Effects of Patch Properties of Submerged Vegetation on Sediment Scouring and Deposition
Abstract
1. Introduction
2. Experimental Design and Methodology
2.1. Vegetation Patch Configuration
2.2. Sediment Bed Configuration
2.3. Morphometric Parameters Acquisition
2.4. Hydraulic Conditions and Measurement
3. Results
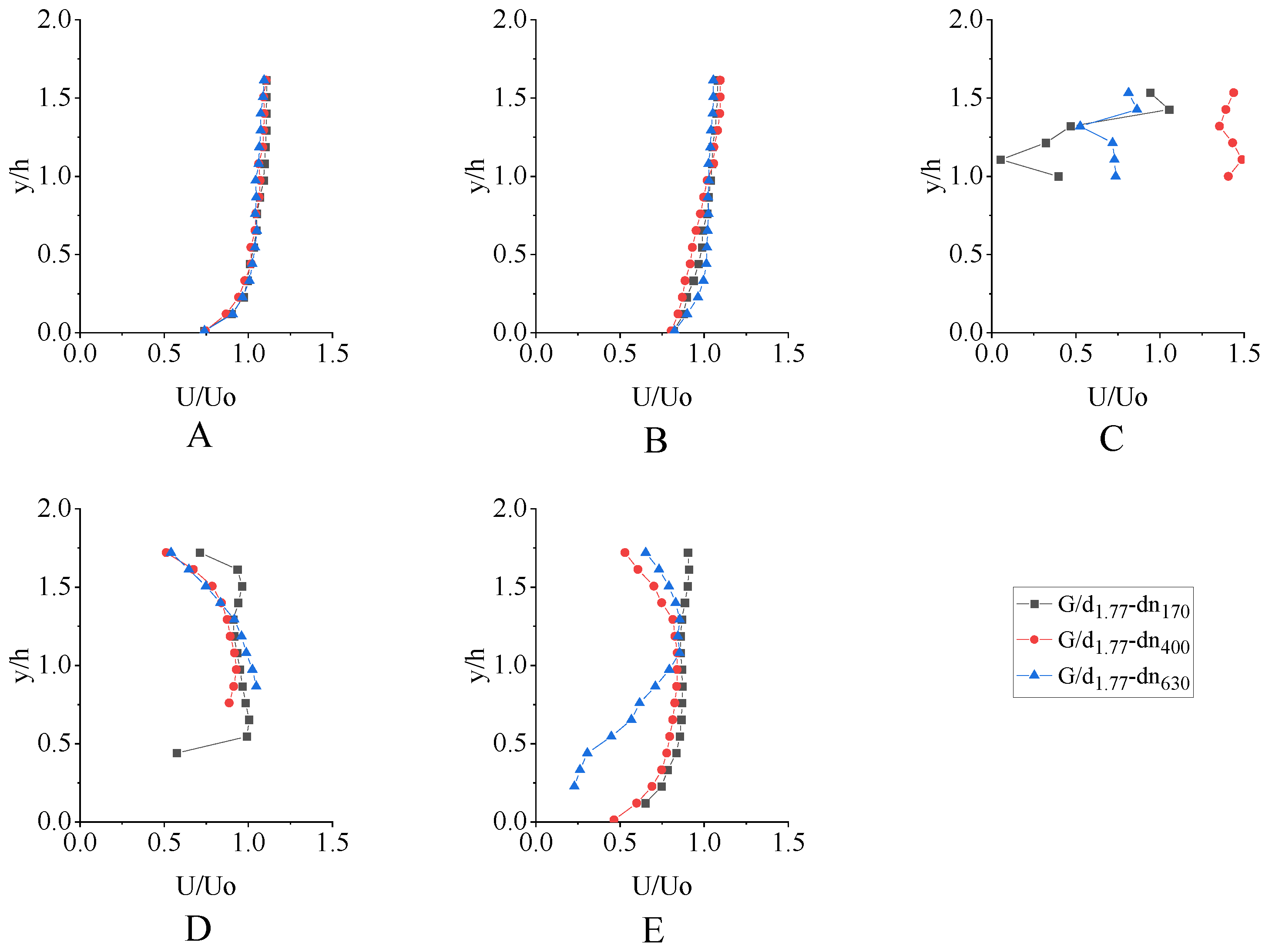
3.1. Flow Velocity at Different Properties of Vegetation Patch
3.1.1. Vertical Distribution of Velocity for Same Vegetation Patch Thickness and Diverse Vegetation Patch Density
3.1.2. Vertical Distribution of Velocity for Same Vegetation Patch Density and Diverse Vegetation Patch Thickness
3.2. Characteristics of TKE at Different Properties of Vegetation Patch
3.2.1. Same Vegetation Patch Thickness and Different Vegetation Patch Density
3.2.2. Same Vegetation Patch Density and Different Vegetation Patch Thickness
3.3. Morphology of Scouring and Deposition
4. Discussion
4.1. Effect of Properties of Vegetation Patch on Hydraulic and Sediment Dynamics
4.2. Ecological Implications of Properties of Vegetation Patch
5. Conclusions
Author Contributions
Funding
Data Availability Statement
Acknowledgments
Conflicts of Interest
References
- Afzalimehr, H.; Dey, S. Influence of bank vegetation and gravel bed on velocity and Reynolds stress distributions. Int. J. Sediment Res. 2009, 24, 236–246. [Google Scholar] [CrossRef]
- McMahon, J.M.; Olley, J.M.; Brooks, A.P.; Smart, J.C.R.; Stewart-Koster, B.; Venables, W.N.; Curwen, G.; Kemp, J.; Stewartd, M.; Saxton, N.; et al. Vegetation and longitudinal coarse sediment connectivity affect the ability of ecosystem restoration to reduce riverbank erosion and turbidity in drinking water. Sci. Total Environ. 2020, 707, 135904. [Google Scholar] [CrossRef] [PubMed]
- Sandjensen, K.; Madsen, T.V. Patch Dynamics of the Stream Macrophyte, Callitriche-Cophocarpa. Freshw. Biol. 1992, 27, 277–282. [Google Scholar] [CrossRef]
- Schulz, M.; Kozerski, H.P.; Pluntke, T.; Rinke, K. The influence of macrophytes on sedimentation and nutrient retention in the lower River Spree (Germany). Water Res. 2003, 37, 569–578. [Google Scholar] [CrossRef] [PubMed]
- Anjum, N.; Tanaka, N. Investigating the turbulent flow behaviour through partially distributed discontinuous rigid vegetation in an open channel. River Res. Appl. 2020, 36, 1701–1716. [Google Scholar] [CrossRef]
- Gurnell, A.M.; Bertoldi, W.; Corenblit, D. Changing river channels: The roles of hydrological processes, plants and pioneer fluvial landforms in humid temperate, mixed load, gravel bed rivers. Earth-Sci. Rev. 2012, 111, 129–141. [Google Scholar] [CrossRef]
- Hu, Z.H.; Lei, J.R.; Liu, C.; Nepf, H. Wake structure and sediment deposition behind models of submerged vegetation with and without flexible leaves. Adv. Water Resour. 2018, 118, 28–38. [Google Scholar] [CrossRef]
- Nepf, H.M. Flow and Transport in Regions with Aquatic Vegetation. Annu. Rev. Fluid Mech. 2012, 44, 123–142. [Google Scholar] [CrossRef]
- Soler, M.; Colomer, J.; Folkard, A.; Serra, T. Particle size segregation of turbidity current deposits in vegetated canopies. Sci. Total Environ. 2020, 703, 134784. [Google Scholar] [CrossRef]
- Zen, S.; Perona, P. Biomorphodynamics of river banks in vegetated channels with self-formed width. Adv. Water Resour. 2020, 135, 103488. [Google Scholar] [CrossRef]
- Le Bouteiller, C.; Venditti, J.G. Sediment transport and shear stress partitioning in a vegetated flow. Water Resour. Res. 2015, 51, 2901–2922. [Google Scholar] [CrossRef]
- Li, X.; Huang, L.; Reible, D.; Zeng, X.; Liu, S.; Fu, J.; Wang, K.; Fang, H. Inhibition of sediment erosion and phosphorus release by remediation strategy of contaminated sediment backfilling. Water Res. 2023, 239, 120055. [Google Scholar] [CrossRef] [PubMed]
- Biggs, H.J.; Nikora, V.I.; Gibbins, C.N.; Cameron, S.M.; Papadopoulos, K.; Stewart, M.; Fraser, S.; Vettori, D.; Savio, M.; O’Hare, M.T.; et al. Flow interactions with an aquatic macrophyte: A field study using stereoscopic particle image velocimetry. J. Ecohydraulics 2019, 4, 113–130. [Google Scholar] [CrossRef]
- Calvani, G.; Carbonari, C.; Solari, L. Stability Analysis of Submerged Vegetation Patterns in Rivers. Water Resour. Res. 2022, 58, e2021WR031901. [Google Scholar] [CrossRef]
- Chen, S.C.; Chan, H.C.; Li, Y.H. Observations on flow and local scour around submerged flexible vegetation. Adv. Water Resour. 2012, 43, 28–37. [Google Scholar] [CrossRef]
- Kothyari, U.C.; Hashimoto, H.; Hayashi, K. Effect of tall vegetation on sediment transport by channel flows. J. Hydraul. Res. 2009, 47, 700–710. [Google Scholar] [CrossRef]
- Nepf, H.M. Drag, turbulence, and diffusion in flow through emergent vegetation. Water Resour. Res. 1999, 35, 479–489. [Google Scholar] [CrossRef]
- Shahmohammadi, R.; Afzalimehr, H.; Sui, J.Y. Impacts of turbulent flow over a channel bed with a vegetation patch on the incipient motion of sediment. Can. J. Civil. Eng. 2018, 45, 803–816. [Google Scholar] [CrossRef]
- Rietkerk, M.; Van de Koppel, J. Regular pattern formation in real ecosystems. Trends Ecol. Evol. 2008, 23, 169–175. [Google Scholar] [CrossRef] [PubMed]
- Vandenbruwaene, W.; Temmerman, S.; Bouma, T.J.; Klaassen, P.C.; de Vries, M.B.; Callaghan, D.P.; van Steeg, P.; Dekker, F.; van Duren, L.A.; Martini, E.; et al. Flow interaction with dynamic vegetation patches: Implications for biogeomorphic evolution of a tidal landscape. J. Geophys. Res.-Earth Surf. 2011, 116, F01008. [Google Scholar] [CrossRef]
- Zong, L.J.; Nepf, H. Spatial distribution of deposition within a patch of vegetation. Water Resour. Res. 2011, 47, W03516. [Google Scholar] [CrossRef]
- Chen, S.C.; Kuo, Y.M.; Li, Y.H. Flow characteristics within different configurations of submerged flexible vegetation. J. Hydrol. 2011, 398, 124–134. [Google Scholar] [CrossRef]
- Nepf, H.M.; Vivoni, E.R. Flow structure in depth-limited, vegetated flow. J. Geophys. Res.-Ocean. 2000, 105, 28547–28557. [Google Scholar] [CrossRef]
- Wang, H.; Tang, H.W.; Zhao, H.Q.; Zhao, X.Y.; Lü, S.Q. Incipient motion of sediment in presence of submerged flexible vegetation. Water Sci. Eng. 2015, 8, 63–67. [Google Scholar] [CrossRef]
- Marjoribanks, T.I.; Paul, M. Modelling flow-induced reconfiguration of variable rigidity aquatic vegetation. J. Hydraul. Res. 2022, 60, 46–61. [Google Scholar] [CrossRef]
- Meire, D.W.S.A.; Kondziolka, J.M.; Nepf, H.M. Interaction between neighboring vegetation patches: Impact on flow and deposition. Water Resour. Res. 2014, 50, 3809–3825. [Google Scholar] [CrossRef]
- Yagci, O.; Kabdasli, M.S. The impact of single natural vegetation elements on flow characteristics. Hydrol. Process. 2008, 22, 4310–4321. [Google Scholar] [CrossRef]
- Yagci, O.; Tschiesche, U.; Kabdasli, M.S. The role of different forms of natural riparian vegetation on turbulence and kinetic energy characteristics. Adv. Water Resour. 2010, 33, 601–614. [Google Scholar] [CrossRef]
- Yagci, O.; Celik, M.F.; Kitsikoudis, V.; Ozgur Kirca, V.S.; Hodoglu, C.; Valyrakis, M.; Duran, Z.; Kaya, S. Scour patterns around isolated vegetation elements. Adv. Water Resour. 2016, 97, 251–265. [Google Scholar] [CrossRef]
- De Serio, F.; Ben Meftah, M.; Mossa, M.; Termini, D. Experimental investigation on dispersion mechanisms in rigid and flexible vegetated bed. Adv. Water Resour. 2018, 120, 98–113. [Google Scholar] [CrossRef]
- Baptist, M.J.; Babovic, V.; Uthurburu, J.R.; Keijzer, M.; Uittenbogaard, R.E.; Mynett, A.; Verwey, A. On inducing equations for vegetation resistance. J. Hydraul. Res. 2007, 45, 435–450. [Google Scholar] [CrossRef]
- Caroppi, G.; Vastila, K.; Jarvela, J.; Lee, C.; Ji, U.; Kim, H.S.; Kim, S. Flow and wake characteristics associated with riparian vegetation patches: Results from field-scale experiments. Hydrol. Process. 2022, 36, e14506. [Google Scholar] [CrossRef]
- Przyborowski, L.; Loboda, A.M. Identification of coherent structures downstream of patches of aquatic vegetation in a natural environment. J. Hydrol. 2021, 596, 126123. [Google Scholar] [CrossRef]
- Bouma, T.J.; van Duren, L.A.; Temmerman, S.; Claverie, T.; Blanco-Garcia, A.; Ysebaert, T.; Herman, P.M.J. Spatial flow and sedimentation patterns within patches of epibenthic structures: Combining field, flume and modelling experiments. Cont. Shelf Res. 2007, 27, 1020–1045. [Google Scholar] [CrossRef]
- Chen, Z.B.; Jiang, C.B.; Nepf, H. Flow adjustment at the leading edge of a submerged aquatic canopy. Water Resour. Res. 2013, 49, 5537–5551. [Google Scholar] [CrossRef]
- Zong, L.J.; Nepf, H. Vortex development behind a finite porous obstruction in a channel. J. Fluid Mech. 2012, 691, 368–391. [Google Scholar] [CrossRef]
- Folkard, A.M. Hydrodynamics of model Posidonia oceanica patches in shallow water. Limnol. Oceanogr. 2005, 50, 1592–1600. [Google Scholar] [CrossRef]
- Wolski, K.; Tymiński, T. Studies on the threshold density of Phragmites australis plant concentration as a factor of hydraulic interactions in the riverbed. Ecol. Eng. 2020, 151, 105822. [Google Scholar] [CrossRef]
- Liu, M.Y.; Huai, W.X.; Yang, Z.H.; Zeng, Y.H. A genetic programming-based model for drag coefficient of emergent vegetation in open channel flows. Adv. Water Resour. 2020, 140, 103582. [Google Scholar] [CrossRef]
- Zhang, Y.; Lai, X.; Jiang, J. The impact of plant morphology on flow structure: Comparative analysis of two types of submerged flexible macrophyte. Hydrol. Sci. J. 2016, 61, 2226–2236. [Google Scholar] [CrossRef]
- Liu, C.; Nepf, H. Sediment deposition within and around a finite patch of model vegetation over a range of channel velocity. Water Resour. Res. 2016, 52, 600–612. [Google Scholar] [CrossRef]
- Ali, A.; Tanaka, N. Experimental study of scouring downstream of coastal vegetation in an inundating tsunami current. Landsc. Ecol. Eng. 2020, 16, 273–287. [Google Scholar] [CrossRef]
- Yagci, O.; Yildirim, I.; Celik, M.F.; Kitsikoudis, V.; Duran, Z.; Kirca, V.S.O. Clear water scour around a finite array of cylinders. Appl. Ocean Res. 2017, 68, 114–129. [Google Scholar] [CrossRef]
- Landry, J.B.; Golden, R.R. In Situ Effects of Shoreline Type and Watershed Land Use on Submerged Aquatic Vegetation Habitat Quality in the Chesapeake and Mid-Atlantic Coastal Bays. Estuar. Coast. 2018, 41, 101–113. [Google Scholar] [CrossRef]
- Lee, K.H.; Isenhart, T.M.; Schultz, R.C. Sediment and nutrient removal in an established multi-species riparian buffer. J. Soil Water Conserv. 2003, 58, 1–8. [Google Scholar]
- Veettil, B.K.; Ward, R.D.; Dung, N.T.K.; Van, D.D.; Quang, N.X.; Hoai, P.N.; Hoang, N.D. The use of bioshields for coastal protection in Vietnam: Current status and potential. Reg. Stud. Mar. Sci. 2021, 47, 101945. [Google Scholar] [CrossRef]
- Blanckaert, K.; de Vriend, H.J. Meander dynamics: A nonlinear model without curvature restrictions for flow in open-channel bends. J. Geophys. Res. 2010, 115, F04011. [Google Scholar] [CrossRef]
- Yang, S.; Bai, Y.; Xu, H. Experimental Analysis of River Evolution with Riparian Vegetation. Water 2018, 10, 1500. [Google Scholar] [CrossRef]
- Gao, C.; Liu, J.; Wang, Z.W. An Ecological Flood Control System in Phoenix Island of Huzhou, China: A Case Study. Water 2013, 5, 1457–1471. [Google Scholar] [CrossRef]









| Case. | Vegetation Patch Density (G/d) | Vegetation Patch Thickness (dn) | Height (H) | Vegetation Patch Width (W) | Distance of Each Bundle (D) | Vegetation Patch Types |
|---|---|---|---|---|---|---|
| No. | (-) | (-) | (cm) | (cm) | (cm) | |
| 1 | 0.83 | 170 | 20 | 4.0 | 1.66 | Dense and narrow |
| 2 | 0.83 | 400 | 20 | 9.64 | 1.66 | Dense and usual |
| 3 | 0.83 | 630 | 20 | 15.06 | 1.66 | Dense and wide |
| 4 | 1.30 | 170 | 20 | 10.00 | 2.60 | Medium and narrow |
| 5 | 1.30 | 400 | 20 | 23.50 | 2.60 | Medium and usual |
| 6 | 1.30 | 630 | 20 | 37.00 | 2.60 | Medium and wide |
| 7 | 1.77 | 170 | 20 | 19.39 | 3.54 | Sparse and narrow |
| 8 | 1.77 | 400 | 20 | 49.91 | 3.54 | Sparse and usual |
| 9 | 1.77 | 630 | 20 | 68.43 | 3.54 | Sparse and wide |
| Parameters | Values |
|---|---|
| Measurement distance (m) | 0.6–70 |
| Range error (mm) | ±1 |
| Measurement accuracy (mm) | 0.2 |
| Field of vision (°) | 360 × 300 |
| Laser wavelength (nm) | 1550 |
| Morphometric Parameter | Notes |
|---|---|
| EPED is the ratio of the erosion volume to the erosion area and is a length dimension. In other words, EPED expresses the equivalent prismatic erosion depth over the erosion area. This parameter quantifies the distribution of erosion affected by vegetation in the erosion area. | |
| SFEV is the ratio of the erosion volume to the cube of the erosion width, which represents the shape of the erosion volume. SFEV quantifies the location of the erosion volume. Lower SFEV value indicates that erosion is distributed within a shorter area rather than within a longer area. w is the width of the flume. | |
| ADL is the ratio of deposition area to deposition width, which represents the average deposition length. | |
| SFDV is the ratio of the deposition volume to the cube of the deposition width, which represents the shape of deposition volume. For a given deposition volume, SFDV increases with decreasing deposition length. Alternatively, for a given deposition length, the value increases with increasing deposition volume. | |
| DVDR is the ratio of the deposition volume to the erosion volume, which represents the erosion volume deposited downstream of the vegetation patch. |
| Vegetation Patch Configuration No. | Vegetation Patch Density (-) | Vegetation Patch Thickness (-) | MEL (cm) | EA (cm2) | EV (cm3) | EPED (cm) | SFEV (-) | ADL (cm) | DA (cm2) | DV (cm3) | DVDR (-) | SFDV (-) | Product of Density and Thickness (-) |
|---|---|---|---|---|---|---|---|---|---|---|---|---|---|
| 1 | 0.83 | 170 | 36.00 | 715.77 | 2128.83 | 2.97 | 0.08 | 33.54 | 1006.33 | 1627.90 | 0.77 | 0.06 | 141.1 |
| 2 | 0.83 | 400 | 42.60 | 1136.98 | 5002.53 | 4.40 | 0.19 | 77.78 | 2333.29 | 4491.13 | 0.90 | 0.17 | 332.0 |
| 3 | 0.83 | 630 | 44.80 | 1195.52 | 5491.11 | 4.59 | 0.20 | 56.27 | 1687.97 | 4808.26 | 0.98 | 0.18 | 522.9 |
| 4 | 1.30 | 170 | 20.20 | 446.18 | 485.57 | 1.08 | 0.02 | 9.69 | 290.84 | 303.00 | 0.62 | 0.01 | 221.0 |
| 5 | 1.30 | 400 | 31.50 | 785.70 | 1387.70 | 1.69 | 0.05 | 18.41 | 552.23 | 936.70 | 0.68 | 0.03 | 520.0 |
| 6 | 1.30 | 630 | 41.70 | 928.16 | 1838.14 | 1.98 | 0.07 | 26.20 | 785.99 | 1319.78 | 0.72 | 0.05 | 819.0 |
| 7 | 1.77 | 170 | 35.20 | 789.19 | 1844.72 | 2.34 | 0.07 | 28.80 | 863.95 | 1394.61 | 0.76 | 0.05 | 300.9 |
| 8 | 1.77 | 400 | 59.00 | 1412.99 | 3507.01 | 2.48 | 0.13 | 36.99 | 1109.74 | 2703.20 | 0.77 | 0.10 | 708.0 |
| 9 | 1.77 | 630 | 75.00 | 2101.07 | 5552.41 | 2.64 | 0.21 | 49.87 | 1496.20 | 4279.10 | 0.78 | 0.16 | 1115.1 |
Disclaimer/Publisher’s Note: The statements, opinions and data contained in all publications are solely those of the individual author(s) and contributor(s) and not of MDPI and/or the editor(s). MDPI and/or the editor(s) disclaim responsibility for any injury to people or property resulting from any ideas, methods, instructions or products referred to in the content. |
© 2024 by the authors. Licensee MDPI, Basel, Switzerland. This article is an open access article distributed under the terms and conditions of the Creative Commons Attribution (CC BY) license (https://creativecommons.org/licenses/by/4.0/).
Share and Cite
Song, Y.; Liu, R.; Yang, Q.; Li, J.; Cai, C.; Feng, Y.; Huang, G.; Hao, R.; Li, H.; Zhan, C.; et al. Effects of Patch Properties of Submerged Vegetation on Sediment Scouring and Deposition. Water 2024, 16, 2144. https://doi.org/10.3390/w16152144
Song Y, Liu R, Yang Q, Li J, Cai C, Feng Y, Huang G, Hao R, Li H, Zhan C, et al. Effects of Patch Properties of Submerged Vegetation on Sediment Scouring and Deposition. Water. 2024; 16(15):2144. https://doi.org/10.3390/w16152144
Chicago/Turabian StyleSong, Yantun, Ruixiang Liu, Qiong Yang, Jiayi Li, Chongfa Cai, Yifan Feng, Guiyun Huang, Rong Hao, Hao Li, Changhua Zhan, and et al. 2024. "Effects of Patch Properties of Submerged Vegetation on Sediment Scouring and Deposition" Water 16, no. 15: 2144. https://doi.org/10.3390/w16152144
APA StyleSong, Y., Liu, R., Yang, Q., Li, J., Cai, C., Feng, Y., Huang, G., Hao, R., Li, H., Zhan, C., & Wen, X. (2024). Effects of Patch Properties of Submerged Vegetation on Sediment Scouring and Deposition. Water, 16(15), 2144. https://doi.org/10.3390/w16152144

