Research on Cooperative Water Pollution Governance Based on Tripartite Evolutionary Game in China’s Yangtze River Basin
Abstract
1. Introduction
2. Literature Review
2.1. Study on Synergistic Ecological Governance in Watersheds
2.2. Study on Ecological Governance and Evolutionary Game in Watersheds
2.3. Study on Ecological Governance and Sustainable Development of Watersheds
3. Material and Methods
3.1. Study Area
3.2. Stakeholder Definition
3.3. Model Assumptions
3.4. Model Construction
4. Results
4.1. Analysis of the Evolutionary Game Model
4.1.1. Replication of Dynamic Equations
4.1.2. Equilibrium Stability Analysis
4.2. Evolutionary Game Simulation Analysis
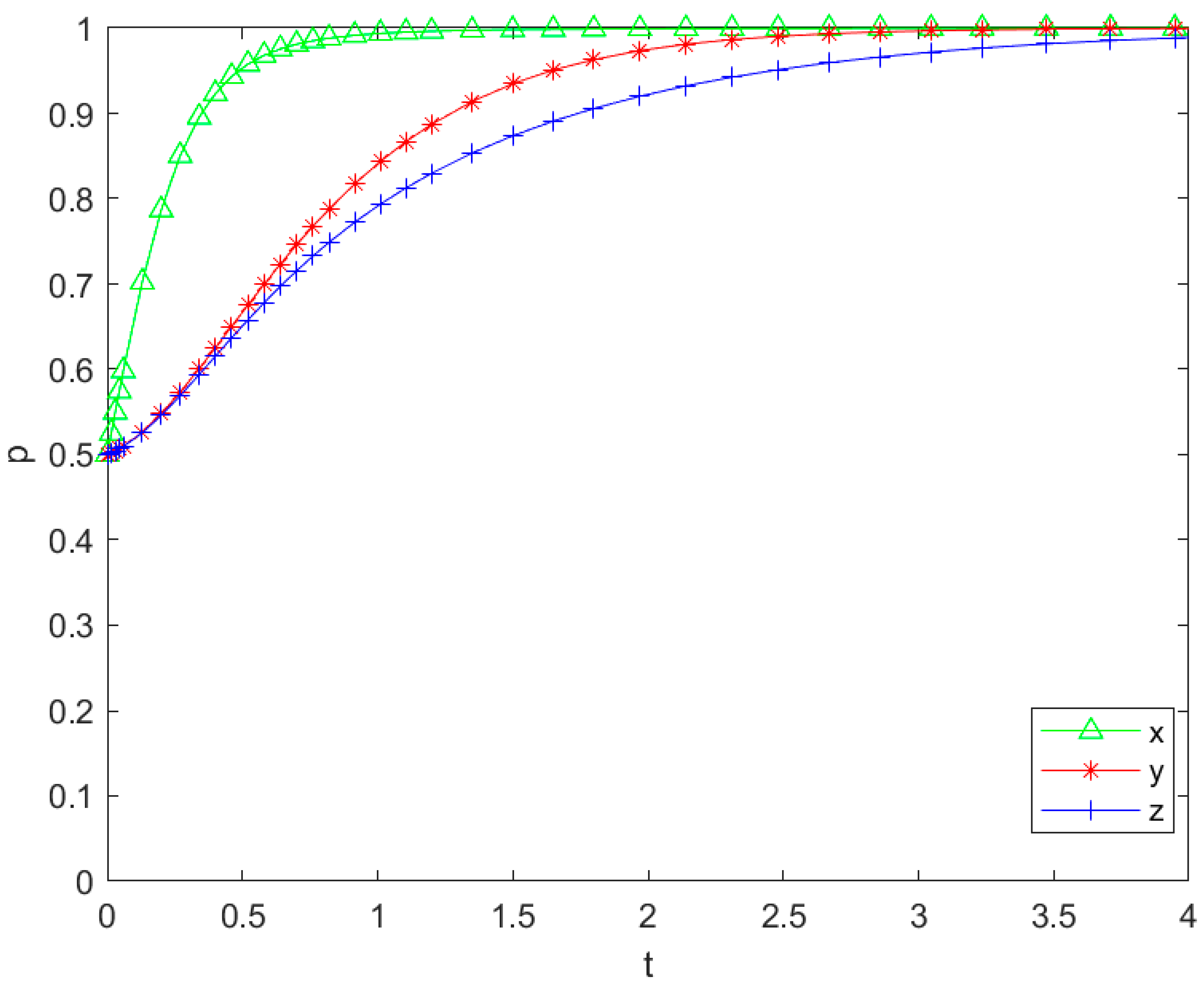
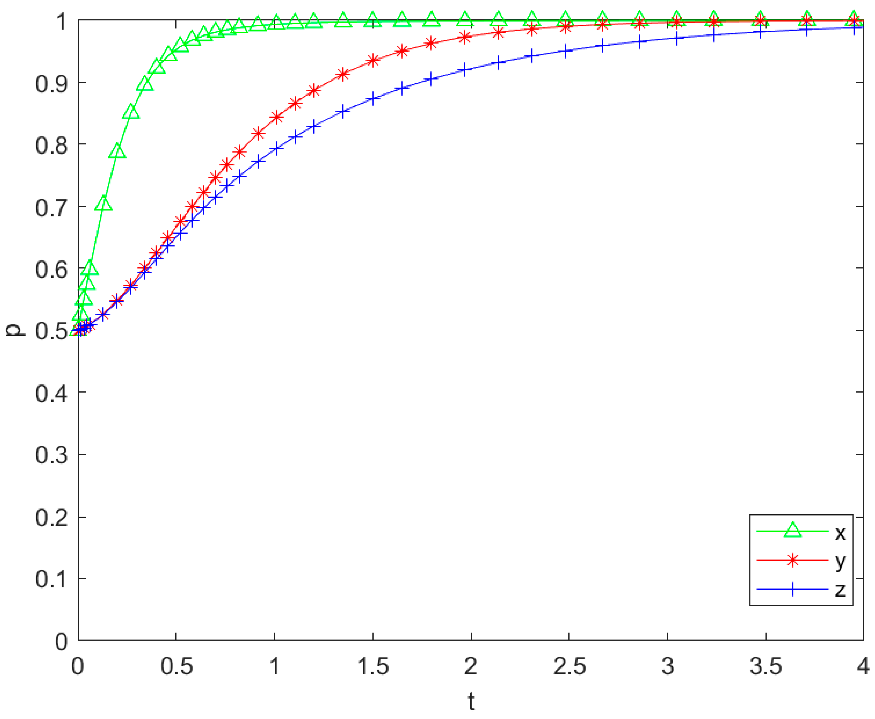
4.2.1. Initial Setup of System Simulation
4.2.2. Effects of Changing C1 and N1 on the Evolving System
- (1)
- The cost of strict regulation is increased while other parameters remain constant, i.e., from C1 = 2 to C1 = 6. The simulation results are shown in Figure 3. The cost of strict regulation by local government affects strategy choice and significantly impacts the stability of the evolving system. Simulation of the cost parameters of strict regulation by local governments verifies Assumption 4. When the cost of regulation is relatively low (C1 = 2), at the same node, the probability of choosing strict regulation is higher than when the cost of regulation is relatively high (C1 = 6), and the evolutionary system reaches a stable state relatively quickly compared with the benchmark figure. When the cost of strict regulation is higher (C1 = 6), the local government, considering the relative net benefit and the green production behavior of the enterprises, may gradually reduce the regulation, while the enterprises, realizing this, will gradually shift to the illegal production behavior, aggravating the water pollution in the basin. Considering social responsibility and people’s well-being, local governments must increase regulatory effort. As a result, local governments have opted for strict regulatory behavior conducive to collaborative governance. In addition, when the cost of strict regulation is controlled within a reasonable range, local governments are inclined to opt for strict regulation.
- (2)
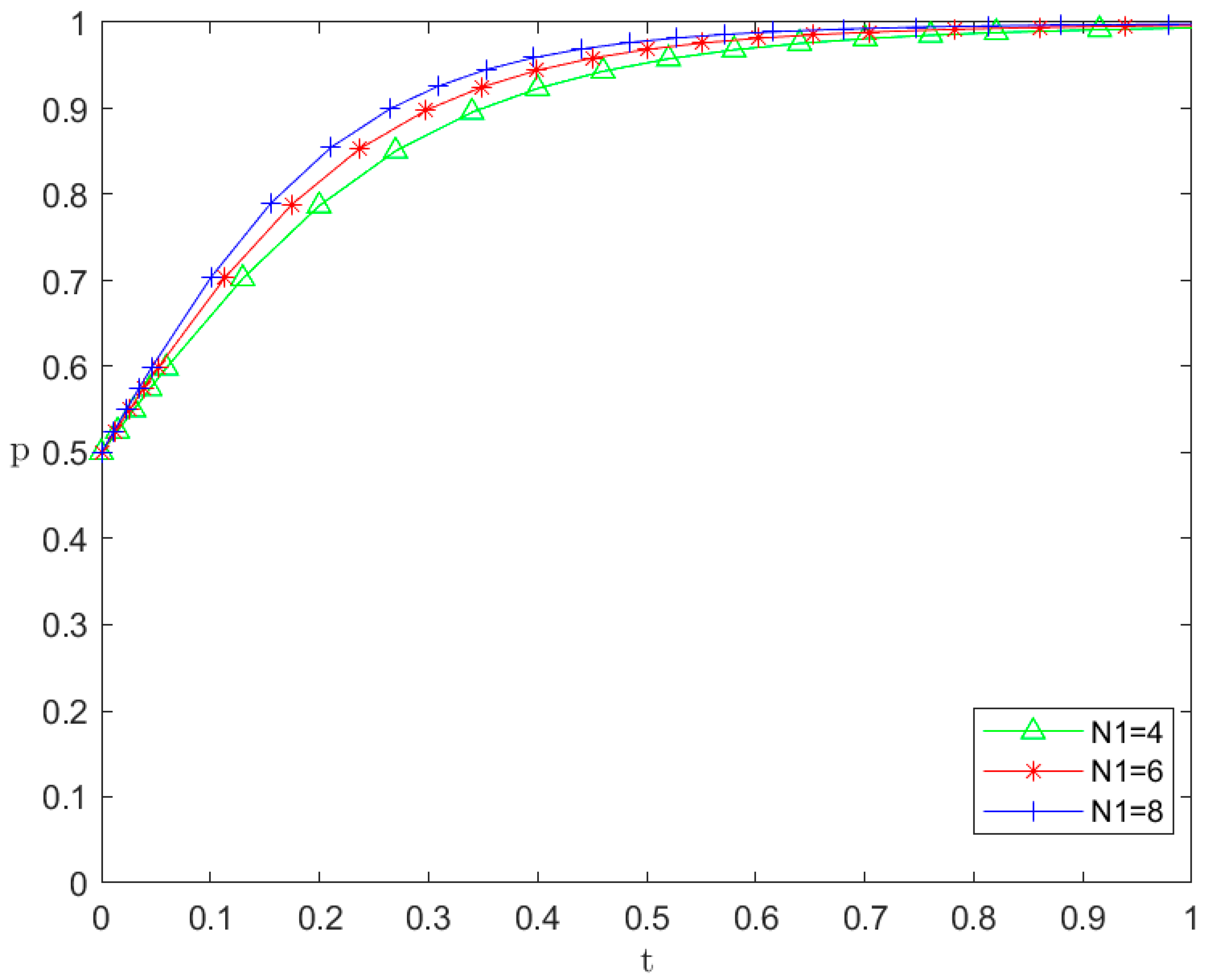
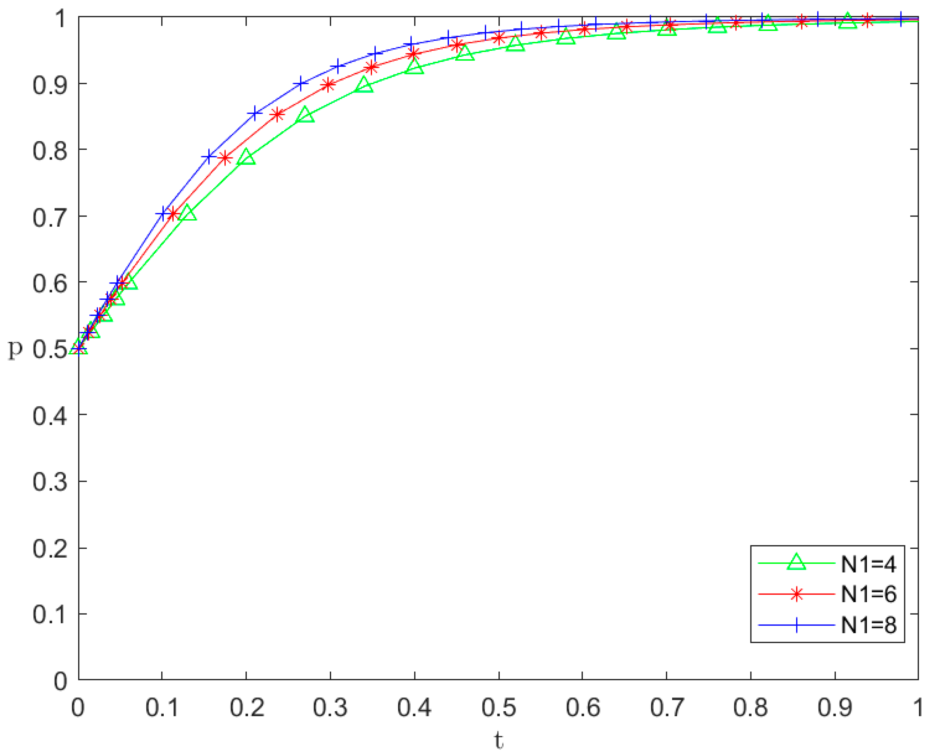
- The loss of local government lax regulation is increased while other parameters remain constant, i.e., from N1 = 4 to N1 = 8. The simulation results are shown in Figure 4. Simulation of the loss parameter of local government lax regulation simulation similarly validates Assumption 4. If the loss of loose regulation is relatively high (N1 = 8), then the probability that the local government chooses to regulate strictly at the same node increases, and the time for the evolved system to reach a stable state is shortened greatly compared with the baseline graph. If the local government’s loose regulation loss is relatively low (N1 = 4), the evolutionary system will slowly reach a steady state. Considering that enterprises and the public choose green production and active participation strategies, respectively, the local government may lower regulation. However, in the long-term evolutionary process, enterprises and the public might begin to shift to illegal production and negative participation behavior, and as credibility decreases and project investment decreases, local governments will be required to shift to a strict regulatory strategy. Therefore, to minimize losses, local governments must establish a good regulatory image and take multiple initiatives to synchronize governance, promoting cooperative governance among enterprises and the public and improving the reputation evaluation of local governments.
4.2.3. Effects of Changing B and F on the Evolving System
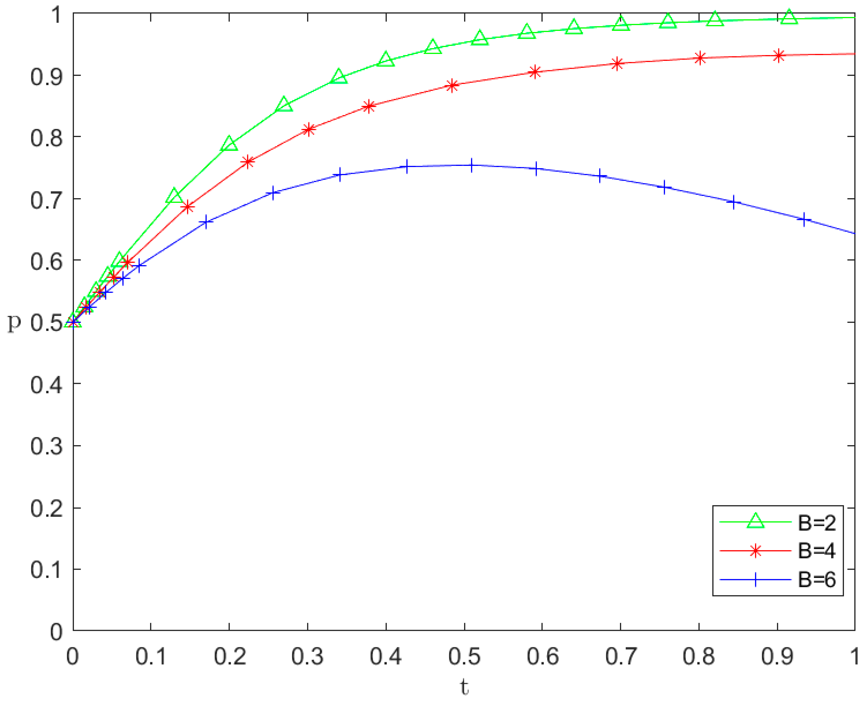
- (1)
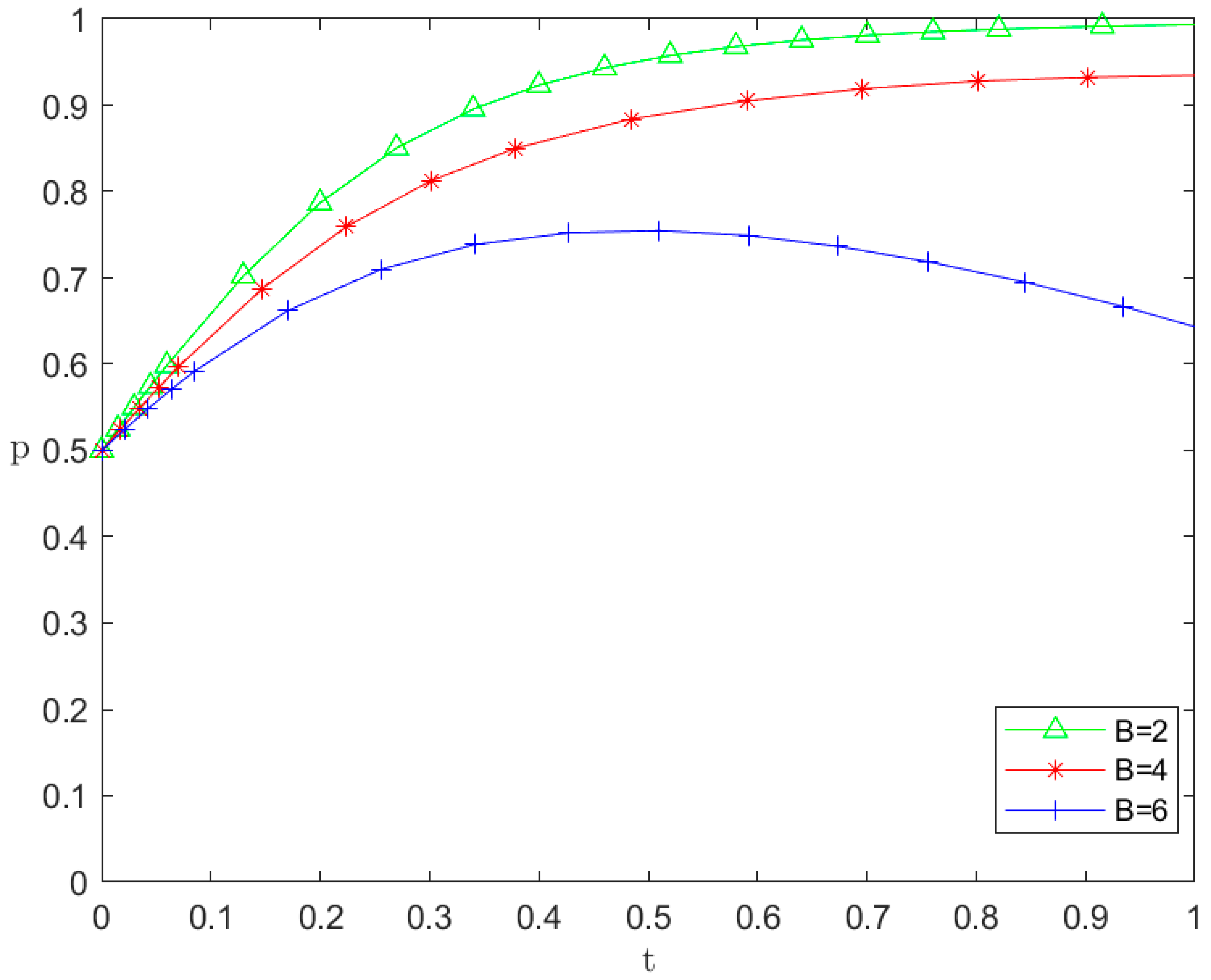
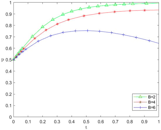
- The subsidy provided by the local government to the enterprise for green production is increased while other parameters remain constant, i.e., from B = 2 to B = 6. The simulation results are shown in Figure 5. Simulation of enterprise green subsidy parameters validates Assumption 5. When the subsidy is relatively low (B = 2), the cost of strict regulation is reduced, and the rate of increase in the probability of the evolutionary system converging to a stable state increases compared with the baseline figure. However, due to the lower subsidies given by the local government, considering the costs and benefits, the probability of enterprises choosing green production will gradually decrease, and the system may evolve into an ineffective state of strict regulation, illegal production, and active participation. When the enterprise green production subsidy is relatively high (B = 6), the local government must pay higher regulatory costs, and green production is the best behavioral strategy for enterprises in the short term. However, when the local government determines that the enterprise’s green production has been effective and has gained sufficient benefits, it may reduce the regulatory efforts and subsidies. Consequently, the lax local government regulation may prompt the enterprise to violate the production rules, which will be actively reported by the public, forcing the local government to once again increase regulation. This cycle repeats, and the evolutionary system struggles to reach a stable state. Therefore, local governments must establish a dynamic subsidy mechanism under strict regulation, with neither too low nor too high as a long-term synergistic governance model.
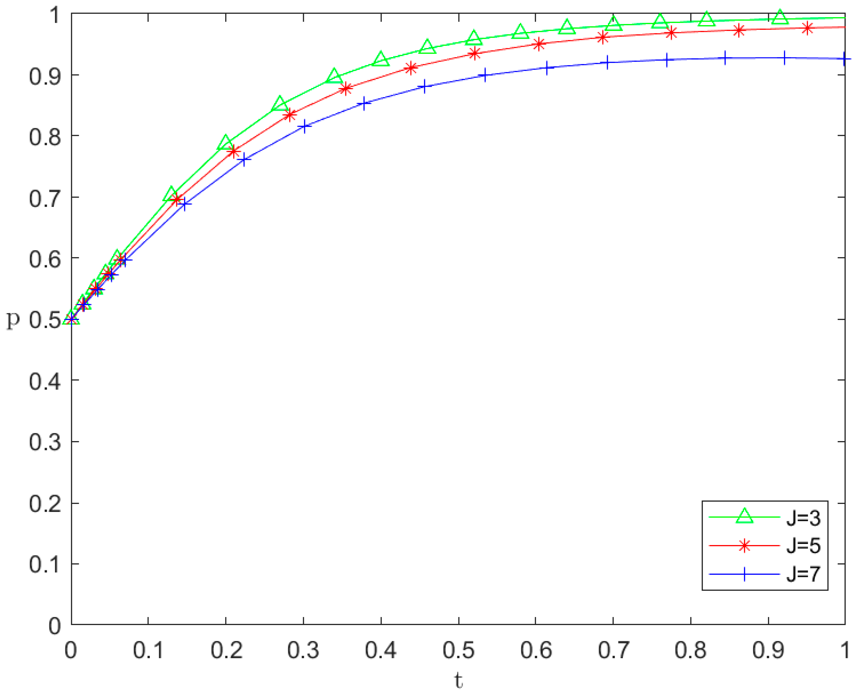
- (2)
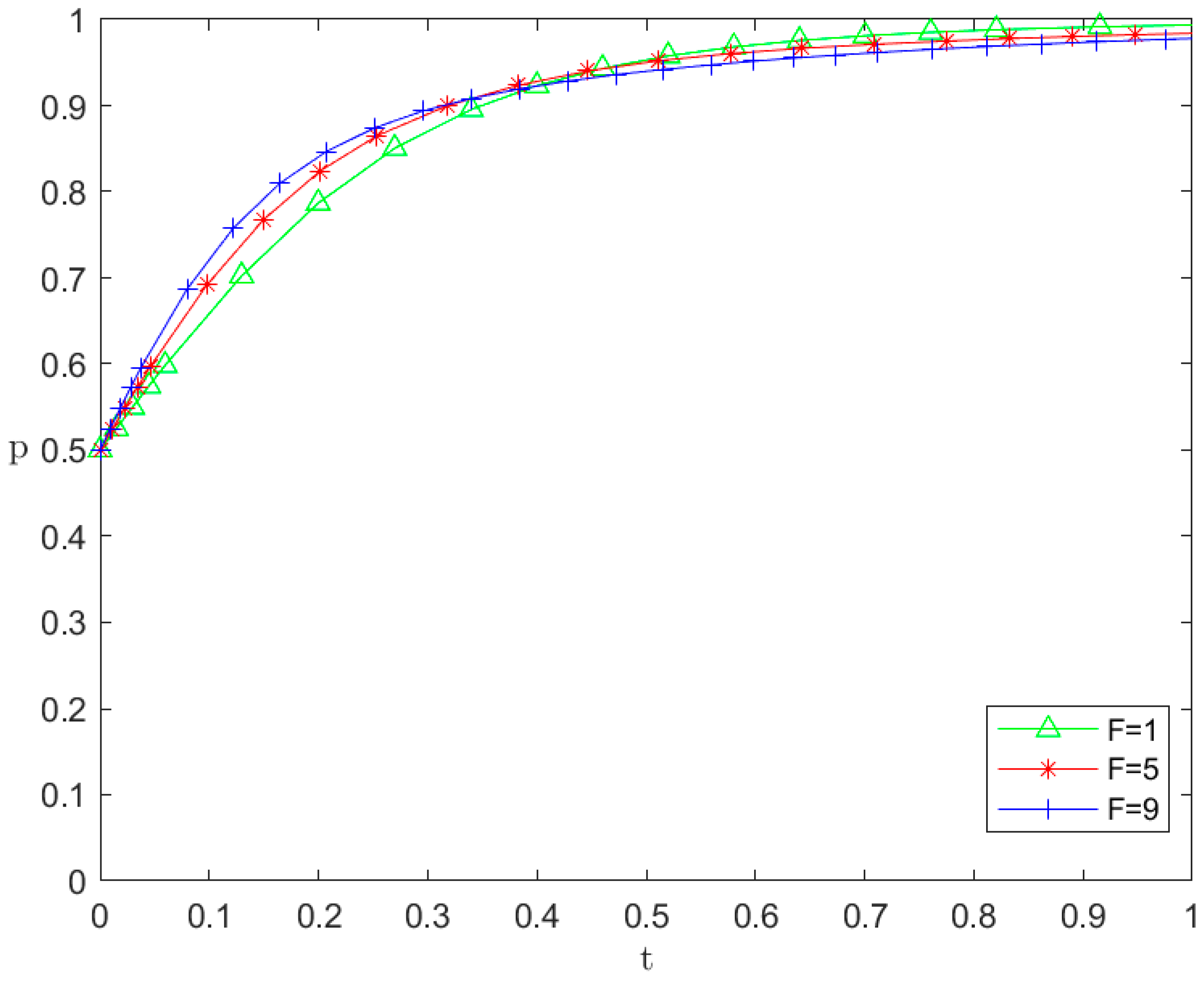
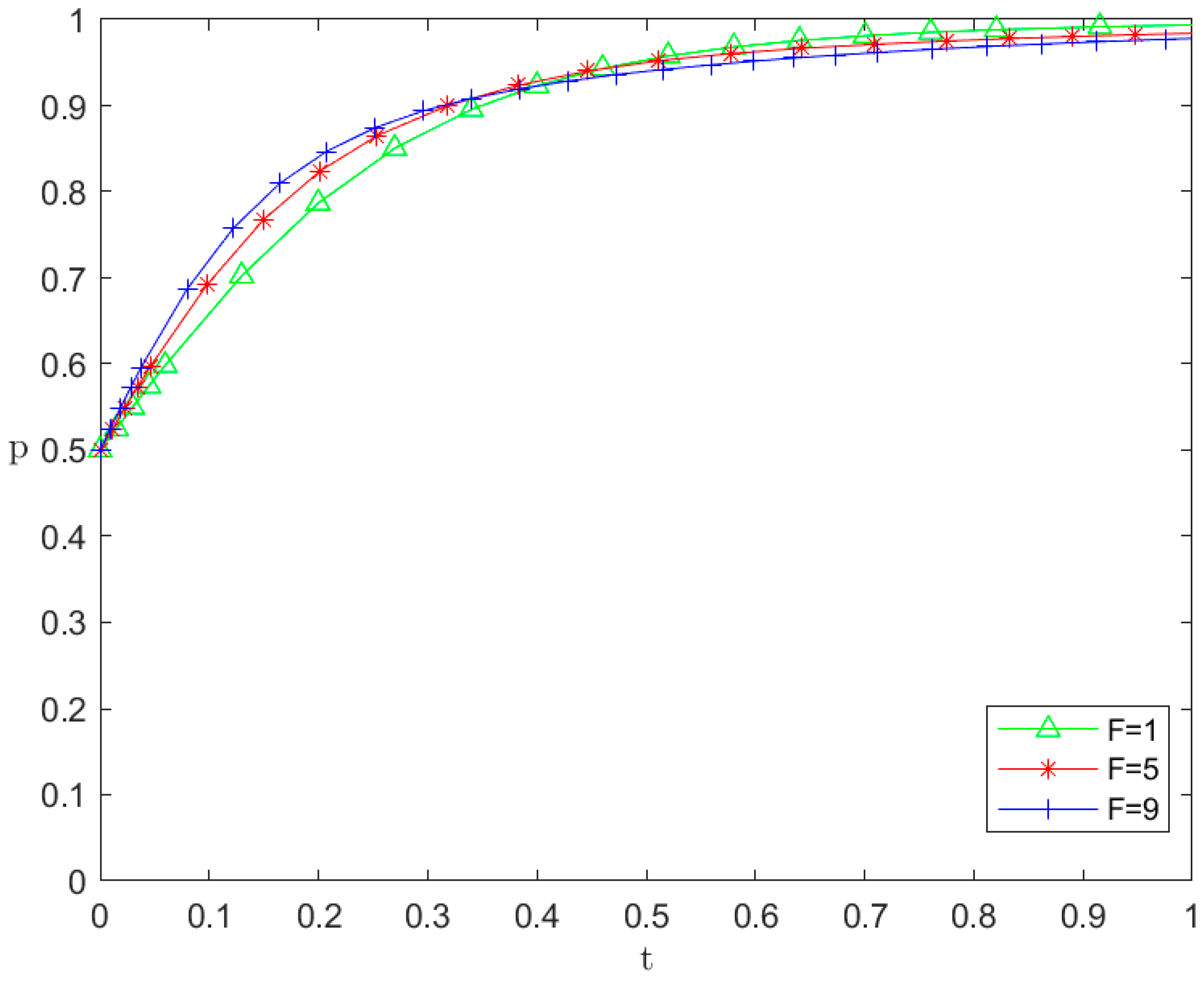
- The fine imposed by the local government on enterprises is increased while other parameters remain constant, i.e., from F = 1 to F = 9. The simulation results are shown in Figure 6. Under this scenario, the fine for illegal production by enterprises not only affects the enterprise’s own strategy choice but also impacts the stability of the evolving system. Simulation of corporate violation fine parameters similarly validates Assumption 5. Before t = 0.4, the probability of green production by enterprises increases with increased enterprise fines, indicating that a high fine by the local government places more direct pressure on the enterprises to encourage faster production transformation. After t = 0.4, the green production by the enterprise probability increases with decreasing enterprise fines, suggesting that local governments may reduce the fines for non-compliant production enterprises considering the increase in additional benefits from strict regulation. Additionally, due to the active participation of the public, the probability of the enterprise’s illegal production being reported increases significantly. After weighing the benefits of green production and the costs of illegal production, enterprises choose green production strategies, and the evolutionary system achieves a stable state gradually. As a result, local governments must establish a dynamic penalization mechanism along with strict regulation in order to improve the effectiveness of environmental governance in the watershed.
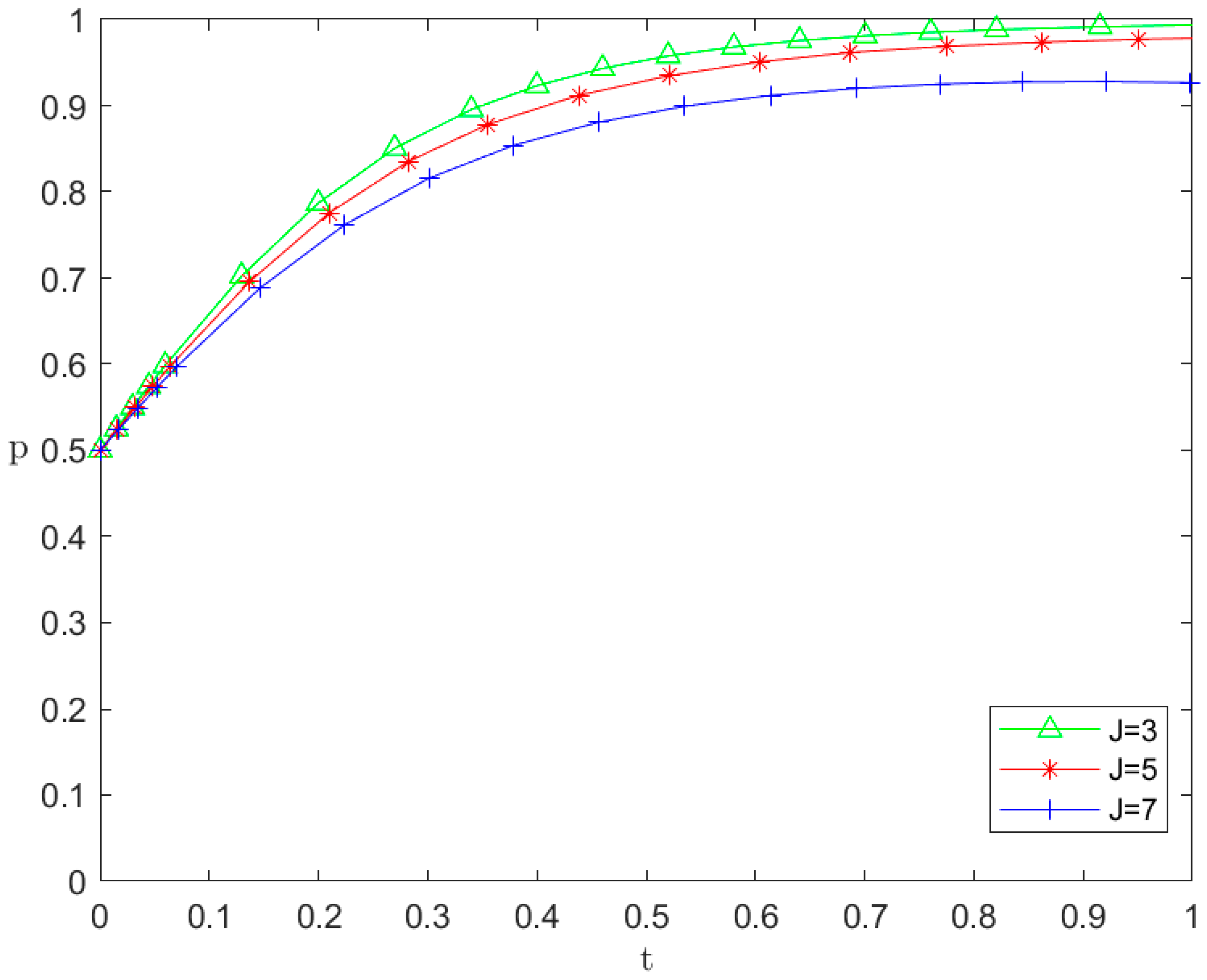
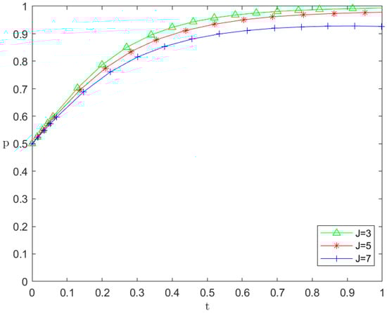
4.2.4. Effect of Changing J on the Evolutionary System
5. Discussion
5.1. Research Findings
- (1)
- Stakeholders in the coordinated governance of water pollution in the Yangtze River Basin
- (2)
- Evolutionary game for coordinated governance of water pollution in the Yangtze River Basin
- (3)
- Key influencing factors of cooperative water pollution governance in the Yangtze River Basin
5.2. Limitations and Future Research
- (1)
- The present study explored the incentives and disincentives of strict local government regulatory strategies for enterprises and the public simply from a cost–benefit perspective. However, local government choice of behavioral strategies for water pollution governance in the watershed is based on considerations that extend beyond simply costs and benefits. Factors such as industrial development status and external environmental policies influence aspects of water pollution governance in the watershed, and their degree of influence must be considered further. Therefore, on the basis of the synergistic governance relationship among local governments, enterprises, and the public, future research must introduce other representative local government parameters to make the study of watershed water pollution governance more convincing.
- (2)
- The simulation results based on the proposed parameters in this study are a generalization of the actual situation and may not comprehensively reflect the objective situation. Future research should select specific cases in the Yangtze River Basin to obtain actual data to carry out more accurate research, such as the Taihu Lake Basin.
- (3)
- This paper analyzes the strategy selection among the subjects of collaborative water pollution governance in the Yangtze River Basin based on the evolutionary game model. However, it is found in the study that when the strategy of one of the subjects changes, it will have an impact on the behavioral strategy of the subjects in the subsequent links. Subsequently, the subgame perfect Nash equilibrium is applied to this aspect of the study, trying to obtain the optimal strategy adopted by each participating subject at each point in time and realizing the dynamic, time-sequential, and coherent strategy analysis.
5.3. Policy Recommendations
- (1)
- Formulating an efficient regulatory mechanism: The cost of local government regulation and reputation loss have important impacts on coordinated governance in the basin. Efficient regulation of local governments can use artificial intelligence and big data technology to build a digital platform for water pollution governance, saving regulatory costs and improving regulatory efficiency. In addition, efficient local government regulation can incorporate a reputation mechanism of public participation, adjusting the regulatory strategy of enterprises based on the public’s evaluation of the enterprises, i.e., increasing the regulatory efforts for enterprises with poor reputations and relaxing the regulatory efforts for those with good reputations.
- (2)
- Formulating a dynamic reward and punishment mechanism: The simulation results demonstrate that green subsidies and fines imposed by the local government on enterprises for non-compliance can encourage enterprises to choose green production strategies. Given the existence of an effective threshold for the range of rewards and punishments, local governments need to adopt a dynamic reward and punishment mechanism. For example, in the early stage of regulation, local governments can choose a mechanism based on fines to quickly solve the problem of non-compliant production by enterprises. When enterprises tend to green production, local governments can choose a subsidy-based mechanism to guide enterprises to govern water pollution in the watershed.
- (3)
- Formulating multiple incentive mechanisms: The evolution of public behavioral strategies is affected by the available incentives. Firstly, local governments need to systematically refine the subject, mode, and scope of public participation and introduce diversified forms of public participation in major decision making and ecological compensation for water ecological environment governance in the basin so as to achieve openness and transparency. Secondly, in addition to directly giving a certain amount of material rewards, the local government can also create a good atmosphere for public participation in watershed governance through news media publicity, the selection of advanced people, green civilization honors, and other ways to actively participate in the public to give spiritual rewards.
6. Conclusions
- (1)
- Local governments, enterprises, and the public are the three main stakeholders in the Yangtze River Basin. Each stakeholder’s behavioral strategy choice is not only related to its own influencing factors but also those of the other two stakeholders. According to the numerical simulation analysis, increasing the cost of strict regulation and increasing the fines for illegal production by the enterprises will impact the behavioral strategy choices of the three main stakeholders. Among them, enterprises will choose green production, and the public will choose active participation more rapidly so that the game system will converge to an ideal state. Local governments increase the green production subsidies, and in the short term, the probability of enterprises choosing green production increases. However, over time, extremely high green subsidies are not conducive for the stability of the evolutionary game system. Furthermore, increasing the public’s active participation reward can accelerate the speed of enterprises choosing the green production behavior strategy, which is conducive for the public obtaining a higher-quality ecological environment.
- (2)
- There are five equilibrium stability points in the evolutionary game system, which represent the possible strategic equilibrium presented by each stakeholder. By analyzing the stability of equilibrium points under different scenarios, this study found that when the relative net benefit is greater than zero, stakeholders will be more inclined to choose that behavioral strategy. Scenarios 3 and 5 are the two ideal situations in the coordinated governance. In Scenario 3, under the strict regulation by the local government, enterprises shift to green production, reflecting the positive role of the local government’s environmental regulation. In Scenario 5, strict regulation by the local government, green production by enterprises, and active participation by the public indicate that with the normalization of local government regulation and improved market and supervision mechanisms, enterprises focus on social responsibility, and public awareness of environmental protection is enhanced, which is a desirable situation for collaborative governance by the three stakeholders.
- (3)
- Regulatory costs (human, material, and financial costs incurred by the local government in strict regulation), reputation loss (loss of project investment and credibility due to loose regulation by the local government), green subsidies (subsidies given to enterprises for green production), material incentives (incentives given to the public for active participation), and fines for non-compliance (fines imposed on non-compliant production enterprises) are the key factors influencing the evolutionary game of the three stakeholders. Therefore, the present study proposes formulating a watershed synergy mechanism from three aspects: an efficient regulatory mechanism, a dynamic reward and punishment mechanism, and a multi-faceted incentive mechanism. Among them, the efficient regulatory mechanism targets the regulatory cost and reputation losses of local governments, the dynamic reward and punishment mechanism targets the green subsidies and violation fines of enterprises, and the multiple incentives mechanism targets the material rewards of the public.
Author Contributions
Funding
Institutional Review Board Statement
Informed Consent Statement
Data Availability Statement
Conflicts of Interest
References
- Philiberton, E.J.; Reichert, R. New Institutional Economics; Sun, J., Translator; Shanghai University of Finance and Economics Press: Shanghai, China, 1998; p. 37. [Google Scholar]
- Goss, S. Making Local Governance Work: Networks, Relationships and the Management of Change; Palgrave MacMillan: New York, NY, USA, 2001. [Google Scholar]
- Rother, K.-H. Flood action plan of the River Rhine—Development and realization (in brief). Resour. Environ. Yangtze Basin 2006, 5, 620. [Google Scholar]
- Lockwood, M. Good governance for terrestrial protected areas: A framework, principles and performance outcomes. J. Environ. Manag. 2010, 91, 754–766. [Google Scholar] [CrossRef] [PubMed]
- Ostrom, E. Governing the Commons: The Evolution of Institutions for Collective Action; Cambridge University Press: Cambridge, UK, 1990. [Google Scholar]
- Ansell, C.; Gash, A. Collaborative governance in theory and practice. J. Publ. Admin. Res. Theor. 2008, 18, 543–571. [Google Scholar] [CrossRef]
- Emerson, K.; Nabatchi, T.; Balogh, S. An integrative framework for collaborative governance. J. Public Admin. Res. Theor. 2012, 22, 1–29. [Google Scholar] [CrossRef]
- van der Heijden, J. Is new governance the silver bullet? Insights from the Australian buildings sector. Urban Policy Res. 2013, 31, 453–471. [Google Scholar] [CrossRef]
- Erickson, A.M. Nested localized institutions for adaptive Co-Management: A history of state watershed management in the pacific region of the United States. Soc. Nat. Resour. 2015, 28, 93–108. [Google Scholar] [CrossRef]
- Gu, X.; Zeng, L.T. From “single-led” to “consultative and common governance”—Changes in the ecological and environmental governance model of the Yangtze River Basin. J. Nanjing Univ. Technol. Soc. Sci. Ed. 2020, 19, 24–36+115. [Google Scholar]
- Deng, H.; Liu, K.; Su, P. Research on synergistic governance system of multiple subjects under the perspective of watershed ecological civilization. Reg. Econ. Rev. 2021, 2, 146–153. [Google Scholar] [CrossRef]
- Zhang, X.X.; Guo, Y.J.; Cao, Y.L.; Wang, M.Q. Research on ecological compensation mechanism in the Yellow River Basin based on evolutionary game. Pract. Underst. Math. 2021, 51, 142–152. [Google Scholar]
- Yu, M.; Yang, X. How to move from “beggar-thy-neighbor” to “common bedrock”—A study of cross-regional cooperative governance based on the Yellow River Basin. Public Gov. Res. 2021, 33, 5–13. [Google Scholar] [CrossRef]
- Wang, S.; Zhang, Z. Difficulties and improvement measures of local law enforcement collaboration in the Yangtze River Basin. Environ. Prot. 2023, 51, 24–29. [Google Scholar] [CrossRef]
- Pan, F.; Liu, Y.; Wang, L. Game analysis of central-local-enterprise environmental regulation evolution from the perspective of public participation. Oper. Res. Manag. Sci. 2023, 32, 104–110. [Google Scholar]
- Wang, H.; Xie, Y.; Sun, J. Research on “action” game and synergistic factors of Beijing-Tianjin-Hebei air pollution control in different contexts. Chin. J. Popul. Resour. Environ. 2019, 29, 20–30. [Google Scholar]
- Chu, Z.; Bian, C.; Liu, C.; Zhu, J. An evolutionary simulation study of haze pollution, regulatory governance and public participation. China Popul. Resour. Environ. 2019, 29, 101–111. [Google Scholar]
- von Neumann, J.; Morgenstern, O. The Theory of Games and Economic Behavior; Princeton University Press: Princeton, NJ, USA, 1944. [Google Scholar]
- Nash, J.F., Jr. Non-Cooperative Games. Ph.D. Thesis, Princeton University, Princeton, NJ, USA, 1950. [Google Scholar]
- Simon, H.A. Administrative Behavior: A Study of Decision-Making Processes in Administrative Organization, 4th ed.; Simon and Schuster: New York, NY, USA, 2013. [Google Scholar]
- Levine, D.K.; Pesendorfer, W. The evolution of cooperation through imitation. Games Econ. Behav. 2007, 58, 293–315. [Google Scholar] [CrossRef]
- Raman, G.V. Environmental governance in China. Theor. Econ. Lett. 2016, 6, 583–595. [Google Scholar] [CrossRef]
- Wang, J.; Wang, P. The justification of inter-government ecological collaborative governance in the river basin better than territorial governance and its realization path: Based on the dynamic evolutionary game model. J. Nat. Resour. J. 2023, 38, 1334–1348. [Google Scholar] [CrossRef]
- Nielsen, I.E.; Majumder, S.; Sana, S.S.; Saha, S. Comparative analysis of government incentives and game structures on single and two-period green supply chain. J. Clean. Prod. 2019, 235, 1371–1398. [Google Scholar] [CrossRef]
- Song, Y.; Yang, T.T.; Zhang, M. Research on impact of environmental regulation on enterprise technology innovation-an empirical analysis based on Chinese provincial panel data. Environ. Sci. Pollut. Res. Int. 2019, 26, 21835–21848. [Google Scholar] [CrossRef]
- Durisch, L.L.; Lowry, R.E. State Watershed Policy and Administration in Tennessee. Public Adm. Rev. 1955, 15, 17–20. [Google Scholar] [CrossRef]
- Bréthaut, C.; Pflieger, G. Governance of a Transboundary River: The Rhône; Springer: Berlin/Heidelberg, Germany, 2019. [Google Scholar]
- Verweij, M. A watershed on the Rhine: Changing approaches to international environmental cooperation. GeoJournal 1999, 47, 453–461. [Google Scholar] [CrossRef]
- Salk, K.R.; Denny RC, H.; Greif, J. The role of policy in social–ecological interactions of nitrogen management in the Mississippi River basin. J. Environ. Qual. 2020, 49, 247–515. [Google Scholar] [CrossRef] [PubMed]
- Chu, Z.-P.; Liu, C.-X.; Zhu, J. Evolutionary game analysis of Beijing-Tianjin-Hebei haze cooperative governance based on collective action logic. China Popul. Resour. Environ. 2017, 27, 56–65. [Google Scholar]
- Jiang, X.; Yu, T. A study on synergistic ecological spatial governance of lakes across provinces in the Yangtze River Delta from the perspective of intergovernmental game. Planner 2022, 38, 67–73. [Google Scholar]
- Li, G.; Yan, B.; Wang, Y. Study on environmental regulation strategy evolutionary game for pollution control in the Yellow River Basin. J. Beijing Inst. Technol. Soc. Sci. Ed. 2022, 22, 74–85. [Google Scholar] [CrossRef]
- Yu, D.; Yang, J. The analysis on evolutionary game of government environmental regulation and enterprise eco-technology innovation behavior based on the public participation. Sci. Technol. Manag. Res. 2017, 37, 1–8. [Google Scholar]
- Zhao, L.; Chen, Y. Environmental regulation, public participation and corporate environmental behavior-an empirical analysis based on evolutionary game and provincial panel data. Syst. Eng. 2018, 36, 55–65. [Google Scholar]
- Xu, S. Evolutionary game analysis of environmental behavior of local governments and enterprises under public participation. Syst. Sci. 2018, 26, 68–72. [Google Scholar]
- Gao, M.; Liao, M.L. Research on collaboration mechanism in haze management:based on evolutionary game analysis. Oper. Res. Manag. Sci. 2020, 29, 152–160. [Google Scholar]
- Cui, M. Tripartite evolutionary game analysis for environmental credit supervision under the background of collaborative governance. Syst. Eng. Theor. Pract. 2021, 41, 713–726. [Google Scholar] [CrossRef]
- Wang, C.; Zhang, Z. Cooperative ecological and environmental governance in the Yangtze River Basin: Theoretical background, core essence and institutional guarantee. J. Nantong Univ. Soc. Sci. Ed. 2023, 39, 31–42. [Google Scholar]
- Brundtland, G.H. Our Common Future: Report of the World Commission on Environment and Development; Oxford University Press: Oxford, UK, 1987. [Google Scholar]
- Xu, X.; Yang, G.; Tan, Y.; Zhuang, Q.; Li, H.; Wan, R.; Su, W.; Zhang, J. Ecological risk assessment of ecosystem services in the Taihu Lake Basin of China from 1985 to 2020. Sci. Total Environ. 2016, 554, 7–16. [Google Scholar] [CrossRef] [PubMed]
- Dong, Z. Multiple synergies in ecological governance: A case of Yangtze River basin governance in Hubei Province. Hubei Soc. Sci. 2018, 3, 82–89. [Google Scholar]
- Agle, B.R.; Donaldson, T.; Freeman, R.E.; Jensen, M.C.; Mitchell, R.K.; Wood, D.J. Dialogue: Toward superior stakeholder theory. Bus. Ethics Q. 2008, 18, 153–190. [Google Scholar] [CrossRef]
- Wang, F.; Huang, J. Exploration of the path to enhance the ecological governance capacity of township government. Peoples Forum. 2017, 2017, 70–71. [Google Scholar]
- Zhu, X. Multiple synergies in ecological governance: The case of Taihu Lake Basin. Reform 2017, 2, 96–107. [Google Scholar]
- Wang, Q.; Mao, C. Evolutionary game analysis of ecological governance strategies in the Yangtze River Delta region, China. Land 2024, 13, 212. [Google Scholar] [CrossRef]
- Smith, J.M. Evolution and the Theory of Games; Cambridge University Press: Cambridge, UK, 1982. [Google Scholar]
- Axelrod, R. The Evolution of Cooperation; Basic Books: New York, NY, USA, 1984. [Google Scholar]
- Gintis, H. Game Theory Evolving; Princeton University Press: Princeton, NJ, USA, 2000. [Google Scholar]
- Ritzberger, K.; Weibull, J.W. Evolutionary selection in normal-form games. Econometrica 1995, 63, 1371–1399. [Google Scholar] [CrossRef]
- Friedman, D. Evolutionary games in economics. Econometrica 1991, 59, 637–666. [Google Scholar] [CrossRef]
- Yunyan, L.; Jian, D.; Qing, S. Analysis of regional air pollution joint prevention and control eco-compensation mechanism based on evolutionary game—Taking Beijing-Tianjin-Hebei region as an example. Sci. Technol. Manag. Res. 2022, 42, 202–210. [Google Scholar]
- Yan, H.; Zeng, D. Dilemma and reflection on the innovation of water environment governance under river chief system—Based on the perspective of collaborative governance. J. Beijing Admin. Coll. 2019, 2, 7–17. [Google Scholar] [CrossRef]
- Guo, H.; Ren, B. Spatial governance of high-quality development in the Yellow River Basin: Mechanism interpretation and realistic strategy. Reform 2020, 4, 74–85. [Google Scholar]
- Cao, X.; Zhang, L. Evolutionary game analysis of the diffusion of corporate green technology innovation. China Popul. Resour. Environ. 2015, 25, 68–76. [Google Scholar]
- Yiqi, W.; Cao, G.; Li, G. Evolutionary game analysis of environmental governance in the Yellow River Basin based on public participation. Oper. Res. Manag. 2023, 32, 114–119. [Google Scholar]







| Category | Parameter | Meaning |
|---|---|---|
| Local Government Parameters | C1 | Costs of human and material resources expended in the case of strict regulation |
| S1 | Additional benefits such as increased investment in projects and credibility in case of strict regulation | |
| N1 | Losses caused by reduced investment in projects and decreased credibility in the case of loose regulation | |
| B | Subsidies for green production enterprises in the case of strict regulation | |
| F | Fines imposed on non-compliant companies in the case of strict regulation | |
| J | Rewards for active participation by the public in case of strict regulation | |
| Enterprise Parameters | C2 | Costs of technology, R&D, etc., incurred in the case of green production |
| S2 | Additional benefits including increased cooperation and image enhancement in the case of green production | |
| C3 | Costs of public relations and compensation in the case of illegal production | |
| L | Losses such as decreased sales and cooperation caused by illegal production | |
| Public Parameters | C4 | Costs of monitoring, reporting, etc., in the case of active participation |
| S3 | Additional benefits such as higher environmental quality and corporate compliance in the case of active participation | |
| N2 | Physical and psychological losses due to environmental pollution in the case of negative participation |
| Gaming Party | Public | ||||
|---|---|---|---|---|---|
| Active Participation (z) | Negative Participation (1 − z) | ||||
| Local government | Strict regulation (x) | Enterprise | Green production (y) | S1 − C1 − B − J | S1 − C1 − B |
| S2 − C2 + B | S2 − C2 + B | ||||
| S3 − C4 + J | 0 | ||||
| Illegal production (1 − y) | S1 − C1 + F | S1 − C1 + F | |||
| −C3 − L − F | − C3 − L − F | ||||
| S3 − C4 + J | −N2 | ||||
| Local government | Loose regulation (1 − x) | Enterprise | Green production (y) | 0 | 0 |
| S2 − C2 | S2 − C2 | ||||
| S3 − C4 | 0 | ||||
| Illegal production(1 − y) | −N1 | −N1 | |||
| −C3 − L | −C3 − L | ||||
| S3 − C4 | −N2 | ||||
| Gaming Party | Replication of Dynamic Equations |
|---|---|
| Local government | F(x) = dx/dt = x × (x − 1) × (C1 − F − N1 − S1 + B × y + F × y + N1 × y + J × y × z) |
| Enterprise | F(y) = dy/dt = − y × (y − 1) × (C3 − C2 + L + S2 + B × x + F × x) |
| Public | F(z) = dz/dt = − z × (z − 1) × (N2 − C4 + S3 + J × x − N2 × y) |
| Equilibrium Point | Characteristic Value λ1 | Characteristic Value λ2 | Characteristic Value λ3 |
|---|---|---|---|
| E1 (0,0,0) | F − C1 + N1 + S1 | C3 − C2 + L + S2 | N2 − C4 + S3 |
| E2 (1,0,0) | C1 − F − N1 − S1 | B − C2 + C3 + F + L + S2 | J − C4 + N2 + S3 |
| E3 (0,1,0) | S1 − C1 − B | C2 − C3 − L − S2 | S3 − C4 |
| E4 (0,0,1) | F − C1 + N1 + S1 | C3 − C2 + L + S2 | C4 − N2 − S3 |
| E5 (1,1,0) | B + C1 − S1 | C2 − B − C3 − F − L − S2 | J − C4 + S3 |
| E6 (1,0,1) | C1–F − N1 − S1 | B − C2 + C3 + F + L + S2 | C4 − J − N2 − S3 |
| E7 (0,1,1) | S1 − C1 − J − B | C2 − C3 − L − S2 | C4 − S3 |
| E8 (1,1,1) | B + C1 + J − S1 | C2 − B − C3 − F − L − S2 | C4 − J − S3 |
Disclaimer/Publisher’s Note: The statements, opinions and data contained in all publications are solely those of the individual author(s) and contributor(s) and not of MDPI and/or the editor(s). MDPI and/or the editor(s) disclaim responsibility for any injury to people or property resulting from any ideas, methods, instructions or products referred to in the content. |
© 2024 by the authors. Licensee MDPI, Basel, Switzerland. This article is an open access article distributed under the terms and conditions of the Creative Commons Attribution (CC BY) license (https://creativecommons.org/licenses/by/4.0/).
Share and Cite
Wang, Q.; Mao, C. Research on Cooperative Water Pollution Governance Based on Tripartite Evolutionary Game in China’s Yangtze River Basin. Water 2024, 16, 3166. https://doi.org/10.3390/w16223166
Wang Q, Mao C. Research on Cooperative Water Pollution Governance Based on Tripartite Evolutionary Game in China’s Yangtze River Basin. Water. 2024; 16(22):3166. https://doi.org/10.3390/w16223166
Chicago/Turabian StyleWang, Qing, and Chunmei Mao. 2024. "Research on Cooperative Water Pollution Governance Based on Tripartite Evolutionary Game in China’s Yangtze River Basin" Water 16, no. 22: 3166. https://doi.org/10.3390/w16223166
APA StyleWang, Q., & Mao, C. (2024). Research on Cooperative Water Pollution Governance Based on Tripartite Evolutionary Game in China’s Yangtze River Basin. Water, 16(22), 3166. https://doi.org/10.3390/w16223166

