Establishment of an Evaluation Indicator System and Evaluation Criteria for the Weihe River Ecological Watersheds
Abstract
1. Introduction
2. Methods
2.1. Framework for Constructing an Eco-Watershed Evaluation Indicator System
2.2. Methodology for Constructing an Eco-Watershed Evaluation Index System
2.2.1. Principles for Selecting Eco-Watershed Evaluation Indicators
- (1)
- Principle of structural integrity.
- (2)
- Principle of scientificity and accessibility.
- (3)
- Principle of combining quantitative and qualitative data.
- (4)
- The principle of conforming to the characteristics of evaluation watersheds and regions.
2.2.2. Process of Screening Indicators for the Evaluation of the Weihe River Eco-Watershed
- (1)
- Initial screening of indicators
- (2)
- Finalization of evaluation indicators
- (3)
- Establishment of evaluation index system standard of Weihe River eco-watershed
2.3. Integrated Evaluation Methodology and Coupled Coordination Model
2.3.1. Percentage of Single Indicators
2.3.2. Determination of Weights
2.3.3. Integrated Evaluation Model
2.3.4. Coupled Coordination Degree Model
3. Study Area and Data
3.1. Overview of the Weihe River Watershed
3.2. Data Sources
4. Results and Discussions
4.1. Analysis of Results
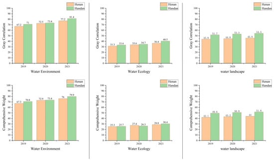
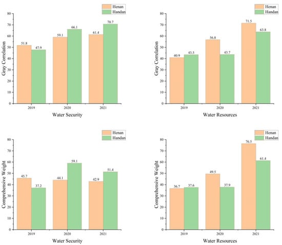
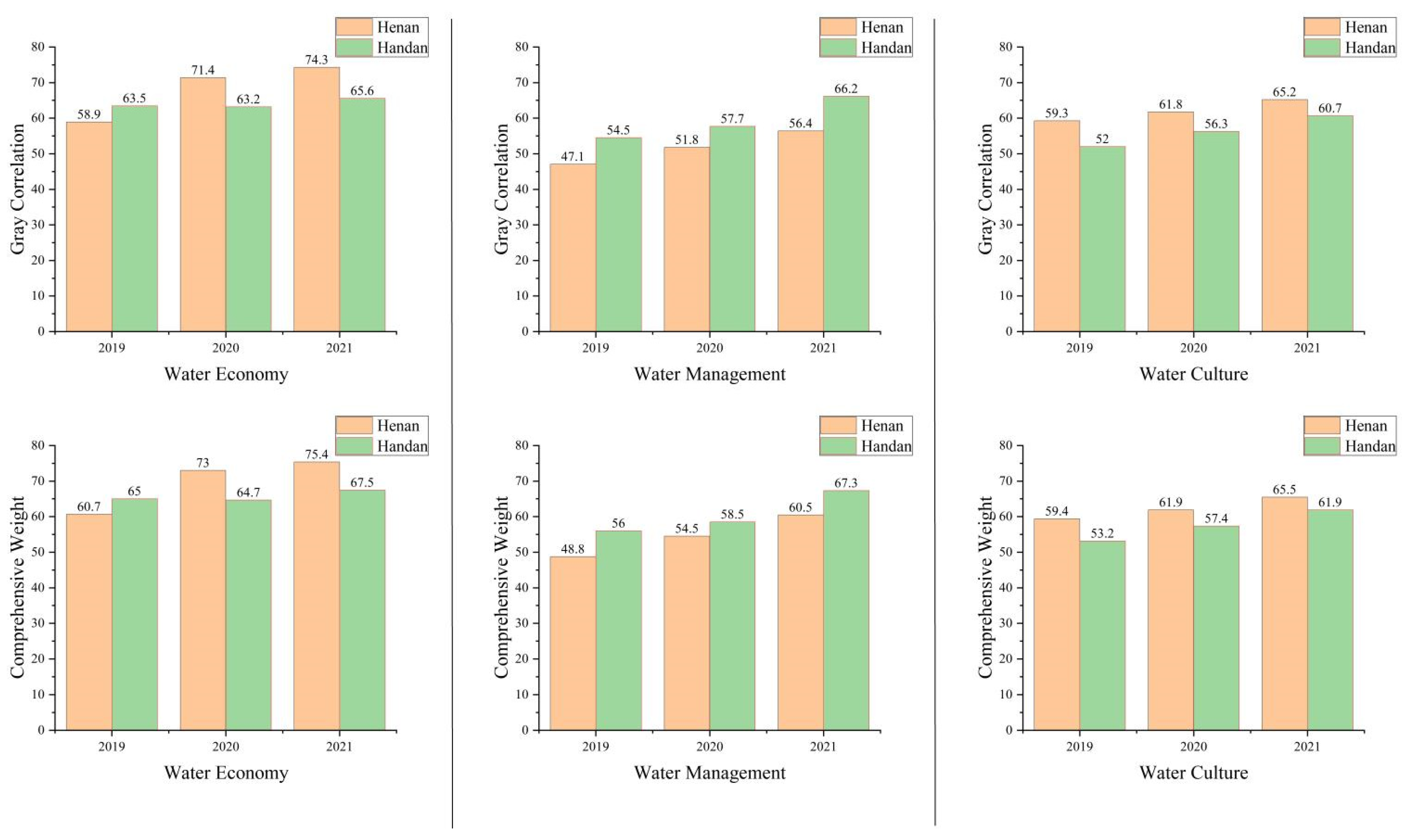
4.1.1. Synthetic Assessment
- (1)
- Watershed water resources subsystem
- (2)
- Socio-economic subsystem
- (3)
- Ecological subsystem
- (4)
- Ecological watersheds
4.1.2. Evaluation of Coupling and Coupling Coordination
4.2. Discussion
5. Conclusions
Author Contributions
Funding
Data Availability Statement
Conflicts of Interest
References
- Wang, G.; Mang, S.; Cai, H.; Liu, S.; Zhang, Z.; Wang, L.; Innes, J.L. Integrated watershed management: Evolution, development and emerging trends. J. For. Res. 2016, 27, 967–994. [Google Scholar] [CrossRef]
- Alberti, M.; Marzluff, J.M.; Shulenberger, E.; Bradley, G.; Ryan, C.; Zumbrunnen, C. Integrating humans into ecology: Opportunities and challenges for studying urban ecosystems. Bioscience 2003, 12, 1169–1179. [Google Scholar] [CrossRef]
- Young, O.R.; Berkhout, F.; Gallopin, G.C.; Janssen, M.A.; Ostrom, E.; Van der Leeuw, S. The globalization of socio-ecological systems: An agenda for scientific research. Glob. Environ. Chang. 2006, 16, 304–316. [Google Scholar] [CrossRef]
- Wu, E. River Health Assessment: Theory, Methodology and Practice. Ph.D. Thesis, East China Normal University, Shanghai, China, 2008. [Google Scholar] [CrossRef]
- Jargal, N.; Kim, J.E.; Ariunbold, B.; An, K.G. Ecological river health assessments, based on fish ordination analysis of ecological indicator entities and the biological integrity metrics, responding to the chemical water pollution. Environ. Sci. Pollut. Res. 2024, 31, 28306–28320. [Google Scholar] [CrossRef]
- Shi, T.; Yang, S.; Zhang, W.; Zhou, Q. Coupling coordination degree measurement and spatiotemporal heterogeneity between economic development and ecological environment—Empirical evidence from tropical and subtropical regions of China. J. Clean. Prod. 2019, 244, 118739. [Google Scholar] [CrossRef]
- Zuo, Q.; Hao, M.; Zhang, Z.; Jiang, L. Assessment of the Happy River Index as an Integrated Index of River Health and Human Well-Being: A Case Study of the Yellow River, China. Water 2020, 11, 3064. [Google Scholar] [CrossRef]
- Huang, Q.; Deng, M.; Chang, J.; Bai, T. Building the Theoretical System of Ecological Watershed and Supporting the Construction of Ecological Civilization. Yellow River 2020, 9, 10–15. [Google Scholar]
- Peng, H. Study on Evaluation Index System Establishment and Health Assessment of Qijiang River. J. Water Resour. Res. 2016, 5, 120–126. [Google Scholar] [CrossRef]
- Ahmed, T.; Nisar, U.B.; Khan, S. Efects of water qualities of Kabul River on health, agriculture and aquatic life under changing climate. Desalination Water Treat. 2022, 252, 319–331. [Google Scholar] [CrossRef]
- Feng, Y.; Zhu, A.; Liu, P.; Liu, Z. Coupling and coordinated relationship of water utilization, industrial development and ecological welfare in the Yellow River Basin, China. J. Clean. Prod. 2022, 379, 134824. [Google Scholar] [CrossRef]
- Zhang, X.; Meng, Y.; Xia, J.; Wu, B.; She, D. A combined model for river health evaluation based upon the physical, chemical, and biological elements. Ecol. Indic. 2018, 84, 416–424. [Google Scholar] [CrossRef]
- Wang, Y.; Zhao, S.; Sun, M.; Lv, X.; Cai, W.; Xu, X.; Lei, K. Assessment of river ecosystem health in TianJing City, China: Index of ecological integrity and water comprehensive pollution approach. Front. Earth Sci. 2021, 15, 936–946. [Google Scholar] [CrossRef]
- Baumert, H.Z.; Stoyan, G.; Apel, H.; Nguyen, D.V. On water-quality alarm models, with special regard to the model ALAMEK for the Hau River network (Mekong, Vietnam). In Proceedings of the Environmental Pollution and Public Health (EPPH 2015), Beijing, China, 10–12 April 2015. [Google Scholar] [CrossRef]
- An, K.G.; Park, S.S.; Shin, J.Y. An evaluation of a river health using the index of biological integrity along with relations to chemical and habitat conditions. Environ. Int. 2002, 28, 411–420. [Google Scholar] [CrossRef]
- Ding, Y.; Tang, D.; Dai, H.; Wei, Y. Human-Water Harmony Index: A New Approach to Assess the Human Water Relationship. Water Resour. Manag. 2014, 28, 1061–1077. [Google Scholar] [CrossRef]
- Lv, C.; Wei, F. Digging Deeper Into the Water Conservation Potential to Build a Happy River Together—Interview with Wang Hao, Academician of the Chinese Academy of Engineering. China Water Resour. 2020, 6, 1–4. [Google Scholar]
- Fang, C.; Bao, C. The coupling model of water-ecology-economy coordinated development and its application in heihe river Watershed. Avta Geogr. Sin.-Chin. Ed. 2004, 59, 790–798. [Google Scholar]
- Norris, R.H.; Thoms, M.C. What is river health? Freshw. Biol. 2010, 41, 197–209. [Google Scholar] [CrossRef]
- Wan, X.; Yang, T.; Zhang, Q.; Yan, X.; Hu, C.; Sun, L.; Zheng, Y. A novel comprehensive model of set pair analysis with extenics for river health evaluation and prediction of semi-arid Watershed—A case study of Wei River Watershed, China. Sci. Total Environ. 2021, 775, 145845. [Google Scholar] [CrossRef]
- Sepulveda, A.J.; Hoegh, A.; Gage, J.A.; Caldwell Eldridge, S.L.; Birch, J.M.; Stratton, C.; Barnhart, E.P. Integrating Environmental DNA Results with Diverse Data Sets to Improve Biosurveillance of River Health. Front. Ecol. Evol. 2021, 9, 620715. [Google Scholar] [CrossRef]
- Kim, S.; Lee, S.W.; Park, S.R.; Shin, Y.; An, K. Socioeconomic Risks and Their Impacts on Ecological River Health in South Korea: An Application of the Analytic Hierarchy Process. Sustainability 2021, 13, 6287. [Google Scholar] [CrossRef]
- Cheng, K.; Yao, J.; Ren, Y. Evaluation of the coordinated development of regional water resource systems based on a dynamic coupling coordination model. Water Sci. Technol. 2019, 19, 565–573. [Google Scholar] [CrossRef]
- Bergh, J.; Nijkamp, P. Operationalizing sustainable development: Dynamic ecological economic models. Ecol. Econ. 1991, 4, 11–33. [Google Scholar] [CrossRef]
- Van den Bergh, J.C.J.M.; Verbruggen, H. Spatial sustainability, trade and indicators: An evaluation of the ‘ecological footprint’. Ecol. Econ. 1999, 29, 61–72. [Google Scholar] [CrossRef]
- Vollmer, D.; Shaad, K.; Souter, N.J.; Farrell, T.; Dudgeon, D.; Sullivan, C.A.; Regan, H.M. Integrating the social, hydrological and ecological dimensions of freshwater health: The Freshwater Health Index. Sci. Total Environ. 2018, 627, 304–313. [Google Scholar] [CrossRef]
- Cui, D.; Chen, X.; Xue, Y.; Li, R.; Zeng, W. An integrated approach to investigate the relationship of coupling coordination between social economy and water environment on urban scale—A case study of Kunming. J. Environ. Manag. 2019, 234, 189–199. [Google Scholar] [CrossRef] [PubMed]
- Tan, Y.; Dong, Z.; Guzman, S.M.; Wang, X.; Yan, W. Modeling the integrated framework of complex water resources system considering economic development, ecological protection, and food production: A practical tool for water management. Hydrol. Earth Syst. Sci. Discuss. 2020, 461, 1–37. [Google Scholar]
- Zhao, L.; Zha, Y.; Zhuang, Y.; Liang, L. Data envelopment analysis for sustainability evaluation in China: Tackling the economic, environmental, and social dimensions. Eur. J. Oper. Res. 2019, 275, 1083–1095. [Google Scholar] [CrossRef]
- Li, W.; Yi, P. Assessment of city sustainability—Coupling coordinated development among economy, society and environment. J. Clean. Prod. 2020, 256, 120453. [Google Scholar] [CrossRef]
- Liu, Y.; Yang, L.; Jiang, W. Coupling coordination and spatiotemporal dynamic evolution between social economy and water environmental quality—A case study from Nansi Lake catchment, China. Ecol. Indic. 2020, 119, 106870. [Google Scholar] [CrossRef]
- Luo, Z.; Zuo, Q. Evaluating the coordinated development of social economy, water, and ecology in a heavily disturbed Watershed based on the distributed hydrology model and the harmony theory. J. Hydrol. 2019, 574, 226–241. [Google Scholar] [CrossRef]
- Zhang, J.; Jin, X.; Yan, D.; Cui, C. Study on the Evolution Characteristics of Social Development System in the Yellow River Watershed under the Framework of Happiness River. Yellow River 2021, 43, 6. [Google Scholar]
- Chen, M.L.; Wang, J.; Qiao, G. Recognition and Reflection on the Connotation of “Happy River” And The Evaluation Index System. Water Resour. Dev. Study 2020, 1, 3–5. [Google Scholar]
- Research Group of the Happy River. Analysis of the connotation and index system for the Happy River. China Water Resour. 2020, 23, 4. [Google Scholar]
- Zuo, Q.; Hao, M.; Ma, J.; Tao, J. Happy River: The Concept, Connotation and Judgement Criteria. Yellow River 2020, 42, 1–5. [Google Scholar]
- Tang, K. Reflections on the Concept of “Happy River” and Evaluation Methods. China Water Resour. 2020, 6, 2. [Google Scholar]
- Liu, Y.; Dong, W.; Huang, Q. Study on Health Comprehensive Evaluation of Weihe River Ecological Watershed. Yellow River 2023, 45, 96–100. [Google Scholar]
- China Institute of Water Resources and Hydropower Research. China River and Lake Happiness Index Report 2020; China Water & Power; Press: Beijing, China, 2021. [Google Scholar]
- Geng, L.; Liu, H.; Zhong, H.; Liu, C. Indicators and Criteria for Evaluation of Healthy Rivers. J. Hydraul. Eng. 2006, 3, 3–8. [Google Scholar] [CrossRef]
- Yang, W. Research on the Theoretical Framework and Diagnostic System of River Health. Ph.D. Thesis, Hohai University, Nanjing, China, 2007. [Google Scholar]
- Gao, X.P.; Zhao, S.X.; Zhang, C.; Tu, X.Y. Index System and Method for Assessing the Health Status of River. J. Hydraul. Eng. 2009, 40, 962–968. [Google Scholar] [CrossRef]
- Lai, H.L.; Wang, D.X.; Wu, D.F. Comprehensive Assessment Indicator System for Water Resources and Its Development and Use. Adv. Water Sci. 2006, 17, 95–101. [Google Scholar]
- Jiang, X.; Liu, Y.; Xu, S.; Qi, W. A Gateway to Successful River Restorations: A Pre-Assessment Framework on the River Ecosystem in Northeast China. Sustainability 2018, 10, 1029. [Google Scholar] [CrossRef]
- Zuo, Q.; Zhang, Y.; Lin, P. Index system and quantification method for human-water harmony. J. Hydraul. Eng. 2008, 39, 440–447. [Google Scholar]
- Fu, J.; Zang, C.; Zhang, J. Economic and resource and environmental carrying capacity trade-off analysis in the Haihe River Watershed in China. J. Clean. Prod. 2020, 270, 122271. [Google Scholar] [CrossRef]
- Wang, Y.; Peng, S.; Shang, W.; Fan, S.; Ge, L.; Fang, H. Key Technology for Eco-Efficiency Assessment of Large-Scale Water Conservancy Hub Projects; China Water & Power; Press: Beijing, China, 2021. [Google Scholar]
- Wang, Q.; Yuan, X.; Cheng, X.; Mu, R.; Zuo, J. Coordinated development of energy, economy and environment subsystems—A case study. Ecol. Indic. 2014, 46, 514–523. [Google Scholar] [CrossRef]
- Wang, Y.; Geng, Q.; Si, X.; Kan, L. Coupling and coordination analysis of urbanization, economy and environment of Shandong Province, China. Environ. Dev. Sustain. 2021, 23, 10397–10415. [Google Scholar] [CrossRef]
- Wang, Q.; Wei, Y.g; Zhang, Z.; Tang, X. Research on River Health Evaluation Indicators Study in Arid and Semi-arid areas. Ecol. Sci. 2015, 6, 8. [Google Scholar] [CrossRef]
- Wang, J.; Wei, X.; Guo, Q. A three-dimensional evaluation model for regional carrying capacity of ecological environment to social economic development: Model development and a case study in China. Ecol. Indic. 2018, 89, 348–355. [Google Scholar] [CrossRef]
- Weilert, T.E. Urban Riparian Areas: Ecological and Streamside-Ordinance Assessments. Ph.D. Thesis, University of Missouri-Kansas City, Kansas City, MO, USA, 2018. [Google Scholar]
- Wang, Q.; Xu, Z.; Yuan, Q.; Yuan, X.; Zuo, J.; Song, Y.; Wang, M. Evaluation and countermeasures of sustainable development for urban energy-economy-environment system: A case study of in China. Sustain. Dev. 2020, 28, 1663–1677. [Google Scholar] [CrossRef]
- Yan, Y.; Wang, C.; Quan, Y.; Wu, G.; Zhao, J. Urban sustainable development efficiency towards the balance between nature and human well-being: Connotation, measurement, and assessment. J. Clean. Prod. 2018, 178, 67–75. [Google Scholar] [CrossRef]
- Pan, A.; Wang, Q.; Yang, Q. Assessment on the coordinated development oriented to Green City in China. Ecol. Indic. 2020, 116, 106486. [Google Scholar] [CrossRef]
- Li, W.; Yi, P.; Zhang, D.; Zhou, Y. Assessment of coordinated development between social economy and ecological environment: Case study of resource-based cities in Northeastern China. Sustain. Cities Soc. 2020, 59, 102208. [Google Scholar] [CrossRef]
- Liao, S.; Wu, Y.; Wong, S.W.; Shen, L. Provincial perspective analysis on the coordination between urbanization growth and resource environment carrying capacity (RECC) in China. Sci. Total Environ. 2020, 730, 138964. [Google Scholar] [CrossRef]
- Hao, L.N.; Umar, M.; Khan, Z.; Ali, W. Green Growth and Low Carbon Emission in G7 Countries: How Critical the Network of Environmental Taxes, Renewable Energy and Human Capital Is? Sci. Total Environ. 2021, 752, 141853. [Google Scholar] [CrossRef]
- Sadat, M.A.; Guan, Y.; Zhang, D.; Shao, G.; Cheng, X.; Yang, Y. The associations between river health and water resources management lead to the assessment of river state. Ecol. Indic. 2020, 109, 105814. [Google Scholar] [CrossRef]
- Pu, J.W.; Zhao, X.Q.; Miao, P.P.; Li, S.N.; Tan, K.; Wang, Q.; Tang, W. Integrating multisource RS data and GIS techniques to assist the evaluation of resource-environment carrying capacity in karst mountainous area. J. Mt. Sci. 2020, 17, 2528–2547. [Google Scholar] [CrossRef]
- Liu, C. Research on Ecological Planning Indicator System and Construction of Circular Economy System—Linyi Eco-City Planning as an Example. Master’s Thesis, Ocean University of China, Qingdao, China, 2024. [Google Scholar] [CrossRef]
- Sun, Q.; Zhang, X.; Zhang, H.; Niu, H. Coordinated development of a coupled social economy and resource environment system: A case study in Henan Province, China. Environ. Dev. Sustain. 2018, 20, 1385–1404. [Google Scholar] [CrossRef]
- Kong, H.; Lu, Y.; Dong, X.; Zeng, S. Quantification of the coordination degree between Dianchi lake protection and watershed social-economic development: A scenario-based analysis. Sustainability 2020, 13, 116. [Google Scholar] [CrossRef]
- Wang, X.; Yu, M.; Sun, D.; Liu, G. Regional water demand forecasting based on shared socio-economic pathways in the Zhanghe River Basin. Water Policy 2023, 25, 908–926. [Google Scholar] [CrossRef]







| Target Level | Three-Major- Subsystem Level | Eight-Dimension Level | Policy Planning Level | |
|---|---|---|---|---|
| Level 1 | Level 2 | |||
| Eco- watershed | Watershed Water Resources subsystem | water security | Construction and management of disaster prevention and mitigation engineering systems | Engineering flood control measures |
| Non-engineering flood control measures | ||||
| Emergency response capacity for disaster defense | Flood monitoring | |||
| Early warning capability | ||||
| Losses from droughts and floods | ||||
| Storm water monitoring | ||||
| water resources | Scale of water resources in the Watershed | Surface water resources | ||
| Groundwater resources | ||||
| Systematic optimization of water allocation | Basic ecological water | |||
| Water for production | ||||
| Security of water supply in urban and rural areas | ||||
| Water-saving society | Water conservation in agriculture | |||
| Industrial water conservation | ||||
| Water conservation in urban and rural areas | ||||
| Socio- economic subsystem | water economy | Development of the primary sector | ||
| Development of the secondary sector | ||||
| Development of the tertiary sector | ||||
| Comprehensive state of economic development | Integrated water use benefits | |||
| Water markets | ||||
| Integrated economic development | ||||
| Financial income and expenditure | ||||
| Hydroelectric power | ||||
| water management | Status of watershed management | Population status | ||
| Status of infrastructure | ||||
| Watershed management measures | Administration management | |||
| Land management | ||||
| Assurance management | ||||
| water culture | Systematic protection of historical and cultural heritage | |||
| Building a modern cultural industry chain | ||||
| Laws and regulations | ||||
| Public survey | ||||
| Ecological subsystem | water environment | Atmospheric conditions in the Watershed | ||
| Soil conditions in the watershed | ||||
| Watershed waters | Composite water quality index | |||
| Composite pollution index | ||||
| water ecology | Biological indicators | |||
| Vegetation indicators | ||||
| In-stream abiotic ecological indicators | ||||
| Off-channel abiotic ecological indicators | ||||
| water landscape | River and riparian conditions | |||
| Landscape Amenity Properties | ||||
| Landscape value | ||||
| level of satisfaction | ||||
| Level 1 Indicators | Level 2 Indicators | Level 3 Indicators | Combined Weights | Gray Correlation Weights | Characteristic | Unit | Connotation of Indicators |
|---|---|---|---|---|---|---|---|
| Watershed Water Resources subsystem (AB) 0.32695 | Water security (A) Combined weights: 0.19505 Gray correlation weights: 0.129 | 1. Achievement rate of flood control engineering measures (A1) | 0.1057 | 0.1206 | + | % | Levee flood control standard compliance rate, reservoir flood control standard compliance rate and flood storage area flood control standard compliance rate of three tertiary indicators comprehensive assessment, weighted 0.4, 0.4, 0.2, respectively [39]. |
| 2. Achievement rate of flood control non-engineering measures (A2) | 0.04775 | 0.1208 | + | % | The compliance rate of flood control non-engineering measures mainly refers to the scoring of annual engineering management assessment information, reflecting the management of flood control engineering measures. | ||
| 3. Rate of change of flood capacity (A3) | 0.0842 | 0.1213 | + | % | Interannual flow change value/flow in the base year (same cross-section, same water level) × 100%, interannual change in river flooding capacity, reflecting progress in clearing water-blocking obstacles and river flooding standards [40]. | ||
| 4. Flood resilience (A4) | 0.0465 | 0.1219 | + | The weights of economic strength of the watershed, development level, rescue and relief capacity, and post-disaster recovery action power are 0.3, 0.2, 0.25, and 0.25, respectively. the expert assigns points [39]. | |||
| 5. Number of rainstorms with daily rainfall greater than 50 mm (A5) | 0.3534 | 0.1334 | ± | Day | Reflects concentrated regional rainfall and is closely related to rain and flooding [41]. | ||
| 6. Flood warning and forecasting capacity (A6) | 0.14525 | 0.1212 | + | Reflects the establishment of digital twins in watersheds and the implementation of the “four preemptions” policy [40]. | |||
| 7. Quantity of rainfall (A7) | 0.12325 | 0.1279 | ± | mm | The depth of the water layer, in millimeters, that lands on the ground at a point or on a unit area within a certain period of time, which visually reflects the rainfall situation in the watershed [42]. | ||
| 8. Aridity index (A8) | 0.09395 | 0.1329 | − | The aridity index is the ratio of annual evaporation to annual rainfall [43]. | |||
| Water resources (B) Combined weights: 0.1319 Gray correlation weights: 0.1336 | 9. modulus of water yield (B1) | 0.2855 | 0.1225 | + | 104 m3·km−2 | Modulus of water yield = total water resources/calculated area, reflecting total water resources production and distribution [43]. | |
| 10. Groundwater production modulus (B2) | 0.082 | 0.1199 | + | 104 m3·km−2 | Groundwater production modulus = total groundwater resources/calculated area, reflecting the total amount of groundwater resources, their distribution and the amount that can be extracted [44]. | ||
| 11. Proportion of water used for industrial purposes (B3) | 0.0741 | 0.1261 | − | % | Industrial water consumption as a percentage of total water supply, reflecting industrial water use and water conservation [43]. | ||
| 12. Proportion of water used for agricultural irrigation (B4) | 0.05735 | 0.1224 | − | % | Proportion of water used for agricultural irrigation to total water supply, reflecting the use of water for agricultural irrigation [44]. | ||
| 13. Average acre-feet of water used for farm irrigation (B5) | 0.08275 | 0.1277 | − | m3·km−2 | Total water resources available/total area of cultivated land, reflecting the relationship between water resources and the carrying capacity of cultivated land [45]. | ||
| 14. Proportion of water used for urban integrated living (B6) | 0.1315 | 0.1321 | − | % | The proportion of the town’s combined domestic water use to the total water supply, reflecting the town’s combined water use [46]. | ||
| 15. Per capita integrated water use (B7) | 0.1411 | 0.1274 | − | m3/per | The level of regional per capita water supply, reflecting regional per capita water use efficiency and water conservation [41]. | ||
| 16. Proportion of water used for ecological purposes (B8) | 0.1457 | 0.122 | + | % | The ratio of ecological water use to total water supply, reflecting comprehensive ecological water use [47]. | ||
| Socio- economic subsystem (CDE) 0.29515 | Water economy (C) Combined weights: 0.11285 Gray correlation weights: 0.1213 | 17. Percentage of primary sector (C1) | 0.0957 | 0.1205 | − | % | Primary sector as a percentage of GDP, reflecting the development of the primary sector [48]. |
| 18. Percentage of secondary industry (C2) | 0.10535 | 0.1221 | − | % | The ratio of the secondary sector to GDP, reflecting the development of the secondary sector [49]. | ||
| 19. Water consumption of 10,000 yuan of industrial added value (C3) | 0.1339 | 0.1388 | − | m3/104 RMB | Reflecting the level of water consumption of 10,000 yuan of industrial added value, industrial water consumption (m3)/industrial added value (10,000 yuan) [50]. | ||
| 20. Percentage of tertiary sector (C4) | 0.10405 | 0.1203 | + | % | The ratio of the tertiary sector to GDP, reflecting the development of the tertiary sector [51]. | ||
| 21. Water consumption per 10,000 GDP (C5) | 0.14575 | 0.1202 | − | m3/104 RMB | Reflects the level of water use in the watershed in terms of 10,000 yuan of gross domestic product (GDP) [52]. | ||
| 22. GDP per capita (C6) | 0.1341 | 0.1361 | + | 104 RMB/per | Reflects the per capita share of GDP in the watershed [53]. | ||
| 23. Engel’s coefficient (C7) | 0.15545 | 0.12 | − | An indicator of the level of standard of living, amount spent on food ÷ total amount spent × 100% [54]. | |||
| 24. Investment in water, environment and utilities management as a share of GDP (C8) | 0.1257 | 0.122 | + | % | Reflect investment in water-related infrastructure in the watershed [48]. | ||
| Water management (D) Combined weights: 0.0976 Gray correlation weights: 0.1242 | 25. Regional population density (D1) | 0.1109 | 0.1212 | ± | per·km−2 | Population density = total population/total area, reflecting regional economic management [55]. | |
| 26. Water resources monitoring capacity (D2) | 0.14985 | 0.1188 | + | − | Reflecting the establishment of water resources monitoring infrastructure and digital platforms in the watershed [7]. | ||
| 27. urbanization level (D3) | 0.0833 | 0.1179 | + | % | The urbanization rate is a measure of urbanization, i.e., the share of urban population in the total population [30]. | ||
| 28. Public green space per capita (D4) | 0.0789 | 0.14 | + | m2/per | The average area of public green space occupied by urban residents is an important indicator of the quality of life and living environment of urban residents [56]. | ||
| 29. Degree of assurance of water supply (D5) | 0.19915 | 0.1314 | + | % | Percentage of the number of days in a year on which the day-to-day level or flow of a river or lake reaches the guaranteed level or flow of the water supply as a percentage of the total number of days in the year [38]. | ||
| 30. Ward beds per 1000 population (D6) | 0.06355 | 0.1191 | + | /1000 per | Total number of hospital beds in the watershed/total population of the watershed [57]. | ||
| 31. Per capita expenditure on education (D7) | 0.12735 | 0.1331 | + | RMB | Level of basic investment in education per capita in the watershed, reflecting the state of educational development [48]. | ||
| 32. Water penetration rate (D8) | 0.187 | 0.1185 | + | % | Refers to the number of people using piped water in the watershed as a percentage of the total population. Indicator reflecting the civilized state of people’s lives [28]. | ||
| Water culture (E) Combined weights: 0.0847 Gray correlation weights: 0.1236 | 33. Historic Water Cultural Heritage Excavation and Preservation Index (E1) | 0.2002 | 0.2747 | + | Quantity and quality of historic water culture development and preservation in the watershed, with reference to expert opinion [35]. | ||
| 34. Modern Water Culture Creation and Innovation Index (E2) | 0.25425 | 0.2472 | + | Quantity and quality of modern water cultural product construction in the watershed, with reference to expert opinion [58]. | |||
| 35. Public Water Culture Satisfaction Index (E3) | 0.26925 | 0.226 | + | Watershed Public Water Culture Satisfaction Questionnaire [59]. | |||
| 36. Degree of construction of water laws and regulations (E4) | 0.2763 | 0.252 | + | Watershed Public Questionnaire [7]. | |||
| Ecological subsystem (FGH) 0.37795 | Water environment (F) Combined weights: 0.1837 Gray correlation weights: 0.1185 | 37. Percentage of water categories 1–3 (F1) | 0.1317 | 0.128 | + | % | Proportion of water monitoring sections in categories 1–3 out of the total number of sections monitored [35]. |
| 38. poor quality five sections (F2) | 0.1645 | 0.119 | − | % | Proportion of poorly classified water monitoring sections to the total number of sections monitored [35]. | ||
| 39. Comprehensive status of surface water quality (F3) | 0.16735 | 0.1206 | + | Integrated water quality evaluation of monitoring sections [60]. | |||
| 40. Water quality of urban centralized drinking water sources (F4) | 0.0859 | 0.1285 | + | Comprehensive assessment of water quality in drinking water sources [61]. | |||
| 41. Harmless treatment of urban domestic waste (F5) | 0.10975 | 0.1206 | + | % | Amount of non-hazardous domestic waste disposed of/total amount of domestic waste [57]. | ||
| 42. Overall air quality (F6) | 0.1513 | 0.1282 | + | Comprehensive air quality assessment of monitoring stations [62]. | |||
| 43. Sewage treatment rate (F7) | 0.09545 | 0.1364 | + | % | Total sewage treated/total sewage generated [63] | ||
| 44. Extent of unauthorized exploitation of the shoreline of waters (F8) | 0.09405 | 0.1187 | − | The rate of standardized construction of river outfalls, the reasonable degree of layout of river and lake outfalls, and the situation of “four chaotic” rivers and lakes, with weights of 0.2, 0.2, and 0.6 respectively [38]. | |||
| Water ecology (G) Combined weights: 0.1087 Gray correlation weights: 0.1198 | 45. Status of waterbirds (G1) | 0.09145 | 0.1251 | + | Combined with on-site observation of the species and number of birds recorded in the river and lake as the basis for assigning points [38]. | ||
| 46. Fish retention index (G2) | 0.1376 | 0.1274 | + | Status of differences between current fish species counts and historical reference point fish species counts [38]. | |||
| 47. Status of aquatic plant communities (G3) | 0.0702 | 0.1261 | + | The aquatic plant community includes aquatic plants, submerged plants, floating leaves and floating plants, and wet plants. A survey of aquatic plant species, abundance, and invasive status of exotic species was conducted in the cross section area [38]. | |||
| 48. Vertical continuity (G4) | 0.0519 | 0.1303 | + | Evaluation of the number of buildings or facilities affecting the connectivity of the river within the unit length of the river, with ecological flow or ecological water security, overfishing facilities and normal operation is not included in the statistical scope [38]. | |||
| 49. Degree of variability in flow processes (G5) | 0.1012 | 0.1259 | + | % | Calculation of the average deviation of the measured monthly runoff from the natural monthly runoff for the evaluation year [38]. | ||
| 50. average monthly traffic (G6) | 0.29245 | 0.1156 | + | m3·s−1 | Measured average monthly flow values that reflect the overall annual flow of the river [38]. | ||
| 51. Riparian width index (G7) | 0.1098 | 0.1248 | + | % | Refers to the proportion of riparian length per unit of stream length that meets the width requirement [38]. | ||
| 52. Level of ecological flow satisfaction (G8) | 0.1454 | 0.1249 | + | % | The number of days meeting ecological flows as a percentage of the number of days in each water period [38]. | ||
| Water landscape (H) Combined weights: 0.08555 Gray correlation weights: 0.1299 | 57. Availability rate (H1) | 0.28275 | 0.254 | + | % | The number of days meeting navigational requirements for water depth as a percentage of the year [44]. | |
| 58. Degree of naturalness of bank slopes (H2) | 0.27105 | 0.2539 | + | % | Includes river (lake) bank stability and shoreline vegetation cover [38]. | ||
| 59. Water Landscape Conservation Utilization Index (H3) | 0.21525 | 0.2322 | + | Quality and quantity of waterscape protection and utilization in the watershed, refer to the questionnaire [32]. | |||
| 60. Public satisfaction with the water ecosystem (H4) | 0.23095 | 0.2598 | + | Questionnaire [52]. |
| Indicator | Indicator Standard Value | |||||
|---|---|---|---|---|---|---|
| Excellence | Good | Moderate | Eligible | Poor | Bad | |
| A1 | [100,95) | [95,90) | [90,85) | [85,70) | [70,50) | [50,0) |
| A2 | [100,95) | [95,90) | [90,85) | [85,70) | [70,50) | [50,0) |
| A3 | [100,90) | [90,80) | [80,70) | [70,60) | [60,30) | [30,0) |
| A4 | [100,98) | [98,85) | [85,75) | [75,60) | [60,30) | [30,0) |
| A5 | [6,5) | [5,4) | [4,3) | [3,2) | [2,1) | ≤1 |
| [7,6) | [8,7) | [9,8) | [10,9) | >10 | ||
| A6 | [100,98) | [98,90) | [90,75) | [75,60) | [60,30) | [30,0) |
| A7 | [750,950) | [750,600) | [600,500) | [500,400) | [400,300) | ≤300 |
| [1100,950) | [1200,1100) | [1300,1200) | [1400,1300) | >1400 | ||
| A8 | ≤0.6 | [1.1,0.6) | [1.6,1.1) | [2,1.6) | [2.4,2) | >2.4 |
| B1 | >60 | [60,50) | [50,40) | [40,25) | [25,10) | ≤10 |
| B2 | >25 | [25,21) | [50,40) | [40,25) | [25,10) | ≤10 |
| B3 | ≤10 | [12,10) | [14,12) | [17,14) | [20,17) | >20 |
| B4 | ≤45 | [50,45) | [55,50) | [60,55) | [65,60) | >65 |
| B5 | ≤90 | [140,90) | [190,140) | [270,190) | [350,270) | >350 |
| B6 | ≤12 | [14,12) | [16,14) | [19,16) | [22,19) | >22 |
| B7 | ≤100 | [150,100) | [200,150) | [250,200) | [300,250) | >300 |
| B8 | >21 | [21,17) | [17,13) | [13,9) | [9,5) | ≤5 |
| C1 | ≤5 | [7,5) | [9,7) | [12,9) | [15,12) | >15 |
| C2 | ≤30 | [36,30) | [42,36) | [51,42) | [60,51) | >60 |
| C3 | ≤15 | [18,15) | [22,18) | [26,22) | [30,26) | >30 |
| C4 | >65 | [65,56) | [56,47) | [47,38) | [38,30) | ≤30 |
| C5 | ≤40 | [55,40) | [70,55) | [85,70) | [100,85) | >100 |
| C6 | >6.5 | [6.5,5.6) | [5.6,4.7) | [4.7,3.8) | [3.8,3) | ≤3 |
| C7 | ≤20 | [25,20) | [30,25) | [35,30) | [40,35) | >40 |
| C8 | >15 | [15,12) | [12,9) | [9,6) | [6,3) | ≤3 |
| D1 | [1100,900) | [900,700) | [700,500) | [500,300) | [300,100) | ≤100 |
| [1300,1100) | [1500,1300) | [1700,1500) | [1900,1700) | >1900 | ||
| D2 | [100,95) | [95,90) | [90,85) | [85,70) | [70,50) | [50,0) |
| D3 | >80 | [80,70) | [70,60) | [60,50) | [50,40) | ≤40 |
| D4 | >20 | [20,17) | [17,14) | [14,10) | [10,6) | ≤6 |
| D5 | 100 | (100,95) | [95,80) | [80,60) | [60,20) | ≤20 |
| D6 | >12 | [12,10) | [10,8) | [8,6) | [6,4) | ≤4 |
| D7 | >4000 | [4000,3400) | [3400,2800) | [2800,2000) | [2000,1200) | ≤1200 |
| D8 | 100 | (100,99.5) | [99.5,99.1) | [99.1,98.5) | [98.5,97.9) | ≤97.9 |
| E1 | [100,90) | [90,80) | [80,70) | [70,60) | [60,30) | [30,0) |
| E2 | [100,90) | [90,80) | [80,70) | [70,60) | [60,30) | [30,0) |
| E3 | [100,90) | [90,80) | [80,70) | [70,60) | [60,30) | [30,0) |
| E4 | [100,90) | [90,80) | [80,70) | [70,60) | [60,30) | [30,0) |
| F1 | [100,90) | [90,75) | [75,60) | [60,40) | [40,20) | [20,0) |
| F2 | 0 | [10,0) | [20,10) | [35,20) | [50,35) | [50,0) |
| F3 | Excellent | Good | light pollution | moderate pollution | heavy pollution | |
| 100 | 80 | 60 | 30 | 0 | ||
| F4 | [100,80) | [80,60) | [60,40) | [40,20) | [20,0) | 0 |
| F5 | 100 | (100,99.5) | [99.5,99) | [99,98) | [98,97) | ≤97 |
| F6 | Excellent | Good | light pollution | moderate pollution | heavy pollution | severe pollution |
| 100 | 80 | 60 | 40 | 20 | 0 | |
| F7 | 100 | (100,98) | [98,96) | [96,93) | [93,90) | ≤90 |
| F8 | [100,90) | [90,80) | [80,70) | [70,60) | [60,30) | [30,0) |
| G1 | [100,90) | [90,80) | [80,70) | [70,60) | [60,30) | [30,0) |
| G2 | [100,75) | [75,50) | [50,25) | [25,5) | [5,0) | 0 |
| G3 | [100,90) | [90,80) | [80,70) | [70,60) | [60,30) | [30,0) |
| G4 | [100,80) | [80,60) | [60,40) | [40,20) | [20,0) | 0 |
| G5 | ≤0.05 | [0.1,0.05) | [0.5,0.1) | [2.5,0.5) | [5,2.5) | >5 |
| G6 | [100,90) | [90,80) | [80,60) | [60,40) | [40,20) | [20,0) |
| G7 | [100,80) | [80,60) | [60,40) | [40,20) | [20,0) | 0 |
| G8 | >40 | [40,30) | [30,20) | [20,10) | [10,0) | 0 |
| H1 | [100,95) | [95,80) | [80,65) | [65,50) | [50,25) | [25,0) |
| H2 | [100,75) | [75,50) | [50,25) | [25,5) | [5,0) | 0 |
| H3 | [100,90) | [90,80) | [80,70) | [70,60) | [60,30) | [30,0) |
| H4 | [100,90) | [90,80) | [80,70) | [70,60) | [60,30) | [30,0) |
| Value | Level | Situation |
|---|---|---|
| ≥90 | Level 1 eco-watershed | Excellence |
| (90,80] | Level 2 eco-watershed | Good |
| (80,70] | Level 3 eco-watershed | Moderate |
| (70,60] | Level 4 eco-watershed | Eligible |
| (60,30] | Level 5 eco-watershed | Poor |
| (30,0] | Level 6 eco-watershed | Bad |
| D | (0.9~1] | (0.8~0.9] | (0.7~0.8] | (0.6~0.7] | (0.5~0.6] | (0.4~0.5] | (0.3~0.4] | (0.2~0.3] | (0.1~0.2] | (0~0.1] |
|---|---|---|---|---|---|---|---|---|---|---|
| Type of coordination | high quality harmonize | favorable harmonize | intermediate harmonize | elementary harmonize | barely harmonize | close to disorders | mildly disorders | moderately disorders | severity disorders | Extreme disorders |
| District | Year | Coupling Stage | Coupling Type | ||
|---|---|---|---|---|---|
| Coupling | Degree of Coupling | Degree of Coupling Coordination | Type of Coordination | ||
| He’nan | 2021 | 0.9812 | high level | 0.6561 | elementary harmonize |
| He’nan | 2020 | 0.9941 | high level | 0.6343 | elementary harmonize |
| He’nan | 2019 | 0.981 | high level | 0.5916 | barely harmonize |
| Handan | 2021 | 0.9853 | high level | 0.6712 | elementary harmonize |
| Handan | 2020 | 0.9978 | high level | 0.6355 | elementary harmonize |
| Handan | 2019 | 0.9332 | high level | 0.5881 | barely harmonize |
Disclaimer/Publisher’s Note: The statements, opinions and data contained in all publications are solely those of the individual author(s) and contributor(s) and not of MDPI and/or the editor(s). MDPI and/or the editor(s) disclaim responsibility for any injury to people or property resulting from any ideas, methods, instructions or products referred to in the content. |
© 2024 by the authors. Licensee MDPI, Basel, Switzerland. This article is an open access article distributed under the terms and conditions of the Creative Commons Attribution (CC BY) license (https://creativecommons.org/licenses/by/4.0/).
Share and Cite
Liu, Y.; Mu, Z.; Dong, W.; Huang, Q.; Chai, F.; Fan, J. Establishment of an Evaluation Indicator System and Evaluation Criteria for the Weihe River Ecological Watersheds. Water 2024, 16, 2393. https://doi.org/10.3390/w16172393
Liu Y, Mu Z, Dong W, Huang Q, Chai F, Fan J. Establishment of an Evaluation Indicator System and Evaluation Criteria for the Weihe River Ecological Watersheds. Water. 2024; 16(17):2393. https://doi.org/10.3390/w16172393
Chicago/Turabian StyleLiu, Yang, Zheng Mu, Wei Dong, Qiang Huang, Fei Chai, and Jingjing Fan. 2024. "Establishment of an Evaluation Indicator System and Evaluation Criteria for the Weihe River Ecological Watersheds" Water 16, no. 17: 2393. https://doi.org/10.3390/w16172393
APA StyleLiu, Y., Mu, Z., Dong, W., Huang, Q., Chai, F., & Fan, J. (2024). Establishment of an Evaluation Indicator System and Evaluation Criteria for the Weihe River Ecological Watersheds. Water, 16(17), 2393. https://doi.org/10.3390/w16172393
