Prediction of Sediment Transport and Deposition in the Stone Buddha Temple Reservoir Based on HD and ST Bidirectional Coupling Model
Abstract
1. Introduction
2. Methods
2.1. Overview of the Study Area
2.2. Model Frame
2.3. Basic Data of Finite Element Modeling
2.4. Model Calibration and Validation
3. Results and Discussion
3.1. Hydrodynamic Simulation
3.1.1. Hydrodynamic Simulation Scheme of Reservoir Area
3.1.2. Hydrodynamic Simulation Results Analysis
3.2. Water and Sediment Simulation
3.2.1. Reservoir Water and Sediment Simulation Scheme
3.2.2. Analysis of Water and Sediment Simulation Results in the Study Area
4. Conclusions
- (1)
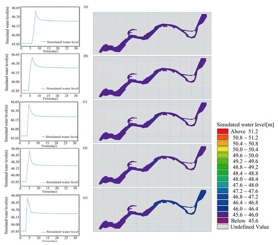
- The HD model of the study area was constructed, and the model simulation was calibrated according to the actual reservoir scheduling and measured measurement data in 2010. The error between the calibration of the model and the actual data is within 1%, indicating that the model has a high degree of applicability. Simulation validation based on actual scheduling and measured measurement data from 2007 to 2023 shows that the error between the model validation and the actual data is within 3%. This indicates that the model has a high level of reliability and accuracy. The flow results in sediment deposition in the middle and lower part of the study area, which is consistent with the measured trend. Based on the coupling application of mathematical and physical models, the simulation analysis of different seasons in typical years is carried out. The water level in the flood season is approximately 46.2 m, and in the non-flood season is approximately 46 m. The results show that the water level in non-flood season is slightly lower than that in flood season. Through the integration of seasonal water level simulation strategies, water resources management is refined and scientific, thereby improving the overall management efficiency.
- (2)
- The HD model and ST model were used to simulate the Stone Buddha Temple Reservoir to study the process of sediment lifting under different flow rates, and to simulate the process of hydrodynamic movement and sediment spatial distribution movement. The main reasons for the obvious differences in the spatial distribution of sediments in the reservoir area under different flows are the large reservoir area, the serious sediment carrying in the Liao he River system, and the poor hydrodynamic scouring and sedimentation capacity. The results show that the flow rate of 115~265 m3/s can meet the sediment scouring problem in the reservoir area, so the optimization scheme of hydrodynamic sediment scouring is proposed.
- (3)
- The models reveal the evolution of sediment flow under different flows and years, so as to more accurately predict the long-term evolution trend of sediment flow from 2024 to 2029 and 2029 to 2039. In general, flow rates of 115 and 265 m3/s can achieve a siltation promotion effect. Compared with the results of different flow schemes, the upstream water flow rate of 165~215 m3/s can meet the expectations. While maintaining the ecological water level at approximately 46.2 m, the flow rate of 165~190 m3/s can meet the sediment erosion and solve the siltation problem in the reservoir area, and the sediment spatial distribution effect of the hydrodynamic sediment scouring model is the best. In the near and long term, sediment deposition gradually decreases over time. Combined with the relationship between the simulated suspended sediment concentration, flow rate and water level, the flow rate of 165~190 m3/s can solve the problem of sediment deposition, greatly reduce the difficulty and cost of dredging, ensure the maximum economic benefit of reservoir water transmission capacity, and achieve the best comprehensive benefit in the study area. Improve the ecological environment of the water system and meet the ecological requirements.
Author Contributions
Funding
Data Availability Statement
Conflicts of Interest
References
- Fan, J.; Zhao, G.; Mu, X.; Lu, A.; Tian, P.; Gao, P.; Sun, W. Effects of cascading reservoirs on streamflow and sediment load with machine learning reconstructed time series in the upper Yellow River basin. Catena 2023, 225, 107008. [Google Scholar] [CrossRef]
- Ran, L.; Lu, X.X. Delineation of reservoirs using remote sensing and their storage estimate: An example of the Yellow River basin, China. Hydrol. Process. 2012, 26, 1215–1229. [Google Scholar] [CrossRef]
- Herrero, A.; Vila, J.; Eljarrat, E.; Ginebreda, A.; Sabater, S.; Batalla, R.J.; Barceló, D. Transport of sediment borne contaminants in a Mediterranean river during a high flow event. Sci. Total Environ. 2018, 633, 1392–1402. [Google Scholar] [CrossRef] [PubMed]
- Yang, X.; Lu, X. Estimate of cumulative sediment trapping by multiple reservoirs in large river basins: An example of the Yangtze River basin. Geomorphology 2014, 227, 49–59. [Google Scholar] [CrossRef]
- Yang, H.F.; Yang, S.L.; Xu, K.H.; Milliman, J.D.; Wang, H.; Yang, Z.; Chen, Z.; Zhang, C.Y. Human impacts on sediment in the Yangtze River: A review and new perspectives. Glob. Planet. Chang. 2018, 162, 8–17. [Google Scholar] [CrossRef]
- Yang, Z.-S.; Wang, H.-J.; Saito, Y.; Milliman, J.D.; Xu, K.; Qiao, S.; Shi, G. Dam impacts on the Changjiang (Yangtze) River sediment discharge to the sea: The past 55 years and after the Three Gorges Dam. Water Resour. Res. 2006, 42. [Google Scholar] [CrossRef]
- Zhang, Y.; Lai, X.; Zhang, L.; Song, K.; Yao, X.; Gu, L.; Pang, C. The influence of aquatic vegetation on flow structure and sediment deposition: A field study in Dongting Lake, China. J. Hydrol. 2020, 584, 124644. [Google Scholar] [CrossRef]
- Yang, S.L. The Role ofScirpusMarsh in Attenuation of Hydrodynamics and Retention of Fine Sediment in the Yangtze Estuary. Estuar. Coast. Shelf Sci. 1998, 47, 227–233. [Google Scholar] [CrossRef]
- Gruber, R.K.; Kemp, W.M. Feedback effects in a coastal canopy-forming submersed plant bed. Limnol. Oceanogr. 2010, 55, 2285–2298. [Google Scholar] [CrossRef]
- Lu, M.; Zhao, Q.; Ding, S.; Wang, S.; Hong, Z.; Jing, Y.; Wang, A. Hydro-geomorphological characteristics in response to the water-sediment regulation scheme of the Xiaolangdi Dam in the lower Yellow River. J. Clean. Prod. 2022, 335, 130324. [Google Scholar] [CrossRef]
- Zhang, Y.L.; Dong, Y.L.; Zhang, D. Impacts of the sanmenxia reservoir on organic carbon transport characteristics of the Huanghe River. Sci. Geogr. Sin. 2015, 35, 912–918. [Google Scholar]
- Giuliani, M.; Lamontagne, J.R.; Reed, P.M.; Castelletti, A. A state-of-the-art review of optimal reservoir control for managing conflicting demands in a changing world. Water Resour. Res. 2021, 57, e2021WR029927. [Google Scholar] [CrossRef]
- Xu, W.-J.; Yao, Z.-G.; Luo, Y.-T.; Dong, X.-Y. Study on landslide-induced wave disasters using a 3D coupled SPH-DEM method. Bull. Eng. Geol. Environ. 2020, 79, 467–483. [Google Scholar] [CrossRef]
- Momm, H.; Bingner, R.; Wells, R.; Moore, K.; Herring, G. Integrated Technology for Evaluation and Assessment of Multi-Scale Hydrological Systems in Managing Nonpoint Source Pollution. Water 2021, 13, 842. [Google Scholar] [CrossRef]
- Akoko, G.; Le, T.H.; Gomi, T.; Kato, T. A review of SWAT model application in Africa. Water 2021, 13, 1313. [Google Scholar] [CrossRef]
- Xia, D.; Yu, Z.; Xu, B.; Gao, M.; Mi, T.; Jiang, X.; Yao, P. Variations of hydrodynamics and submarine groundwater discharge in the Yellow River estuary under the influence of the water-sediment regulation scheme. Estuaries Coasts 2016, 39, 333–343. [Google Scholar] [CrossRef]
- Wang, L.-J.; Li, H.; Yang, Z.-J.; Zhang, J.L.; Deng, C.-G.; Yang, F.; Zheng, B.-H. Four effects of water environment evolution in early period (2003–2012) after impoundment of the Three Gorges Reservoir. Res. Environ. Sci. 2020, 23, 1109–1118. [Google Scholar]
- Liu, D.; Yang, Z.; Ji, D.; Ma, J.; Cui, Y.; Song, L. A review on the mechanism and its controlling methods of the algal blooms in the tributaries of Three Gorges Reservoir. J. Hydraul. Eng. 2016, 47, 443–454. [Google Scholar]
- Li, Y.; Sun, J.; Lin, B.; Liu, Z. Thermal-hydrodynamic circulations and water fluxes in a tributary bay of the Three Gorges Reservoir. J. Hydrol. 2020, 585, 124319. [Google Scholar] [CrossRef]
- Xu, H.; Yan, M.; Long, L.; Ma, J.; Ji, D.; Liu, D.; Yang, Z. Modeling the effects of hydrodynamics on thermal stratification and algal blooms in the Xiangxi Bay of Three Gorges Reservoir. Front. Ecol. Evol. 2021, 8, 610622. [Google Scholar] [CrossRef]
- Xie, H.; Shen, Z.; Chen, L.; Qiu, J.; Dong, J. Time-varying sensitivity analysis of hydrologic and sediment parameters at multiple timescales: Implications for conservation practices. Sci. Total Environ. 2017, 598, 353–364. [Google Scholar] [CrossRef] [PubMed]
- Liu, L.; Liu, D.; Johnson, D.M.; Yi, Z.; Huang, Y. Effects of vertical mixing on phytoplankton blooms in Xiangxi Bay of Three Gorges Reservoir: Implications for management. Water Res. 2012, 46, 2121–2130. [Google Scholar] [CrossRef] [PubMed]
- Long, L.; Chen, P.; Xu, H.; Ji, D.; Liu, L.; Yang, Z.; Lorke, A. Recent changes of the thermal structure in Three Gorges Reservoir, China and its impact on algal bloom in tributary bays. Ecol. Indic. 2022, 144, 109465. [Google Scholar] [CrossRef]
- Yang, Z.; Liu, D.; Ji, D.; Xiao, S.; Huang, Y.; Ma, J. An eco-environmental friendly operation: An effective method to mitigate the harmful blooms in the tributary bays of Three Gorges Reservoir. Sci. China Technol. Sci. 2013, 56, 1458–1470. [Google Scholar] [CrossRef]
- Long, L.H.; Ji, D.B.; Yang, Z.Y.; Cheng, H.Q.; Yang, Z.J.; Liu, D.F.; Liu, L.; Lorke, A. Tributary oscillations generated by diurnal discharge regulation in Three Gorges Reservoir. Environ. Res. Lett. 2020, 15, 084011. [Google Scholar] [CrossRef]
- Zhao, X.; Yang, Z.; Ji, D.; Long, L.; Yang, Z.; Xu, H.; Cheng, Z.; Liu, D. Meteorological forcing and hydrological connectivity together control the thermal regime of Xiangxi Bay, a tributary of the Three Gorges Reservoir. J. Hydrol. 2022, 612, 128276. [Google Scholar] [CrossRef]
- Bouffard, D.; Wüest, A. Convection in lakes. Annu. Rev. Fluid Mech. 2019, 51, 189–215. [Google Scholar] [CrossRef]
- Liu, L.; Yang, Z.J.; Delwiche, K.; Long, L.H.; Liu, J.; Liu, D.F.; Wang, C.F.; Bodmer, P.; Lorke, A. Spatial and temporal variability of methane emissions from cascading reservoirs in the Upper Mekong River. Water Res. 2020, 186, 116319. [Google Scholar] [CrossRef]
- Guo, X.; Liu, J.; Liu, D.; Yang, Z.; Xiao, S.; Lorke, A. Density currents reduce nitrous oxide emissions in a tributary bay of Three Gorges Reservoir. Water Res. 2021, 190, 116750. [Google Scholar] [CrossRef]
- Zhao, Y.; Wu, B.F.; Zeng, Y. Spatial and temporal patterns of greenhouse gas emissions from Three Gorges Reservoir of China. Biogeosciences 2013, 10, 1219–1230. [Google Scholar] [CrossRef]
- R Core Team. R: A Language and Environment for Statistical Computing; Foundation for Statistical Computing: Vienna, Austria, 2013. [Google Scholar]
- Zheng, S.; He, J.; Wu, B. Water and Sediment Regulation by Cascade Dams at the Yellow River, China. J. Hydrol. Eng. 2023, 28, 05023020. [Google Scholar] [CrossRef]
- Kmoch, A.; Moges, D.M.; Sepehrar, M.; Narasimhan, B.; Uuemaa, E. The effect of spatial input data quality on the performance of the SWAT model. Water 2022, 14, 1988. [Google Scholar] [CrossRef]
- Menéndez Pidal, I.; Hinojal Martín, J.A.; Mora Alonso-Muñoyerro, J.; Sanz Pérez, E. Real-time data and flood forecasting in Tagus Basin. A case study: Rosarito and El Burguillo reservoirs from 8th to 12th March, 2018. Water 2020, 12, 1004. [Google Scholar] [CrossRef]
- Idrees, M.B.; Lee, J.-Y.; Kim, T.-W. Estimating RESCON model parameters for efficient sediment flushing in a dam reservoir. Environ. Earth Sci. 2019, 78, 224. [Google Scholar] [CrossRef]








| Parameter | Data Accuracy | Correspondence Model | ||||||
|---|---|---|---|---|---|---|---|---|
| Minimum time | 0.005 m | Hydrodynamic | 0.01 | 0.005 m | Hydrodynamic | Hydrodynamic module | 0.005 m | Hydrodynamic |
| Maximum time | 0.05 m | Hydrodynamic | 30 | 0.05 m | Hydrodynamic | Hydrodynamic module | 0.05 m | Hydrodynamic |
| Critical CFL number | 0.8 | 0.1 m | Hydrodynamic | Hydrodynamic module | 0.1 m | Hydrodynamic | ||
| Drying depth | 0.005 | Hydrodynamic module | ||||||
| Flooding depth | 0.05 | Hydrodynamic module | ||||||
| Wetting depth | 0.1 | Hydrodynamic module | ||||||
| Eddy viscosity constant value | 0.1 m | Hydrodynamic | 0.28 | Hydrodynamic module | ||||
| Start time step | 45 m (1/3)/s | Sand transport | 0 | Sand transport module | ||||
| Time step factor | 1 | Sand transport module | ||||||
| Grain diameter | 0.012 | Sand transport module | ||||||
| Bed Resistance Constant value | 45 | Sand transport module | ||||||
| Max bed level change | 1 | 45 m (1/3)/s | Sand transport | Sand transport module | 45 m (1/3)/s | Sand transport | ||
| Speedup factor | 0.012 mm | Sand transport | 1 | 0.012 mm | Sand transport | Sand transport module | 0.012 mm | Sand transport |
Disclaimer/Publisher’s Note: The statements, opinions and data contained in all publications are solely those of the individual author(s) and contributor(s) and not of MDPI and/or the editor(s). MDPI and/or the editor(s) disclaim responsibility for any injury to people or property resulting from any ideas, methods, instructions or products referred to in the content. |
© 2024 by the authors. Licensee MDPI, Basel, Switzerland. This article is an open access article distributed under the terms and conditions of the Creative Commons Attribution (CC BY) license (https://creativecommons.org/licenses/by/4.0/).
Share and Cite
Li, X.-X.; Gao, Z.-W.; Zhang, P.-F.; Yan, B. Prediction of Sediment Transport and Deposition in the Stone Buddha Temple Reservoir Based on HD and ST Bidirectional Coupling Model. Water 2024, 16, 3156. https://doi.org/10.3390/w16213156
Li X-X, Gao Z-W, Zhang P-F, Yan B. Prediction of Sediment Transport and Deposition in the Stone Buddha Temple Reservoir Based on HD and ST Bidirectional Coupling Model. Water. 2024; 16(21):3156. https://doi.org/10.3390/w16213156
Chicago/Turabian StyleLi, Xiang-Xiang, Zhen-Wei Gao, Peng-Fei Zhang, and Bin Yan. 2024. "Prediction of Sediment Transport and Deposition in the Stone Buddha Temple Reservoir Based on HD and ST Bidirectional Coupling Model" Water 16, no. 21: 3156. https://doi.org/10.3390/w16213156
APA StyleLi, X.-X., Gao, Z.-W., Zhang, P.-F., & Yan, B. (2024). Prediction of Sediment Transport and Deposition in the Stone Buddha Temple Reservoir Based on HD and ST Bidirectional Coupling Model. Water, 16(21), 3156. https://doi.org/10.3390/w16213156
