Abstract
The combined effect of climate change and increased water demand has put significant strain on groundwater resources globally. Managed aquifer recharge (MAR) has become an effective approach for addressing groundwater depletion problems and sustainable management of groundwater resources. This review article provides an extensive insight into the existing knowledge of MAR, including the main objectives and applications, implementation techniques (surface spreading, sub-surface, and induced recharge) being practiced over the years, risks and challenges associated with the MAR, and the developments in the field of MAR. This review also explores the potential of MAR in the Friuli Venezia Giulia (FVG) region, north-eastern Italy. An average increase in temperature and a decrease in precipitation and piezometric levels in the region suggest the development of a proper MAR plan to manage water resources in the decades to come. Additionally, a comparative analysis of studies published over the last 20 years, focusing on the quantitative and qualitative aspects of water resource management, is conducted to analyze the research trends in the field of MAR. The reviewed literature reveals a notable research trend towards the quantitative aspect compared to the qualitative one. This review also identifies a notable disparity in qualitative studies during the analysis of water quality parameters considered in different MAR studies. Based on this review, a prospective viewpoint to address the challenges and expand the scope of the field is presented. This calls for an optimized strategy that considers both water quality and quantity issues, along with incorporating environmental and socio-economic aspects within the framework of MAR.
1. Introduction
Owing to increasing domestic, agricultural, and industrial demand, groundwater resources are under immense pressure [1,2]. Populations in arid and semi-arid regions of the world are highly dependent on groundwater to meet their freshwater needs because of insufficient surface water resources [3,4,5]. Moreover, extreme events, such as floods and droughts caused by climate change, often result in scarcity of water when required and vice versa. These climate extremes are expected to further intensify by climate change [6]. Approximately 2 billion people worldwide are estimated to be affected by water shortage problems [7]. Regions that are widely facing water scarcity challenges include India, Pakistan, South Africa, China, the USA, and Australia [8].
Similarly, water demand in Europe has increased gradually over the last 50 years due to climate change (frequent drought events), increased agricultural demand, urbanization, and growing tourism, etc. [9]. The water consumption by these sectors varies across different regions. In Western and Eastern Europe, public water supply, industry, and electricity production cause major stress to the freshwater resources, while in Southern Europe (the most affected region), agriculture, public water supply, and tourism significantly contribute to the pressure increase on water resources. In the year 2017, about 50% of Europe’s public water supply was consumed by southern Europe, which is attributed to the growing tourism impact in the region. In general, the water resources in most of the southern countries come under strain during the spring and summer periods due to relatively dry weather (reduced rainfall), increased agricultural abstractions, tourism, and other socio-economic activities. However, these factors do not solely drive the water scarcity issue in Europe. More than 20% of water in southern and eastern Europe is estimated to be lost due to leakages in the supply system. Similarly, unauthorized withdrawals, lack of water-saving technologies, and changes in dietary patterns have put groundwater resources under pressure [10,11].
The industries also play a significant role in stressing the groundwater resources. The manufacturing industry, including textiles, paper, food, iron and steel, and chemicals, requires a lot of water for cooling, processing, cleaning, and washing purposes. These industries also have the highest generation of wastewater in many countries, which may be highly contaminated and may require additional treatments as compared to municipal effluents before being released into the environment [11].
In the year 2020, Italy emerged as the leading country within the European Union (Eu27) in terms of the absolute volume (9.2 billion m3) of fresh groundwater abstracted for public water supply (Figure 1). In terms of per capita, there was a significant gap between member states. Italy secured its first position with 129 m3 per inhabitant, followed by Croatia (100), Slovenia (82), Austria (77), Greece (70), Denmark (68), Bulgaria (63) and France (53), etc. [12]. Like the rest of the country, the Friuli Venezia Giulia (FVG) region in northeastern Italy has also faced a decline in groundwater resources due to the combined effect of climate change and overexploitation. Withdrawals are not equally distributed in space and time; some areas are in a borderline balance between recharge and withdrawals, and others, such as the western plain, where consumption is unbalanced to recharge. In the eastern sector of the high plain, the increase in recent years in the frequency of drought periods has resulted in the reduction of water availability for irrigation use [13].
Figure 1.
Fresh groundwater abstraction rate (m3 per inhabitant) as of 2020 in Eu27 countries [12].
The water scarcity also affects the water-dependent economic activities, i.e., agriculture, industries, and tourism. The electricity generation in hydropower plants may be affected due to low river discharges. The 2018 drought in central and northern Europe highly affected the agricultural yield in northern Europe. Crops of cereals, sugar beet, and potatoes were among the highly affected crops in northern Europe, whose yields in 2018 were much lower than in 2017. Also, the livestock and dairy industry was heavily affected due to the impact of drought on pastureland [11].
To overcome the impact of extreme climate events and the current pattern of groundwater depletion, water management strategies need to be changed [14]. Surface reservoirs are frequently used to store water, but they have many drawbacks, including substantial evaporation losses, the need for a large area of land, accumulation of sediments, potential for structural damage, and increased risk of contamination [15,16]. Conversely, an increased groundwater recharge can mitigate groundwater droughts and lead to sustainable groundwater management [17].
Managed aquifer recharge (MAR) is being increasingly practiced worldwide as a water management strategy to increase surface water infiltration and storage in underground space [18]. In contrast to the other methods of management of water resources, the MAR technique offers important advantages for protecting the aquifers from the impact of hydrological and climate changes, restoring depleted aquifers, decreasing evaporation loss, improving water quality, controlling land subsidence, and preventing saline intrusion [6,19,20].
The idea of MAR is to infiltrate water into partially depleted aquifers to enhance sustainable groundwater supply from aquifers [21]. Recharged water can be stored in both unconfined and confined aquifers [22]. Aquifer water storage capacity varies depending on the aquifer type. For example, unconsolidated and highly porous aquifers may have a storage capacity of 30%, while highly consolidated aquifers may have a storage capacity of 10%, which can be as low as 1% for crystalline rocks [23]. Stored water can be recovered for various domestic, agricultural, and industrial applications. The design of the MAR system depends on a variety of factors, including geological, hydrogeological, geochemical, engineering, and biological [15]. Other important parameters, such as distance between the source water and recharge structure, and associated costs should be considered before selecting the source water [24]. An integral part of a MAR project is the availability of high-quality source water. Various surface water sources can be used for water storage in aquifers, including rainwater, water from rivers, streams, and lakes, stormwater, desalinated seawater, and treated wastewater [25]. According to IGRAC [26], the most widely used water source is river water, which accounts for 52% of the total usage, followed by stormwater (18%), and treated wastewater with 8% of the total applications, as shown in Figure 2.
Figure 2.
Water sources used worldwide in MAR applications [26].
Numerous MAR projects have been implemented over the years in water-stressed areas of Europe, Asia, North America, and Africa. According to Dillon et al. [18], MAR implementation has increased by 5% per year over the last few decades. More than 1200 MAR sites have been reported worldwide, as per IGRAC [26]. The global distribution of the MAR sites is shown in Figure 3.
Figure 3.
Global distribution of MAR sites [26].
Review Framework
The review aims to provide a comprehensive overview of the existing knowledge on MAR, including objectives, implementation techniques (with examples from different case studies), and the role of numerical models in MAR studies. The technical and non-technical challenges associated with MAR have been discussed in detail. The study also highlights the MAR progress in Italy with a literature review of some existing and past projects, followed by a detailed discussion on the case study of the Friuli Venezia Giulia (FVG) region. The study later includes a comparative analysis of previous studies, focusing on MAR’s qualitative and quantitative aspects to explore trends in MAR research. Around 60 studies from the last two decades are considered for the analysis. Later, a detailed examination of the qualitative studies on MAR is conducted to analyze the trend of water quality parameters, including both physical and chemical ones in the previous studies. Based on the review, conclusions and suggestions have been discussed in the final part of the article.
2. Objectives of MAR
MAR serves multiple purposes, including improving groundwater availability, improving groundwater quality, and facilitating environmental management. A brief overview of MAR objectives is given below.
2.1. Water Resource Management
The primary objective of MAR is to restore groundwater levels to address the imbalance between demand and supply in overexploited aquifers. It is also aimed at utilizing and storing excess surface water during the surplus period (high rainfall or increased river flow) for later recovery during the dry season or periods of high demand [19,25].
2.2. Water Quality Improvement
Enhancing the quality of groundwater resources is another primary objective of MAR. Generally, water provided to groundwater recharge facilities exhibits diverse physical, chemical, and biological properties [22]. Within groundwater recharge facilities, routine inspections carried out on recharged water concentrate on the physicochemical attributes of primary constituents, including nitrogen and phosphorus compounds, organic substances, heavy metals, bacteria, and radioactive molecules, etc. [27,28]. This approach ensures the provision of high-quality water (by limiting contaminants and pathogens) to replenish aquifers.
2.3. Adaptation to Climate Change
The effect of climate change on water resources has become a widespread challenge. Increased temperatures with reduced and variable precipitation patterns have significantly impacted water resources globally. The decline in surface water supplies due to droughts and evapotranspiration can put groundwater resources under stress due to overexploitation [14,29,30]. Climate change can also cause sea level rise, resulting in the salinization of coastal aquifers, which can make the groundwater unsuitable for use [11]. MAR is considered one of the possible and effective strategies to combat the effect of climate change on groundwater resources.
2.4. Natural Treatment of Wastewater
The treatment of recharged water, particularly treated wastewater, through natural attenuation processes during the passage from the surface into the aquifers has widely been practiced in various countries. This approach has demonstrated a decrease in treatment expenses because of the soil’s inherent ability to act as a natural filter [27,31]. According to different studies, more than 50% of organic matter can be removed during the flow through the unsaturated zone [32,33]. This strategy of treated wastewater reuse is particularly pertinent in arid and semiarid regions [34,35].
2.5. Prevent Seawater Intrusion
Seawater intrusion in coastal aquifers can be controlled by MAR. Introducing recharged water into a coastal aquifer via trenches, wells, or other recharge structures like coastal wetlands and recharge basins acts as a buffer by raising the freshwater head in the aquifer to the point where saline water is stopped from moving inland. All this indicates the viability of MAR as both a short- and long-term strategy for the prevention of seawater intrusion [25].
2.6. Retain Excess Rainwater
The creation of artificial wetlands can also serve to hold excess rainwater and clean the groundwater as it filters underground. The ponds and lakes, whether artificial or natural, are linked with the nearby rivers and create above-ground and underground water systems for the drainage and collection of excess water to create a dynamic barrier to saltwater intrusion and also to manage extreme rainfall events. Moreover, one of the impacts of climate change is the intensification of rainfall events, which do not allow the aquifers to be properly recharged but often cause rainwater to flow into the sea. The realization of such lagoon areas and artificial basins would prevent excess rainwater from flowing into the sea. The Xichong, Nan’ao, Dapeng New District in Shenzhen (China) is an example of coastal wetlands and fishponds designed using sponge city principles [36].
2.7. Reduce Land Subsidence
Land subsidence is the lowering of the land surface due to the intensive withdrawal of groundwater from aquifer systems. This process is mainly caused by a decline in the pore pressure, especially in unconsolidated sediments. Land subsidence is influenced by the compressibility and thickness of depleted formations and the amount of pressure decline. Land subsidence due to groundwater pumping can reach several meters [37,38]. Urban areas have experienced flooding and damages to structures and infrastructures associated with land subsidence, structural differential displacement, and earth fissures due to aquifer overexploitation [39,40]. MAR helps effectively in mitigating or halting land subsidence attributed to intensive aquifer exploitation [41,42].
3. Methods for Implementation of MAR
Different types of structures and methods can be employed to improve the water recharge and storage in aquifers. The sustainable recharge of an aquifer system requires the selection of the most suitable technique based on the hydrogeological characteristics of the aquifer, source water, and end-use of the recovered water [43]. Different MAR implementation techniques have been discussed in the literature [25,44,45,46]. Figure 4 shows the most common MAR techniques. MAR techniques are generally divided into two groups: direct and indirect techniques. The details of different MAR techniques and their applications are summarized in Table 1.
Table 1.
MAR techniques and their applications [25,46].
3.1. Direct Methods
3.1.1. Surface Spreading
Spreading methods are the most common and cost-effective approaches for implementing MAR. These methods include infiltration ponds, basins, Ag-MAR, check dams, bench terracing, soil aquifer treatment (SAT), flooding, and excessive irrigation [45,47]. The purpose of these techniques is to enhance the contact area and duration of surface water interaction with the soil, with the ultimate goal of increasing infiltration and enhancing the storage of groundwater within phreatic aquifers [48]. Recharging through infiltration ponds is regarded as a highly effective and advantageous groundwater recharge method, primarily because of their ability to optimize space utilization and simple maintenance requirements [45]. Infiltration ponds are basins excavated in the ground where surface waters are released to favor subsurface infiltration [25,49]. Infiltration methods also offer the advantage of the natural treatment of recharge water during migration through the unsaturated zone. Water quality is improved by reducing the concentrations of organic matter, trace metals, bacteria, etc., through physical, chemical, and biological processes [50,51,52]. The spreading method is preferable when dealing with an unconfined aquifer, such as alluvium or sandstone, as it facilitates infiltration through the permeable medium and when the aquifer requiring recharge is located near the ground surface. However, the availability of large open lands with different topographies is a major issue in the implementation of these methods, particularly in urban environments [25,46].
In the Turku region of Finland, a water supply company, Turku Region Water Ltd., started a MAR project to meet the drinking water needs of 300,000 people. The MAR project was built to replace the existing water supply plants because of their inability to meet the Turku area’s demand in terms of quantity and quality. The MAR plant comprised 19 infiltration basins (700 to 1900 m2) and 13 pumping wells. The source water, coming from the nearby Kokemäenjoki River, was first pre-treated before infiltration into the sand/gravel esker aquifer through infiltration basins. Water production from the MAR plant started in 2011 and reached its full production capacity in 2013 with a production rate of 64,000 m3/day. MAR increased the production capacity of the aquifer by 10–15 times as compared with the natural yield. A maximum increase of 4 m in groundwater levels was observed in the areas around the infiltration basins. The improvement in the quality of the produced water quality was also ensured through natural purification processes by optimizing the residence time of the recharged water, i.e., more than 3 months. This allowed the consumption of the recovered water without any post-treatment processes. The water quality parameters, such as iron, manganese, TOC, EC, and nutrient content, were found to be within the threshold values [53].
3.1.2. Subsurface Techniques
Injection wells (also called recharge wells), gravity head recharge wells, recharge pits, and recharge shafts are subsurface methodologies used to recharge deeper (confined) aquifers [48]. Generally, two main approaches are employed for injection and recovery: (i) aquifer storage and recovery (ASR); and (ii) aquifer storage, transfer, and recovery (ASTR). In ASR, injection and recovery occur through the same wells. This method is used to store high-quality excess water during wet seasons for later recovery in the dry seasons. However, separate wells are employed in the case of ASTR, as one well is used for the injection of water into the aquifer and the other well, located downgradient is used for recovery [52]. ASTR represents an enhanced version of ASR and is effective in improving the quality of the stored water owing to its longer residence time and pathway within the porous system [25,44].
In the town of Payson, central Arizona, where groundwater is the main source of potable water for the population and has experienced a significant decline in piezometric head during the last 50 years, the potential of MAR has been tested with ASR by conducting pilot injection tests. Two injection tests were conducted in 2006 and 2011–2012 using existing production wells. The recharge capacity demonstrated by the pilot tests (230.9 L/s) was three times greater than the required recharge capacity (81.7 L/s) of the city [54]. Moreover, MAR has been successfully applied in Shanghai, China, to control land subsidence. The long-term overexploitation of confined aquifers in Shanghai has caused more than 2 m of land subsidence over the last century. The recharging of aquifers through the same deep wells previously used for groundwater withdrawal, along with controlling the exploitation of groundwater by replacing groundwater supply with surface water supply, resulted in significant mitigation of subsidence (from an average subsidence of 12.7 mm/year in 1990 to 1.3 mm/year in 2009) in the Shanghai metropolitan area [40,41].
3.2. Indirect Methods
Indirect approaches to MAR aim to recharge aquifers using indirect methods rather than providing aquifers with a direct source of water. Induced infiltration is a type of indirect recharge that includes bank and dune filtration. Bank filtration refers to the practice of extracting groundwater from a well located close to a surface water body such as a river or a lake, which reduces the water level in the aquifer. The resulting head difference between the surface water body and groundwater causes infiltration of water from the surface water body into the aquifer. This ultimately results in the improvement of groundwater quality by means of filtration of recharged water through riverbank sediments [52,55]. Dune filtration operates on a principle similar to bank filtration. It works by infiltration of surface water into the dune system followed by extraction from low-lying wells or ponds, resulting in additional treatment and improvement of the infiltrated water quality [55,56].
A riverbank filtration project was carried out in Haridwar (India) in 2005 and 2006 during the monsoon and non-monsoon seasons to improve the water quality of river Ganga by filtration through an unconfined sand-gravel aquifer. A production well, fed by a nearby channel (new supply channel) from the Ganga River, was selected for the implementation of bank filtration. Water samples collected from the production well showed a significant reduction in turbidity and bacteria (coliforms). Compared to the source water, a 1-log reduction in turbidity and a 3-log reduction in total and fecal coliforms were observed in well water during the non-monsoon months, while turbidity and coliforms were reduced by more than two and four logs, respectively, during the monsoon period. Moreover, approximately 70% of the organics were also found to be removed by riverbank filtration [57].
Figure 4.
Schematic diagrams of common MAR techniques, modified from [55,58].
Figure 4.
Schematic diagrams of common MAR techniques, modified from [55,58].

4. Modeling-Based Estimation of MAR
Modeling studies play a crucial role in understanding and optimizing groundwater recharge in aquifers, particularly under complex hydrogeological conditions. Recent advancements in the three-dimensional groundwater flow and solute transport modeling have made it easier to simulate the effects of MAR schemes. Modeling studies are instrumental in selecting a suitable MAR method and assessing the feasibility of such methods at specific locations [59,60,61,62]. Groundwater models also offer the opportunity to optimize the MAR strategy and quantify recovery efficiency, which refers to the amount of water that can be retrieved with the desired water quality [63,64,65]. Such models can also simulate potential future variations in hydraulic head or groundwater flow rates, resulting from changes in stresses on the aquifer system [66,67].
The models range from simple analytical models addressing one-dimensional flow in uniform porous systems to complex numerical models designed to simulate the multiphase movement of substances within three-dimensional, heterogeneous porous systems [68]. Accurate and reliable groundwater flow simulation requires a comprehensive understanding of the hydrogeological characteristics of the area under investigation [66,69]. Figure 5 illustrates the steps involved in numerical modeling of a MAR project in detail.
Several modeling studies have been performed to investigate MAR under different hydrogeological conditions. Hassan et al. [70] conducted a modeling study to simulate the effect of MAR in a pond on the groundwater table and water quality in Dibdibba Aquifer, Iraq, using groundwater flow (MODFLOW) and solute transport (MT3DMS) models. For the groundwater level, two scenarios were performed for the period 2016–2030 by applying recharge rates of 5000 and 10,000 m3/day, which predicted an increase in the groundwater level of 0.8 and 1.4 m, respectively. An improvement in groundwater quality was also predicted for the period 2022–2030. The increased recharge applied with a recharge rate of 5000 m3/day decreased the TDS of groundwater from 4320 ppm to 2400 ppm and the electrical conductivity (EC) value from 4780 µs/cm to 1600 µs/cm in the vicinity of the pond site. Similarly, increasing the recharge rate to 10,000 m3/day further reduced the TDS to 1900 ppm and EC values up to 1200 µs/cm near the pond.
Figure 5.
Steps involved in the numerical modeling of a MAR site, modified from [33,71].
Figure 5.
Steps involved in the numerical modeling of a MAR site, modified from [33,71].

Sathish et al. [72] used SEAWAT code to develop a 3D density-dependent flow and solute transport model of the Abu Dhabi aquifer to study the effect of Strategic Aquifer Storage and Recovery (SASR) using desalinated and nonconventional water (salt concentration: 0.1–2 g/L). The results confirm the need to adopt a more rational use of irrigation water or usage of desalinated water and recycled water, together with optimizing groundwater pumping at locations vulnerable to quality degradation and depletion. The long-term storage of desalinated freshwater with a maximum radial distance of 653 m is ensured with the formation of the transition zone and change in the groundwater head up to 5 km. The study also recommends rational use of nonconventional water, especially in the coastal region.
Similarly, Pokhrel et al. [73] conducted a modeling study to propose a new MAR system (comprised 10 infiltration ponds and 25 recovery wells) with a production capacity of 27,400 m3/day in a lake area, near Amsterdam city. The model was constructed using MODFLOW-2005 under steady-state conditions. The infiltration capacity of the ponds was computed to 18,146 m3/day, with 17,892 m3/day (98%) captured by the recovery wells, which is approximately 65.3% of the total target production (27,400 m3/day) of the wells. Moreover, a heat transport model was built using MT3DMS to simulate variations in the temperature of the recovered water. The results showed a relatively stable temperature of the abstracted well water (9.8–12.5 °C) compared with the input pond water having high-temperature fluctuations. Temperature stability is useful for improving the performance of post-treatment processes.
5. Challenges and Risks Associated with MAR
5.1. Challenges Related to MAR Operation
In MAR systems, several challenges and risks may arise during the implementation of the project, which can affect the efficiency of MAR systems in terms of water quality and recharge capacity.
Poor well design, insufficient source and receiving water characterization, subpar engineering design, or a lack of clarity regarding the main goals of the MAR system are all direct causes of failure for certain MAR systems. The MAR system may also be affected by extreme climate events. For example, floods can increase the inflow of contaminants in a MAR system and cause damage to MAR structures, ultimately affecting the water supply and recovery system in the area. Similarly, landslides or soil erosion can affect MAR operations due to damage to MAR infrastructure [74,75].
Acquiring an efficient and fast infiltration rate is one of the primary issues that have emerged in the majority of MAR facilities. The technical nature of this challenge is to find a way to improve the effectiveness of the MAR facilities and the rate at which water penetrates the aquifer. Adopting soil and aquifer treatment methods along with other complementary strategies is one potential way to address these problems. These methods are known as “Tech sols”, or technical solutions. These solutions serve various advantages, but some challenges are associated with each solution, which should be considered while selecting the most suitable or combination of techniques. Subsurface storage helps to restore wetlands, though runoff abstraction can negatively impact the downstream ecosystem. Temperature reduction through urban designs like green roofs or parking lots can help increase runoff infiltration and evaporation, yet it poses a risk of pollution from runoff in contaminated areas. Increased soil humidity supports the soil’s ecosystem health and fertility with little investment, along with good water purification. However, excessive humidity can lead to flooding or freezing in colder climates. Infiltration of reclaimed water provides an alternative to primary water sources; however, it can cause water quality issues due to the imbalance in the recharged and aquifer water quality and the legal limitations. Punctual recharge manages peak flows through filtering systems but can cause clogging issues, and the excessive recharge might also limit the system’s ability to handle any additional flow from extreme events, i.e., unexpected storms. Restoration of temporary wetlands through slow infiltration into infiltration ponds can help support the ecosystem, but this strategy may pose health risks if reclaimed water is involved. Forested watersheds to control erosion and forest hydrological restoration may limit the downstream runoff, affecting the associated wetlands. Lastly, Intrusion barrier wells that allow the use of low-quality water can affect the aquifer’s storage potential due to the presence of pollutants in the recharged water [30].
MAR implementation or selection is challenging because it depends on many interrelated factors, including source water availability for recharge [76]. The balance between enhancing the storage capacity of aquifers and maintaining water quality is a serious challenge in MAR projects [24]. The mixing of source (recharged) and groundwater might result in the alteration of the abstracted water quality [52,74]. For example, injecting oxygenated water into a reducing aquifer can lead to the mobilization and precipitation of manganese, iron, and arsenic, which can result not only in contamination but also clogging of the wells [77]. Pretreatment of the source water is important to improve the quality of the abstracted water. However, there is still a risk of water quality deterioration due to the dissolution of minerals caused by the interaction of treated source water and the aquifer matrix, which poses a serious risk to water quality [77,78]. Moreover, wastewater from different sources such as households, industry, agriculture, and hospitals can contain other emerging pollutants, also known as contaminants of emerging concerns (CECs), which can have harmful effects on human health and the environment. These CECs may range in concentrations from a few µg m−3 to several mg m−3, which continue to build up in water bodies due to their uncontrolled emission and resistance to degradation [79,80]. Also, most conventional WWTPs are inefficient in removing these micropollutants [81,82]. The most common CECs in recharged water include microplastics, pesticides, pharmaceuticals, personal care products, endocrine-disrupting compounds (EDCs), and per- and polyfluoroalkyl substances (PFAS) [83,84,85,86,87]. The EU Directive 2013/39/EU expanded the list of priority substances to be monitored to 45, initially set out to 33 substances in Directive 2008/105/EC [82,88]. Moreover, a watchlist of 17 emerging substances, requiring monitoring data for future priority purposes, was proposed in EU Directive 2013/39/EU, which was made available in the decision 2015/495/EU. The watchlist includes some estrogens, pharmaceuticals (diclofenac, erythromycin, azithromycin, clarithromycin), anti-oxidants, UV filters, some pesticides (methiocarb, imidacloprid, thiamethoxam, acetamiprid, thiacloprid, and clothianidin), and some herbicides (oxadiazon and triallate) [82,89]. The mechanism by which CECs enter and interact with the aquifer system during MAR is still not well characterized. Since the source water used for the MAR application might be polluted by the CECs, the MAR systems can facilitate the migration of these contaminants into the groundwater [90].
Another significant challenge associated with MAR is the clogging of recharge systems. Physical clogging occurs by the obstruction of the pore network, resulting from the deposition of organic and inorganic matter within the infiltration medium [91]. The accumulation of silt is a serious challenge, particularly for check dams and percolation tanks that can retard the infiltration in MAR systems and hence reduce the recharge and storage efficiency [92]. Sometimes, biological and chemical clogging occurs along with physical clogging. Biological clogging is caused by the growth of microorganisms, i.e., bacteria within the aquifer system. These microbes form biofilms, which tend to grow and adsorb on the surface of aquifer material, such as soil or rock, over time, resulting in the partial or complete obstruction of pore spaces, reducing the water flow through the system [93,94]. Chemical clogging results from the precipitation and dissolution of minerals, leading to changes in water quality and aquifer permeability [25]. Typically, this process involves the precipitation resulting from geochemical reactions involving minerals such as carbonates, sulfates, phosphates, and iron [15,95].
In addition to reducing the recovery rate, clogging also increases the pressure within the MAR structure, particularly in the case of recharge/recovery wells, which increase the energy requirements and may cause rupture of the aquitard. Mitigation measures such as pre-treating the water using sand filters, sedimentation tanks, or metal screens are used to address the issue of clogging in MAR systems. However, pretreatment measures sometimes may not work to avoid clogging because clogging can also occur during recovery due to water quality changes during the storage stage. This is an important risk related to MAR operation, which can lead to high maintenance expenses [77].
5.2. Legislative and Social Challenges
Apart from the aforementioned technical constraints, there are some legal and regulatory barriers to the implementation of MAR. This includes construction licenses and permissions from government agencies [74]. Sometimes, government authorities do not provide legal permissions to water management agencies to abstract recharge water, which discourages water supply agencies from investing in MAR [24]. A lack of proper legislation and clear regulations can result in unnecessary delays or even the failure of a project in the planning phase [77]. For example, in Italy, large-scale MAR was not allowed until 2016 owing to a lack of proper legislation and has been performed previously as pilot experiments without any significant contribution to the water supply [96]. Similarly, there are some gaps in the legal framework of Mexico regarding the development of MAR. All the water in the country is controlled by the state authority that assigns water rights to the local agencies for the water supply. The local agencies have the right to recharge the water, but the legal framework does not allow them to recover the recharged water, which discourages the local agencies from investing in MAR. There is also a gap in the legal framework regarding reclaimed water, which restricts the local agencies from recharging the treated wastewater [24]. Some regulatory challenges related to the MAR development have also been identified in the state of Virginia, USA. The key challenges highlighted include lack of regulatory authority for groundwater injection, complex monitoring requirements, and uncertainties of stakeholders regarding the funding and approval of amendments in consent decrees by the authorities [97].
Achieving social acceptance of MAR projects is also a serious challenge. For example, in Muscat (Oman), local consumers did not allow the recharging of treated wastewater into existing groundwater resources despite the economic feasibility of the project. Similarly, the farmers in Qatar, Palestine, and Tunisia considered using treated wastewater unsafe for reuse in agriculture [98]. In Mexico, the lack of involvement of stakeholders and local communities in decision-making has been found to be one of the factors behind the slow development of MAR in the country [24]. Therefore, public involvement and awareness are crucial to the success of MAR projects. Local communities and other stakeholders should be involved throughout the project, from the planning phase to its completion [24,44].
6. MAR in Italy
As discussed earlier, Italy is among the leading Eu27 countries in terms of the total volume of freshwater abstracted for potable use. The southern part of the country is mainly affected by water scarcity. Over the years, several pilot experiments have been conducted in different parts of the country but without making a contribution to the water supply. The primary reason behind the delayed and limited development of MAR in the country has been the absence of specific legislation regarding the licensing of MAR schemes. In 2016, the legislation (DM 100/2016) regarding the permission and licensing of recharge plants was introduced, which now provides the possibility of implementing controlled recharge practices to sustain groundwater resources in the country. Therefore, MAR is still in the initial stage of development in Italy. Currently, induced riverbank filtration is the widely used (though not mostly considered as MAR type) MAR scheme. Other mostly used methods are infiltration ponds followed by wells and forested recharge areas [96].
A notable example of a successful MAR project in Italy can be seen in the Emilia-Romagna Region, which is the first legally authorized MAR scheme in the country. The water resources of the Marecchia River’s alluvial fan are strategically important for the supply of drinking water for the entire Rimini area. About 28 million cubic meters of water are withdrawn every year from the aquifers of this alluvial fan, 19 million cubic meters of which are used for drinking water purposes. The succession, starting in 2007, of several droughts led the Emilia-Romagna Region to begin the MAR in 2017 after a period of experimentation (2014–2016, that consisted of conveying an additional volume of water through a channel into a quarry lake, located in the recharge area of the alluvial fan. Overall, in the period 2014–2019, recharge contributed a total of 9.19 million m3 to the natural recharge of the aquifer, with an increase in recharge of about 6% [99].
Several MAR projects have been completed and are in progress in Italy with the support of the European Commission. In 2009–2011, the TRUST project “Tool for Regional-Scale Assessment of Groundwater Storage Improvement in Adaptation to Climate Change” was initiated to implement the artificial aquifer recharge in the Veneto and Friuli Plain using the excess surface water to mitigate the continuously declining piezometric levels and impacts of drought. The project demonstrated the effectiveness of MAR not just for the aquifer recovery but also for the agricultural economy [100].
The AQUOR project “Implementation of a Water Saving and Artificial Recharging Participated Strategy for the Quantitative Groundwater Layer Rebalance of the Upper Vicenza’s Plain” was conducted from 2011 to 2015 to mitigate the negative impact of climate change by improving the infiltration processes in the upper Vicenza’s plain. The project was conducted at seven different sites in the Vicenza area with different recharge techniques (wells, recharge fields and forests, river restoration). The contribution of the recharge system to the water supply was predicted between 5 and 10%, particularly in the case of dry summer periods. Additionally, a 1% to 3% reduction in the water uptake was estimated due to the flow regulator installations on irrigation lines [101].
A riverbank filtration project in the Sant’Alessio along the Serchio River supplies good-quality water to meet the drinking water demand of 300,000 people in Lucca, Pisa, and Livorno. The scheme is managed by a public-private partnership company, GEAL SpA. The water is pumped from 12 wells located at a distance of 30–100 m along the Serchio River to induce riverbank filtration into coarse sand and gravel aquifers. In 2013, the EU MARSOL project “Demonstrating Managed Aquifer Recharge as a Solution to Water Scarcity and Drought” included the Serchio River scheme in one of the eight demonstration sites of MAR in the Mediterranean basin. The MARSOL project enhanced the effectiveness of the RBF scheme by characterizing the hydrodynamics of the scheme through in-depth investigations using advanced monitoring and management technologies [102,103].
The Life REWAT project “Sustainable Water Management in the Lower Cornia Valley through Demand Reduction, Aquifer Recharge, and River Restoration” was started in 2015, aiming to develop strategic measures to restore the lowering head and reduce salinity in the lower Cornia valley. The project is aimed at implementing both structural (pilot experiments) and non-structural measures (public awareness). A set of demonstration actions such as the MAR facility, river restoration, and water-saving measures in civil and agricultural sectors are included in the project [104].
Similarly, the University of Udine started an EU WARBO project “Water Re-Born- Artificial Recharge: Innovative Technologies for the Sustainable Management of Water Resources” in 2012. The project aimed at mitigating the continuous deepening of piezometric levels by conducting MAR tests in the Mereto di Tomba area of the upper Friuli plain. The plant consists of a settling basin and two recharge wells, but due to the absence of specific legislation at that time, the wells were not used for the recharge, and the tests were conducted using the settling basin as an infiltration basin. The pilot experiments continued from December 2013 to October 2014 in three phases using the water diverted from a nearby San Vito channel. The details and outcomes of the pilot tests are discussed in the following section.
MAR Perspective in the Friuli-Venezia Giulia Region of Italy
The FVG region in northeastern Italy has also experienced an imbalance in its hydrogeological system over the years, resulting in a decrease in groundwater levels. The Friuli Plain covers an area of approximately 2900 km2 and contains a thick, unconfined, and multilayer aquifer system. Several rivers, i.e., Torre, Natisone, Cormor, Tagliamento, Meduna, and Cellina, flow through the Friuli plain. The sediment distribution resulting from the flow of currents from north to south towards the Adriatic Sea divides the Friuli region into two distinct plains, (a) high plain and (b) low plain. The high plain contains an unconfined aquifer system comprising mainly gravels with some fractured conglomerates, which mainly relies on precipitation and surface water as its water sources. The low plain, on the other hand, consists of silty-clayey and sandy deposits forming the multilayer confined aquifer system, which is primarily fed by the water released from the unconfined aquifer of the high plain. The transition between the two aquifers is highlighted by the “springs line” that extends in an east–west direction for about 100 km [105,106].
Water consumption in the FVG region constitutes various socio-economic sectors. The total well withdrawals have reached remarkable values of 59.3 m3/s and 56.7 m3/s of these come from aquifers. As shown in Table 2, the domestic sector, with approximately 51.9% of the total water abstraction, constitutes the largest consumption. The high withdrawal for domestic use comes from about 48,000 wells, 99% of which are in the multilayer confined aquifer of the lower plain. Domestic consumption is followed by ichthyogenic activities (fish farming), accounting for 19.7% of the total withdrawals. The other major sectors consuming the region’s water resources include agriculture, which accounts for 14.8%, followed by drinking and industrial use, consuming 7.5% and 4.5% of the total water withdrawal in the region, respectively [107]. The withdrawals are not equally distributed in space and time; there are areas that are in a borderline balance between recharge and withdrawals, and others, such as the western plain, where consumption is unbalanced to recharge. In the eastern sector of the high plain, which is affected by the Torre–Natisone hydrographic system, the increase in recent years in the frequency of drought periods has resulted in the reduction of water availability for irrigation use, which, compared to average summer withdrawals of 3,700,000 cubic meters, is reduced by 50% in 2022 [13].
Table 2.
Water consumption by different sectors in the FVG region.
According to the statistics of the Italian National Institute of Statistics (ISTAT) for the year 2020, around 175 million cubic meters of wastewater from the FVG region was treated in urban treatment plants, and approximately 82% (143 million cubic meters) of the water flowing into the treatment plants underwent advanced-type treatment, which can be considered a potential resource for future reuse [108].
The present study is focused on the upper plain of the FVG region. The lowering of piezometric levels in the phreatic aquifers of the FVG plain resulted mainly from climate change impacts, including reduced and variable precipitation patterns and temperature increases [106]. The analysis of piezometric data, conducted on three wells of the regional monitoring network (Ufficio Idrografico) in the Mereto di Tomba area for the period 1976–2022, showed an average decrease in piezometric levels of 3 m (Figure 6).
Figure 6.
Trend of piezometric levels (1976–2022) in FVG region.
The analysis of climate data collected by the regional network for the FVG plain and processed by ARPA FVG—OSMER [109] for the 1974–2022 period shows the average temperature increase was 0.3 °C every 10 years, with a clear accelerating trend in the most recent decades, with a summer rate of increase of 0.4° per decade (Figure 7).
Figure 7.
Average annual temperature variations (1974–2022) in the FVG region.
The precipitation data showed a statistically significant average decrease in eastern areas (Udine district). For these areas, a decrease in precipitation of up to 15–20% can be estimated for the period. Considering the Udine weather station, the analysis of climate indicators shows with regard to precipitation, a decreasing trend with values of—90 mm in the period 1961–2022 (Figure 8), an increase in the frequency of negative deviations (Figure 9) from the average of the 30-year reference period 1991–2020 [110], a reduction in spring and summer precipitation, an increase in intense rainfall, and long drought periods. These changes in the hydrologic regime have resulted in a decrease in direct infiltration and an increase in the surface runoff and evapotranspiration rate, thus affecting both the surface and groundwater resources in the region.
Figure 8.
Precipitation pattern (1961–2022) in FVG region.
Figure 9.
Precipitation deviations from the mean (Climate Normal, 1991–2020).
To deal with the declining water resources and enhance the underground storage of high-quality surface waters, three recharge plants (Carpeneto, Mereto di Tomba, and Sammardenchia, shown in Figure 10), located to the east of Tagliamento River in the upper FVG plain, were built by the local water reclamation authority in 2001. However, the systems could not become functional because of a lack of reference legislation (DM 100/2016) on MAR at that time, which now provides the possibility of implementing controlled recharge practices to sustain groundwater resources in the region.
Figure 10.
Map of upper Friuli plain, northern Italy, showing three recharge sites (Mereto di Tomba, Carpeneto, Sammardenchia).
The potential of MAR in this pre-Alpine region is characterized by the availability of high-quality surface waters (mainly by rivers), a number of existing structures, i.e., pits and large-diameter wells, and a highly permeable, thick aquifer system, primarily comprising gravels cemented irregularly into conglomerate layers and interbedded sand and very few clay layers. For example, the aquifer in the Mereto di Tomba area comprises fissured conglomerates. The on-site tests conducted in the area gave the hydraulic conductivity and transmissivity values of 1.3 × 10−3 m/s and 2.56 × 10−2 m2/s, respectively. Several rivers flow in the upper plain of the FVG region, which collect and convey the alpine water into the Adriatic Sea. During the high discharge periods between autumn and spring, the water flowing into the sea could be diverted to store in the aquifer system [111].
The study conducted by Teatini et al. [111] at the Mereto di Tomba site (one of the three proposed MAR sites) of the FVG region of Italy highlights the potential of MAR in the region in terms of improving both the aquifer storage capacity and groundwater quality. An infiltration pond was used as a recharge structure, and the water diverted from a nearby San Vito channel was used as source water for recharge activity. First, a preliminary test aiming to verify the infrastructure started in December 2013 for a period of 39 days. Then, two recharge tests were performed from March to October 2014. The volume of water infiltrated during the MAR test amounted to 210,000 m3, which accounts for an approximately 11% increase in groundwater supply when compared to the natural recharge (1,920,000 m3) due to precipitation.
MAR also impacted the water quality, resulting in a significant reduction in the electrical conductivity (EC) from ~700 to 490 µS/cm and nitrate content from ~60 to 4 mg/l in the groundwater, particularly in the vicinity of the recharge site. A modeling study was also performed to simulate the effect of MAR on the regional aquifer. Initially, a local model (500 × 800 m) was built to compute the amount of water infiltrated through the MAR site, which was computed as 1000 m3/day. The results from the local model were used to simulate the effect of MAR on the regional model (24 × 35 km). The MAR through the infiltration pond produced a local effect on the regional aquifer, with only a few centimeters of rise in the water table close to the pond site. To have a reasonable effect of MAR on the regional aquifer, another infiltration pond located in Carpeneto at about 10 km distance from the already existing pond, along with a number of recharge wells (two wells in Mereto di Tomba and 10 wells in Carpeneto), were simulated simultaneously. The resultant water table was observed to rise to 0.4 m near the MAR site, with 0.1 m rise on nearly 20 km2 area around Carpeneto.
7. Exploring the Trends in MAR Research: Quantity vs. Quality
Enhancing the storage capacity of aquifers while maintaining groundwater quality is an important challenge for the sustainable management of groundwater resources. Therefore, both quantity and quality are considered the primary objectives of a MAR scheme [19,24]. Recently, substantial emphasis has been placed on addressing water quantity and quality issues for sustainable water resource management. A review of previous research on MAR was included in this study to analyze research trends in the field of MAR in terms of quantity and quality. A comparative analysis of 60 MAR studies conducted over the last 20 years was performed. As shown in Table 3, 42 (70%) of the 60 studies focused solely on the quantitative aspect of MAR, whereas the water quality aspect was addressed in 18 studies. Such a MAR perspective has rarely been discussed earlier in the literature. For example, the study conducted by Zheng et al. [112] mentioned the number of qualitative studies on MAR; however, the details of water quality parameters considered over the years have not been discussed. Therefore, this study also includes a detailed examination of the qualitative studies on MAR, which have been discussed below.
Table 3.
Comparative analysis of the MAR literature on water quality and quantity assessment.
Analysis of Water Quality Parameters
Following the above considerations, a comprehensive analysis of the water quality parameters considered in previous studies was carried out. Unmanaged recharge may lead to the interaction of various contaminants with groundwater, resulting in a widespread decline in water quality [51]. Therefore, qualitative analysis of water is important for aquifer and source water characterization and for understanding the potential impact of geochemical reactions on the aquifer system [112]. The purpose of studying these water quality parameters is to examine research trends in the field and identify the parameters crucial to the qualitative characterization of water.
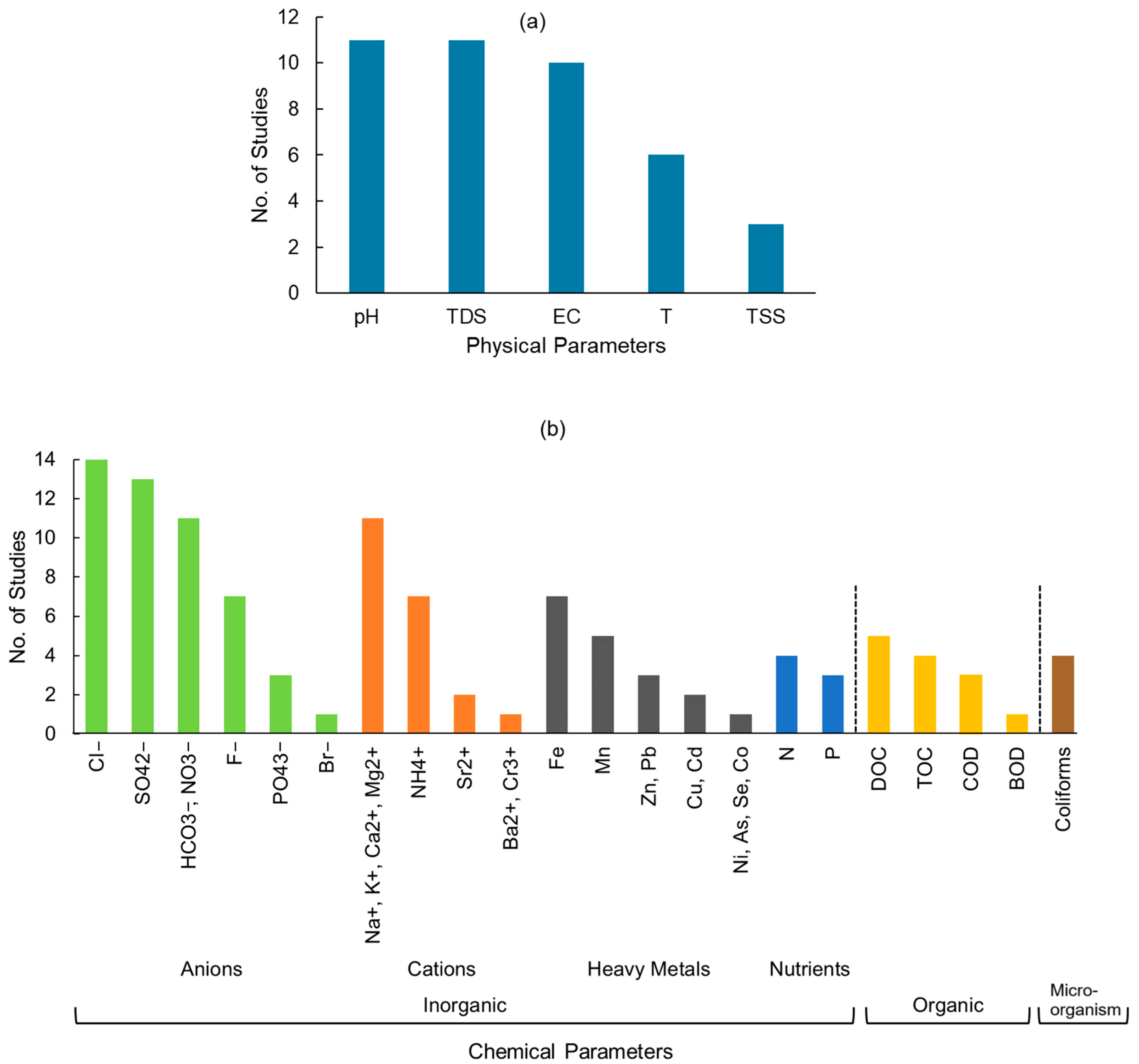
Figure 11a,b represent the physical (pH; total dissolved solids—TDS; total suspended solids—TSS; temperature—T; and electrical conductivity—EC) and chemical (inorganic and organic) water quality parameters that are considered in the aforementioned qualitative studies. Among the chemical parameters, most studies have focused on inorganic parameters, dominated by anions (chloride, sulfate, bicarbonate, nitrate, fluoride, and phosphate) and cations (sodium, potassium, calcium, magnesium, and ammonia). Out of 18 studies that contain water quality information, Cl− has been considered the most in 14 studies, followed by SO42− (13), HCO3−, NO3−, Na+, K+, Ca2+, Mg2+ (11), and F− and NH4+ (7). Some nutrients (N and P) and heavy metals (Fe, Mn, Zn, Pb, Cu, Cd, Ni, As, Se, and Co) have also been considered in some studies. Organic parameters on the other hand, are considered in only a few studies, with dissolved organic carbon (DOC), total organic carbon (TOC), chemical oxygen demand (COD), and biochemical oxygen demand (BOD) considered in studies 5, 4, 3, and 1, respectively. The organic parameters are important indicators of organic pollutants in the water, especially where the treated wastewater is involved in the MAR process, and ignoring these parameters may underestimate the risks associated with organic contamination, i.e., formation of harmful byproducts or clogging of the infiltration medium. Therefore, a detailed examination of organic compounds in qualitative studies is crucial for the safe and effective management of water resources.
Figure 11.
(a) Physical and (b) chemical water quality parameters considered in previous studies.
8. Conclusions and Recommendations
This review includes a detailed discussion of the needs, methods, challenges, and developments in the field of MAR. Different methods for the implementation of MAR, including direct (surface spreading and subsurface) and indirect (induced recharge and aquifer modification techniques) techniques have been reviewed. The review of the literature indicates that the selection of a MAR scheme is site-specific and depends on the hydrogeological conditions of the region. Different factors, such as land availability, aquifer type, available source water, and the existing infrastructure, contribute to the selection of a suitable MAR method. For example, dry wells require less land but involve more technical and maintenance requirements, while infiltration basins are simple and cost-effective but are not suitable for confined aquifer systems. The availability of large open land is also a challenge in the implementation of these methods, especially in urban environments. Similarly, riverbank filtration is effective where the riverbed allows the infiltration of water into the surrounding aquifer, especially in the case of alluvial aquifers.
Furthermore, the MAR potential in the FVG region, northern Italy, was explored by analyzing the historical hydrogeological and climate change trends (temperature, precipitation, groundwater levels) at possible sites already in place for MAR activation. The presented data underscore the region’s capacity for MAR implementation.
The analysis conducted on existing studies revealed an imbalance in MAR research, with a focus on the quantitative aspect of water resource management compared to the qualitative. A detailed analysis of qualitative studies was also conducted to identify the water quality parameters considered over the years, revealing a notable neglect of organic parameters (COD, BOD, and DOC) compared to inorganic ones (anions, cations, nutrients, and heavy metals).
Based on the review findings, a few recommendations that can be considered to ensure the effectiveness of a MAR project are as follows:
- The development of an optimized MAR system that considers multiple objectives such as recharge and storage enhancement, water quality improvement, and environmental sustainability should be considered.
- The significance of the management of the source water quality should be stressed. If the water quality is addressed prior to entering the aquifer, it is possible to minimize the introduction of pollutants into the aquifers and avoid post-recharge remedial treatments.
- The geochemical reactions, i.e., ion exchange, mineral dissolution, and precipitation, occurring between the aquifer system and recharged water, which can affect the water quality during the recharge and storage phase, should be carefully analyzed.
- To analyze water quality, most previous studies have focused on inorganic chemicals, while organic parameters have been comparatively considered in a few studies. A detailed study of the organics should be considered in qualitative investigations to ensure the effectiveness of the MAR system for water quality improvement.
- Micropollutants containing contaminants of emerging concern, i.e., pharmaceuticals, pesticides, microplastics, and personal-care products, which can have toxic effects on human and environmental health, along with the toxic compounds determined by the in silico methods, can also exist within the source water. Most conventional water treatment plants are not designed to remove these micropollutants. Therefore, the study of micropollutants should also be incorporated into qualitative studies to ensure the safety of water resources as directed by the EU Directive 2013/39/EU.
- In the near future, the micropollutants will need to be monitored more continuously after the new amendments in the Italian legislation about drinking water (Decree 18/2023), which include PFAS, bisphenol A and disinfection by-products (chlorate), and the revised EU legislation (91/271/EEC) for treated wastewater, i.e., microplastics. This new amended EU legislation still needs to be implemented in Italy.
Author Contributions
M.S. and D.G. designed the study; M.S. primarily wrote the article; G.M. contributed to the collection and description of case studies; P.T. helped with the modeling section; C.C. contributed to the modeling and challenges part; D.G. contributed to quantitative/qualitative part of the study. All co-authors contributed to the overall review of the paper. All authors have read and agreed to the published version of the manuscript.
Funding
This research received no external funding.
Data Availability Statement
Data is contained within the article.
Acknowledgments
The authors acknowledge the UNESCO-UNIUD Chair grant by the Livenza Tagliamento Acque (LTA spa).
Conflicts of Interest
The authors declare no conflicts of interest.
References
- Siebert, S.; Burke, J.; Faures, J.M.; Frenken, K.; Hoogeveen, J.; Döll, P.; Portmann, F.T. Groundwater Use for Irrigation—A Global Inventory. Hydrol. Earth Syst. Sci. 2010, 14, 1863–1880. [Google Scholar] [CrossRef]
- Döll, P.; Hoffmann-Dobrev, H.; Portmann, F.T.; Siebert, S.; Eicker, A.; Rodell, M.; Strassberg, G.; Scanlon, B.R. Impact of Water Withdrawals from Groundwater and Surface Water on Continental Water Storage Variations. J. Geodyn. 2012, 59–60, 143–156. [Google Scholar] [CrossRef]
- Global Forest Resources Assessments; Food and Agriculture Organization of the United Nations: Rome, Italy, 2010; Available online: https://www.fao.org/forest-resources-assessment/past-assessments/fra-2010/en/ (accessed on 6 September 2024).
- Wada, Y.; van Beek, L.P.H.; van Kempen, C.M.; Reckman, J.W.T.M.; Vasak, S.; Bierkens, M.F.P. Global Depletion of Groundwater Resources. Geophys. Res. Lett. 2010, 37. [Google Scholar] [CrossRef]
- Boretti, A.; Rosa, L. Reassessing the Projections of the World Water Development Report. NPJ Clean. Water 2019, 2, 1–6. [Google Scholar] [CrossRef]
- Scanlon, B.R.; Reedy, R.C.; Faunt, C.C.; Pool, D.; Uhlman, K. Enhancing Drought Resilience with Conjunctive Use and Managed Aquifer Recharge in California and Arizona. Environ. Res. Lett. 2016, 11, 035013. [Google Scholar] [CrossRef]
- Alcamo, J.; Henrichs, T.; Rosch, T. World Water in 2025; World Water Series Report, 2; University of Kassel: Kassel, Germany, 2000. [Google Scholar]
- Hanasaki, N.; Kanae, S.; Oki, T.; Masuda, K.; Motoya, K.; Shirakawa, N.; Shen, Y.; Tanaka, K. An Integrated Model for the Assessment of Global Water Resources—Part 2: Applications and Assessments. Hydrol. Earth Syst. Sci. 2008, 12, 1027–1037. [Google Scholar] [CrossRef]
- Water Use in Europe—Quantity and Quality Face Big Challenges. Available online: https://www.eea.europa.eu/signals-archived/signals-2018-content-list/articles/water-use-in-europe-2014 (accessed on 30 August 2024).
- Water Scarcity Conditions in Europe (Water Exploitation Index Plus). Available online: https://www.eea.europa.eu/en/analysis/indicators/use-of-freshwater-resources-in-europe-1 (accessed on 4 September 2024).
- Water Resources Across Europe—Confronting Water Stress: An Updated Assessment; 12/2021. European Environment Agency: Copenhagen, Denmark, 2021. Available online: https://www.eea.europa.eu/publications/water-resources-across-europe-confronting (accessed on 2 September 2024).
- Istat Water Statistics, Years 2018–2020. 2021. Available online: https://www.istat.it/en/press-release/istat-water-statistics-years-2018-2020/ (accessed on 6 September 2024).
- Martelli, G.; Teatini, P.; Arnone, E.; Bongiovanni, S.; Paiero, G.; Patricelli, G.; Polese, L.; Brandalise, M.; Zoratti, V. Valutazione Della Disponibilità Idrica Dell’Alta Pianura Friulana Orientale Alla Luce del Cambiamento Climatico in Atto; Giornate dell’Idrologia: Udine, Italy, 2024. [Google Scholar]
- Alam, S.; Gebremichael, M.; Li, R.; Dozier, J.; Lettenmaier, D. Climate Change Impacts on Groundwater Storage in the Central Valley, California. Clim. Change 2019, 157, 387–406. [Google Scholar] [CrossRef]
- Bouwer, H. Artificial Recharge of Groundwater: Hydrogeology and Engineering. Hydrogeol. J. 2002, 10, 121–142. [Google Scholar] [CrossRef]
- Minsley, B.J.; Ajo-Franklin, J.; Mukhopadhyay, A.; Morgan, F.D. Hydrogeophysical Methods for Analyzing Aquifer Storage and Recovery Systems. Ground Water 2011, 49, 250–269. [Google Scholar] [CrossRef]
- Mishra, A.K.; Singh, V.P. A Review of Drought Concepts. J. Hydrol. 2010, 391, 202–216. [Google Scholar] [CrossRef]
- Dillon, P.; Stuyfzand, P.; Grischek, T.; Lluria, M.; Pyne, R.D.G.; Jain, R.C.; Bear, J.; Schwarz, J.; Wang, W.; Fernandez, E.; et al. Sixty Years of Global Progress in Managed Aquifer Recharge. Hydrogeol. J. 2019, 27, 1–30. [Google Scholar] [CrossRef]
- Grützmacher, G.; Sajil Kumar, P.J. Introduction to Managed Aquifer Recharge (MAR)—Overview of Schemes and Settings World Wide. In Proceedings of the Conference on Managed Aquifer Recharge: Methods, Hydrogeological Requirements, Post and Pretreatment Systems, Chennai, India, 11 December 2012; Available online: https://www.researchgate.net/publication/234657314_Introduction_to_Managed_Aquifer_Recharge_MAR_-_Overview_ofschemes_and_settings_world_wide#full-text (accessed on 2 September 2024).
- Dillon, P.; Arshad, M. Managed Aquifer Recharge in Integrated Water Resource Management. In Integrated Groundwater Management: Concepts, Approaches and Challenges; Jakeman, A.J., Barreteau, O., Hunt, R.J., Rinaudo, J.-D., Ross, A., Eds.; Springer International Publishing: Cham, Switzerland, 2016; pp. 435–452. [Google Scholar] [CrossRef]
- Bredehoeft, J.D.; Papadopulos, S.S.; Cooper, H.H. Groundwater: The Water Budget Myth. In Scientific Basis of Water Resource Management; National Academy Press: Washington, DC, USA, 1982; pp. 51–57. [Google Scholar]
- Dillon, P.; Alley, W.; Zheng, Y.; Vanderzalm, J.; Ward, J.; Megdal, S.; Hipke, W.; Thomas, P.; Tuthill, D.; Carlson, R. Managed Aquifer Recharge: Overview and Governance; IAH Special Publication: Long Beach, CA, USA, 2022. [Google Scholar]
- Smith, D.; Cross, K.; Paden, M.; Laban, P. SPRING—Managing Groundwater Sustainably; IUCN: Gland, Switzerland, 2016. [Google Scholar] [CrossRef]
- Palma Nava, A.; Parker, T.K.; Carmona Paredes, R.B. Challenges and Experiences of Managed Aquifer Recharge in the Mexico City Metropolitan Area. Ground Water 2022, 60, 675–684. [Google Scholar] [CrossRef] [PubMed]
- Zhang, H.; Xu, Y.; Thokozani, K. A Review of the Managed Aquifer Recharge: Historical Development, Current Situation and Perspectives. Phys. Chem. Earth Parts A/B/C 2020, 118–119, 102887. [Google Scholar] [CrossRef]
- MAR Portal—IGRAC. Available online: https://ggis.un-igrac.org/view/marportal/ (accessed on 4 September 2024).
- Bouwer, H. Role of Groundwater and Artificial Recharge in Future Water Resources Management. IAHS Publ.-Ser. Proc. Rep.-Intern. Assoc. Hydrol. Sci. 1994, 222, 491–498. [Google Scholar]
- Sidhu, J.P.S.; Toze, S.; Hodgers, L.; Barry, K.; Page, D.; Li, Y.; Dillon, P. Pathogen Decay during Managed Aquifer Recharge at Four Sites with Different Geochemical Characteristics and Recharge Water Sources. J. Environ. Qual. 2015, 44, 1402–1412. [Google Scholar] [CrossRef]
- Rozman, D.; Hrkal, Z.; Tesař, M. Artificial Recharge of a Shallow Hard Rock Aquifer as a Climate Change Mitigation Method: Model Solution from the Czech Republic. Model. Earth Syst. Environ. 2019, 5, 605–612. [Google Scholar] [CrossRef]
- Escalante, E.F.; Sauto, J.S.S.; Gil, R.C. Sites and Indicators of MAR as a Successful Tool to Mitigate Climate Change Effects in Spain. Water 2019, 11, 1943. [Google Scholar] [CrossRef]
- Rodríguez-Estrella, T. The Problems of Overexploitation of Aquifers in Semi-Arid Areas: Characteristics and Proposals for Mitigation. Bol. Geol. Y Min. 2014, 125, 91–109. [Google Scholar]
- Hägg, K.; Li, J.; Heibati, M.; Murphy, K.R.; Paul, C.J.; Persson, K.M. Water Quality Changes during the First Meter of Managed Aquifer Recharge. Environ. Sci. Water Res. Technol. 2021, 7, 562–572. [Google Scholar] [CrossRef]
- Shawaqfah, M.; Almomani, F.; Al-Rousan, T. Potential Use of Treated Wastewater as Groundwater Recharge Using GIS Techniques and Modeling Tools in Dhuleil-Halabat Well-Field/Jordan. Water 2021, 13, 1581. [Google Scholar] [CrossRef]
- Pérez Sánchez, J. Gestión Conjunta de Recursos Hídricos a Escala Local. Aplicación del Modelo Simges al Caso de Hellín (Albacete). Universidad de Murcia. 2013. Available online: https://portalinvestigacion.um.es/documentos/63bc32f43035a915c7079a1b?lang=en (accessed on 4 September 2024).
- Megdal, S.B.; Dillon, P. Policy and Economics of Managed Aquifer Recharge and Water Banking. Water 2015, 7, 592–598. [Google Scholar] [CrossRef]
- What Are Sponge Cities and Why Are They the Future of Urban Design? 2020. Available online: https://www.chapmantaylor.com/insights/what-are-sponge-cities-and-why-are-they-the-future-of-urban-design (accessed on 28 August 2024).
- Abidin, H.Z.; Andreas, H.; Gumilar, I.; Fukuda, Y.; Pohan, Y.; Deguchi, T. Land Subsidence of Jakarta (Indonesia) and Its Relation with Urban Development. Nat. Hazards 2011, 59, 1753–1771. [Google Scholar] [CrossRef]
- Gambolati, G.; Teatini, P. Geomechanics of Subsurface Water Withdrawal and Injection. Water Resour. Res. 2015, 51, 3922–3955. [Google Scholar] [CrossRef]
- Conway, B. Land Subsidence and Earth Fissures in South-Central and Southern Arizona, USA. Hydrogeol. J. 2015, 24, 649. [Google Scholar] [CrossRef]
- Li, M.-G.; Chen, J.-J.; Xu, Y.-S.; Tong, D.-G.; Cao, W.-W.; Shi, Y.-J. Effects of Groundwater Exploitation and Recharge on Land Subsidence and Infrastructure Settlement Patterns in Shanghai. Eng. Geol. 2021, 282, 105995. [Google Scholar] [CrossRef]
- Zhang, Y.; Wu, J.; Xue, Y.; Wang, Z.; Yao, Y.; Yan, X.; Wang, H. Land Subsidence and Uplift Due to Long-Term Groundwater Extraction and Artificial Recharge in Shanghai, China. Hydrogeol. J. 2015, 23, 1851–1866. [Google Scholar] [CrossRef]
- Ye, S.; Luo, Y.; Wu, J.; Yan, X.; Wang, H.; Jiao, X.; Teatini, P. Three-Dimensional Numerical Modeling of Land Subsidence in Shanghai, China. Hydrogeol. J. 2016, 24, 695–709. [Google Scholar] [CrossRef]
- Lopez Mendez, B.; Huhn, L. Literature Review on Managed Aquifer Recharge in the Context of Water and Soil Restoration Methods. RUVIVAL 2017, 2, 6–12. [Google Scholar] [CrossRef]
- Ajjur, S.; Baalousha, H. A Review on Implementing Managed Aquifer Recharge in the Middle East and North Africa Region: Methods, Progress and Challenges. Water Int. 2021, 46, 578–604. [Google Scholar] [CrossRef]
- Asano, T.; Cotruvo, J.A. Groundwater Recharge with Reclaimed Municipal Wastewater: Health and Regulatory Considerations. Water Res. 2004, 38, 1941–1951. [Google Scholar] [CrossRef]
- Mohammad-Hosseinpour, A.; Molina, J.-L. Improving the Sustainability of Urban Water Management through Innovative Groundwater Recharge System (GRS). Sustainability 2022, 14, 5990. [Google Scholar] [CrossRef]
- Ghasemizade, M.; Asante, K.O.; Petersen, C.; Kocis, T.; Dahlke, H.E.; Harter, T. An Integrated Approach Toward Sustainability via Groundwater Banking in the Southern Central Valley, California. Water Resour. Res. 2019, 55, 2742–2759. [Google Scholar] [CrossRef]
- Reddy, G.S.; Sandhya, S.; Hanumanthu, R. The Need of Artificial Recharge Techniques for Sustainable Development of Ground Water Resources. Int. J. Geol. Earth Sci 2019, 5, 131–145. [Google Scholar]
- Chaieb, H.; Triki, L.; Ouerfelli, N.; Laghi, M.; Magagnini, L.; Angelis, A.D.; Sollazzo, F.; Teatini, P. On the Effectiveness of Reusing Treated Wastewaters by Infiltration Ponds in Coastal Farmlands. Preliminary Investigation on Insights from the Korba Site, Tunisia. In Proceedings of the 1st CIGR Inter-Regional Conference on Land and Water Challenges, Bari, Italy, 10–14 September 2013. [Google Scholar]
- Vanderzalm, J.L.; Page, D.W.; Barry, K.E.; Dillon, P.J. A Comparison of the Geochemical Response to Different Managed Aquifer Recharge Operations for Injection of Urban Stormwater in a Carbonate Aquifer. Appl. Geochem. 2010, 25, 1350–1360. [Google Scholar] [CrossRef]
- Bekele, E.; Toze, S.; Patterson, B.; Higginson, S. Managed Aquifer Recharge of Treated Wastewater: Water Quality Changes Resulting from Infiltration through the Vadose Zone. Water Res. 2011, 45, 5764–5772. [Google Scholar] [CrossRef]
- Casanova, J.; Devau, N.; Pettenati, M. Managed Aquifer Recharge: An Overview of Issues and Options. In Integrated Groundwater Management: Concepts, Approaches and Challenges; Jakeman, A.J., Barreteau, O., Hunt, R.J., Rinaudo, J.-D., Ross, A., Eds.; Springer International Publishing: Cham, Switzerland, 2016; pp. 413–434. [Google Scholar] [CrossRef]
- Artimo, A.; Puurunen, O.; Saraperä, S. Case Study 2: Managed Aquifer Recharge for Drinking Water Supply, Turku Region, Southwestern Finland. In Managing Aquifer Recharge: A Showcase for Resilience and Sustainability; UNESCO: Paris, France, 2021; pp. 97–104. [Google Scholar]
- Lluria, M.R.; Paski, P.M.; Small, G.G. Seasonal Water Storage and Replenishment of a Fractured Granitic Aquifer Using ASR Wells. Sustain. Water Resour. Manag. 2018, 4, 261–274. [Google Scholar] [CrossRef]
- Dillon, P. Future Management of Aquifer Recharge. Hydrogeol. J. 2005, 13, 313–316. [Google Scholar] [CrossRef]
- Maliva, R.; Missimer, T. Arid Lands Water Evaluation and Management; Environmental Science and Engineering; Springer: Berlin/Heidelberg, Germany, 2012. [Google Scholar] [CrossRef]
- Dash, R.; Prakash, E.; Kumar, P.; Mehrotra, I.; Sandhu, C.; Grischek, T. River Bank Filtration in Haridwar, India: Removal of Turbidity, Organics and Bacteria. Hydrogeol. J. 2010, 18, 973–983. [Google Scholar] [CrossRef]
- Page, D.; Bekele, E.; Vanderzalm, J.; Sidhu, J. Managed Aquifer Recharge (MAR) in Sustainable Urban Water Management. Water 2018, 10, 239. [Google Scholar] [CrossRef]
- Rahman, M.A.; Rusteberg, B.; Uddin, M.S.; Lutz, A.; Saada, M.A.; Sauter, M. An Integrated Study of Spatial Multicriteria Analysis and Mathematical Modelling for Managed Aquifer Recharge Site Suitability Mapping and Site Ranking at Northern Gaza Coastal Aquifer. J. Environ. Manag. 2013, 124, 25–39. [Google Scholar] [CrossRef]
- Karimov, A.; Smakhtin, V.; Mavlonov, A.; Borisov, V.; Gracheva, I.; Miryusupov, F.; Akhmedov, A.; Anzelm, K.; Yakubov, S.; Karimov, A. Managed Aquifer Recharge: Potential Component of Water Management in the Syrdarya River Basin. J. Hydrol. Eng. 2014, 20, B5014004. [Google Scholar] [CrossRef]
- Russo, T.A.; Fisher, A.T.; Lockwood, B.S. Assessment of Managed Aquifer Recharge Site Suitability Using a GIS and Modeling. Ground Water 2015, 53, 389–400. [Google Scholar] [CrossRef] [PubMed]
- Sashikkumar, M.; Selvam, S.; Kalyanasundaram, V.; Johnny, C. GIS Based Groundwater Modeling Study to Assess the Effect of Artificial Recharge: A Case Study from Kodaganar River Basin, Dindigul District, Tamil Nadu. J. Geol. Soc. India 2017, 89, 57–64. [Google Scholar] [CrossRef]
- Ringleb, J.; Sallwey, J.; Stefan, C. Assessment of Managed Aquifer Recharge through Modeling—A Review. Water 2016, 8, 579. [Google Scholar] [CrossRef]
- Behroozmand, A.A.; Teatini, P.; Pedersen, J.B.; Auken, E.; Tosatto, O.; Christiansen, A.V. Anthropogenic Wetlands Due to Over-Irrigation of Desert Areas: A Challenging Hydrogeological Investigation with Extensive Geophysical Input from TEM and MRS Measurements. Hydrol. Earth Syst. Sci. 2017, 21, 1527–1545. [Google Scholar] [CrossRef]
- Kloppmann, W.; Aharoni, A.; Chikurel, H.; Dillon, P.; Gaus, I.; Guttman, J.; Kraitzer, T.; Kremer, S.; Masciopinto, C.; Miotlinski, K.; et al. Use of Groundwater Models for Prediction and Optimisation of the Behaviour of MAR Sites. In Water Reclamation Technologies for Safe Managed Aquifer Recharge; IWA Publishing: London, UK, 2012. [Google Scholar]
- Abraham, M.; Mohan, S. Effectiveness of Check Dam and Percolation Pond with Percolation Wells for Artificial Groundwater Recharge Using Groundwater Models. Water Supply 2019, 19, 2107–2115. [Google Scholar] [CrossRef]
- Abraham, M.K.; Mathew, R.; Jayapriya, J. Numerical Modeling as an Effective Tool for Artificial Groundwater Recharge Assessment. J. Phys. Conf. Ser. 2021, 1770, 012097. [Google Scholar] [CrossRef]
- Moharir, K.N.; Pande, C.B.; Singh, S.K.; Rio, R.A.D.; Moharir, K.N.; Pande, C.B.; Singh, S.K.; Rio, R.A.D. Evaluation of Analytical Methods to Study Aquifer Properties with Pumping Test in Deccan Basalt Region of the Morna River Basin in Akola District of Maharashtra in India. In Groundwater Hydrology; IntechOpen: London, UK, 2020. [Google Scholar] [CrossRef]
- Abraham, M.K.; Priyadarshini; Manikannan, K. Numerical Modeling for Groundwater Recharge; Springer International Publishing: Cham, Switzerland, 2021; pp. 165–177. [Google Scholar] [CrossRef]
- Hassan, W.H.; Ghanim, A.A.J.; Mahdi, K.; Adham, A.; Mahdi, F.A.; Nile, B.K.; Riksen, M.; Ritsema, C. Effect of Artificial (Pond) Recharge on the Salinity and Groundwater Level in Al-Dibdibba Aquifer in Iraq Using Treated Wastewater. Water 2023, 15, 695. [Google Scholar] [CrossRef]
- Kumar, C.P. Numerical Modelling of Ground Water Flow Using MODFLOW. Indian J. Sci. 2013, 2, 86–92. [Google Scholar]
- Sathish, S.; Cherubini, C.; Pastore, N.; Giasi, C.I.; Rapti, D. Impacts of Desalinated and Recycled Water in the Abu Dhabi Surficial Aquifer. Water 2021, 13, 2853. [Google Scholar] [CrossRef]
- Pokhrel, P.; Zhou, Y.; Smits, F.; Kamps, P.; Olsthoorn, T. Numerical Simulation of a Managed Aquifer Recharge System Designed to Supply Drinking Water to the City of Amsterdam, The Netherlands. Hydrogeol. J. 2023, 31, 1291–1309. [Google Scholar] [CrossRef]
- Rodríguez-Escales, P.; Canelles, A.; Sanchez-Vila, X.; Folch, A.; Kurtzman, D.; Rossetto, R.; Fernández-Escalante, E.; Lobo-Ferreira, J.-P.; Sapiano, M.; San-Sebastián, J.; et al. A Risk Assessment Methodology to Evaluate the Risk Failure of Managed Aquifer Recharge in the Mediterranean Basin. Hydrol. Earth Syst. Sci. 2018, 22, 3213–3227. [Google Scholar] [CrossRef]
- Sandhu, C.; Grischek, T.; Musche, F.; Macheleidt, W.; Heisler, A.; Handschak, J.; Patwal, P.; Kimothi, P.C. Measures to Mitigate Direct Flood Risks at Riverbank Filtration Sites with a Focus on India. Sustain. Water Resour. Manag. 2018, 4, 237–249. [Google Scholar] [CrossRef]
- Alam, S.; Borthakur, A.; Ravi, S.; Gebremichael, M.; Mohanty, S.K. Managed Aquifer Recharge Implementation Criteria to Achieve Water Sustainability. Sci. Total Environ. 2021, 768, 144992. [Google Scholar] [CrossRef] [PubMed]
- Nandha, M.; Berry, M.; Jefferson, B.; Jeffrey, P. Risk Assessment Frameworks for MAR Schemes in the UK. Environ. Earth Sci. 2015, 73, 7747–7757. [Google Scholar] [CrossRef]
- Dillon, P.; Kumar, A.; Kookana, R.; Leijs, R.; Reed, D.; Parsons, S.; Ingleton, G. Managed Aquifer Recharge—Risks to Groundwater Dependent Ecosystems—A Review; Water for a Healthy Country Flagship Report to Land & Water Australia; 2009. Available online: https://citeseerx.ist.psu.edu/document?repid=rep1&type=pdf&doi=b7fe5ce38506678e9f3cf660eaf143124b26be21 (accessed on 15 August 2024).
- Cruzeiro, C.; Rocha, E.; Pardal, M.; Rocha, M. Seasonal-Spatial Survey of Pesticides in the Most Significant Estuary of the Iberian Peninsula—The Tagus River Estuary. J. Clean. Prod. 2016, 126, 419–427. [Google Scholar] [CrossRef]
- Sousa, J.C.G.; Ribeiro, A.R.; Barbosa, M.O.; Pereira, M.F.R.; Silva, A.M.T. A Review on Environmental Monitoring of Water Organic Pollutants Identified by EU Guidelines. J. Hazard. Mater. 2018, 344, 146–162. [Google Scholar] [CrossRef]
- Raitano, G.; Goi, D.; Pieri, V.; Passoni, A.; Mattiussi, M.; Lutman, A.; Romeo, I.; Manganaro, A.; Marzo, M.; Porta, N.; et al. (Eco)Toxicological Maps: A New Risk Assessment Method Integrating Traditional and in Silico Tools and Its Application in the Ledra River (Italy). Environ. Int. 2018, 119, 275–286. [Google Scholar] [CrossRef]
- Sousa, J.C.G.; Ribeiro, A.R.; Barbosa, M.O.; Ribeiro, C.; Tiritan, M.E.; Pereira, M.F.R.; Silva, A.M.T. Monitoring of the 17 EU Watch List Contaminants of Emerging Concern in the Ave and the Sousa Rivers. Sci. Total Environ. 2019, 649, 1083–1095. [Google Scholar] [CrossRef]
- Ma, W.; Nie, C.; Gao, X.; Qu, D.; Lun, X.; Chen, B. Sorption Characteristics and Factors Affecting the Adsorption Behavior of Bisphenol A and 17β-Estradiol/Ethinyl Estradiol in River- and Farmland-Based Artificial Groundwater Recharge with Reclaimed Water. Desalination Water Treat. 2016, 57, 8015–8025. [Google Scholar] [CrossRef]
- Joan, D.-S.; Ballesteros-Cano, R.; Boleda, M.R.; Paraira, M.; Ferrer, N.; Lacorte, S. Microplastics from Headwaters to Tap Water: Occurrence and Removal in a Drinking Water Treatment Plant in Barcelona Metropolitan Area (Catalonia, NE Spain). Environ. Sci. Pollut. Res. 2021, 28, 59462–59472. [Google Scholar] [CrossRef]
- Díaz-Cruz, M.S.; Barceló, D. Input of Pharmaceuticals, Pesticides and Industrial Chemicals as a Consequence of Using Conventional and Non-Conventional Sources of Water for Artificial Groundwater Recharge. In Emerging Contaminants from Industrial and Municipal Waste: Removal Technologies; Barceló, D., Petrovic, M., Eds.; Springer: Berlin/Heidelberg, Germany, 2008; pp. 219–238. [Google Scholar] [CrossRef]
- Burch, K.; Han, B.; Pichtel, J.; Zubkov, T. Removal Efficiency of Commonly Prescribed Antibiotics via Tertiary Wastewater Treatment. Environ. Sci. Pollut. Res. 2019, 26, 6301–6310. [Google Scholar] [CrossRef] [PubMed]
- Cousins, I.T.; Johansson, J.H.; Salter, M.E.; Sha, B.; Scheringer, M. Outside the Safe Operating Space of a New Planetary Boundary for Per- and Polyfluoroalkyl Substances (PFAS). Environ. Sci. Technol. 2022, 56, 11172. [Google Scholar] [CrossRef] [PubMed]
- Directive 2013/39/EU of the European Parliament and of the Council of 12 August 2013 Amending Directives 2000/60/EC and 2008/105/EC as Regards Priority Substances in the Field of Water Policy. Available online: https://eur-lex.europa.eu/legal-content/EN/ALL/?uri=celex%3A32013L0039 (accessed on 27 October 2024).
- Commission Implementing Decision (EU) 2015/495-of 20 March 2015—Establishing a Watch List of Substances for Union-Wide Monitoring in the Field of Water Policy Pursuant to Directive 2008/105/ EC of the European Parliament and of the Council—(Notified Under Document C(2015) 1756). Available online: https://eur-lex.europa.eu/legal-content/EN/TXT/?uri=uriserv%3AOJ.L_.2015.078.01.0040.01.ENG (accessed on 28 October 2024).
- Mumberg, T.; Ahrens, L.; Wanner, P. Managed Aquifer Recharge as a Potential Pathway of Contaminants of Emerging Concern into Groundwater Systems—A Systematic Review. Chemosphere 2024, 364, 143030. [Google Scholar] [CrossRef]
- Song, Y.; Du, X.; Ye, X. Analysis of Potential Risks Associated with Urban Stormwater Quality for Managed Aquifer Recharge. Int. J. Environ. Res. Public Health 2019, 16, 3121. [Google Scholar] [CrossRef]
- Datta, P.S. Water Harvesting for Groundwater Management: Issues, Perspectives, Scope, and Challenges; John Wiley & Sons: Hoboken, NJ, USA, 2019. [Google Scholar]
- Baveye, P.; Vandevivere, P.; Hoyle, B.L.; DeLeo, P.C.; de Lozada, D.S. Environmental Impact and Mechanisms of the Biological Clogging of Saturated Soils and Aquifer Materials. Crit. Rev. Environ. Sci. Technol. 1998, 28, 123–191. [Google Scholar] [CrossRef]
- Martin, R. Clogging Issues Associated with Managed Aquifer Recharge Methods; IAH Commission on Managing Aquifer Recharge, Australia: 2013. Available online: https://recharge.iah.org/files/2015/03/Clogging_Monograph.pdf (accessed on 1 August 2024).
- Pyne, R.D.G. Aquifer Storage Recovery: A Guide to Groundwater Recharge Through Wells; ASR Systems: Gainesville, FL, USA, 2005. [Google Scholar]
- Rossetto, R. Managed Aquifer Recharge in Italy. Hydrogeol. J. 2017, 28–31. [Google Scholar]
- Nylen, N.G. Surface Water Quality Regulation as a Driver for Groundwater Recharge. Case Stud. Environ. 2021, 5, 1124592. [Google Scholar] [CrossRef]
- Hussain, M.I.; Muscolo, A.; Farooq, M.; Ahmad, W. Sustainable Use and Management of Non-Conventional Water Resources for Rehabilitation of Marginal Lands in Arid and Semiarid Environments. Agric. Water Manag. 2019, 221, 462–476. [Google Scholar] [CrossRef]
- La Ricarica Della Conoide Alluvionale Del Fiume Marecchia (Rimini). Available online: https://ambiente.regione.emilia-romagna.it/it/geologia/geologia/acque/risorse-idriche-pianura/idrogeologia-della-pianura/ricarica-conoide-alluvionale-fiume-marecchia-rimini (accessed on 8 September 2024).
- Tool for Regional—Scale Assessment of Groundwater Storage Improvement in Adaptation to Climate Change (TRUST); European Commission: Brussels, Belgium, 2023; Available online: https://webgate.ec.europa.eu/life/publicWebsite/project/LIFE07-ENV-IT-000475/tool-for-regional-scale-assessment-of-groundwater-storage-improvement-in-adaptation-to-climate-change-trust (accessed on 10 October 2024).
- Implementation of a Water Saving and Artificial Recharging Participated Strategy for the Quantitative Groundwater Layer Rebalance of the Upper Vicenza’s Plain; European Commission: Brussels, Belgium, 2023; Available online: https://webgate.ec.europa.eu/life/publicWebsite/project/LIFE10-ENV-IT-000380/implementation-of-a-water-saving-and-artificial-recharging-participated-strategy-for-the-quantitative-groundwater-layer-rebalance-of-the-upper-vicenzas-plain (accessed on 10 October 2024).
- MARSOL (Demonstrating Managed Aquifer Recharge as a Solution to Water Scarcity and Drought); European Commission: Brussels, Belgium, 2013; Available online: https://cordis.europa.eu/project/id/619120/reporting (accessed on 11 October 2024).
- UNESCO. Managing Aquifer Recharge: A Showcase for Resilience and Sustainability; UNESCO Publishing: Paris, France, 2021. [Google Scholar]
- REWAT-Sustainable Water Management in the Lower Cornia Valley Through Demand Reduction, Aquifer Re-Charge, and River Restoration; European Commission: Brussels, Belgium, 2021. Available online: https://www.liferewat.eu/en/life-rewat.html (accessed on 11 October 2024).
- Martelli, G.; Granati, C. A Comprehensive Hydrogeological View of the Friuli Alluvial Plain by Means of a Multi-Annual Quantitative and Qualitative Research Survey Quadro Idrogeologico Generale Della Pianura Alluvionale Friulana Sulla Base Di Indagini Quantitative e Qualitative Pluriannuali. Mem. Descr. Della Carta Geol. D’italia XC 2010, 181–208. [Google Scholar]
- Teatini, P.; Comerlati, A.; Carvalho, T.; Gütz, A.-Z.; Affatato, A.; Baradello, L.; Accaino, F.; Nieto, D.; Martelli, G.; Granati, G.; et al. Artificial Recharge of the Phreatic Aquifer in the Upper Friuli Plain, Italy, by a Large Infiltration Basin. Environ. Earth Sci. 2015, 73, 2579–2593. [Google Scholar] [CrossRef]
- Zini, L.; Calligaris, C.; Treu, F.; Iervolino, D.; Lippi, F. Risorse Idriche Sotterranee Del Friuli Venezia Giulia: Sostenibilità Dell’attuale Utilizzo; EUT Edizioni Università di Trieste: Trieste, Italy, 2011; p. 89. Available online: https://eventi.regione.fvg.it/redazione/Reposit/Eventi/1481_RISORSE-IDRICHE-risoluzione-media.pdf (accessed on 9 October 2024).
- Istat Water Statistics, Years 2020–2023. 2024, p. 14. Available online: https://www.istat.it/wp-content/uploads/2024/06/WWD-2024-ENG.pdf (accessed on 13 October 2024).
- ARPA FVG. Studio Conoscitivo Dei Cambiamenti Climatici e Di Alcuni Loro Impatti in Friuli Venezia Giulia. 2018. Available online: https://www.arpa.fvg.it/temi/temi/meteo-e-clima/pubblicazioni/studio-conoscitivo-dei-cambiamenti-climatici-e-di-alcuni-loro-impatti-in-friuli-venezia-giulia/ (accessed on 12 October 2024).
- WMO. Seventeenth World Meteorological Congress; WMO: Geneva, Switzerland, 2015; p. 1171. [Google Scholar]
- Teatini, P.; Martelli, G.; Comerlati, A.; Paiero, G.; Zoccarato, C. Managed Versus Natural Recharge of Pre-Alpine Phreatic Aquifers. Water Resour. Res. 2020, 56, e2020WR027848. [Google Scholar] [CrossRef]
- Zheng, Y.; Vanderzalm, J.; Hartog, N.; Escalante, E.F.; Stefan, C. The 21st Century Water Quality Challenges for Managed Aquifer Recharge: Towards a Risk-Based Regulatory Approach. Hydrogeol. J. 2023, 31, 31–34. [Google Scholar] [CrossRef] [PubMed]
- Pavelic, P.; Dillon, P.; Barry, K.; Gerges, N. Hydraulic Evaluation of Aquifer Storage and Recovery (ASR) with Urban Stormwater in a Brackish Limestone Aquifer. Hydrogeol. J. 2006, 14, 1544–1555. [Google Scholar] [CrossRef]
- Massuel, S.; George, B.; Gaur, A.; Nune, R. Groundwater Modeling for Sustainable Resource Management in the Musi Catchment, India. In Proceedings of the Proceedings, International Congress on Modelling and Simulation, Phuket, Thailand, 27–30 March 2007; Volume 10, pp. 1429–1435. [Google Scholar]
- Szucs, P.; Madarasz, T.; Civan, F. Remediating Over-Produced and Contaminated Aquifers by Artificial Recharge from Surface Waters. Environ. Model Assess 2009, 14, 511–520. [Google Scholar] [CrossRef]
- Vandenbohede, A.; Houtte, E.V.; Lebbe, L. Water Quality Changes in the Dunes of the Western Belgian Coastal Plain Due to Artificial Recharge of Tertiary Treated Wastewater. Appl. Geochem. 2009, 24, 370–382. [Google Scholar] [CrossRef]
- Kallioras, A.; Pliakas, F.; Diamantis, I. Simulation of Groundwater Flow in a Sedimentary Aquifer System Subjected to Overexploitation. Water Air Soil Pollut. 2010, 211, 177–201. [Google Scholar] [CrossRef]
- Voudouris, K. Artificial Recharge via Boreholes Using Treated Wastewater: Possibilities and Prospects. Water 2011, 3, 964–975. [Google Scholar] [CrossRef]
- Heilweil, V.M.; Watt, D.E. Trench Infiltration for Managed Aquifer Recharge to Permeable Bedrock. Hydrol. Process. 2011, 25, 141–151. [Google Scholar] [CrossRef]
- Boskidis, I.; Pisinaras, V.; Petalas, C.; Tsihrintzis, V. Monitoring and Modeling of Two Alluvial Aquifers in Lower Nestos River Basin, Northern Greece. J. Environ. Sci. Health. Part A Toxic/Hazard. Subst. Environ. Eng. 2012, 47, 1849–1868. [Google Scholar] [CrossRef]
- Missimer, T.M.; Drewes, J.E.; Amy, G.; Maliva, R.G.; Keller, S. Restoration of Wadi Aquifers by Artificial Recharge with Treated Waste Water. Ground Water 2012, 50, 514–527. [Google Scholar] [CrossRef] [PubMed]
- Martelli, G.; Granati, C.; Paiero, G.; Teatini, P.; Comerlati, A.; Carvalho, T.; Carvalho, J.M.; Affatato, A.; Baradello, L.; Yabar, D.N. Artificial Recharge of Phreatic Aquifer in the Mereto Di Tomba Area (Upper Friuli Plain). Procedia Eng. 2014, 89, 1241–1248. [Google Scholar] [CrossRef]
- Massuel, S.; Perrin, J.; Mascre, C.; Mohamed, W.; Boisson, A.; Ahmed, S. Managed Aquifer Recharge in South India: What to Expect from Small Percolation Tanks in Hard Rock? J. Hydrol. 2014, 512, 157–167. [Google Scholar] [CrossRef]
- Herndon, R.; Markus, M. Large-Scale Aquifer Replenishment and Seawater Intrusion Control Using Recycled Water in Southern California. Boletín Geológico Y Minero 2014, 125, 143–155. [Google Scholar]
- Schulz, S.; de Rooij, G.; Michelsen, N.; Rausch, R.; Siebert, C.; Schüth, C.; Al-Saud, M.; Merz, R. Estimating Groundwater Recharge for an Arid Karst System Using a Combined Approach of Time Lapse Camera Monitoring and Water Balance Modelling. Hydrol. Process. 2015, 30, 771–782. [Google Scholar] [CrossRef]
- Mastrocicco, M.; Colombani, N.; Salemi, E.; Boz, B.; Gumiero, B. Managed Aquifer Recharge via Infiltration Ditches in Short Rotation Afforested Areas. Ecohydrology 2016, 9, 167–178. [Google Scholar] [CrossRef]
- Niswonger, R.G.; Morway, E.D.; Triana, E.; Huntington, J.L. Managed Aquifer Recharge through Off-Season Irrigation in Agricultural Regions. Water Resour. Res. 2017, 53, 6970–6992. [Google Scholar] [CrossRef]
- Ganot, Y.; Holtzman, R.; Weisbrod, N.; Nitzan, I.; Katz, Y.; Kurtzman, D. Monitoring and Modeling Infiltration–Recharge Dynamics of Managed Aquifer Recharge with Desalinated Seawater. Hydrol. Earth Syst. Sci. 2017, 21, 4479–4493. [Google Scholar] [CrossRef]
- Pendke, M.; Asewar, B.; Waskar, D.P.; Gajjala, R.; Narsimlu, B. Design and Assessment of Borewell Recharge Technique for Groundwater Enhancement and Recharge in Assured Rainfall Zone of Marathwada Region. Indian J. Dryland Agric. Res. Dev. 2017, 32, 56–60. [Google Scholar] [CrossRef]
- Eslamian, S.; Hedayat, E.; Esfahani, S.; Ostad-Ali-Askari, K.; Singh, V.; Dalezios, N.; Matouq, M. The Reuse of Treated Wastewater via Groundwater Recharge for the Development of Sustainable Water Resources. Int. J. Rural Dev. Environ. Health Res. 2018, 2, 62–67. [Google Scholar] [CrossRef]
- Knapton, A.; Page, D.; Vanderzalm, J.; Gonzalez, D.; Barry, K.; Taylor, A.; Horner, N.; Chilcott, C.; Petheram, C. Managed Aquifer Recharge as a Strategic Storage and Urban Water Management Tool in Darwin, Northern Territory, Australia. Water 2019, 11, 1869. [Google Scholar] [CrossRef]
- Maples, S.R.; Fogg, G.E.; Maxwell, R.M. Modeling Managed Aquifer Recharge Processes in a Highly Heterogeneous, Semi-Confined Aquifer System. Hydrogeol. J. 2019, 27, 2869–2888. [Google Scholar] [CrossRef]
- Dahlqvist, P.; Sjöstrand, K.; Lindhe, A.; Rosén, L.; Nisell, J.; Hellstrand, E.; Holgersson, B. Potential Benefits of Managed Aquifer Recharge MAR on the Island of Gotland, Sweden. Water 2019, 11, 2164. [Google Scholar] [CrossRef]
- Wendt, D.E.; Loon, A.F.V.; Scanlon, B.R.; Hannah, D.M. Managed Aquifer Recharge as a Drought Mitigation Strategy in Heavily-Stressed Aquifers. Environ. Res. Lett. 2021, 16, 014046. [Google Scholar] [CrossRef]
- Alam, S.; Gebremichael, M.; Li, R.; Dozier, J.; Lettenmaier, D.P. Can Managed Aquifer Recharge Mitigate the Groundwater Overdraft in California’s Central Valley? Water Resour. Res. 2020, 56, e2020wr027244. [Google Scholar] [CrossRef]
- Alam, M.F.; Pavelic, P.; Sharma, N.; Sikka, A. Managed Aquifer Recharge of Monsoon Runoff Using Village Ponds: Performance Assessment of a Pilot Trial in the Ramganga Basin, India. Water 2020, 12, 1028. [Google Scholar] [CrossRef]
- Zarei, P.; Moradimakram, S. Quantitative and Qualitative Assessment of Groundwater Resources in Shourdasht Basin of Ghahavand. J. Hydrosci. Environ. 2020, 4, 25–34. [Google Scholar] [CrossRef]
- Epting, J.; Michel, A.; Affolter, A.; Huggenberger, P. Climate Change Effects on Groundwater Recharge and Temperatures in Swiss Alluvial Aquifers. J. Hydrol. X 2020, 11, 100071. [Google Scholar] [CrossRef]
- Salameh, E.; Abdallat, G. Potential Areas for Managed Aquifer Recharge in the Eastern Lower Jordan Valley Area. J. Water Resour. Prot. 2020, 12, 330–357. [Google Scholar] [CrossRef][Green Version]
- Soni, P.; Dashora, Y.; Maheshwari, B.; Dillon, P.; Singh, P.; Kumar, A. Managed Aquifer Recharge at a Farm Level: Evaluating the Performance of Direct Well Recharge Structures. Water 2020, 12, 1069. [Google Scholar] [CrossRef]
- Raicy, M.C.; Elango, L. Percolation Pond with Recharge Shaft as a Method of Managed Aquifer Recharge for Improving the Groundwater Quality in the Saline Coastal Aquifer. J. Earth Syst. Sci. 2020, 129, 63. [Google Scholar] [CrossRef]
- Hohne, D.; Esterhuyse, C.; Fourie, F.; Gericke, H.; Esterhuyse, S. Enhancing Groundwater Recharge in the Main Karoo, South Africa during Periods of Drought through Managed Aquifer Recharge. J. Afr. Earth Sci. 2021, 176, 104007. [Google Scholar] [CrossRef]
- Kim, G.-B.; Hwang, C.-I.; Choi, M.-R. Assessment of the Need and Potential for Groundwater Artificial Recharge Based on the Water Supply, Water Demand, and Aquifer Properties in a Water Shortage Region of South Korea. Environ. Earth Sci. 2021, 80, 115. [Google Scholar] [CrossRef]
- Meaški, H.; Biondić, R.; Loborec, J.; Oskoruš, D. The Possibility of Managed Aquifer Recharge (MAR) for Normal Functioning of the Public Water-Supply of Zagreb, Croatia. Water 2021, 13, 1562. [Google Scholar] [CrossRef]
- Mozzi, G.; Pavelic, P.; Alam, M.F.; Stefan, C.; Villholth, K.G. Hydrologic Assessment of Check Dam Performances in Semi-Arid Areas: A Case Study From Gujarat, India. Front. Water 2021, 3, 628955. [Google Scholar] [CrossRef]
- Lee, J.-Y.; Woo, T.-Y. Performance Evaluation of Artificial Recharge–Water Intake System Using 3D Numerical Modeling. Water 2022, 14, 1974. [Google Scholar] [CrossRef]
- Maskey, M.L.; Dogan, M.S.; Fernandez-Bou, A.S.; Li, L.; Guzman, A.; Arnold, W.; Goharian, E.; Lund, J.R.; Medellin-Azuara, J. Managing Aquifer Recharge to Overcome Overdraft in the Lower American River, California, USA. Water 2022, 14, 966. [Google Scholar] [CrossRef]
- Liu, S.; Zhou, Y.; Luo, W.; Wang, F.; McClain, M.E.; Wang, X. A Numerical Assessment on the Managed Aquifer Recharge to Achieve Sustainable Groundwater Development in Chaobai River Area, Beijing, China. J. Hydrol. 2022, 613, 128392. [Google Scholar] [CrossRef]
- Henao Casas, J.D.; Fernández Escalante, E.; Calero Gil, R.; Ayuga, F. Managed Aquifer Recharge as a Low-Regret Measure for Climate Change Adaptation: Insights from Los Arenales, Spain. Water 2022, 14, 3703. [Google Scholar] [CrossRef]
- Alam, M.F.; Pavelic, P.; Villholth, K.G.; Sikka, A.; Pande, S. Impact of High-Density Managed Aquifer Recharge Implementation on Groundwater Storage, Food Production and Resilience: A Case from Gujarat, India. J. Hydrol. Reg. Stud. 2022, 44, 101224. [Google Scholar] [CrossRef]
- Sefelnasr, A.; Ebraheem, A.; Faiz, M.A.; Shi, J.X.; Alghafli, K.; Baig, F.; Al-Rashed, M.; Alshamsi, D.; Basheer Ahamed, M.; Sherif, M. Enhancement of Groundwater Recharge from Wadi Al Bih Dam, UAE. Water 2022, 14, 3448. [Google Scholar] [CrossRef]
- Saasan, N.; Kaur, S.; Tsolakis, N.; Mishra, N.; Srai, J. Managing Groundwater Demand through Surface Water and Reuse Strategies in an Overexploited Aquifer of Indian Punjab. Model. Earth Syst. Environ. 2022, 9, 2009–2026. [Google Scholar] [CrossRef]
- Adam, A.; Appiah-Adjei, E.; Adjei, K.; Anim-Gyampo, M.; Asare, A.; Owusu-Nimo, F.; Ampofo, B. Managed Aquifer Recharge Assessment in the Nabogo Basin of Ghana Using a Combined Electrical Resistivity Tomography Infiltration Method. Model. Earth Syst. Environ. 2023, 9, 4237–4249. [Google Scholar] [CrossRef]
- Leslie, D.L.; Reba, M.L.; Czarnecki, J.B. Managed Aquifer Recharge Using a Borrow Pit in Connection with the Mississippi River Valley Alluvial Aquifer in Northeastern Arkansas. J. Soil Water Conserv. 2023, 78, 44–57. [Google Scholar] [CrossRef]
- Yuan, C.; Wei, Y.; Xu, X.; Cao, X. Transport and Transformation of Arsenic in Coastal Aquifer at the Scenario of Seawater Intrusion Followed by Managed Aquifer Recharge. Water Res. 2023, 229, 119440. [Google Scholar] [CrossRef]
Disclaimer/Publisher’s Note: The statements, opinions and data contained in all publications are solely those of the individual author(s) and contributor(s) and not of MDPI and/or the editor(s). MDPI and/or the editor(s) disclaim responsibility for any injury to people or property resulting from any ideas, methods, instructions or products referred to in the content. |
© 2024 by the authors. Licensee MDPI, Basel, Switzerland. This article is an open access article distributed under the terms and conditions of the Creative Commons Attribution (CC BY) license (https://creativecommons.org/licenses/by/4.0/).








