
| Basic tests: color, turbidity, pH, conductivity, ammonium ion | Plastic bottles with a capacity of 1 dm3 closed with plastic caps | Rinse the bottle with the water to be tested and fill it to the top, pouring a small stream down the walls (which prevents aeration of the sample). |
| Smell, taste | Glass bottles, with a capacity of 500 mL, closed with glass stoppers | |
| Basic tests + hardness, chlorides, nitrites, oxidizability, calcium, fluorides, nitrates, sulfates, magnesium | Plastic bottles with a capacity of 2 dm3 closed with plastic caps | |
| Iron, manganese | Plastic bottles with a capacity of 250 cm3 closed with a cap, containing 2.5 cm3 H2SO4 | Fill the bottle to the neck; do not rinse out the fixative. The durability of the samples after acidification is 30 days. |
| Metal: lead, cadmium, chromium, nickel, copper, selenium, antimony, sodium, aluminum, arsenic | Plastic bottles with a capacity of 250 cm3 closed with a cap, containing 2 cm3 HNO3 | Fill the bottle to the neck; do not rinse out the fixative. The durability of the samples after acidification is 30 days. |
| Mercury | Glass bottles of 100 mL with a blue cap, containing 2 mL of hydrochloric acid solution. The durability of the samples is 30 days | Collect samples in 100 mL bottles. Fill with water to the top, avoiding washing out the acid. |
| Free chlorine | Dark glass bottles with a capacity of 250 cm3 with a narrow neck and a ground glass stopper | Fill the bottle and close it so that no air bubbles remain under the cap. |
| ΣTHM (Trihalomethanes): bromoform, trichloromethane, bromodichloromethane, dibromochloromethane | Glass bottles of 250—300 cm3 capacity, closed with ground glass stoppers containing sodium thiosulfate crystals | Fill the bottle and close it so that no air bubbles remain under the cap. |
| Bacteriological tests | ||
| Basic research: coliform bacteria, Escherichia coli | Sterile, glass bottles with a capacity of 250–300 cm3, closed with ground glass stoppers; chlorinated water is collected in the bottle containing sodium thiosulfate | Fill the bottle with bacteriological water up to the bottle’s neck (ensuring an air cushion above the water) and close tightly, avoiding contamination of the cap. |
| Basic tests + Enterococci, total number of microorganisms at 22 ± 2 °C | ||
| Sulfite-reducing clostridia, Pseudomonas aeruginosa, Clostridium perfringens (including spores) | Sterile, glass bottles with a capacity of 500 cm3 or 1000 cm3 closed with ground glass stoppers; we collected chlorinated water in the bottle containing sodium thiosulfate | |
| Indicator Measurement Range Method | Reference Document |
|---|---|
| Turbidity Range: (0.2–40) NTU Nephelometric method | PN-EN ISO 7027-1:2016-09 [43] |
| Nitrates V Range: (2.5–50) mg/L Ion chromatography method with conductometric detection (IC-CD) | PN-EN ISO 10304-1:2009 + AC:2012 [44] |
| Nitrates III Range: (0.05–1) mg/L Ion chromatography method with conductometric detection (IC-CD) | PN-EN ISO 10304-1:2009 + AC:2012 [44] |
| Chlorides Range: (2.5–250) mg/L Ion chromatography method with conductometric detection (IC-CD) | PN-EN ISO 10304-1:2009 + AC:2012 [44] |
| Aluminum Range: (0.04–1) mg/L Spectrophotometric method | PN-92/C-04605/02 [45] |
| Total calcium and magnesium content (total hardness) Range: (10–625) mg/L CaCO3 Titrimetric method | PN-EN ISO 6059:1999 [46] |
| Manganese Range: (0.015–1.0) mg/L Spectrophotometric method | PN-92/C-04590/03 [47] |
| Copper Range: (0.02–50) mg/L Flame atomic absorption spectrometry (FAAS) | PN-ISO 8288:2002 Method A [48] |
| Sulfate SO44 Range: (5–250) mg/L Ion chromatography method with conductometric detection (IC-CD) | PN-EN ISO 10304-1:2009 + AC:2012 [44] |
| Total Iron Range: (0.02–20.0) mg/L Spectrophotometric method | PN-ISO 6332:2001 [49] |
| Chlorites Range: (0.05–1.0) mg/L Ion chromatography method with conductometric detection (IC-CD) Chlorates Range: (0.1–2.0) mg/L Ion chromatography method with conductometric detection (IC-CD) | PN-EN ISO 10304-4:2022-08 [50] |
| Escherichia coli Membrane filtration method | PN-EN ISO 9308-1:2014-12 +A1:2017-04 [51] |
| Enterococci Membrane filtration method | PN-EN ISO 7899-2:2004 [52] |
| Coli Bacteria Membrane filtration method | PN-EN ISO 9308-1:2014-12 +A1:2017-04 [51] |
| Clostridium perfringens Membrane filtration method | PN-EN ISO 14189:2016-10 [53] |
| Indicator | Unit | Quarter I | Limit Value [55] | ||||
|---|---|---|---|---|---|---|---|
| 2018 | 2019 | 2020 | 2021 | 2022 | |||
| Color | mg/L | <5 | <5 | <5 | <5 | <5 | Accepted by consumers and without abnormal changes |
| Turbidity | NTU | <0.20 | <0.20 | <0.20 | <0.20 | <0.20 | 1.0 |
| The pH value | pH | 7.80 | 7.97 | 7.82 | 7.70 | 7.77 | 6.5–9.5 |
| Conductivity | µS/cm | 572.7 | 556.7 | 602.0 | 546.7 | 568.7 | 2500 |
| Nitrates V | mg/L | 8.5 | 9.0 | 8.1 | 10.6 | 8.2 | 50.0 |
| Nitrates III | mg/L | <0.05 | <0.05 | <0.05 | <0.05 | <0.05 | 0.5 |
| Chlorides | mg/L | 26.3 | 29.0 | 30.0 | 30.9 | 31.5 | 250.0 |
| Chrome | µg/L | <3.0 | <3.0 | <3.0 | <3.0 | <2.2 | 50.0 |
| Aluminum | µg/L | <40.0 | <40.0 | <40.0 | <40.0 | <40.0 | - |
| Cadmium | µg/L | <0.5 | <0.5 | <0.5 | <0.5 | <0.5 | 5.0 |
| Magnesium | mg/L | 13.9 | 22.3 | 12.3 | 9.9 | 10.3 | 7–125 |
| Manganese | µg/L | <20.0 | <20.0 | <20.0 | <20.0 | <15.0 | 50.0 |
| Copper | mg/L | 0.004 | 0.005 | 0.005 | 0.004 | 0.005 | 2.0 |
| Nickel | µg/L | <4.7 | <4.0 | <6.3 | <4.0 | <4.0 | 20.0 |
| Lead | µg/L | <4.0 | <4.0 | <2.8 | <4.0 | <4.0 | 10.0 |
| Mercury | µg/L | - | <0.10 | <0.10 | <0.10 | <0.10 | 1.0 |
| Sulfate SO4 | mg/L | 36.2 | 37.0 | 37.7 | 32.5 | 35.0 | 250.0 |
| Total iron | µg/L | <20.0 | <20.0 | <20.0 | <20.0 | <20.0 | 200.0 |
| Oxidizability with KMnO4 | mg/L | 0.97 | 1.04 | 0.78 | 0.75 | 0.72 | 5.0 |
| Chloroform | µg/L | <1.0 | <1.0 | <1.0 | <1.0 | <1.0 | 0.03 |
| Σ THM (Trihalomethanes) | µg/L | 4.2 | <1.0 | <1.0 | <2.3 | <1.0 | 100.0 |
| Total organic carbon | mg/L | 1.37 | 1.67 | 1.77 | 1.97 | 1.63 | Without abnormal changes |
| The sum of chlorites and chlorates | mg/L | <0.18 | <0.21 | <0.25 | <0.17 | <0.17 | 0.7 |
| Escherichia coli | jtk/100 mL | 0 | 0 | 0 | 0 | 0 | 0 |
| Enterococci | jtk/100 mL | 0 | 0 | 0 | 0 | 0 | 0 |
| Coli Bacteria | jtk/100 mL | 0 | 0 | 0 | 0 | 0 | 0 |
| Clostridium perfringens | jtk/100 mL | 0 | 0 | 0 | 0 | 0 | 0 |
| General hardness | mg CaCO3 | 256.7 | 243.0 | 253.3 | 237.3 | 245.7 | 60–500 |
| Indicator | Unit | Quarter II | Limit Value [55] | ||||
|---|---|---|---|---|---|---|---|
| 2018 | 2019 | 2020 | 2021 | 2022 | |||
| Color | mg/L | <5 | <5 | <5 | <5 | <5 | Accepted by consumers and without abnormal changes |
| Turbidity | NTU | <0.20 | <0.20 | <0.20 | <0.20 | <0.20 | 1.0 |
| The pH value | pH | 7.7 | 7.63 | 7.62 | 7.70 | 7.72 | 6.5–9.5 |
| Conductivity | µS/cm | 556.0 | 540.0 | 557.0 | 540.7 | 596.3 | 2500 |
| Nitrates V | mg/L | 7.5 | 7.9 | 6.5 | 8.2 | 6.0 | 50.0 |
| Nitrates III | mg/L | <0.05 | <0.05 | <0.05 | <0.05 | <0.05 | 0.5 |
| Chlorides | mg/L | 29.1 | 27.4 | 29.0 | 29.4 | 30.7 | 250.0 |
| Chrome | µg/L | <3.0 | <3.0 | <0.5 | <3.0 | <0.5 | 50.0 |
| Aluminum | µg/L | <40.0 | <45.0 | <40.0 | <40.0 | <40.0 | - |
| Cadmium | µg/L | <0.5 | <0.5 | <0.5 | <0.5 | <0.5 | 5.0 |
| Magnesium | mg/L | 15.2 | 13.0 | 11.7 | 10.5 | 12.1 | 7–125 |
| Manganese | µg/L | <20.0 | <20.0 | <20.0 | <20.0 | <15.0 | 50.0 |
| Copper | mg/L | 0.004 | 0.004 | 0.005 | 0.002 | 0.005 | 2.0 |
| Nickel | µg/L | 6.0 | <4.0 | <0.5 | <4.0 | <4.0 | 20.0 |
| Lead | µg/L | <4.0 | <4.0 | <0.5 | <4.0 | <4.0 | 10.0 |
| Mercury | µg/L | - | <0.10 | <0.10 | <0.10 | <0.10 | 1.0 |
| Sulfate SO4 | mg/L | 32.6 | 34.7 | 29.7 | 31.0 | 32.7 | 250.0 |
| Total iron | µg/L | <20.0 | <20.0 | <20.0 | <20.0 | <20.0 | 200.0 |
| Oxidizability with KMnO4 | mg/L | 0.66 | 0.78 | 0.73 | 0.58 | 0.83 | 5.0 |
| Chloroform | µg/L | <1.0 | <1.0 | <1.0 | <1.0 | <1.0 | 0.03 |
| Σ THM (Trihalomethanes) | µg/L | 5.1 | 5.8 | 6.2 | 5.6 | <1.0 | 100.0 |
| Total organic carbon | mg/L | 1.34 | 2.13 | 1.77 | 1.70 | 1.61 | Without abnormal changes |
| The sum of chlorites and chlorates | mg/L | <0.19 | <0.21 | <0.25 | <0.15 | <0.18 | 0.7 |
| Escherichia coli | jtk/100 mL | 0 | 0 | 0 | 0 | 0 | 0 |
| Enterococci | jtk/100 mL | 0 | 0 | 0 | 0 | 0 | 0 |
| Coli Bacteria | jtk/100 mL | 0 | 0 | 0 | 0 | 0 | 0 |
| Clostridium perfringens | jtk/100 mL | 0 | 0 | 0 | 0 | 0 | 0 |
| General hardness | mg CaCO3 | 244.0 | 236.7 | 218.7 | 236.7 | 245.0 | 60–500 |
| Indicator | Unit | Quarter III | Limit Value [55] | ||||
|---|---|---|---|---|---|---|---|
| 2018 | 2019 | 2020 | 2021 | 2022 | |||
| Color | mg/L | <5 | <5 | <5 | <5 | <5 | Accepted by consumers and without abnormal changes |
| Turbidity | NTU | <0.20 | <0.20 | <0.20 | <0.20 | <0.20 | 1.0 |
| The pH value | pH | 7.67 | 7.57 | 7.57 | 7.60 | 7.62 | 6.5–9.5 |
| Conductivity | µS/cm | 592.0 | 575.3 | 598.3 | 595.3 | 654.3 | 2500 |
| Nitrates V | mg/L | 6.3 | 5.3 | 6.1 | 7.6 | 5.6 | 50.0 |
| Nitrates III | mg/L | <0.05 | <0.05 | <0.05 | <0.05 | <0.05 | 0.5 |
| Chlorides | mg/L | 32.0 | 40.0 | 32.3 | 34.7 | 43.3 | 250.0 |
| Chrome | µg/L | <3.0 | <3.0 | <0.5 | <3.0 | <0.5 | 50.0 |
| Aluminum | µg/L | <61.7 | <44.0 | <40.0 | <46.0 | <40.0 | - |
| Cadmium | µg/L | <0.5 | <0.5 | <0.5 | <0.5 | <0.5 | 5.0 |
| Magnesium | mg/L | 15.4 | 15.0 | 12.7 | 9.8 | 12.7 | 7–125 |
| Manganese | µg/L | <20.0 | <20.0 | <20.0 | <20.0 | <15.0 | 50.0 |
| Copper | mg/L | 0.004 | 0.004 | 0.005 | 0.002 | 0.005 | 2.0 |
| Nickel | µg/L | <4.7 | <5.3 | 1.6 | <4.0 | <4.0 | 20.0 |
| Lead | µg/L | <4.3 | <4.0 | <0.5 | <4.0 | <4.0 | 10.0 |
| Mercury | µg/L | - | <0.10 | <0.10 | <0.10 | <0.10 | 1.0 |
| Sulfate SO4 | mg/L | 35.4 | 37.7 | 35.3 | 32.0 | 42.0 | 250.0 |
| Total iron | µg/L | <20.0 | <20.0 | <20.0 | <20.0 | <20.0 | 200.0 |
| Oxidizability with KMnO4 | mg/L | 0.43 | 0.71 | 0.57 | 0.73 | 1.50 | 5.0 |
| Chloroform | µg/L | <1.0 | <1.0 | <1.0 | <1.0 | <1.0 | 0.03 |
| Σ THM (Trihalomethanes) | µg/L | 7.33 | 20.73 | 4.9 | 7.1 | <1.0 | 100.0 |
| Total organic carbon | mg/L | 0.74 | 2.10 | 1.95 | 1.53 | 1.29 | Without abnormal changes |
| The sum of chlorites and chlorates | mg/L | <0.20 | <0.20 | <0.25 | <0.19 | <0.20 | 0.7 |
| Escherichia coli | jtk/100 mL | 0 | 0 | 0 | 0 | 0 | 0 |
| Enterococci | jtk/100 mL | 0 | 0 | 0 | 0 | 0 | 0 |
| Coli Bacteria | jtk/100 mL | 0 | 0 | 0 | 0 | 0 | 0 |
| Clostridium perfringens | jtk/100 mL | 0 | 0 | 0 | 0 | 0 | 0 |
| General hardness | mg CaCO3 | 256.0 | 251.7 | 258.7 | 246.7 | 240.0 | 60–500 |
| Indicator | Unit | Quarter IV | Limit Value [55] | ||||
|---|---|---|---|---|---|---|---|
| 2018 | 2019 | 2020 | 2021 | 2022 | |||
| Color | mg/L | <5 | <5 | <5 | <5 | <5 | Accepted by consumers and without abnormal changes |
| Turbidity | NTU | <0.20 | <0.20 | <0.20 | <0.20 | <0.20 | 1.0 |
| The pH value | pH | 8.00 | 7.77 | 7.63 | 7.80 | 7.67 | 6.5–9.5 |
| Conductivity | µS/cm | 667.3 | 676.7 | 635.0 | 633.0 | 638.3 | 2500 |
| Nitrates V | mg/L | 7.4 | 7.8 | 7.0 | 6.1 | 7.6 | 50.0 |
| Nitrates III | mg/L | <0.05 | <0.05 | <0.05 | <0.05 | <0.05 | 0.5 |
| Chlorides | mg/L | 38.0 | 37.7 | 32.3 | 32.0 | 36.2 | 250.0 |
| Chrome | µg/L | <3.0 | <3.0 | <1.3 | <3.0 | <0.7 | 50.0 |
| Aluminum | µg/L | <41.3 | <40.0 | <40.0 | <40.7 | <40.0 | - |
| Cadmium | µg/L | <0.5 | <0.5 | <0.5 | <0.5 | <0.5 | 5.0 |
| Magnesium | mg/L | 15.0 | 15.5 | 14.7 | 8.0 | 11.2 | 7–125 |
| Manganese | µg/L | <20.0 | <20.0 | <20.0 | <16.7 | <15.0 | 50.0 |
| Copper | mg/L | 0.004 | 0.004 | 0.004 | 0.002 | 0.005 | 2.0 |
| Nickel | µg/L | 5.0 | 6.0 | <2.4 | <2.9 | <2.8 | 20.0 |
| Lead | µg/L | <4.0 | <4.0 | <1.7 | <4.0 | <4.0 | 10.0 |
| Mercury | µg/L | <0.10 | <0.10 | <0.10 | <0.10 | <0.10 | 1.0 |
| Sulfate SO4 | mg/L | 40.2 | 40.0 | 35.0 | 35.3 | 53.0 | 250.0 |
| Total iron | µg/L | <20.0 | <20.0 | <20.0 | <20.0 | <20.0 | 200.0 |
| Oxidizability with KMnO4 | mg/L | 0.97 | 0.97 | 1.00 | 0.89 | 1.23 | 5.0 |
| Chloroform | µg/L | <1.0 | <1.0 | <1.0 | <1.0 | <1.0 | 0.03 |
| Σ THM (Trihalomethanes) | µg/L | 14.0 | 1.6 | <5.1 | 7.1 | <1.0 | 100.0 |
| Total organic carbon | mg/L | 1.53 | 1.93 | 1.93 | 1.87 | 2.03 | Without abnormal changes |
| The sum of chlorites and chlorates | mg/L | <0.23 | <0.20 | <0.23 | <0.19 | <0.20 | 0.7 |
| Escherichia coli | jtk/100 mL | 0 | 0 | 0 | 0 | 0 | 0 |
| Enterococci | jtk/100 mL | 0 | 0 | 0 | 0 | 0 | 0 |
| Coli Bacteria | jtk/100 mL | 0 | 0 | 0 | 0 | 0 | 0 |
| Clostridium perfringens | jtk/100 mL | 0 | 0 | 0 | 0 | 0 | 0 |
| General hardness | mg CaCO3 | 281.0 | 281.3 | 255.3 | 281.0 | 265.7 | 60–500 |
Disclaimer/Publisher’s Note: The statements, opinions and data contained in all publications are solely those of the individual author(s) and contributor(s) and not of MDPI and/or the editor(s). MDPI and/or the editor(s) disclaim responsibility for any injury to people or property resulting from any ideas, methods, instructions or products referred to in the content. |
© 2024 by the author. Licensee MDPI, Basel, Switzerland. This article is an open access article distributed under the terms and conditions of the Creative Commons Attribution (CC BY) license (https://creativecommons.org/licenses/by/4.0/).
Share and Cite
Piegdoń, I. Variability of Drinking Water Quality on the Basis of Analysis of Qualitative Monitoring from a Selected Water Supply Network Located in South-Eastern Poland. Water 2024, 16, 3355. https://doi.org/10.3390/w16233355
Piegdoń I. Variability of Drinking Water Quality on the Basis of Analysis of Qualitative Monitoring from a Selected Water Supply Network Located in South-Eastern Poland. Water. 2024; 16(23):3355. https://doi.org/10.3390/w16233355
Chicago/Turabian StylePiegdoń, Izabela. 2024. "Variability of Drinking Water Quality on the Basis of Analysis of Qualitative Monitoring from a Selected Water Supply Network Located in South-Eastern Poland" Water 16, no. 23: 3355. https://doi.org/10.3390/w16233355
APA StylePiegdoń, I. (2024). Variability of Drinking Water Quality on the Basis of Analysis of Qualitative Monitoring from a Selected Water Supply Network Located in South-Eastern Poland. Water, 16(23), 3355. https://doi.org/10.3390/w16233355

