Informed Search Strategy for Synchronous Recognition of Groundwater Pollution Sources and Aquifer Parameters Based on an Improved DCN Substitute
Abstract
1. Introduction
2. Methodology
2.1. The Numerical Simulator
2.2. The DCN Method
2.3. State Evaluation Function
2.4. Variable Radius Free Search Method
2.5. The Tsallis Formula Based on State Evaluation Function
3. Case Study
3.1. Site Overview
3.2. Application of the Improved DCN Substitute
3.3. Application of State Evaluation Function
3.3.1. Prior Information
3.3.2. Likelihood Function
3.4. Informed Search Iterative Course
4. Results and Discussion
4.1. Performance of the Improved DCN Substitute
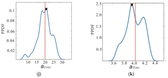
4.2. Recognition Results
5. Conclusions
Author Contributions
Funding
Data Availability Statement
Conflicts of Interest
References
- Asher, M.J.; Croke, B.F.W.; Jakeman, A.J.; Peeters, L.J.M. A review of surrogate models and their application to groundwater modeling. Water Resour. Res. 2015, 51, 5957–5973. [Google Scholar] [CrossRef]
- Ayvaz, M.T. A linked simulation-optimization model for solving the unknown groundwaterpollution source identification problems. J. Contam. Hydrol. 2010, 117, 46–59. [Google Scholar] [CrossRef] [PubMed]
- Yao, Y.; Yang, F.; Suuberg, E.M.; Provoost, J.; Liu, W. Estimation of contaminant subslab concentration in petroleum vapor intrusion. J. Hazard. Mater. 2014, 279, 336–347. [Google Scholar] [CrossRef] [PubMed][Green Version]
- Zanini, A.; D’Oria, M.; Tanda, M.G.; Woodbury, A.D. Coupling empirical Bayes and Akaike’s Bayesian information criterion to estimate aquifer transmissivity fields. Math. Geosci. 2020, 52, 425–441. [Google Scholar] [CrossRef]
- Guo, J.; Lu, W.; Yang, Q.; Miao, T. The application of 0–1 mixed integer nonlinear programming optimization model based on a surrogate model to identify the groundwater pollution source. J. Contam. Hydrol. 2019, 220, 18–25. [Google Scholar] [CrossRef] [PubMed]
- Mirghani, B.Y.; Zechman, E.M.; Ranjithan, R.S.; Mahinthakumar, G. Enhanced Simulation-Optimization Approach Using Surrogate Modeling for Solving Inverse Problems. Environ. Forensics 2012, 13, 348–363. [Google Scholar] [CrossRef]
- Sreekanth, J.; Datta, B. Coupled simulation-optimization model for coastal aquifer management using genetic programming-based ensemble surrogate models and multiple-realization optimization. Water Resour. Res. 2011, 47, W04516. [Google Scholar] [CrossRef]
- Zhao, Y.; Qu, R.; Xing, Z.; Lu, W. Identifying groundwater contaminant sources based on a KELM surrogate model together with four heuristic optimization algorithms Adv. Water Resour. 2020, 138, 103540. [Google Scholar] [CrossRef]
- Mirarabi, A.; Nassery, H.R.; Nakhaei, M.; Adamowski, J.; Akbarzadeh, A.H.; Alijani, F. Evaluation of data-driven models (SVR and ANN) for groundwater-level prediction in confined and unconfined systems. Environ. Geol. 2019, 78, 489.1–489.15. [Google Scholar] [CrossRef]
- Prakash, O.; Datta, B. Sequential optimal monitoring network design and iterative spatial estimation of pollutant concentration for identification of unknown groundwater pollution source locations. Environ. Monit. Assess. 2012, 185, 5611–5626. [Google Scholar] [CrossRef]
- Zhang, J.; Vrugt, J.A.; Shi, X.; Lin, G.; Wu, L.; Zeng, L. Improving simulation efficiency of MCMC for inverse modeling of hydrologic systems with a Kalman-inspired proposal distribution. Water Resour. Res. 2020, 56, e2019WR025474. [Google Scholar] [CrossRef]
- Datta, B.; Chakrabarty, D.; Dhar, A. Identification of unknown groundwater pollution sources using classical optimization with linked simulation. J. Hydro-Environ. Res. 2011, 5, 25–36. [Google Scholar] [CrossRef]
- Lapworth, D.J.; Baran, N.; Stuart, M.E.; Ward, R.S. Emerging organic contaminants in groundwater: A review of sources, fate and occurrence. Environ. Pollut. 2012, 163, 287–303. [Google Scholar] [CrossRef] [PubMed]
- Zanini, A.; Tanda, M.G.; Woodbury, A.D. Identification of transmissivity fields using a Bayesian strategy and perturbative approach. Adv. Water Resour. 2017, 108, 69–82. [Google Scholar] [CrossRef]
- Hastings, W. Monte Carlo sampling methods using Markov chains and their applications. Biometrika 1970, 57, 97–107. [Google Scholar] [CrossRef]
- Sadegh, M.; Vrugt, J. Approximate Bayesian computation using Markov Chain Monte Carlo simulation: DREAM(ABC). Water Resour. Res. 2015, 50, 6767–6787. [Google Scholar] [CrossRef]
- Han, Z.; Lu, W.; Fan, Y.; Lin, J.; Yuan, Q. A surrogate-based simulation-optimization approach for coastal aquifer management. Water Supply 2020, 20, 3404–3418. [Google Scholar] [CrossRef]
- Matott, L.S.; Rabideau, A.J. Calibration of complex subsurface reaction models using a surrogate-model approach. Adv. Water Resour. 2008, 31, 1697–1707. [Google Scholar] [CrossRef]
- Zhao, Y.; Lu, W.; Xiao, C. A Kriging surrogate model coupled in simulation-optimization approach for identifying release history of groundwater sources. J. Contam. Hydrol. 2016, 185–186, 51–60. [Google Scholar] [CrossRef]
- Xing, Z.; Qu, R.; Zhao, Y.; Fu, Q.; Ji, Y.; Lu, W. Identifying the Release History of a Groundwater Contaminant Source Based on an Ensemble Surrogate Model. J. Hydrol. 2019, 572, 501–516. [Google Scholar] [CrossRef]
- Zanini, A.; Woodbury, A.D. Contaminant source reconstruction by empirical Bayes and Akaike’s Bayesian Information Criterion. J. Contam. Hydrol. 2016, 185–186, 74–86. [Google Scholar] [CrossRef]
- Zhao, Y.; Lu, W.; An, Y. Surrogate model-based simulation-optimization approach for groundwater source identification problems. Environ. Forensics 2015, 16, 296–303. [Google Scholar] [CrossRef]
- Hinton, G.E.; Salakhutdinov, R. Reducing the dimensionality of data with neural networks. Science 2006, 313, 504–507. [Google Scholar] [CrossRef] [PubMed]
- Hinton, G.E.; Osindero, S.; Teh, Y.W. A fast learning algorithm for deep belief nets. Neural Comput. 2014, 18, 1527–1554. [Google Scholar] [CrossRef]
- Bengio, Y. Learning Deep Architectures for AI. Found. Trends Mach. Learn. 2009, 2, 1–127. [Google Scholar] [CrossRef]
- Kong, X.; Zheng, F.; E, Z.; Cao, J.; Wang, X. Short-term load forecasting based on deep belief network. Autom. Electr. Power Syst. 2018, 42, 133–139. [Google Scholar]
- Lu, W.; Wang, H.; Li, J. Parallel heuristic search strategy based on a Bayesian approach for simultaneous recognition of contaminant sources and aquifer parameters at DNAPL-contaminated sites. Environ. Sci. Pollut. Res. 2020, 27, 37134–37148. [Google Scholar] [CrossRef]
- Penev, K.; Littlefair, G. Free Search—A comparative analysis. Inf. Sci. 2005, 172, 173–193. [Google Scholar] [CrossRef]
- Robini, M. Theoretically grounded acceleration techniques for simulated annealing. Intell. Syst. Ref. Libr. 2013, 38, 311–336. [Google Scholar]
- Wang, H.; Lu, W.; Chang, Z. An iterative updating heuristic search strategy for groundwater contamination source identification based on an ACPSO-ELM surrogate system. Stoch. Environ. Res. Risk Assess. 2021, 35, 2153–2172. [Google Scholar] [CrossRef]
- Wang, H.; Lu, W. Recognizing groundwater DNAPL contaminant source and aquifer parameters using parallel heuristic search strategy based on Bayesian approach. Stoch. Environ. Res. Risk Assess. 2020, 35, 813–830. [Google Scholar] [CrossRef]









| Unknown Variables | Truth Value |
|---|---|
| P1 (g/s) | 29.3 |
| P2 (g/s) | 21.3 |
| P3 (g/s) | 12.8 |
| K1 (m/d) | 143.5 |
| K2 (m/d) | 36.2 |
| K3 (m/d) | 13.4 |
| K4 (m/d) | 212.4 |
| K5 (m/d) | 59.8 |
| K6 (m/d) | 7.2 |
| aL (m) | 20 |
| aT (m) | 4 |
| Parameter | Value |
|---|---|
| Effective porosity | 0.3 |
| Confined aquifer thickness (m) | 30 |
| Grid spacing in x-direction (m) | 50 |
| Grid spacing in y-direction (m) | 50 |
| Unknown Variable | Preliminary Estimating Value | Preliminary Value Range | Prior Distribution | Preliminary Mean | Preliminary Variance |
|---|---|---|---|---|---|
| K1 (m/d) | 100 | (50, 200) | Normal distribution | 100 | 500 |
| K2 (m/d) | 50 | (20, 100) | Normal distribution | 50 | 200 |
| K3 (m/d) | 40 | (20, 100) | Normal distribution | 40 | 150 |
| K4 (m/d) | 150 | (100, 300) | Normal distribution | 150 | 700 |
| K5 (m/d) | 30 | (10, 70) | Normal distribution | 30 | 100 |
| K6 (m/d) | 20 | (5, 60) | Normal distribution | 20 | 90 |
| P1 (g/s) | 5 | (0, 50) | Normal distribution | 5 | 40 |
| P2 (g/s) | 10 | (0, 50) | Normal distribution | 10 | 80 |
| P3 (g/s) | 35 | (0, 50) | Normal distribution | 35 | 150 |
| aL (m) | 30 | (5, 40) | Normal distribution | 25 | 80 |
| aT (m) | 6 | (1, 8) | Normal distribution | 4 | 30 |
| Monitoring Well | Correlation Coefficient |
|---|---|
| 1 | 0.9912 |
| 2 | 0.9927 |
| 3 | 0.9935 |
| Unknown Variable | True Value | Point Estimation | Relative Error |
|---|---|---|---|
| K1 (m/d) | 143.5 | 139.6 | 2.72% |
| K2 (m/d) | 36.2 | 37.2 | 2.76% |
| K3 (m/d) | 13.4 | 13.7 | 2.24% |
| K4 (m/d) | 212.4 | 216.8 | 2.07% |
| K5 (m/d) | 59.8 | 58.4 | 2.34% |
| K6 (m/d) | 7.2 | 7.4 | 2.78% |
| P1 (g/s) | 29.3 | 28.7 | 2.05% |
| P2 (g/s) | 21.3 | 20.8 | 2.35% |
| P3 (g/s) | 12.8 | 12.5 | 2.34% |
| aL (m) | 20.0 | 20.7 | 3.50% |
| aT (m) | 4.0 | 3.87 | 3.25% |
Disclaimer/Publisher’s Note: The statements, opinions and data contained in all publications are solely those of the individual author(s) and contributor(s) and not of MDPI and/or the editor(s). MDPI and/or the editor(s) disclaim responsibility for any injury to people or property resulting from any ideas, methods, instructions or products referred to in the content. |
© 2024 by the authors. Licensee MDPI, Basel, Switzerland. This article is an open access article distributed under the terms and conditions of the Creative Commons Attribution (CC BY) license (https://creativecommons.org/licenses/by/4.0/).
Share and Cite
Li, G.; Wang, H.; Guo, J.; Zhang, J.; Lu, W. Informed Search Strategy for Synchronous Recognition of Groundwater Pollution Sources and Aquifer Parameters Based on an Improved DCN Substitute. Water 2024, 16, 2143. https://doi.org/10.3390/w16152143
Li G, Wang H, Guo J, Zhang J, Lu W. Informed Search Strategy for Synchronous Recognition of Groundwater Pollution Sources and Aquifer Parameters Based on an Improved DCN Substitute. Water. 2024; 16(15):2143. https://doi.org/10.3390/w16152143
Chicago/Turabian StyleLi, Guanghua, Han Wang, Jiayuan Guo, Jinping Zhang, and Wenxi Lu. 2024. "Informed Search Strategy for Synchronous Recognition of Groundwater Pollution Sources and Aquifer Parameters Based on an Improved DCN Substitute" Water 16, no. 15: 2143. https://doi.org/10.3390/w16152143
APA StyleLi, G., Wang, H., Guo, J., Zhang, J., & Lu, W. (2024). Informed Search Strategy for Synchronous Recognition of Groundwater Pollution Sources and Aquifer Parameters Based on an Improved DCN Substitute. Water, 16(15), 2143. https://doi.org/10.3390/w16152143
