Ctenopharyngodon idella’s Movement Behavior in Response to Hydraulics at Fishway Entrance with Different Entrance Angles
Abstract
1. Introduction
2. Materials and Methods
2.1. Experiment Fishway
2.2. Hydraulics
2.3. Numerical Model
2.4. Experimental Fish
2.5. Fish Movement Energetics
2.6. Data Analysis
3. Results
3.1. Hydraulics
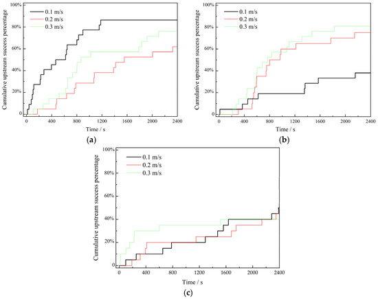
3.2. Fish Movement
3.3. Analysis of Energy Consumption
4. Discussion
4.1. Effects of Fishway Entrance Angle on Fishway Efficiency
4.2. Effects of Fishway Entrance Angle on Fish Movement Strategies
5. Conclusions
Author Contributions
Funding
Data Availability Statement
Acknowledgments
Conflicts of Interest
References
- Cai, L.; Hou, Y.Q.; Katopodis, C.; He, D.; Johnson, D.; Zhang, P. Rheotaxis and swimming performance of Perch–barbel (Percocypris pingi, Tchang, 1930) and application to design of fishway entrances. Ecol. Eng. 2019, 132, 102–108. [Google Scholar] [CrossRef]
- Kraabøl, M.; Museth, J. Efficiency of a fishway on brown trout (Salmo trutta) spawning populations. Vann 2019, 4, 295–311. [Google Scholar]
- Song, C.; Omalley, A.; Roy, S.G.; Barber, B.L.; Zydlewski, J.; Mo, W. Managing dams for energy and fish tradeoffs: What does a win–win solution take? Sci. Total Environ. 2019, 669, 833–843. [Google Scholar] [CrossRef] [PubMed]
- Li, G.N.; Sun, S.K.; Liu, H.T.; Zheng, T.G. Schizothorax prenanti swimming behavior in response to different flow patterns in vertical slot fishways with different slot positions. Sci. Total Environ. 2021, 754, 142142. [Google Scholar] [CrossRef] [PubMed]
- Sanz–Ronda, F.J.; Fuentes–Pérez, J.F.; García–Vega, A.; Bravo–Córdoba, F.J. Fishways as downstream routes in small hydropower plants: Experiences with a Potamodromous Cyprinid. Water 2021, 13, 1041. [Google Scholar] [CrossRef]
- Peterson, E.; Thors, R.; Frechette, D.; Zydlewski, J.D. Adult Sea Lamprey approach and passage at the Milford Dam fishway, Penobscot River, Maine, United States. N. Am. J. Fish. Manag. 2023, 43, 1052–1065. [Google Scholar] [CrossRef]
- Rourke, M.L.; Robinson, W.; Baumgartner, L.J.; Doyle, J.; Growns, I.; Thiem, J.D. Sequential fishways reconnect a coastal river reflecting restored migratory pathways for an entire fish community. Restor. Ecol. 2018, 27, 399–407. [Google Scholar] [CrossRef]
- Lothian, A.J.; Schwinn, M.; Anton, A.H.; Adams, C.E.; Newton, M.; Koed, A.; Lucas, M.C. Are we designing fishways for diversity? Potential selection on alternative phenotypes resulting from differential passage in brown trout. J. Environ. Manag. 2020, 262, 110317. [Google Scholar] [CrossRef]
- Chen, M.; An, R.; Li, J.; Li, K.; Li, F. Identifying operation scenarios to optimize attraction flow near fishway entrances for endemic fishes on the Tibetan Plateau of China to match their swimming characteristics: A case study. Sci. Total Environ. 2019, 693, 133615. [Google Scholar] [CrossRef]
- Liao, L.; Chen, M.; An, R.; Li, J.; Tang, X.; Yan, Z. Identifying three-dimensional swimming corridors for fish to match their swimming characteristics under different hydropower plant operations: Optimization of entrance location for fish-passing facilities. Sci. Total Environ. 2022, 822, 153599. [Google Scholar] [CrossRef]
- Pedescoll, A.; Aguado, R.; Marcos, C.; González, G. Performance of a Pool and Weir Fishway for Iberian Cyprinids Migration: A Case Study. Fishes 2019, 4, 45. [Google Scholar] [CrossRef]
- Bunt, C.M. Fishway entrance modifications enhance fish attraction. Fish. Manag. Ecol. 2001, 8, 95–105. [Google Scholar] [CrossRef]
- Thiem, J.D.; Binder, T.R.; Dumont, P.; Hatin, D.; Hatry, C.; Katopodis, C.; Stamplecoskie, K.M.; Cooke, S.J. Multispecies fish passage behaviour in a vertical slot fishway on the Richelieu River, Quebec, Canada. River Res. Appl. 2012, 29, 582–592. [Google Scholar] [CrossRef]
- Schütz, C.; Henning, M.; Czerny, R.; Herbst, M.; Pitsch, M. Addition of auxiliary discharge into a fishway—A contribution to fishway design at barrages of large rivers. Ecol. Eng. 2021, 167, 106257. [Google Scholar] [CrossRef]
- Oufiero, C.E.; Whitlow, K.R. The evolution of phenotypic plasticity in fish swimming. Curr. Zool. 2016, 62, 475–488. [Google Scholar] [CrossRef] [PubMed]
- Di Santo, V.; Goerig, E.; Wainwright, D.K.; Akanyeti, O.; Liao, J.C.; Castro–Santos, T.; Lauder, G.V. Convergence of undulatory swimming kinematics across a diversity of fishes. Proc. Natl. Acad. Sci. USA 2021, 118, e2113206118. [Google Scholar] [CrossRef] [PubMed]
- Benitez, J.-P.; Dierckx, A.; Nzau Matondo, B.; Rollin, X.; Ovidio, M. Movement behaviours of potamodromous fish within a large anthropised river after the reestablishment of the longitudinal connectivity. Fish. Res. 2018, 207, 140–149. [Google Scholar] [CrossRef]
- Tan, J.J.; Tan, H.L.; Goerig, E.; Ke, S.; Huang, H.Z.; Liu, Z.X.; Shi, X.T. Optimization of fishway attraction flow based on endemic fish swimming performance and hydraulics. Ecol. Eng. 2021, 170, 106332. [Google Scholar] [CrossRef]
- Baumgartner, L.J.; Boys, C.; Marsden, T.; McPherson, J.; Ning, N.; Phonekhampheng, O.; Robinson, W.; Singhanouvong, D.; Stuart, I.G.; Thorncraft, G. A cone fishway facilitates lateral migrations of tropical River-Floodplain fish communities. Water 2020, 12, 513. [Google Scholar] [CrossRef]
- Wang, X.; Wang, F.; Yang, J.N.; Yu, P. Modelling the hydraulic characteristics of diaphragm fishways and the effects on fish habitats. Front. Environ. Sci. 2022, 10, 977295. [Google Scholar] [CrossRef]
- Sun, J.J.; Shi, J.Y.; Zhang, Q.; Shi, X.T.; Tan, J.J. Survey on performance of vertical slot and nature-like fishways at Angu hydropower station, Southwest China. Water Sci. Eng. 2024, 17, 83–91. [Google Scholar] [CrossRef]
- Arenas, A.; Politano, M.; Weber, L.; Timko, M. Analysis of movements and behavior of smolts swimming in hydropower reservoirs. Ecol. Model. 2015, 312, 292–307. [Google Scholar] [CrossRef]
- Haro, A.; Castro–Santos, T.; Noreika, J.; Odeh, M. Swimming performance of upstream migrant fishes in open-channel flow: A new approach to predicting passage through velocity barriers. Can. J. Fish. Aquat. Sci. 2004, 61, 1590–1601. [Google Scholar] [CrossRef]
- Song, Y.Q.; Xie, S.G. Effects of substrate roughening on the swimming performance of Schizothorax wangchiachii (Fang, 1936) in the Heishui River: Implications for vertical slot fishway design. J. Fish Biol. 2023, 104, 473–483. [Google Scholar] [CrossRef] [PubMed]
- Baek, K.O.; Lee, J.M.; Han, E.J.; Kim, Y.D. Evaluating attraction and passage efficiencies of pool-weir type fishways based on hydraulic analysis. Appl. Sci. 2022, 12, 1880. [Google Scholar] [CrossRef]
- Tan, J.J.; Liu, Z.B.; Wang, Y.; Wang, Y.Y.; Ke, S.F.; Shi, X.T. Analysis of movements and behavior of bighead carps (Hypophthalmichthys nobilis) considering fish passage energetics in an experimental vertical slot fishway. Animals 2022, 12, 1725. [Google Scholar] [CrossRef]
- Ye, Z.; Lian, X.; Bai, F.Q.; Hao, D.; Li, D.F.; Fang, Z.H. Response of upstream behavior and hydrodynamic factors of Anguilla Japonica in a combined bulkhead Fishway under tidal conditions. Water 2023, 15, 2585. [Google Scholar] [CrossRef]
- Zhang, D.; Xu, Y.H.; Deng, J.; Shi, X.T.; Liu, Y.K. Relationships among the fish passage efficiency, fish swimming behavior, and hydraulic properties in a vertical-slot fishway. Fish. Manag. Ecol. 2024, 31, e12681. [Google Scholar] [CrossRef]
- Cao, P.; Mu, X.P.; Li, X.; Baiyin, B.; Wang, X.Y.; Zhen, W.Y. Relationship between upstream swimming behaviors of juvenile grass carp and characteristic hydraulic conditions of a vertical slot fishway. Water. 2021, 13, 1299. [Google Scholar] [CrossRef]
- Mu, X.P.; Cao, P.; Gong, L.; Baiyin, B.; Li, X.A. Classification method for fish swimming behaviors under incremental water velocity for fishway hydraulic design. Water. 2019, 11, 2131. [Google Scholar] [CrossRef]
- Tan, J.J.; Li, H.; Guo, W.T.; Tan, H.L.; Ke, S.F.; Wang, J.B.; Shi, X.T. Swimming performance of four carps on the Yangtze River for fish passage design. Sustainability 2021, 13, 1575. [Google Scholar] [CrossRef]
- Shi, X.T.; Ke, S.F.; Tu, Z.Y.; Wang, Y.M.; Tan, J.J.; Guo, W.T. Swimming capability of target fish from eight hydropower stations in China relative to fishway design. Can. J. Fish. Aquat. Sci. 2022, 79, 124–132. [Google Scholar] [CrossRef]
- Yu, L.X.; Lin, J.Q.; Chen, D.Q.; Duan, X.B.; Peng, Q.D.; Liu, S.P. Ecological flow assessment to improve the spawning habitat for the four major species of carp of the Yangtze River: A study on habitat suitability based on ultrasonic telemetry. Water 2018, 10, 600. [Google Scholar] [CrossRef]
- Duan, X.B.; Liu, S.P.; Huang, M.G.; Qiu, S.L.; Li, Z.H.; Wang, K.; Chen, D.Q. Changes in abundance of larvae of the four domestic Chinese carps in the middle reach of the Yangtze River, China, before and after closing of the Three Gorges Dam. Environ. Biol. Fishes 2009, 86, 13–22. [Google Scholar] [CrossRef]
- Mu, X.P.; Zhen, W.Y.; Li, X.; Cao, P.; Gong, L.; Xu, F.R. A study of the impact of different flow velocities and light colors at the entrance of a fish collection system on the upstream swimming behavior of juvenile grass carp. Water 2019, 11, 322. [Google Scholar] [CrossRef]
- Plew, D.R.; Klebert, P.; Rosten, T.W.; Aspaas, S.; Birkevold, J. Changes to flow and turbulence caused by different concentrations of fish in a circular tank. J. Hydraul. Res. 2015, 53, 364–383. [Google Scholar] [CrossRef]
- Goodwin, R.A.; Politano, M.; Garvin, J.W.; Nestler, J.M.; Hay, D.; Anderson, J.J.; Weber, L.J.; Dimperio, E.; Smith, D.L.; Timko, M. Fish navigation of large dams emerges from their modulation of flow field experience. Proc. Natl. Acad. Sci. USA 2014, 111, 5277–5282. [Google Scholar] [CrossRef] [PubMed]
- An, R.D.; Li, J.; Liang, R.F.; Tuo, Y.C. Three-dimensional simulation and experimental study for optimising a vertical slot fishway. J. Hydro-Environ. Res. 2016, 12, 119–129. [Google Scholar] [CrossRef]
- Snyder, R.J. Physiological Ecology of Pacific Salmon; State University of New York College at Buffalo: Buffalo, NY, USA, 2011; Volume 125, pp. 819–820. [Google Scholar]
- Vogel, S. Life in Moving Fluids: The Physical Biology of Flow–Revised and Expanded Second Edition; Princeton University Press: Princeton, NJ, USA, 2020. [Google Scholar]
- Khan, L.A. A Three-Dimensional Computational Fluid Dynamics (CFD) Model analysis of free surface hydrodynamics and fish passage energetics in a vertical-slot fishway. N. Am. J. Fish. Manag. 2011, 26, 255–267. [Google Scholar] [CrossRef]
- Heneka, P.; Zinkhahn, M.; Schütz, C.; Weichert, R.B. A parametric approach for determining fishway attraction flow at hydropower dams. Water 2021, 13, 743. [Google Scholar] [CrossRef]
- Zeng, G.R.; Xu, M.S.; Mou, J.G.; Hua, C.C.; Fan, C.H. Application of Tesla Valve’s obstruction characteristics to reverse fluid in fish migration. Water 2022, 15, 40. [Google Scholar] [CrossRef]
- Zheng, T.G.; Niu, Z.P.; Sun, S.K.; Shi, J.Y.; Liu, H.T.; Li, G.N. Comparative study on the hydraulic characteristics of nature-like fishways. Water 2020, 12, 955. [Google Scholar] [CrossRef]
- Farzadkhoo, M.; Kingsford, R.T.; Suthers, I.M.; Felder, S. Flow hydrodynamics drive effective fish attraction behaviour into slotted fishway entrances. J. Hydrodyn. 2023, 35, 782–802. [Google Scholar] [CrossRef]
- Green, T.M.; Lindmark, E.M.; Lundström, T.S.; Gustavsson, L.H. Flow characterization of an attraction channel as entrance to fishways. River Res. Appl. 2011, 27, 1290–1297. [Google Scholar] [CrossRef]
- Johnson, E.L.; Caudill, C.C.; Keefer, M.L.; Clabough, T.S.; Peery, C.A.; Jepson, M.A.; Moser, M.L. Movement of radio-tagged adult Pacific lampreys during a large-scale fishway velocity experiment. Trans. Am. Fish. Soc. 2012, 141, 571–579. [Google Scholar] [CrossRef]
- Farzadkhoo, M.; Kingsford, R.T.; Suthers, I.M.; Geelan–Small, P.; Harris, J.H.; Peirson, W.; Felder, S. Attracting juvenile fish into Tube Fishways-roles of transfer chamber diameter and flow velocity. Ecol. Eng. 2022, 176, 106544. [Google Scholar] [CrossRef]
- Liu, S.K.; Jian, Y.X.; Li, P.C.; Liang, R.F.; Chen, X.F.; Qin, Y.O.; Wang, Y.M.; Li, K.F. Optimization schemes to significantly improve the upstream migration of fish: A case study in the lower Yangtze River basin. Ecol. Eng. 2023, 186, 106838. [Google Scholar] [CrossRef]
- Richer, E.E.; Fetherman, E.R.; Krone, E.A.; Wright, F.B.; Kondratieff, M.C. Multispecies fish passage evaluation at a rock-ramp fishway in a Colorado transition zone stream. N. Am. J. Fish. Manag. 2020, 40, 1510–1522. [Google Scholar] [CrossRef]
- Baek, K.O.; Lee, J.M.; Ku, T.G.; Kim, Y.D. Evaluation of by-pass fishway operation for attraction efficiency based on GPS Drifter field experiments. Water. 2021, 13, 2302. [Google Scholar] [CrossRef]
- Li, P.; Zhang, W.; Burnett, N.J.; Zhu, D.Z.; Casselman, M.; Hinch, S.G. Evaluating dam water release strategies for migrating adult Salmon using computational fluid dynamic modeling and biotelemetry. Water Resour. Res. 2021, 57, e2020WR028981. [Google Scholar] [CrossRef]
- Yoon, J.-D.; Kim, J.-H.; Yoon, J.; Baek, S.-H.; Jang, M.-H. Efficiency of a modified Ice Harbor-type fishway for Korean freshwater fishes passing a weir in South Korea. Aquat. Ecol. 2015, 49, 417–429. [Google Scholar] [CrossRef]
- Lindberg, D.-E.; Leonardsson, K.; Andersson, A.G.; Lundström, T.S.; Lundqvist, H. Methods for locating the proper position of a planned fishway entrance near a hydropower tailrace. Limnologica 2013, 43, 339–347. [Google Scholar] [CrossRef]
- Baek, K.O.; Kim, Y.D. A case study for optimal position of fishway at low-head obstructions in tributaries of Han River in Korea. Ecol. Eng. 2014, 64, 222–230. [Google Scholar] [CrossRef]
- Rodriguez, Á.; Bermúdez, M.; Rabuñal, J.R.; Puertas, J.; Dorado, J.; Pena, L.; Balairón, L. Optical fish trajectory measurement in fishways through computer vision and artificial neural networks. J. Comput. Civ. Eng. 2011, 25, 291–301. [Google Scholar] [CrossRef]
- Elings, J.; Mawer, R.; Bruneel, S.; Pauwels, I.S.; Pickholtz, E.; Pickholtz, R.; Coeck, J.; Schneider, M.; Goethals, P. Linking fine-scale behaviour to the hydraulic environment shows behavioural responses in riverine fish. Mov. Ecol. 2023, 11, 50. [Google Scholar] [CrossRef]
- Thiem, J.D.; Dawson, J.W.; Hatin, D.; Danylchuk, A.J.; Dumont, P.; Gleiss, A.C.; Wilson, R.P.; Cooke, S.J. Swimming activity and energetic costs of adult lake sturgeon during fishway passage. J. Exp. Biol. 2016, 219, 2534–2544. [Google Scholar] [CrossRef]
- Kirk, M.A.; Caudill, C.C.; Syms, J.C.; Tonina, D. Context-dependent responses to turbulence for an anguilliform swimming fish, Pacific lamprey, during passage of an experimental vertical-slot weir. Ecol. Eng. 2017, 106, 296–307. [Google Scholar] [CrossRef]
- Li, M.N.; An, R.D.; Chen, M.; Li, J. Evaluation of volitional swimming behavior of Schizothorax prenanti using an open-Channel flume with spatially heterogeneous turbulent flow. Animals 2022, 12, 752. [Google Scholar] [CrossRef]
- Qian, Z.M.; Wang, S.H.; Cheng, X.E.; Chen, Y.Q. An effective and robust method for tracking multiple fish in video image based on fish head detection. BMC Bioinform. 2016, 17, 251. [Google Scholar] [CrossRef]
- Tan, J.J.; Gao, Z.; Dai, H.C.; Yang, Z.Y.; Shi, X.T. Effects of turbulence and velocity on the movement behaviour of bighead carp (Hypophthalmichthys nobilis) in an experimental vertical slot fishway. Ecol. Eng. 2019, 127, 363–374. [Google Scholar] [CrossRef]
- Chapman, J.W.; Klaassen, R.H.; Drake, V.A.; Fossette, S.; Hays, G.C.; Metcalfe, J.D.; Reynolds, A.M.; Reynolds, D.R.; Alerstam, T. Animal orientation strategies for movement in flows. Curr. Biol. 2011, 21, R861–R870. [Google Scholar] [CrossRef]
- Gilja, G.; Ocvirk, E.; Fliszar, R. Experimental investigation of the Reynolds shear Stress exceedance rate for the injury and disorientation biocriteria boundary in the pool-orifice and vertical slot type fishways. Appl. Sci. 2021, 11, 7708. [Google Scholar] [CrossRef]
- Xia, D.; Chen, W.S.; Liu, J.K.; Luo, X. The energy-saving advantages of burst-and-glide mode for thunniform swimming. J. Hydrodyn. 2018, 30, 1072–1082. [Google Scholar] [CrossRef]
- Domenici, P.; Hale, M.E. Escape responses of fish: A review of the diversity in motor control, kinematics and behaviour. J. Exp. Biol. 2019, 222, jeb166009. [Google Scholar] [CrossRef]
- Silva, A.T.; Santos, J.M.; Ferreira, M.T.; Pinheiro, A.N.; Katopodis, C. Effects of water velocity and turbulence on the behaviour of Iberian barbel (Luciobarbus bocagei, Steindachner 1864) in an experimental pool-type fishway. River Res. Appl. 2011, 27, 360–373. [Google Scholar] [CrossRef]
- Tran, T.D.; Chorda, J.; Laurens, P.; Cassan, L. Modelling nature-like fishway flow around unsubmerged obstacles using a 2D shallow water model. Environ. Fluid Mech. 2015, 16, 413–428. [Google Scholar] [CrossRef]
- Dizabadi, S.; Azimi, A.H. Hydraulic and turbulence structure of triangular labyrinth weir-pool fishways. River Res. Appl. 2019, 36, 280–295. [Google Scholar] [CrossRef]
- Zheng, T.; Tu, C.; Sun, S.; Huang, W.; Ren, W.; Li, G.; Liu, H. Testing three vertical slot fishway configurations for a Chinese endemic fish. J. Hydraul. Eng. 2023, 149, 06023005. [Google Scholar] [CrossRef]
- Quaresma, A.; Pinheiro, A. Modelling of pool–type fishways flows Efficiency and scale effects assessment. Water 2021, 13, 851. [Google Scholar] [CrossRef]
- Cox, R.X.; Kingsford, R.T.; Suthers, I.; Felder, S. Fish injury from movements across hydraulic structures: A review. Water. 2023, 15, 1888. [Google Scholar] [CrossRef]
- Zhang, D.; Bian, X.H.; Shi, X.T.; Deng, J.; Liu, Y.K. Design of a bilateral-symmetric multi-slot fishway and its comparison with vertical slot fishway in terms of hydraulic properties. River Res. Appl. 2023, 39, 954–969. [Google Scholar] [CrossRef]
- Cai, L.; Chen, L.; Johnson, D.; Gao, Y.; Mandal, P.; Fang, M.; Tu, Z.Y.; Huang, Y.P. Integrating water flow, locomotor performance and respiration of Chinese sturgeon during multiple fatigue-recovery cycles. PLoS ONE 2014, 9, e94345. [Google Scholar] [CrossRef]
- Laborde, A.; González, A.; Sanhueza, C.; Arriagada, P.; Wilkes, M.; Habit, E.; Link, O. Hydropower development, riverine connectivity, and non-sport fish species: Criteria for hydraulic design of fishways. River Res. Appl. 2016, 32, 1949–1957. [Google Scholar] [CrossRef]
- Fuentes–Pérez, J.F.; García–Vega, A.; Sanz–Ronda, F.J.; Martínez de Azagra Paredes, A. Villemonte’s approach: A general method for modeling uniform and non-uniform performance in stepped fishways. Knowl. Manag. Aquat. Ecosyst. 2017, 418, 23. [Google Scholar] [CrossRef]
- Cai, L.; Zhang, P.; Johnson, D.; Zhao, P.; Hou, Y.Q.; Chen, X.J. Effects of prolonged and burst swimming on subsequent burst swimming performance of Gymnocypris potanini firmispinatus (Actinopterygii, Cyprinidae). Hydrobiologia 2019, 843, 201–209. [Google Scholar] [CrossRef]
- Gisen, D.C.; Schutz, C.; Weichert, R.B. Development of behavioral rules for upstream orientation of fish in confined space. PLoS ONE 2022, 17, e0263964. [Google Scholar] [CrossRef]












| Fish Species | Entrance Angles | Working Conditions | Velocity of Replenishment Channel/(m/s) | Number of Tested Fish (N) | Total Length /(cm) |
|---|---|---|---|---|---|
| Grass carp | 30° | 30–1 | 0.1 | 22 | 11.75 ± 1.00 |
| 30–2 | 0.2 | 21 | 12.30 ± 1.74 | ||
| 30–3 | 0.3 | 21 | 11.40 ± 2.40 | ||
| 45° | 45–1 | 0.1 | 22 | 12.50 ± 1.66 | |
| 45–2 | 0.2 | 20 | 13.16 ± 1.82 | ||
| 45–3 | 0.3 | 21 | 13.39 ± 1.25 | ||
| 60° | 60–1 | 0.1 | 20 | 14.01 ± 2.24 | |
| 60–2 | 0.2 | 20 | 15.16 ± 1.25 | ||
| 60–3 | 0.3 | 20 | 13.31 ± 0.92 |
| Mesh | Cell Size | Number of Cells | Mesh |
|---|---|---|---|
| 1 | 0.03–0.04 m | 520,542 | Coarse |
| 2 | 0.03 m | 666,988 | Medium |
| 3 | 0.02 m | 819,560 | Fine |
| Entrance Angle of Fishway | Working Conditions | The Number of Tested Fish (N*) | The Frequency of Deflection for Fish in Each Working Condition (N) | Total Frequency of Deflection for Tested Fish (N3) | Deflection Efficiency (N4/N3) |
|---|---|---|---|---|---|
| 30° | 30–1 | 22 | 148 | 329 | 93.01% (306/329) |
| 30–2 | 21 | 90 | |||
| 30–3 | 21 | 91 | |||
| 45° | 45–1 | 22 | 46 | 229 | 82.97% (190/229) |
| 45–2 | 20 | 99 | |||
| 45–3 | 21 | 84 | |||
| 60° | 60–1 | 20 | 57 | 161 | 54.66% (88/161) |
| 60–2 | 20 | 53 | |||
| 60–3 | 20 | 51 |
Disclaimer/Publisher’s Note: The statements, opinions and data contained in all publications are solely those of the individual author(s) and contributor(s) and not of MDPI and/or the editor(s). MDPI and/or the editor(s) disclaim responsibility for any injury to people or property resulting from any ideas, methods, instructions or products referred to in the content. |
© 2024 by the authors. Licensee MDPI, Basel, Switzerland. This article is an open access article distributed under the terms and conditions of the Creative Commons Attribution (CC BY) license (https://creativecommons.org/licenses/by/4.0/).
Share and Cite
Mi, Y.; Tan, J.; Tan, H.; Sun, J.; Ke, S.; Li, M.; Lin, C.; Shi, X. Ctenopharyngodon idella’s Movement Behavior in Response to Hydraulics at Fishway Entrance with Different Entrance Angles. Water 2024, 16, 2168. https://doi.org/10.3390/w16152168
Mi Y, Tan J, Tan H, Sun J, Ke S, Li M, Lin C, Shi X. Ctenopharyngodon idella’s Movement Behavior in Response to Hydraulics at Fishway Entrance with Different Entrance Angles. Water. 2024; 16(15):2168. https://doi.org/10.3390/w16152168
Chicago/Turabian StyleMi, Yiming, Junjun Tan, Honglin Tan, Junjian Sun, Senfan Ke, Minne Li, Chenyu Lin, and Xiaotao Shi. 2024. "Ctenopharyngodon idella’s Movement Behavior in Response to Hydraulics at Fishway Entrance with Different Entrance Angles" Water 16, no. 15: 2168. https://doi.org/10.3390/w16152168
APA StyleMi, Y., Tan, J., Tan, H., Sun, J., Ke, S., Li, M., Lin, C., & Shi, X. (2024). Ctenopharyngodon idella’s Movement Behavior in Response to Hydraulics at Fishway Entrance with Different Entrance Angles. Water, 16(15), 2168. https://doi.org/10.3390/w16152168

