Deep Learning Ensemble for Flood Probability Analysis
Abstract
1. Introduction
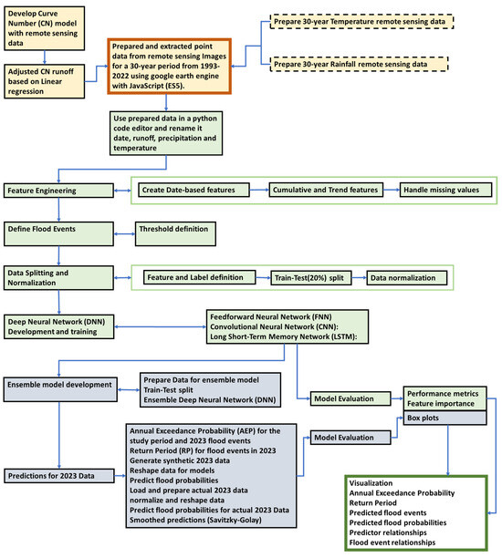
2. Materials and Methods
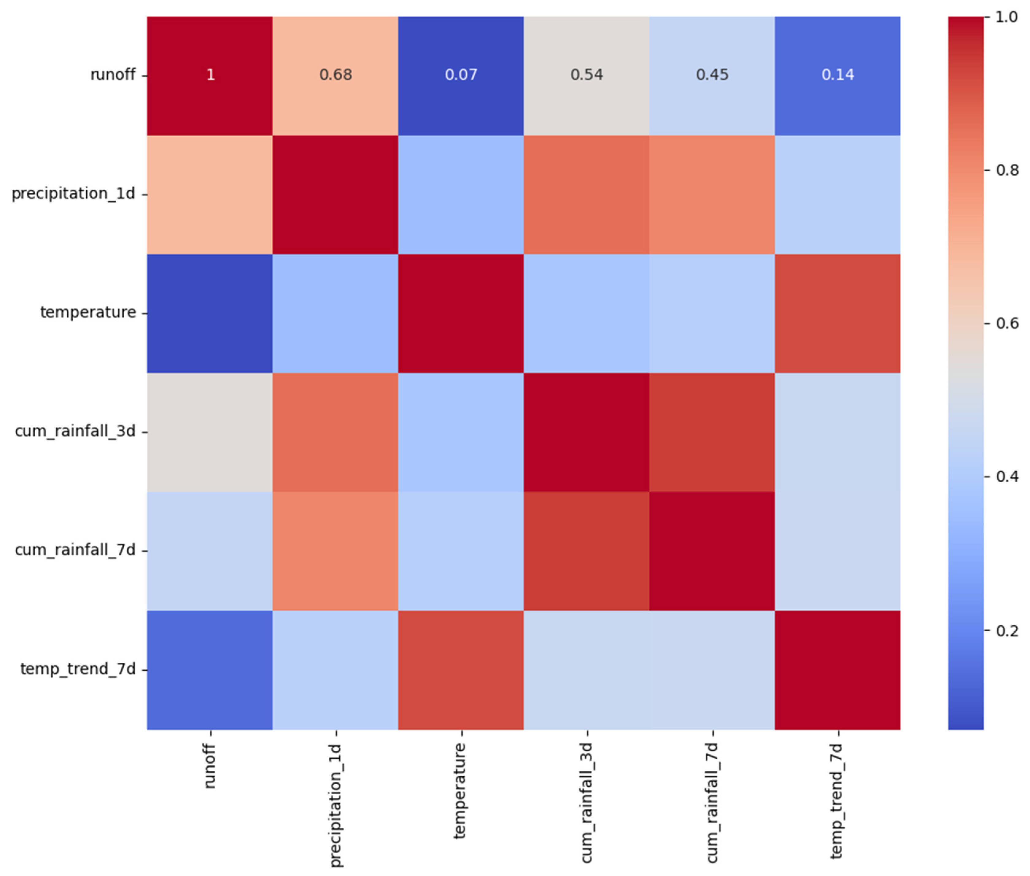
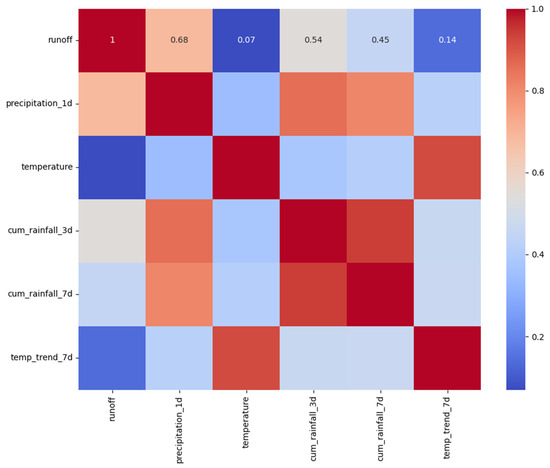
2.1. Data and Data Pre-Processing
2.2. Application of Deep Learning Models
2.3. Error Reduction Techniques for Deep Learning Models (FNN, CNN, and LSTM)
3. Results
3.1. Performance Assessment of FNN, CNN and LSTM Models
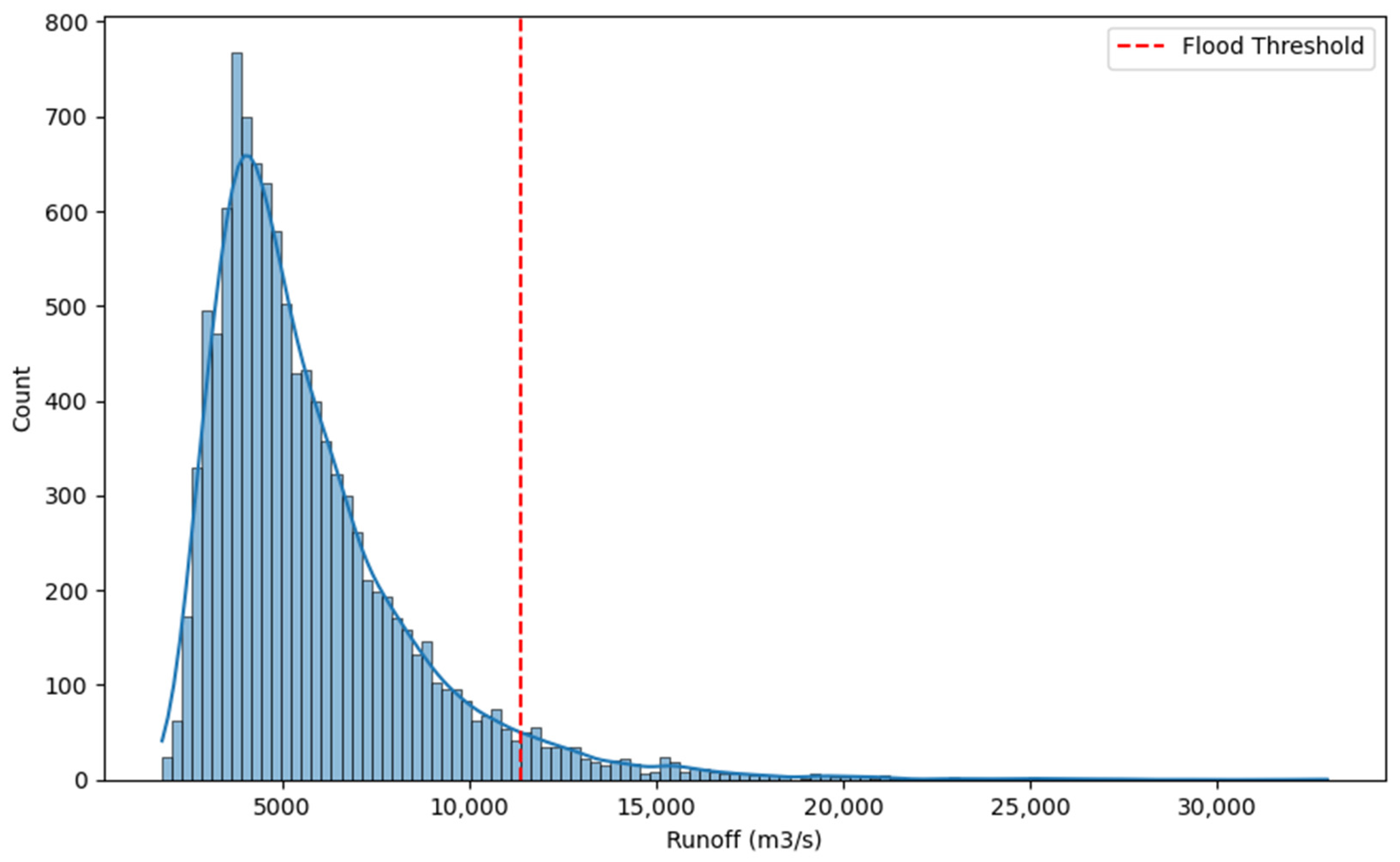
3.2. Flood Event Prediction
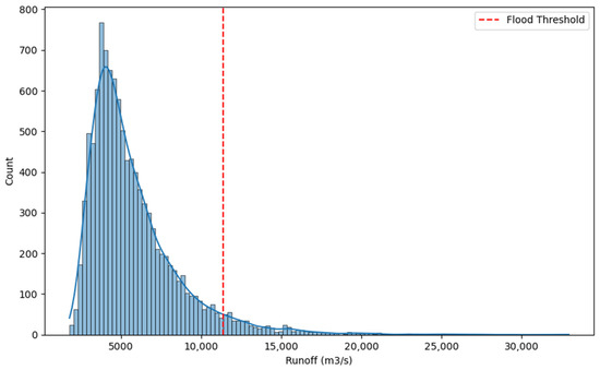
Flood Threshold and Predicted Flood Events with FNN, CNN and LSTM
3.3. Prediction of Flood Probabilities
3.3.1. FNN, CNN and LSTM Predicted Flood Probabilities over Thirty Years
3.3.2. DNNE Predicted Future Flood Probabilities with Synthetic and Actual Data for One Year
3.3.3. DNNE, FNN, CNN and LSTM Model Performance for Future Probability Predictions
4. Discussion
5. Conclusions
Author Contributions
Funding
Data Availability Statement
Acknowledgments
Conflicts of Interest
References
- Swagatika, S.; Paul, J.C.; Sahoo, B.B.; Gupta, S.K.; Singh, P.K. Improving the Forecasting Accuracy of Monthly Runoff Time Series of the Brahmani River in India Using a Hybrid Deep Learning Model. J. Water Clim. Chang. 2024, 15, 139–156. [Google Scholar] [CrossRef]
- Wang, X.; Gourbesville, P.; Liu, C. Flash Floods: Forecasting, Monitoring and Mitigation Strategies. Water 2023, 15, 1700. [Google Scholar] [CrossRef]
- Alghafli, K.; Ali, A.M.; Shi, X.; Sloan, W.; Obeid, A.A.A.; Shamsudduha, M. Evaluation of Runoff Estimation from GRACE Coupled with Different Meteorological Gridded Products over the Upper Blue Nile Basin. J. Hydrol. Reg. Stud. 2023, 50, 101545. [Google Scholar] [CrossRef]
- Dibi-Anoh, P.A.; Koné, M.; Gerdener, H.; Kusche, J.; N’Da, C.K. Hydrometeorological Extreme Events in West Africa: Droughts. Surv. Geophys. 2023, 44, 173–195. [Google Scholar] [CrossRef]
- Dasgupta, R.; Das, S.; Banerjee, G.; Mazumdar, A. Revisit Hydrological Modeling in Ungauged Catchments Comparing Regionalization, Satellite Observations, and Machine Learning Approaches. HydroResearch 2024, 7, 15–31. [Google Scholar] [CrossRef]
- Kumar, A.; Kanga, S.; Taloor, A.K.; Singh, S.K.; Đurin, B. Surface Runoff Estimation of Sind River Basin Using Integrated SCS-CN and GIS Techniques. HydroResearch 2021, 4, 61–74. [Google Scholar] [CrossRef]
- Ling, L.; Yusop, Z.; Chow, M.F. Urban Flood Depth Estimate with a New Calibrated Curve Number Runoff Prediction Model. IEEE Access 2020, 8, 10915–10923. [Google Scholar] [CrossRef]
- Rawat, K.S.; Singh, S.K.; Szilard, S. Comparative Evaluation of Models to Estimate Direct Runoff Volume from an Agricultural Watershed. Geol. Ecol. Landsc. 2021, 5, 94–108. [Google Scholar] [CrossRef]
- Lyon, S.W.; Walter, T.M.; Gerard-Marchant, P.; Steenhuis, T.S. Using a Topographic Index to Distribute Variable Source Area Runoff Predicted with the SCS Curve-Number Equation. Hydrol. Process. 2004, 18, 2757–2771. [Google Scholar] [CrossRef]
- Nageswara Rao, K. Analysis of Surface Runoff Potential in Ungauged Basin Using Basin Parameters and SCS-CN Method. Appl. Water Sci. 2020, 10, 47. [Google Scholar] [CrossRef]
- Dile, Y.T.; Karlberg, L.; Srinivasan, R.; Rockström, J. Investigation of the Curve Number Method For Surface Runoff Estimation In Tropical Regions. J. Am. Water Resour. Assoc. 2016, 52, 1155–1169. [Google Scholar] [CrossRef]
- Mosavi, A.; Ozturk, P.; Chau, K.W. Flood Prediction Using Machine Learning Models: Literature Review. Water 2018, 10, 1536. [Google Scholar] [CrossRef]
- Brunner, M.I.; Slater, L.; Tallaksen, L.M.; Clark, M. Challenges in Modeling and Predicting Floods and Droughts: A Review. Wiley Interdiscip. Rev. Water 2021, 8, e1520. [Google Scholar] [CrossRef]
- Najafi, H.; Shrestha, P.K.; Rakovec, O.; Apel, H.; Vorogushyn, S.; Kumar, R.; Thober, S.; Merz, B.; Samaniego, L. High-Resolution Impact-Based Early Warning System for Riverine Flooding. Nat. Commun. 2024, 15, 3726. [Google Scholar] [CrossRef] [PubMed]
- Tom, R.O.; George, K.O.; Joanes, A.O.; Haron, A. Review of Flood Modelling and Models in Developing Cities and Informal Settlements: A Case of Nairobi City. J. Hydrol. Reg. Stud. 2022, 43, 101188. [Google Scholar] [CrossRef]
- Fraehr, N.; Wang, Q.J.; Wu, W.; Nathan, R. Development of a Fast and Accurate Hybrid Model for Floodplain Inundation Simulations. Water Resour. Res. 2023, 59, e2022WR033836. [Google Scholar] [CrossRef]
- Ilinca, C.; Anghel, C.G. Flood Frequency Analysis Using the Gamma Family Probability Distributions. Water 2023, 15, 1389. [Google Scholar] [CrossRef]
- Ahmed, S.F.; Alam, M.S.B.; Hassan, M.; Rozbu, M.R.; Ishtiak, T.; Rafa, N.; Mofijur, M.; Shawkat Ali, A.B.M.; Gandomi, A.H. Deep Learning Modelling Techniques: Current Progress, Applications, Advantages, and Challenges. Artif. Intell. Rev. 2023, 56, 13521–13617. [Google Scholar] [CrossRef]
- Lei, X.; Chen, W.; Panahi, M.; Falah, F.; Rahmati, O.; Uuemaa, E.; Kalantari, Z.; Ferreira, C.S.S.; Rezaie, F.; Tiefenbacher, J.P.; et al. Urban Flood Modeling Using Deep-Learning Approaches in Seoul, South Korea. J. Hydrol. 2021, 601, 126684. [Google Scholar] [CrossRef]
- Kim, H.I.; Han, K.Y. Urban Flood Prediction Using Deep Neural Network with Data Augmentation. Water 2020, 12, 899. [Google Scholar] [CrossRef]
- Farahmand, H.; Xu, Y.; Mostafavi, A. A Spatial—Temporal Graph Deep Learning Model for Urban Flood Nowcasting Leveraging Heterogeneous Community Features. Sci. Rep. 2023, 13, 6768. [Google Scholar] [CrossRef] [PubMed]
- Muruganandam, S.; Joshi, R.; Suresh, P.; Balakrishna, N.; Kishore, K.H.; Manikanthan, S.V. A Deep Learning Based Feed Forward Artificial Neural Network to Predict the K-Barriers for Intrusion Detection Using a Wireless Sensor Network. Meas. Sens. 2023, 25, 100613. [Google Scholar] [CrossRef]
- Jabbari, A.; Bae, D.H. Application of Artificial Neural Networks for Accuracy Enhancements of Real-Time Flood Forecasting in the Imjin Basin. Water 2018, 10, 1626. [Google Scholar] [CrossRef]
- Lin, Q.; Leandro, J.; Wu, W.; Bhola, P.; Disse, M. Prediction of Maximum Flood Inundation Extents With Resilient Backpropagation Neural Network: Case Study of Kulmbach. Front. Earth Sci. 2020, 8, 332. [Google Scholar] [CrossRef]
- Sedighkia, M.; Datta, B. Predicting Impact of Land Cover Change on Flood Peak Using Hybrid Machine Learning Models. Neural Comput. Appl. 2023, 35, 6723–6736. [Google Scholar] [CrossRef]
- Karnik, S.; Wang, R.; Iwen, M. Neural Network Approximation of Continuous Functions in High Dimensions with Applications to Inverse Problems. J. Comput. Appl. Math. 2024, 438, 115557. [Google Scholar] [CrossRef]
- Zhou, D.X. Universality of Deep Convolutional Neural Networks. Appl. Comput. Harmon. Anal. 2020, 48, 787–794. [Google Scholar] [CrossRef]
- Chen, C.; Hui, Q.; Xie, W.; Wan, S.; Zhou, Y.; Pei, Q. Convolutional Neural Networks for Forecasting Flood Process in Internet-of-Things Enabled Smart City. Comput. Netw. 2021, 186, 107744. [Google Scholar] [CrossRef]
- Khosravi, K.; Panahi, M.; Golkarian, A.; Keesstra, S.D.; Saco, P.M.; Bui, D.T.; Lee, S. Convolutional Neural Network Approach for Spatial Prediction of Flood Hazard at National Scale of Iran. J. Hydrol. 2020, 591, 125552. [Google Scholar] [CrossRef]
- de Moura, C.N.; Seibert, J.; Detzel, D.H.M. Evaluating the Long Short-Term Memory (LSTM) Network for Discharge Prediction under Changing Climate Conditions. Hydrol. Res. 2022, 53, 657–667. [Google Scholar] [CrossRef]
- Song, T.; Ding, W.; Wu, J.; Liu, H.; Zhou, H.; Chu, J. Flash Flood Forecasting Based on Long Short-Term Memory Networks. Water 2020, 12, 109. [Google Scholar] [CrossRef]
- Hu, C.; Wu, Q.; Li, H.; Jian, S.; Li, N.; Lou, Z. Deep Learning with a Long Short-Term Memory Networks Approach for Rainfall-Runoff Simulation. Water 2018, 10, 1543. [Google Scholar] [CrossRef]
- Hornik, K.; Stinchcombe, M.; White, H. Multilayer Feedforward Networks Are Universal Approximators. Neural Netw. 1989, 2, 359–366. [Google Scholar] [CrossRef]
- Lecun, Y.; Bengio, Y.; Hinton, G. Deep Learning. Nature 2015, 521, 436–444. [Google Scholar] [CrossRef] [PubMed]
- Hunt, K.M.R.; Matthews, G.R.; Pappenberger, F.; Prudhomme, C. Using a Long Short-Term Memory (LSTM) Neural Network to Boost River Streamflow Forecasts over the Western United States. Hydrol. Earth Syst. Sci. 2022, 26, 5449–5472. [Google Scholar] [CrossRef]
- Pham, B.T.; Jaafari, A.; Phong, T.V.; Yen, H.P.H.; Tuyen, T.T.; Luong, V.V.; Nguyen, H.D.; Le, H.V.; Foong, L.K. Improved Flood Susceptibility Mapping Using a Best First Decision Tree Integrated with Ensemble Learning Techniques. Geosci. Front. 2021, 12, 101105. [Google Scholar] [CrossRef]
- Xie, Y.; Sun, W.; Ren, M.; Chen, S.; Huang, Z.; Pan, X. Stacking Ensemble Learning Models for Daily Runoff Prediction Using 1D and 2D CNNs. Expert. Syst. Appl. 2023, 217, 119469. [Google Scholar] [CrossRef]
- Muslim, M.A.; Nikmah, T.L.; Pertiwi, D.A.A.; Subhan; Jumanto; Dasril, Y.; Iswanto. New Model Combination Meta-Learner to Improve Accuracy Prediction P2P Lending with Stacking Ensemble Learning. Intell. Syst. Appl. 2023, 18, 200204. [Google Scholar] [CrossRef]
- Berkhahn, S.; Fuchs, L.; Neuweiler, I. An Ensemble Neural Network Model for Real-Time Prediction of Urban Floods. J. Hydrol. 2019, 575, 743–754. [Google Scholar] [CrossRef]
- Shu, C.; Burn, D.H. Artificial Neural Network Ensembles and Their Application in Pooled Flood Frequency Analysis. Water Resour. Res. 2004, 40. [Google Scholar] [CrossRef]
- Funk, C.; Peterson, P.; Landsfeld, M.; Pedreros, D.; Verdin, J.; Shukla, S.; Husak, G.; Rowland, J.; Harrison, L.; Hoell, A.; et al. The Climate Hazards Infrared Precipitation with Stations—A New Environmental Record for Monitoring Extremes. Sci. Data 2015, 2, 150066. [Google Scholar] [CrossRef] [PubMed]
- Espinosa, L.A.; Portela, M.M.; Gharbia, S. Assessing Changes in Exceptional Rainfall in Portugal Using ERA5-Land Reanalysis Data (1981/1982–2022/2023). Water 2024, 16, 628. [Google Scholar] [CrossRef]
- Moreno-Maroto, J.M.; Alonso-Azcárate, J. Evaluation of the USDA Soil Texture Triangle through Atterberg Limits and an Alternative Classification System. Appl. Clay Sci. 2022, 229, 106689. [Google Scholar] [CrossRef]
- Xu, Y.; Feng, L.; Zhao, D.; Lu, J. Assessment of Landsat Atmospheric Correction Methods for Water Color Applications Using Global AERONET-OC Data. Int. J. Appl. Earth Obs. Geoinf. 2020, 93, 102192. [Google Scholar] [CrossRef]
- Riazi, M.; Khosravi, K.; Shahedi, K.; Ahmad, S.; Jun, C.; Bateni, S.M.; Kazakis, N. Enhancing Flood Susceptibility Modeling Using Multi-Temporal SAR Images, CHIRPS Data, and Hybrid Machine Learning Algorithms. Sci. Total Environ. 2023, 871, 162066. [Google Scholar] [CrossRef]
- Liu, L.; Yi, Y.; Jiang, H.; Ran, Y.; Chen, D. ERA5-Land Overestimates Runoff Coefficient but Underestimates Runoff Recession Rate in the Central Tibetan Permafrost Region. J. Hydrol. Reg. Stud. 2024, 53, 101792. [Google Scholar] [CrossRef]
- Zou, J.; Lu, N.; Jiang, H.; Qin, J.; Yao, L.; Xin, Y.; Su, F. Performance of Air Temperature from ERA5-Land Reanalysis in Coastal Urban Agglomeration of Southeast China. Sci. Total Environ. 2022, 828, 154459. [Google Scholar] [CrossRef]
- Corral-Pazos-de-Provens, E.; Rapp-Arrarás, Í.; Domingo-Santos, J.M. Estimating Textural Fractions of the USDA Using Those of the International System: A Quantile Approach. Geoderma 2022, 416, 115783. [Google Scholar] [CrossRef]
- Dong, G.; Huang, W.; Smith, W.A.P.; Ren, P. A Shadow Constrained Conditional Generative Adversarial Net for SRTM Data Restoration. Remote Sens. Environ. 2020, 237, 111602. [Google Scholar] [CrossRef]
- Chirachawala, C.; Shrestha, S.; Babel, M.S.; Virdis, S.G.P.; Wichakul, S. Evaluation of Global Land Use/Land Cover Products for Hydrologic Simulation in the Upper Yom River Basin, Thailand. Sci. Total Environ. 2020, 708, 135148. [Google Scholar] [CrossRef]
- Crawford, C.J.; Roy, D.P.; Arab, S.; Barnes, C.; Vermote, E.; Hulley, G.; Gerace, A.; Choate, M.; Engebretson, C.; Micijevic, E.; et al. The 50-Year Landsat Collection 2 Archive. Sci. Remote Sens. 2023, 8, 100103. [Google Scholar] [CrossRef]
- Mckeever, V.; Owen, W.; Rallison, R.; Engineers, H. National Engineering Handbook Section 4. Available online: https://irrigationtoolbox.com/NEH/Part%20630%20Hydrology/neh630-ch21.pdf (accessed on 18 September 2024).
- Sujud, L.H.; Jaafar, H.H. A Global Dynamic Runoff Application and Dataset Based on the Assimilation of GPM, SMAP, and GCN250 Curve Number Datasets. Sci. Data 2022, 9, 706. [Google Scholar] [CrossRef] [PubMed]
- Swain, A. Ethiopia, the Sudan, and Egypt: The Nile River Dispute. J. Mod. Afr. Stud. 1997, 35, 675–694. [Google Scholar] [CrossRef]
- Stokes, M.F.; Perron, J.T. Modeling the Evolution of Aquatic Organisms in Dynamic River Basins. J. Geophys. Res. Earth Surf. 2020, 125, e2020JF005652. [Google Scholar] [CrossRef]
- Nyamweya, C.; Lawrence, T.J.; Ajode, M.Z.; Smith, S.; Achieng, A.O.; Barasa, J.E.; Masese, F.O.; Taabu-Munyaho, A.; Mahongo, S.; Kayanda, R.; et al. Lake Victoria: Overview of Research Needs and the Way Forward. J. Great Lakes Res. 2023, 49, 102211. [Google Scholar] [CrossRef]
- Wedajo, G.K.; Lemma, T.D.; Fufa, T.; Gamba, P. Integrating Satellite Images and Machine Learning for Flood Prediction and Susceptibility Mapping for the Case of Amibara, Awash Basin, Ethiopia. Remote Sens. 2024, 16, 2163. [Google Scholar] [CrossRef]
- Ayeni, J.A. Convolutional Neural Network (CNN): The Architecture and Applications. Appl. J. Phys. Sci. 2022, 4, 42–50. [Google Scholar] [CrossRef]
- Lindemann, B.; Müller, T.; Vietz, H.; Jazdi, N.; Weyrich, M. A Survey on Long Short-Term Memory Networks for Time Series Prediction. Procedia CIRP 2021, 99, 650–655. [Google Scholar] [CrossRef]
- Kunešová, M.; Matoušek, J.; Lehečka, J.; Švec, J.; Michálek, J.; Tihelka, D.; Bulín, M.; Hanzlíček, Z.; Řezáčková, M. Ensemble of Deep Neural Network Models for MOS Prediction. In Proceedings of the ICASSP, IEEE International Conference on Acoustics, Speech and Signal Processing-Proceedings, Rhodes Island, Greece, 4–10 June 2023; IEEE: Piscataway, NJ, USA, 2023. [Google Scholar]
- Nagamani, K.; Mishra, A.K.; Meer, M.S.; Das, J. Understanding Flash Flooding in the Himalayan Region: A Case Study. Sci. Rep. 2024, 14, 7060. [Google Scholar] [CrossRef]
- Raymond, F.; Wilhelm, B.; Anquetin, S. Is Precipitation the Main Trigger of Medium-Magnitude Floods in Large Alpine Catchments? Water 2019, 11, 2507. [Google Scholar] [CrossRef]
- Jiang, S.; Tarasova, L.; Yu, G.; Zscheischler, J. Compounding Effects in Flood Drivers Challenge Estimates of Extreme River Floods. Climatology 2024, 10, eadl4005. [Google Scholar] [CrossRef] [PubMed]
- Chen, M.; Zhu, H.; Chen, Y.; Wang, Y. A Novel Missing Data Imputation Approach for Time Series Air Quality Data Based on Logistic Regression. Atmosphere 2022, 13, 1044. [Google Scholar] [CrossRef]
- Towler, E.; Llewellyn, D.; Prein, A.; Gilleland, E. Extreme-Value Analysis for the Characterization of Extremes in Water Resources: A Generalized Workflow and Case Study on New Mexico Monsoon Precipitation. Weather. Clim. Extrem. 2020, 29, 100260. [Google Scholar] [CrossRef]
- Salwey, S.; Coxon, G.; Pianosi, F.; Singer, M.B.; Hutton, C. National-Scale Detection of Reservoir Impacts Through Hydrological Signatures. Water Resour. Res. 2023, 59, e2022WR033893. [Google Scholar] [CrossRef]
- Rahimi, L.; Deidda, C.; De Michele, C. Origin and Variability of Statistical Dependencies between Peak, Volume, and Duration of Rainfall-Driven Flood Events. Sci. Rep. 2021, 11, 5182. [Google Scholar] [CrossRef]
- Ionno, A.; Arsenault, R.; Troin, M.; Martel, J.L.; Brissette, F. Impacts of Climate Change on Flood Volumes over North American Catchments. J. Hydrol. 2024, 630, 130688. [Google Scholar] [CrossRef]
- Niedźwiecki, M.J.; Ciołek, M.; Gańcza, A.; Kaczmarek, P. Application of Regularized Savitzky—Golay Filters to Identification of Time-Varying Systems. Automatica 2021, 133, 109865. [Google Scholar] [CrossRef]
- Du, E.; Vittorio, A.D.; Collins, W.D. Evaluation of Hydrologic Components of Community Land Model 4 and Bias Identification. Int. J. Appl. Earth Obs. Geoinf. 2016, 48, 5–16. [Google Scholar] [CrossRef]
- Du, Y.; Berndtsson, R.; An, D.; Zhang, L.; Hao, Z.; Yuan, F. Hydrologic Response of Climate Change in the Source Region of the Yangtze River, Based on Water Balance Analysis. Water 2017, 9, 115. [Google Scholar] [CrossRef]
- Atefi, M.R.; Miura, H. Detection of Flash Flood Inundated Areas Using Relative Difference in NDVI from Sentinel-2 Images: A Case Study of the August 2020 Event in Charikar, Afghanistan. Remote Sens. 2022, 14, 3647. [Google Scholar] [CrossRef]
- Martinis, S.; Twele, A.; Voigt, S. Towards Operational near Real-Time Flood Detection Using a Split-Based Automatic Thresholding Procedure on High Resolution TerraSAR-X Data. Nat. Hazards Earth Syst. Sci. 2009, 9, 303–314. [Google Scholar] [CrossRef]
- Razavi-Termeh, S.V.; Seo, M.B.; Sadeghi-Niaraki, A.; Choi, S.M. Flash Flood Detection and Susceptibility Mapping in the Monsoon Period by Integration of Optical and Radar Satellite Imagery Using an Improvement of a Sequential Ensemble Algorithm. Weather. Clim. Extrem. 2023, 41, 100595. [Google Scholar] [CrossRef]
- Albertini, C.; Gioia, A.; Iacobellis, V.; Manfreda, S. Detection of Surface Water and Floods with Multispectral Satellites. Remote Sens. 2022, 14, 6005. [Google Scholar] [CrossRef]
- Ghimire, S.; Yaseen, Z.M.; Farooque, A.A.; Deo, R.C.; Zhang, J.; Tao, X. Streamflow Prediction Using an Integrated Methodology Based on Convolutional Neural Network and Long Short-Term Memory Networks. Sci. Rep. 2021, 11, 17497. [Google Scholar] [CrossRef] [PubMed]
- Yuan, S.; Wang, C.; Mu, B.; Zhou, F.; Duan, W. Typhoon Intensity Forecasting Based on LSTM Using the Rolling Forecast Method. Algorithms 2021, 14, 83. [Google Scholar] [CrossRef]
- El-Hames, A.S. An Empirical Method for Peak Discharge Prediction in Ungauged Arid and Semi-Arid Region Catchments Based on Morphological Parameters and SCS Curve Number. J. Hydrol. 2012, 456–457, 94–100. [Google Scholar] [CrossRef]
















| Product | Variables | Spatiotemporal Resolution | Reference |
|---|---|---|---|
| CHIRPS | Rainfall | 0.05° × 0.05° (daily) | Riazi et al. [45] |
| ERA5-Land Daily | Runoff | 0.1° × 0.1° (daily) | Liu et al. [46] |
| ERA5-Land Daily | Temperature | 0.1° × 0.1° (daily) | Zou et al. [47] |
| USDA system | Soil texture | 0.002° × 0.002° (yearly) | Corral-Pazos-de-Provens et al. [48] |
| SRTM digital elevation data v4 | DEM | 0.0008° × 0.0008° | Dong et al. [49] |
| MCD12Q1 V6.1 | Land cover | 0.004° × 0.004° (yearly) | Chirachawala et al. [50] |
| Landsat 7 level 2 | SR_Bands | 0.00027° × 0.00027° (16 days) | Crawford et al. [51] |
| Year | Flooded Area (km2) | Total Nile Basin Area (km2) | Percentage (%) of Flooded Area in the Nile Basin | Gamma Return Period (Years) | Log-Normal Return Period (Years) |
|---|---|---|---|---|---|
| 2003 | 6224 | 3,068,777 | 0.2 | 29 | 31 |
| 2001 | 103,802 | 3,068,777 | 3.4 | 25 | 26 |
| 2014 | 316,565 | 3,068,777 | 10.3 | 10 | 11 |
Disclaimer/Publisher’s Note: The statements, opinions and data contained in all publications are solely those of the individual author(s) and contributor(s) and not of MDPI and/or the editor(s). MDPI and/or the editor(s) disclaim responsibility for any injury to people or property resulting from any ideas, methods, instructions or products referred to in the content. |
© 2024 by the authors. Licensee MDPI, Basel, Switzerland. This article is an open access article distributed under the terms and conditions of the Creative Commons Attribution (CC BY) license (https://creativecommons.org/licenses/by/4.0/).
Share and Cite
Sseguya, F.; Jun, K.-S. Deep Learning Ensemble for Flood Probability Analysis. Water 2024, 16, 3092. https://doi.org/10.3390/w16213092
Sseguya F, Jun K-S. Deep Learning Ensemble for Flood Probability Analysis. Water. 2024; 16(21):3092. https://doi.org/10.3390/w16213092
Chicago/Turabian StyleSseguya, Fred, and Kyung-Soo Jun. 2024. "Deep Learning Ensemble for Flood Probability Analysis" Water 16, no. 21: 3092. https://doi.org/10.3390/w16213092
APA StyleSseguya, F., & Jun, K.-S. (2024). Deep Learning Ensemble for Flood Probability Analysis. Water, 16(21), 3092. https://doi.org/10.3390/w16213092

