Abstract
Concentrating organic matter in sludge and converting it into methane through anaerobic bioconversion can improve resource recovery from domestic wastewater. Enhanced membrane coagulation (EMC) is highly efficient at concentrating organic matter, but residual coagulants (aluminum salts) can obstruct bioconversion by blocking microbial access. Limited research exists on evaluating EMC sludge bioconversion performance and addressing coagulant inhibition. This study proposes alkaline pre-fermentation to break down HO-Al-P backbones in coagulated sludge flocs, thereby improving hydrolysis and organic acid production for anaerobic digestion. Among the tested alkaline conditions (pH 9, pH 10, pH 11), pre-fermentation at pH 11 released the most organic matter (4710.0 mg/L SCOD), 20.4 times higher than without alkaline treatment. At pH 11, phosphate (61 mg/L PO43−–P) and organic acid production (2728.1 mg COD/L, with nearly 50% acetic acid) peaked, resulting in superior volatile solids removal (65.2%) and methane production (185.8 mL/g VS) during anaerobic digestion. Alkaline pre-fermentation favored alkali-tolerant bacteria such as Firmicutes and Actinobacteria, especially at pH 11, while neutrophilic Proteobacteria were suppressed. Trichococcus and Bifidobacterium, known acid producers, dominated under all conditions, with their abundance increasing at higher pH levels. Anaerobic digestion enriched fermentative bacteria like Chloroflexi and Synergistota (e.g., Thermovirga), especially in high pH reactors. Methanothrix, an acetoclastic methanogen, became the dominant methanogenic archaeon, indicating that methane production from EMC sludge primarily followed the acetoclastic methanogenesis pathway. Our findings demonstrate that alkaline pre-fermentation at pH 11 significantly enhances the hydrolysis efficiency of EMC sludge for methane recovery.
1. Introduction
In recent years, the focus on pollutants in domestic wastewater, particularly organic matter, nitrogen, and phosphorus, has shifted from removal to resource recovery [1]. This shift is driven by the need to address climate change, optimize energy use, and explore renewable energy alternatives [2]. The academic community is now investigating energy self-sufficient wastewater treatment plants that reduce energy consumption, achieve carbon neutrality, and lower operational costs [3]. Domestic wastewater contains a substantial amount of organic matter, but typically at low concentrations. To recover and utilize this organic matter, it can be concentrated in sludge and then converted through anaerobic bioconversion into methane (CH4) and short-chain fatty acids (SCFAs) [4].
Several methods exist for concentrating organic matter in domestic wastewater, including magnetic separation, activated sludge adsorption, and chemical enhanced primary treatment (CEPT) [5]. Magnetic separation involves adding magnetic seeds to the wastewater to magnetize target pollutants, forming magnetic flocs that rapidly destabilize and separate under a magnetic field. This method is mainly used in livestock wastewater and landfill leachate treatment, with limited application for low-concentration domestic wastewater due to its low efficiency in concentrating organic matter [6]. Activated sludge adsorption can be achieved through the adsorption/bio-oxidation (A/B) process, which captures colloidal and particulate organic matter in sludge by utilizing the high food-to-microorganism (F/M) ratio and low hydraulic retention time (HRT) of the A stage. However, microbial growth consumes some of the organic matter, reducing the efficiency of carbon source concentration [7]. CEPT is the most widely used technology for concentrating organic matter [8]. In CEPT, coagulants are added to the primary sedimentation tank to aggregate smaller particulates and colloidal organic matter into larger flocs, which settle to produce organically enriched CEPT sludge [9]. CEPT commonly recovers up to 50~60% of organic matter from wastewater, requiring an HRT of 1.5 h or more [10,11,12].
The enhanced membrane coagulation (EMC) process improves the concentration efficiency and rate of organic matter by using membrane separation (ultrafiltration or microfiltration) instead of precipitation in CEPT [13]. Powered activated carbon (absorbent) and polyaluminum chloride (coagulant) are used to alleviate membrane fouling and enhance the retention of organic matter [13]. A lab-scale experiment by Gong et al. [14] using real domestic wastewater showed that direct membrane filtration prevented organic matter loss due to aerobic microbial degradation in biological wastewater treatment. They achieved 60.2% influent COD in sludge, with a maximum sludge COD of 7500 mg/L. Subsequent pilot-scale studies showed that EMC increased the organic matter recovery rate to 72–75%, with sludge COD reaching up to 20,000 mg/L. In a 200 m3/d demonstration project [15], EMC removed 80% of organic matter and nearly 30% ammonia nitrogen, with an HRT of 60 min. The sludge COD also reached 20,000 mg/L, and operational costs were reduced by over 20% compared to similar processes.
However, research on the anaerobic bioconversion of EMC sludge, which contains coagulants and high organic matter concentrations, is limited. Coagulants in this sludge form insoluble complexes with organic matter and phosphates [16], hindering anaerobic microorganisms from accessing and converting the organic matter encapsulated in these large coagulation flocs. Therefore, sludge hydrolysis is a critical step limiting the anaerobic bioconversion of this organic matter [17,18]. EMC sludge is similar to CEPT sludge, as both contain high levels of organic matter, phosphorus, and inorganic coagulants (such as aluminum and iron salts) [15]. Studies on anaerobic bioconversion of CEPT sludge have found that coagulants reduce the overall degradation rate of organic matter by 30–40% [19,20]. This issue can be addressed by alkaline pretreatment, which enhances sludge hydrolysis by disrupting the HO-Al-P backbones in sludge flocs, releasing substantial amounts of organic matter and phosphate [21,22]. This promotes sludge hydrolysis and subsequent organic acids production, increasing CH4 yield [21,22]. Since the EMC process uses ultrafiltration membranes instead of sedimentation as in CEPT, the concentration efficiency is significantly improved, resulting in EMC sludge containing approximately four times higher levels of organic matter, total phosphorus (TP), and coagulants compared with CEPT sludge [15,23]. The feasibility of alkaline pretreatment on enhancing the anaerobic bioconversion of EMC sludge warrants further investigation.
The EMC process is currently the most efficient method for concentrating organic matter in domestic wastewater. The bioconversion of EMC sludge represents the final step in recovering and utilizing carbon resources. This study is the first to report on the enhanced anaerobic digestion of EMC sludge aimed at methane recovery and sludge stabilization. A 10-day alkaline pre-fermentation experiment on EMC sludge was conducted to investigate the effects of alkaline pretreatment at various pH levels (9, 10, and 11) on the dissolution of organic matter and phosphate, and organic acid production. A subsequent 40-day anaerobic digestion experiment assessed anaerobic stabilization and methane recovery performance of the fermented sludge. Finally, the dominant microbial communities in the reactor during both alkaline fermentation and anaerobic digestion were identified, and their roles in EMC anaerobic bioconversion were analyzed.
2. Materials and Methods
2.1. EMC Sludge and Inoculum
The EMC sludge used in this study was sourced from a 200 m3/d EMC demonstration project in Beijing, China. The influent concentrations of COD, TP, and NH4+–N in the wastewater were 235.9 ± 105.9 mg/L, 3.9 ± 0.5 mg/L, and 35.5 ± 6.1 mg/L, respectively. The properties of the EMC sludge are summarized in Table 1. COD and TP in the sludge were 26,645.6 ± 7116.1 mg/L and 480.9 ± 238.2 mg/L, respectively. The inoculum for anaerobic digestion was sourced from the anaerobic digester at a food waste treatment plant in Beijing, China. The properties of the inoculum are also shown in Table 1. The inoculum was starved under anaerobic conditions for two weeks before use, ensuring no methane production was detectable.
Table 1.
Properties of EMC sludge and inoculum.
2.2. Alkaline Pre-Fermentation Experiment
Alkaline pre-fermentation was conducted in four thermostatic anaerobic reactors (35 °C, 130 rpm), labeled R1 to R4, each with an effective volume of 2 L. R1 served as the control reactor, with no pH adjustment during the experiment. Under nitrogen purging conditions, 2 L of EMC sludge was added to each reactor. The pH of the sludge in reactors R2, R3, and R4 was adjusted to 9, 10, and 11, respectively, using 4 mol/L NaOH. After 0.5 h of alkaline pretreatment, samples were taken to measure soluble chemical oxygen demand (SCOD) and PO43−–P in the sludge. The fermentation then began and continued for 10 days. The SCOD, PO43−–P, and fermentation products (organic acids and ethanol) in the reactors were regularly monitored. Microbial community analysis was conducted on samples taken from the raw sludge at the start of fermentation and from the sludge in reactors R1, R3, and R4 at the end of fermentation.
2.3. Anaerobic Digestion Experiment
Following alkaline pre-fermentation, 350 mL of inoculum was added to each reactor using an injector. The inoculum was then mixed with the reactor sludge under stirring, commencing the anaerobic digestion experiment. It lasted for 40 days, with regular sampling of the digestate from each reactor for analysis. Parameters such as pH, SCOD, PO43−–P, total solids (TS), and volatile solids (VS) were measured. Gas production (at standard temperature and pressure) and composition in each reactor were measured. Samples of sludge from reactors R1, R3, and R4 were collected at the beginning and end of the anaerobic digestion experiment for microbial community analysis.
2.4. Analysis
The pH was measured using an online pH meter (MIK-PH5022, Meacon, Germany). SCOD, NH4+–N, TP, and PO43−–P were all measured according to the standard method [24]. TS and VS were measured using the gravimetric method [25]. Ethanol was measured using a gas chromatograph (Shimadzu GC-2010, Shimadzu, Kyoto, Japan) with a flame ionization detector (FID) and a 30 m × 0.25 mm × 0.5 μm DB-FFAP fused silica capillary column. The column oven temperature was maintained at 70 °C for 3 min, then ramped up to 180 °C at a rate of 10 °C per minute, and held for 4.5 min. The temperatures of the injector and the detector were set at 250 °C and 300 °C, respectively. Nitrogen was used as the carrier gas at a flow rate of 1.2 mL/min. The injection volume was 1 μL, with a split ratio of 10:1 [26]. Organic acids were measured using a Shimadzu high-performance liquid chromatograph (HPLC) with a 210 nm ultraviolet detector. The mobile phase was 0.005 M H2SO4 with a flow rate of 0.5 mL/min, and separation was achieved using an Aminex HP-87H column (Bio-Rad, Hercules, CA, USA). The organic acids analyzed were acetic acid, propionic acid, n-butyric acid, isobutyric acid, n-valeric acid, isovaleric acid, and lactic acid [26]. Gas samples were collected from sampling ports with a gas-tight syringe (1 mL injection volume) and analyzed with a gas chromatograph (Shimadzu GC-2014, Shimadzu, Kyoto, Japan) equipped with a TCD detector and a TDX-01 column (1 m × 3 mm). The injector, column, and detector were maintained at 150, 120, and 150 °C, respectively. The flow rate of the carrier gas (argon) was maintained at 30 mL/min.
2.5. Microbial Community Analysis
DNA was extracted from 10 sludge samples from Section 2.2 and Section 2.3, using the FastDNA® SPIN Kit (MP Biomedicals, Santa Ana, CA, USA) for Soil kit. The quality of the extracted DNA was checked by 1% agarose gel electrophoresis. For PCR amplification, the bacterial 16S rRNA gene sequences were amplified using primers 338F (5’-ACTCCTACGGGAGGCAGCAG-3’) and 806R (5’-GGACTACHVGGGTWTCTAAT-3’), following the same conditions as described in Xu et al. [27]. Archaeal gene sequences were amplified using a nested PCR approach. The first round used primers 340F (CCCTAYGGGGYGCASCAG) and 1000R (GGCCATGCACYWCYTCTC), while the second round used primers 349F (GYGCASCAGKCGMGAAW) and 806R (GGACTACVSGGGTATCTAAT) [28]. The PCR amplification products were then purified, quantified, and normalized. High-throughput sequencing was performed using the Illumina MiSeq platform (Illumina, Inc., San Diego, CA, USA). A total of 486,878 bacterial sequences and 386,622 archaeal sequences were obtained from the 10 sludge samples. The raw data have been deposited to NCBI and can be accessed using the project number PRJNA1125857.
3. Results and Discussion
3.1. Alkaline Pre-Fermentation Performance
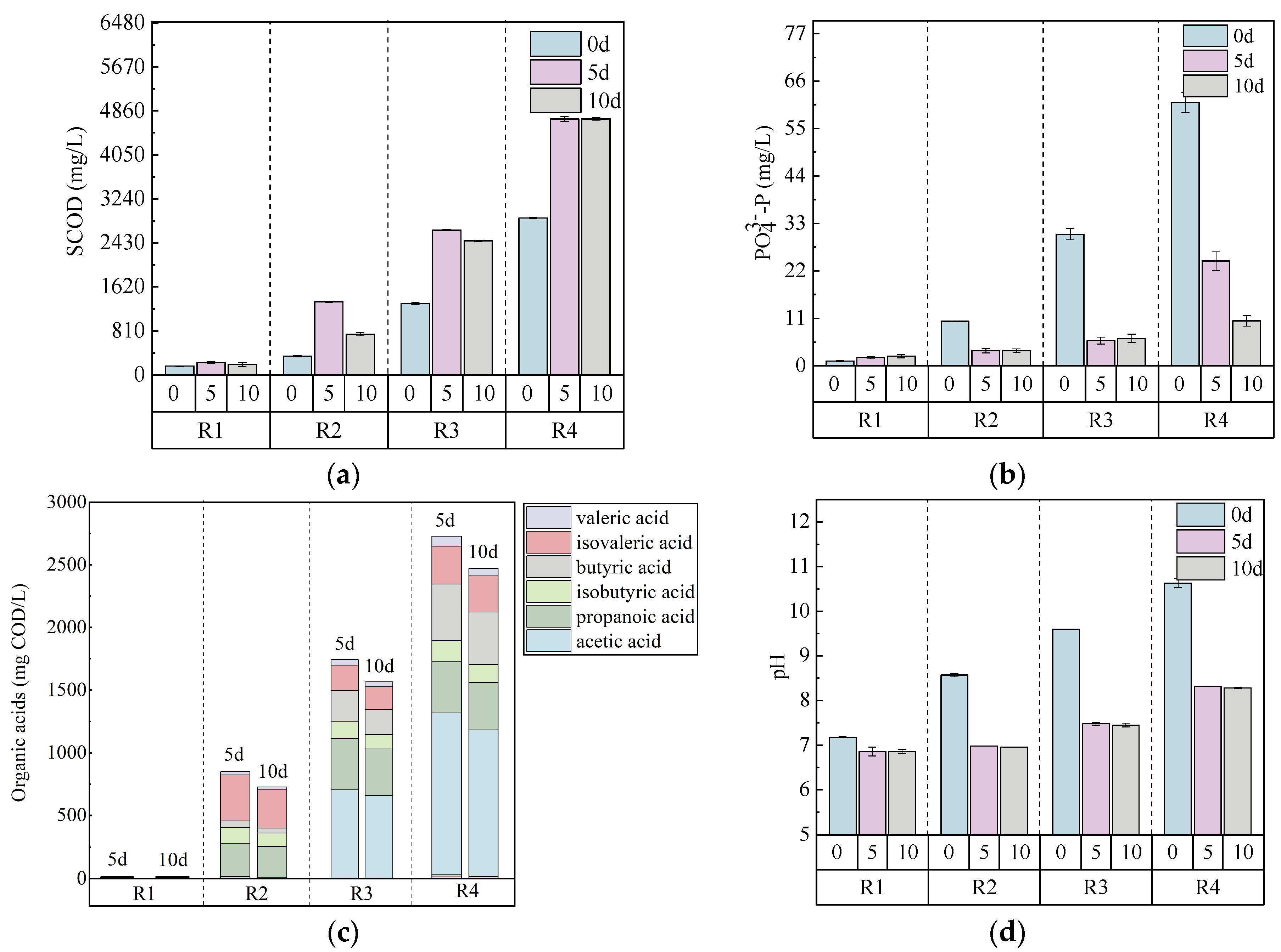
In the alkaline pre-fermentation process, at pH levels of 9, 10, and 11, the solubility of PO43−–P and Al in EMC sludge increased. This increase in solubility broke down the HO-Al-P backbones, releasing the encapsulated organic matter and phosphates [23]. Concurrently, indigenous microorganisms in the sludge fermented the organic matter into organic acids. Figure 1a,b show that the SCOD and PO43−–P (SCOD: 161~191.1 mg/L; PO43−–P:1.1~2.2 mg/L) in R1 (control, pH = 7.2) were obviously lower than in the alkaline pretreatment groups (R2, R3, and R4). After alkaline pretreatment (day 0), R4 (pH = 11) released the highest amounts of organic matter and phosphate. The SCOD in R4 was 2889 mg/L, 17.9 times, 8.3 times, and 2.2 times that of R1, R2 (pH = 9), and R3 (pH = 10), respectively. The PO43−–P in R4 was 61 mg/L, 6 times and 2 times that of R2 and R3, respectively. Subsequently, due to the synergistic action of microorganisms, organic matter hydrolysis and fermentation occurred simultaneously. By day 5, the SCOD in R2, R3, and R4 increased significantly compared with day 0, reaching 1346.8 mg/L, 2663.0 mg/L, and 4710.0 mg/L, respectively. At this point, the SCOD of R4 was 20.4 times that of R1. By day 10, the SCOD in R4 remained stable compared with day 5, while in R2 and R3 it decreased, indicating that fermentative microorganisms consumed some SCOD for growth.
Figure 1.
Changes in SCOD, PO43−–P, organic acids, and pH in each reactor during alkaline pre-fermentation; (a) SCOD; (b) PO43−–P; (c) organic acids; (d) pH (R1: control, pH = 7.2; R2: pH = 9; R3: pH = 10; R4: pH = 11). Ethanol was tested in addition to organic acids, but none was detected.
Unlike SCOD, PO43−–P peaked after alkaline pretreatment (day 0) and then decreased significantly with fermentation (Figure 1b). For example, in R4, PO43−–P decreased to 24.3 mg/L on day 5 and 10.4 mg/L on day 10. A large amount of organic acids, including acetic acid, propionic acid, butyric acid, and valeric acid, were generated during organic matter fermentation (Figure 1c). The highest organic acid production was observed in R4, reaching 2728.1 mg COD/L on day 5, with acetic acid accounting for nearly 50% of the total. The organic acids and carbon dioxide (CO2) produced during fermentation neutralized with NaOH added during alkaline pretreatment, reducing sludge pH. The pH in R2, R3, and R4 decreased from 8.6, 9.6, and 10.6 on day 0 to 7.0, 7.5, and 8.3 on day 5, respectively (Figure 1d). The pH decrease could have caused the previously released phosphate ions to recombine with ions such as Al3+ to form insoluble substances, decreasing PO43−–P (Figure 1b).
3.2. Anaerobic Digestion Performance
3.2.1. Sludge Solids Removal and Methane Production
The dissolved organic matter formed during alkaline pre-fermentation, especially organic acids, could serve as excellent substrates for anaerobic digestion. The removal rates of sludge solids, indicated by TS and VS, reflect sludge reduction and stabilization during anaerobic digestion [29]. Figure 2a shows that the VS removal rates followed the order R4 > R3 > R2 > R1; R1 (control, pH = 7.2) had the lowest VS removal rate at 58.3%, while R4 (pH = 11) had the highest removal rate, reaching 65.3%. The TS removal rate was consistent with VS, but overall was 17–20% lower due to the non-degradation of inorganic solids (IS). The removed VS was primarily utilized by anaerobic microorganisms for methane production (Figure 2b). Methane production on day 0 refers to the cumulative methane in the reactor at the end of alkaline pre-fermentation. The methane production on day 0 was R1 > R2 > R3 > R4, indicating that alkaline pre-fermentation at lower pH values was accompanied by methane production. The methane production of all reactors stabilized after the 10th day, with production ranking consistent with the VS removal rate. R4 (pH = 11) had the highest methane production, reaching 2937.9 mL, which was 37.6%, 26.6%, and 18.9% higher than R1 (control, pH = 7.2), R2 (pH = 9), and R3 (pH = 10), respectively. These results demonstrate consistent reactor performance in alkaline pre-fermentation, sludge solid removal, and methane production.
Figure 2.
(a) TS and VS removal rates during anaerobic digestion; (b) changes in methane production (R1: control, pH = 7.2; R2: pH = 9; R3: pH = 10; R4: pH = 11).
Alkaline pretreatment is widely used in the anaerobic digestion of CEPT sludge and waste-activated sludge (WAS) (Table 2). Notably, VS removal rates in both control and alkaline pretreatment groups were significantly higher than in existing studies. Organic matter in CEPT sludge is mainly encapsulated by the coagulant [30], whereas in WAS, it is mainly in the form of microbial cells [31]. During the EMC process, other than the coagulated organic matter, some dissolved organic matter may be trapped in the sludge by the gel layer on the membrane surface [32].
Table 2.
Comparison of VS reduction during anaerobic digestion of EMC sludge, CEPT sludge, and WAS under alkaline pretreatment.
Therefore, compared with CEPT sludge and WAS, the EMC sludge in this study contained more substrates readily utilized by anaerobic microorganisms. Even without alkaline pretreatment, it maintained a high VS removal rate. Alkaline pretreatment can release organic matter encapsulated by the coagulant, further enhancing sludge reduction and methane recovery efficiency.
3.2.2. Variations in SCOD, PO43−–P, and pH
Figure 3 shows the variations in pH, SCOD, and PO43−–P of the digestate in each reactor during anaerobic digestion. The pH in each reactor decreased during the first 10 days, then slowly increased, stabilizing between 7.2 and 7.5. The initial drop in pH could primarily be attributed to further fermentation of EMC sludge by microorganisms introduced with the new inoculum, resulting in acid production. Moreover, the CO2 generated during anaerobic digestion could also have lowered the sludge pH. The subsequent slow pH increase could have resulted from two alkalinity-generating processes: (1) methanogens utilizing organic acids to produce methane [38]; (2) denitrifying bacteria reducing NO3− in the sludge to nitrogen gas [39].
Figure 3.
Variation of pH, SCOD, and PO43−–P in each reactor during anaerobic digestion: (a) pH; (b) SCOD; (c) PO43−–P.
Consistent with the SCOD levels at the end of alkaline pre-fermentation (Figure 1a), the initial SCOD of R4 after inoculation remained significantly higher than the other reactors (Figure 3b), reaching 3957 ± 15 mg/L. During the first 5 days of anaerobic digestion, SCOD rapidly decreased, then declined more slowly, stabilizing at around 372.8 mg/L after 10 days. The SCOD variation in R3 was similar to R4, stabilizing at around 275.2 mg/L. The SCOD variation in R1 and R2 was similar and remained relatively stable between 428.9 mg/L and 126.4 mg/L. The rapid SCOD decrease in R3 and R4 during the first 5 days was due to the quick conversion of dissolved organic matter, particularly organic acids formed during alkaline pre-fermentation, into biogas by anaerobic microorganisms. This was consistent with the rapid increase in methane production, as shown in Figure 2b.
The PO43−–P in each reactor decreased initially during the first 20 days of anaerobic digestion, then slowly increased, eventually stabilizing. The variation in PO43−–P was mainly influenced by sludge pH (phosphate precipitation or dissolution) and microbial metabolism (utilization of phosphate for growth or decomposition of phosphorus-containing compounds). The PO43−–P during the anaerobic digestion generally remained at the same level as that at the end of alkaline pre-fermentation, and the ranking was consistent with that at the end of alkaline pre-fermentation, namely R4 > R3 > R2 > R1.
3.3. Microbial Community Analysis
3.3.1. Phylum-Level Analysis of Bacterial Community
Figure 4 illustrates changes in the bacterial phylum-level community structure in sludge from reactors R1 (control, pH = 7.2), R3 (pH = 10), and R4 (pH = 11) during the alkaline pre-fermentation and anaerobic digestion. Firmicutes (58.4%), Actinobacteria (19.4%), and Proteobacteria (13.4%) dominated the raw sludge (RS) community. At the end of alkaline pre-fermentation (A), Firmicutes and Actinobacteria in R1 decreased to 36.5% and 13.1%, respectively. Conversely, in R3 and R4, their abundances increased, with Firmicutes and Actinobacteria in R4 reaching 68.9% and 21.0%, respectively. The relative abundance of Proteobacteria decreased to 8.9% in R3 and 2.5% in R4, yet increased to 27.3% in R1. These results indicate that Firmicutes and Actinobacteria adapt well to alkaline conditions, playing similar roles during alkaline pre-fermentation [40] by converting complex organic molecules into organic acids [41,42]. Proteobacteria, primarily composed of neutrophilic bacteria, are typically involved in organic acid degradation, nitrogen removal, and phosphorus removal [40]. They are more suited to the neutral conditions in R1 [43].
Figure 4.
Phylum-level bacterial community structure in reactors R1 (control, pH = 7.2), R3 (pH = 10), R4: (pH = 11), RS—raw sludge, A—sludge at the end of alkaline pre-fermentation, AD—sludge at the start of anaerobic digestion, AD’—sludge at the end of anaerobic digestion.
Following alkaline pre-fermentation, sludge from a food waste anaerobic digestion tank was added to all reactors as inoculum. This led to notable changes in the sludge community at the start of anaerobic digestion (AD), particularly with an increase in Chloroflexi. Chloroflexi increased from 2.1%, 1.5%, and 0.3% at the end of alkaline pre-fermentation to 15.5%, 17.7%, and 13.5% in R1, R3, and R4, respectively. By the end of anaerobic digestion, Chloroflexi increased further to 19.5%, 24.5%, and 22.1%, respectively. Chloroflexi typically exhibits a filamentous morphology, which helps maintain floc structure and is crucial for the pre-fermentation of carbohydrates and proteins in anaerobic digestion systems [44]. Additionally, they likely participated in denitrification processes occurring within the reactors [45,46]. During anaerobic digestion, Synergistota exhibited significant enrichment in all reactors, particularly in R4, where their abundance increased from 4.4% at the start to 17.9% by the end. Synergistota are typically found in sludge and wastewater anaerobic digestion reactors, where they degrade amino acids and exhibit acetate-producing activity [47,48,49]. Their substantial enrichment in R4 aligns with the optimal anaerobic digestion performance observed in this reactor. Meanwhile, Firmicutes decreased from 33.4%, 36.1%, and 53.2% to 17.2%, 20.9%, and 20.8% in R1, R3, and R4, respectively. Firmicutes, which were enriched during pre-fermentation by fermenting organic macromolecules, saw a decline during anaerobic digestion due to the reduced availability of these substrates.
3.3.2. Genus-Level Analysis of Bacterial Community
To elucidate the roles of different bacterial genera during the alkaline pre-fermentation, the genus-level community structures of the raw sludge and reactors at the end of the process were analyzed (Figure 5a). In the raw sludge, Trichococcus (30.5%) and Bifidobacterium (6.9%) were the dominant genera. They remained dominant at the end of alkaline pre-fermentation in R1 (control, pH = 7.2), R3 (pH = 10), and R4 (pH = 11), with their relative abundances positively correlated with pH. In R4, their relative abundances reached 30.0% and 11.3%, respectively. Trichococcus and Bifidobacterium are typical acid-producing bacteria. Trichococcus utilizes glucose under anaerobic conditions to produce lactic acid, formic acid, acetic acid, and ethanol [50], increasing the yield of organic acids. Vasmar’s et al. [51] showed Trichococcus adapted to both neutral and alkaline environments. Bifidobacterium is associated with carbohydrate metabolism, producing lactic acid and acetic acid as primary products [52]. Yang et al. [53] identified Bifidobacterium as the primary propionate-producing bacteria under alkaline conditions during anaerobic digestion. Its relative abundance increased with rising pH, reaching 12.9%. In contrast, Dechloromonas and Romboutsia showed a decrease in abundance during alkaline pre-fermentation, with their growth inhibited in the alkaline environment (R4). Dechloromonas, a denitrifying bacterium [54], decreased from 16.1% in R1 to 0% in R4. Romboutsia, obligate anaerobes that ferment carbohydrates and amino acids [55], decreased from 8.8% in R1 to 4.0% in R4.
Figure 5.
(a) Genus-level bacterial community structure during alkaline pre-fermentation (R1: control, pH = 7.2; R3: pH = 10; R4: pH = 11); (b) genus-level bacterial community structures in reactors R1 (control, pH = 7.2), R3 (pH = 10), and R4 (pH = 11) during anaerobic digestion. RS—raw sludge, AD—sludge at the start of anaerobic digestion, AD’—sludge at the end of anaerobic digestion.
At the beginning of anaerobic digestion (Figure 5b), Trichococcus remained dominant, followed by Thermovirga, norank_f__norank_o__1-20, and norank_f__Bacteroidetes_vadinHA17. However, by the end of anaerobic digestion, Trichococcus decreased from 7.5%, 11.0%, and 25.0% in R1, R3, and R4 to 0.3%, 2.2%, and 1.2%, respectively. This decrease may have been due to the reduction in available organic substrates for fermentation. Conversely, Thermovirga was enriched in all three reactors, with their relative abundance increasing by 2.4, 2.7, and 4.8 times in R1, R3, and R4, respectively. Thermovirga is an anaerobic, thermophilic, and mildly halophilic bacterium capable of fermenting proteins, organic acids, and certain individual amino acids under alkaline conditions. It is crucial in the consortium involved in the syntrophic oxidation of organic acids to methane [56]. Norank_f__norank_o__1-20 showed a slight decrease in abundance in R1 and R3, while it was enriched by 1.73 times in R4 compared with before anaerobic digestion. Norank_f__Bacteroidetes_vadinHA17 and Norank_f__norank_o__Aminicenantales maintained a relative abundance ranging from 1.9% to 8.7% across all samples. Both are capable of degrading complex organic compounds. Research has shown that norank_f__Bacteroidetes_vadinHA17 can degrade glucose into acetic acid and propionic acid [57]. norank_f__norank_o__Aminicenantales, identified as the second most abundant bacterial genus in anaerobic digestion experiments with WAS by Xu et al. [58], primarily participates in the hydrolysis and acidogenesis of organic compounds.
3.3.3. Archaeal Community Analysis
Figure 6 shows that Methanothrix was the dominant archaeal genus in all reactors, comprising over 90% of the archaeal sequences in all sludge samples. Methanothrix is an acetoclastic methanogen that uses acetate as a substrate for methane production [59]. The substantial production of acetic acid during alkaline pre-fermentation (Figure 1c) likely favored Methanothrix growth. Sun et al. [60] found that Methanothrix was the dominant genus in methane production from WAS after alkaline pretreatment, accounting for 63.3% of the total archaeal community. Methanothrix also exhibited a higher acetate affinity even at lower acetate concentrations. Seo et al. [61] found that, after alkaline pretreatment of primary sewage sludge, Methanothrix accounted for 27.9% of the total archaeal community, making it the second most abundant genus in methane production. Candidatus_methanofastidiosum is a methanogen restricted to methanogenesis through methylated thiol reduction, playing an important ecological role in syntrophy in anaerobic digestion [62]. Additionally, a small amount of hydrogenotrophic methanogen Methanobacterium (0.4% to 3.3%) was present in all reactors [63,64].
Figure 6.
Changes in the archaeal community at the genus level in reactors R1 (control, pH = 7.2), R3 (pH = 10), and R4 (pH = 11) during anaerobic digestion. AD—sludge at the start of anaerobic digestion, AD’—sludge at the end of anaerobic digestion.
The results indicate that both alkaline pre-fermentation and anaerobic digestion processes promoted the growth of alkali-tolerant fermentative bacteria, though the dominant species varied significantly between the two stages. Alkaline pre-fermentation predominantly enriched Firmicutes (e.g., Trichococcus) and Actinobacteria (e.g., Bifidobacterium), while anaerobic digestion mainly enriched Chloroflexi and Synergistota (e.g., Thermovirga). These changes in bacterial communities were likely influenced by the type of available substrates. During alkaline pre-fermentation, the substrates primarily consisted of easily biodegradable organic matter released from the coagulated sludge. As these substrates were degraded, more complex organic compounds, such as amino acids, remained by the time anaerobic digestion occurred. The fermentative bacteria enriched in both stages metabolized the organic matter in the sludge into acetate, which was then converted to methane through the acetoclastic methanogenesis pathway. This was supported by the observation that Methanothrix constituted over 90% of the archaeal community.
4. Conclusions
This study demonstrates that alkaline pre-fermentation, particularly at a high pH of 11, significantly enhances the hydrolysis of EMC sludge. The highest release of organic matter (4710.0 mg/L SCOD), phosphate (61 mg/L PO43−–P), and organic acid production (2728.1 mg COD/L, predominantly acetic acid) are observed at this pH. This improvement is likely achieved by breaking down the HO-Al-P backbones in coagulated sludge flocs, which releases encapsulated organic matter. Furthermore, the organic acids and CO2 produced during fermentation help lower the sludge pH to levels (7.0~8.3) suitable for anaerobic digestion by the end of the alkaline pre-fermentation. As a result, alkaline pre-fermentation boosts the subsequent utilization of sludge during anaerobic digestion, resulting in increased methane production (185.8 mL/g VS). Microbial community analysis reveals that Firmicutes (e.g., Trichococcus) and Actinobacteria (e.g., Bifidobacterium) thrive under alkaline pre-fermentation, likely boosting organic acid production. During anaerobic digestion, fermentative bacteria Chloroflexi and Synergistota (e.g., Thermovirga) show significant enrichment, particularly in high pH reactors. Other genera like norank_f__norank_o__1-20 likely contribute to complex organic matter degradation and acidogenesis. Methanothrix, an acetoclastic methanogen, comprises over 90% of the archaeal sequences in all sludge samples, likely due to the abundant acetate produced during pre-fermentation. This highlights its crucial role in methane production from EMC sludge.
Author Contributions
Conceptualization, H.X. and K.W.; methodology, H.X.; software, Q.K. and S.C.; validation, Q.K. and S.W.; formal analysis, Q.K.; investigation, Q.K. and Q.Y.; resources, H.X. and K.W.; data curation, H.X.; writing—original draft preparation, Q.K. and Q.Y.; writing—review and editing, H.X.; visualization, Q.K. and S.C.; supervision, H.X.; project administration, H.X.; funding acquisition, H.X. and K.W. All authors have read and agreed to the published version of the manuscript.
Funding
This research was funded by the Central Universities outstanding youth team project of CUMTB (2023YQTD03) and special fund of State Key Joint Laboratory of Environment Simulation and Pollution Control (20K05ESPCT).
Data Availability Statement
Data are contained within the article.
Conflicts of Interest
The authors declare no conflicts of interest.
References
- Guest, J.S.; Skerlos, S.J.; Barnard, J.L.; Beck, M.B.; Daigger, G.T.; Hilger, H.; Jackson, S.J.; Karvazy, K.; Kelly, L.; Macpherson, L.; et al. A New Planning and Design Paradigm to Achieve Sustainable Resource Recovery from Wastewater. Environ. Sci. Technol. 2009, 43, 6126–6130. [Google Scholar] [CrossRef] [PubMed]
- Zohuri, B. Navigating the Global Energy Landscape Balancing Growth, Demand, and Sustainability. J. Mat. Sci. Apl. Eng. 2023, 2, 1–7. [Google Scholar]
- Gu, Y.; Li, Y.; Li, X.; Luo, P.; Wang, H.; Wang, X.; Wu, J.; Li, F. Energy Self-sufficient Wastewater Treatment Plants: Feasibilities and Challenges. Energy Procedia 2017, 105, 3741–3751. [Google Scholar] [CrossRef]
- Subbarao, P.M.V.; Silva, T.C.D.; Adlak, K.; Kumar, S.; Chandra, R.; Vijay, V.K. Anaerobic digestion as a sustainable technology for efficiently utilizing biomass in the context of carbon neutrality and circular economy. Environ. Res. 2023, 234, 116286. [Google Scholar] [CrossRef] [PubMed]
- Guo, C.; Wang, L.; Huang, Y.; Li, D. Capturing organics from municipal wastewater using a primary sludge-derived polymer. J. Water Process Eng. 2022, 46, 102567. [Google Scholar] [CrossRef]
- Lv, M.; Zhang, Z.; Zeng, J.; Liu, J.; Sun, M.; Yadav, R.S.; Feng, Y. Roles of magnetic particles in magnetic seeding coagulation-flocculation process for surface water treatment. Sep. Purif. Technol. 2019, 212, 337–343. [Google Scholar] [CrossRef]
- Boehnke, B.; Schulze-Rettmer, R.; Zuckut, S. Cost-effective reduction of high-strength wastewater by adsorption-based activated sludge technology. Water Eng. Manag. 1998, 145, 31–34. [Google Scholar]
- Czerwionka, K.; Wilinska, A.; Tuszynska, A. The use of organic coagulants in the primary precipitation process at wastewater treatment plants. Water 2020, 12, 1650. [Google Scholar] [CrossRef]
- Iwuozor, K.O. Prospects and Challenges of Using Coagulation-Flocculation Method in the Treatment of Effluents. Adv. J. Chem. 2019, 2, 105–127. [Google Scholar] [CrossRef]
- Diamantis, V.; Verstraete, W.; Eftaxias, A.; Bundervoet, B.; Siegfried, V.; Melidis, P.; Aivasidis, A. Sewage pre-concentration for maximum recovery and reuse at decentralized level. Water Sci. Technol. 2013, 67, 1188–1193. [Google Scholar] [CrossRef]
- Gidstedt, S.; Betsholtz, A.; Cimbritz, M.; Davidsson, Å.; Hagman, M.; Karlsson, S.; Takman, M.; Svahn, O.; Micolucci, F. Chemically enhanced primary treatment, microsieving, direct membrane filtration and GAC filtration of municipal wastewater: A pilot-scale study. Environ. Technol. 2024, 45, 28–39. [Google Scholar] [CrossRef]
- Xu, G.R.; Yan, Z.C.; Wang, Y.C.; Wang, N. Recycle of Alum recovered from water treatment sludge in chemically enhanced primary treatment. J. Hazard Mater. 2009, 161, 663–669. [Google Scholar] [CrossRef] [PubMed]
- Chen, M.; Nan, J.; Ji, X.; Wu, F.; Ye, X.; Ge, Z. Effect of adsorption and coagulation pretreatment sequence on ultrafiltration membrane fouling: Process study and targeted prediction. Desalination 2022, 540, 115967. [Google Scholar] [CrossRef]
- Gong, H.; Jin, Z.; Wang, X.; Wang, K. Membrane fouling controlled by coagulation/adsorption during direct sewage membrane filtration (DSMF) for organic matter concentration. J. Environ. Sci. 2015, 32, 1–7. [Google Scholar] [CrossRef] [PubMed]
- Wei, S.H.; Xu, H.; Chang, F.M.; Hu, M.; Li, Y.N.; Wang, P.J.; Wang, K.J. Performance of enhanced membrane-coagulation for rural domestic sewage treatment and its sludge resource utilization potential. China Water Wastewater 2022, 38, 1–7. [Google Scholar]
- Jin, Z.; Gong, H.; Temmink, H.; Nie, H.; Wu, J.; Zuo, J.; Wang, K. Efficient sewage pre-concentration with combined coagulation microfiltration for organic matter recovery. Chem. Eng. J. 2016, 292, 130–138. [Google Scholar] [CrossRef]
- Kadam, R.; Khanthong, K.; Park, B.; Jun, H.; Park, J. Realizable wastewater treatment process for carbon neutrality and energy sustainability: A review. J. Environ. Sci. 2023, 328, 116927. [Google Scholar] [CrossRef]
- Cheng, Y.; Ding, W.; Wang, X.; Shen, N.; Bian, B.; Wang, G.; He, F.; Chen, Y. A long aging time had severely inhibited methane production from Fe-chemically enhanced primary sedimentation sludge during anaerobic digestion. J. Clean. Prod. 2024, 434, 140293. [Google Scholar] [CrossRef]
- Zhen, G.; Lu, X.; Kato, H.; Zhao, Y.; Li, Y.-Y. Overview of pretreatment strategies for enhancing sewage sludge disintegration and subsequent anaerobic digestion: Current advances, full-scale application and future perspectives. Renew. Sustain. Energy Rev. 2017, 69, 559–577. [Google Scholar] [CrossRef]
- Devlin, D.C.; Esteves, S.R.R.; Dinsdale, R.M.; Guwy, A.J. The effect of acid pretreatment on the anaerobic digestion and dewatering of waste activated sludge. Bioresour. Technol. 2011, 102, 4076–4082. [Google Scholar] [CrossRef]
- Yan, W.; Chen, Y.; Shen, N.; Wang, G.; Wan, J.; Huang, J. The influence of a stepwise pH increase on volatile fatty acids production and phosphorus release during Al-waste activated sludge fermentation. Bioresour. Technol. 2021, 320, 124276. [Google Scholar] [CrossRef] [PubMed]
- Mu, W.; Dagnew, M. Enhancing biomethane production and phosphorus recovery from CEPT sludge through a low temperature thermal alkali and ozonation pretreatment processes. Case Stud. Chem. Environ. Eng. 2022, 5, 100178. [Google Scholar] [CrossRef]
- Lin, L.; Li, X.-Y. Effects of pH adjustment on the hydrolysis of Al-enhanced primary sedimentation sludge for volatile fatty acid production. Chem. Eng. J. 2018, 346, 50–56. [Google Scholar] [CrossRef]
- Walter, W.G. Standard Methods for the Examination of Water and Wastewater, 11th ed.; American Public Health Association, American Water Works Association, and Water Pollution Control Federation: New York, NY, USA, 1961; p. 940. [Google Scholar]
- Rice, E.W.; Baird, R.B. Standard Methods for the Examination of Water and Wastewater; Eaton, A.D., Ed.; American Public Health Association, American Water Works Association, Water Environment Federation: Washington, DC, USA, 2012; Volume 10. [Google Scholar]
- Xu, H.; Wang, C.; Yan, K.; Wu, J.; Zuo, J.; Wang, K. Anaerobic granule-based biofilms formation reduces propionate accumulation under high H2 partial pressure using conductive carbon felt particles. Bioresour. Technol. 2016, 216, 677–683. [Google Scholar] [CrossRef] [PubMed]
- Xu, H.; Miao, J.; Wang, J.; Deng, J.; Zhang, J.; Kou, Q.; Xiong, X.; Holmes, D.E. Integrated CO2 capture and conversion via H2-driven CO2 biomethanation: Cyclic performance and microbial community response. Bioresour. Technol. 2024, 393, 130055. [Google Scholar] [CrossRef] [PubMed]
- Xu, H.; Wang, K.; Zhang, X.; Gong, H.; Xia, Y.; Holmes, D.E. Application of in-situ H2-assisted biogas upgrading in high-rate anaerobic wastewater treatment. Bioresour. Technol. 2020, 299, 122598. [Google Scholar] [CrossRef] [PubMed]
- Yuan, H.; Zhu, N. Progress of improving waste activated sludge dewaterability: Influence factors, conditioning technologies and implications and perspectives. Sci. Total Environ. 2024, 912, 168605. [Google Scholar] [CrossRef] [PubMed]
- Wang, S.; Yu, S.; Lu, Q.; Liao, Y.; Li, H.; Sun, L.; Wang, H.; Zhang, Y. Development of an alkaline/acid pre-treatment and anaerobic digestion (APAD) process for methane generation from waste activated sludge. Sci. Total Environ. 2020, 708, 134564. [Google Scholar] [CrossRef]
- Kim, J.; Yu, Y.; Lee, C. Thermo-alkaline pretreatment of waste activated sludge at low-temperatures: Effects on sludge disintegration, methane production, and methanogen community structure. Bioresour. Technol. 2013, 144, 194–201. [Google Scholar] [CrossRef]
- Gong, H.; Wang, Z.; Zhang, X.; Jin, Z.; Wang, C.; Zhang, L.; Wang, K. Organics and nitrogen recovery from sewage via membrane-based pre-concentration combined with ion exchange process. Chem. Eng. J. 2017, 311, 13–19. [Google Scholar] [CrossRef]
- Liu, H.; Li, X.; Zhang, Z.; Nghiem, L.D.; Gao, L.; Batstone, D.J.; Wang, Q. Achieving expanded sludge treatment capacity with additional benefits for an anaerobic digester using free ammonia pretreatment. Chem. Eng. J. 2023, 465, 142846. [Google Scholar] [CrossRef]
- Carrere, H.; Rafrafi, Y.; Battimelli, A.; Torrijos, M.; Delgenes, J.P.; Motte, C. Improving methane production during the codigestion of waste-activated sludge and fatty wastewater: Impact of thermo-alkaline pretreatment on batch and semi-continuous processes. Chem. Eng. J. 2012, 210, 404–409. [Google Scholar] [CrossRef]
- Chen, H.; Yi, H.; Li, H.; Guo, X.; Xiao, B. Effects of thermal and thermal-alkaline pretreatments on continuous anaerobic sludge digestion: Performance, energy balance and, enhancement mechanism. Renew. Energy 2020, 147, 2409–2416. [Google Scholar] [CrossRef]
- Ansari, M.; Farzadkia, M. Chemically enhanced primary treatment of municipal wastewater; Comparative evaluation, optimization, modelling, and energy analysis. Bioresour. Technol. Rep. 2022, 18, 101042. [Google Scholar]
- Lin, L.; Li, R.-H.; Li, Y.; Xu, J.; Li, X.-Y. Recovery of organic carbon and phosphorus from wastewater by Fe-enhanced primary sedimentation and sludge fermentation. Process Biochem. 2017, 54, 135–139. [Google Scholar] [CrossRef]
- Zheng, X.; Su, Y.; Li, X.; Xiao, N.; Wang, D.; Chen, Y. Pyrosequencing reveals the key microorganisms involved in sludge alkaline fermentation for efficient short-chain fatty acids production. Energy Environ. Sci. 2013, 47, 4262–4268. [Google Scholar] [CrossRef]
- Fang, F.; Yang, J.; Chen, L.-L.; Xu, R.-Z.; Luo, J.-Y.; Ni, B.-J.; Cao, J.-S. Mixotrophic denitrification of waste activated sludge fermentation liquid as an alternative carbon source for nitrogen removal: Reducing N2O emissions and costs. J. Environ. Sci. 2024, 362, 121348. [Google Scholar] [CrossRef]
- Li, D.; Yin, F.; Ma, X. Achieving valorization of fermented activated sludge using pretreated waste wood feedstock for volatile fatty acids accumulation. Bioresour. Technol. 2019, 290, 121791. [Google Scholar] [CrossRef] [PubMed]
- Zhang, Q.; Wu, Y.; Luo, J.; Cao, J.; Kang, C.; Wang, S.; Li, K.; Zhao, J.; Aleem, M.; Wang, D. Enhanced volatile fatty acids production from waste activated sludge with synchronous phosphorus fixation and pathogens inactivation by calcium hypochlorite stimulation. Sci. Total Environ. 2020, 712, 136500. [Google Scholar] [CrossRef]
- Luo, J.; Wu, L.; Zhang, Q.; Fang, F.; Feng, Q.; Xue, Z.; Cao, M.; Peng, Z.; Li, C.; Cao, J. How do biocides that occur in waste activated sludge affect the resource recovery for short-chain fatty acids production. ACS Sustain. Chem. Eng. 2018, 7, 1648–1657. [Google Scholar] [CrossRef]
- Fukuyama, Y.; Inoue, M.; Omae, K.; Yoshida, T.; Sako, Y. Chapter Three—Anaerobic and hydrogenogenic carbon monoxide-oxidizing prokaryotes: Versatile microbial conversion of a toxic gas into an available energy. Adv. Appl. Microbiol. 2020, 10, 99–148. [Google Scholar]
- Zhang, H.; Zhang, H.; Lv, Y.; Zhang, T.; Zhang, L.; Ma, X.; Liu, X.; Lian, S. Characteristics of groundwater microbial community composition and environmental response in the Yimuquan Aquifer, North China Plain. Water 2024, 16, 459. [Google Scholar] [CrossRef]
- Song, B.; Zeng, G.; Gong, J.; Liang, J.; Xu, P.; Liu, Z.; Zhang, Y.; Zhang, C.; Cheng, M.; Liu, Y.; et al. Evaluation methods for assessing effectiveness of in situ remediation of soil and sediment contaminated with organic pollutants and heavy metals. Environ. Int. 2017, 105, 43–55. [Google Scholar] [CrossRef] [PubMed]
- Pan, Z.; Zhou, J.; Lin, Z.; Wang, Y.; Zhao, P.; Zhou, J.; Liu, S.; He, X. Effects of COD/TN ratio on nitrogen removal efficiency, microbial community for high saline wastewater treatment based on heterotrophic nitrification-aerobic denitrification process. Bioresour. Technol. 2020, 301, 122726. [Google Scholar] [CrossRef] [PubMed]
- Riviere, D.; Desvignes, V.; Pelletier, E.; Chaussonnerie, S.; Guermazi, S.; Weissenbach, J.; Li, T.; Camacho, P.; Sghir, A. Towards the definition of a core of microorganisms involved in anaerobic digestion of sludge. ISME J. 2009, 3, 700–714. [Google Scholar] [CrossRef] [PubMed]
- Lei, Z.; Jiang, H.; Chen, R.; Wang, X.; Li, Y.-Y. Characterization of microbial evolution in high-solids methanogenic co-digestion of canned coffee processing wastewater and waste activated sludge by an anaerobic membrane bioreactor. J. Clean. Prod. 2019, 232, 1442–1451. [Google Scholar] [CrossRef]
- Saha, S.; Xiong, J.-Q.; Patil, S.M.; Ha, G.-S.; Hoh, J.-K.; Park, H.-K.; Chung, W.; Chang, S.W.; Khan, M.A.; Park, H.B.; et al. Dissemination of sulfonamide resistance genes in digester microbiome during anaerobic digestion of food waste leachate. J. Hazard Mater. 2023, 452, 131200. [Google Scholar] [CrossRef]
- Bordoloi, N.K.; Bhagowati, P.; Chaudhuri, M.K.; Mukherjee, A.K. Proteomics and metabolomics analyses to elucidate the desulfurization pathway of Chelatococcus sp. PLoS ONE 2016, 11, e0153547. [Google Scholar] [CrossRef] [PubMed]
- Vasmara, C.; Pindo, M.; Micheletti, D.; Marchetti, R. Initial pH influences microbial communities composition in dark fermentation of scotta permeate. Int. J. Hydrogen Energy 2018, 43, 8707–8717. [Google Scholar] [CrossRef]
- Feng, K.; Li, H.; Zheng, C. Shifting product spectrum by pH adjustment during long-term continuous anaerobic fermentation of food waste. Bioresour. Technol. 2018, 270, 180–188. [Google Scholar] [CrossRef]
- Yang, W.; Fang, W.; Chang, J.; Zhang, R.; Zhang, Y.; Wang, M.; Zhang, P. Enhancing propionic acid production in the anaerobic fermentation of high-strength starch wastewater facilitated by hydraulic retention time and FeCl3 under alkaline pH. J. Water Process Eng. 2024, 64, 105615. [Google Scholar] [CrossRef]
- Du, S.; Yu, D.; Zhao, J.; Wang, X.; Bi, C.; Zhen, J.; Yuan, M. Achieving deep-level nutrient removal via combined denitrifying phosphorus removal and simultaneous partial nitrification-endogenous denitrification process in a single-sludge sequencing batch reactor. Bioresour. Technol. 2019, 289, 121690. [Google Scholar] [CrossRef] [PubMed]
- Gerritsen, J. The Genus Romboutsia: Genomic and Functional Characterization of Novel Bacteria Dedicated to Life in the Intestinal Tract. Ph.D. Thesis, Wageningen University, Wageningen, NL, USA, 2015. [Google Scholar]
- He, X.; Deng, C.; Li, P.; Yu, W.; Chen, H.; Lin, R.; Shen, D.; Baroutian, S. The impact of salinity on biomethane production and microbial community in the anaerobic digestion of food waste components. Energy 2024, 294, 130736. [Google Scholar] [CrossRef]
- Wang, R.; Li, C.; Lv, N.; Pan, X.; Cai, G.; Ning, J.; Zhu, G. Deeper insights into effect of activated carbon and nano-zero-valent iron addition on acidogenesis and whole anaerobic digestion. Bioresour. Technol. 2021, 324, 124671. [Google Scholar] [CrossRef] [PubMed]
- Xu, Y.; Geng, H.; Chen, R.; Liu, R.; Dai, X. Enhancing methanogenic fermentation of waste activated sludge via isoelectric-point pretreatment: Insights from interfacial thermodynamics, electron transfer and microbial community. Water Res. 2021, 19, 117072. [Google Scholar] [CrossRef] [PubMed]
- Keyser, M.; Witthuhn, R.C.; Lamprecht, C.; Coetzee, M.P.A.; Britz, T.J. PCR-based DGGE fingerprinting and identification of methanogens detected in three different types of UASB granules. Syst. Appl. Microbiol. 2006, 24, 77–84. [Google Scholar] [CrossRef]
- Sun, R.; Xing, D.; Jia, J.; Zhou, A.; Zhang, L.; Ren, N. Methane production and microbial community structure for alkaline pretreated waste activated sludge. Bioresour. Technol. 2014, 169, 496–501. [Google Scholar] [CrossRef]
- Seo, H.; Joicy, A.; Lee, M.E.; Rhee, C.; Shin, S.G.; Cho, S.-K.; Ahn, Y. Development of a Primary Sewage Sludge Pretreatment Strategy Using a Combined Alkaline–Ultrasound Pretreatment for Enhancing Microbial Electrolysis Cell Performance. Energies 2023, 16, 3986. [Google Scholar] [CrossRef]
- Nobu, M.K.; Narihiro, T.; Kuroda, K.; Mei, R.; Liu, W.-T. Chasing the elusive Euryarchaeota class WSA2: Genomes reveal a uniquely fastidious methyl-reducing methanogen. ISME J. 2016, 10, 2478–2487. [Google Scholar] [CrossRef]
- Zheng, S.; Liu, F.; Wang, B.; Zhang, Y.; Lovley, D.R. Methanobacterium capable of direct interspecies electron transfer. Environ. Sci. Technol. 2020, 54, 15347–15354. [Google Scholar] [CrossRef]
- Whitman, W.B.; Rainey, F.; Kämpfer, P.; Trujillo, M.; Chun, J.; Paul, D.V. Bergey’s Manual of Systematics of Archaea and Bacteria; Whitman, W.B., Ed.; Wiley: Hoboken, NJ, USA, 2015; p. 410. [Google Scholar]
Disclaimer/Publisher’s Note: The statements, opinions and data contained in all publications are solely those of the individual author(s) and contributor(s) and not of MDPI and/or the editor(s). MDPI and/or the editor(s) disclaim responsibility for any injury to people or property resulting from any ideas, methods, instructions or products referred to in the content. |
© 2024 by the authors. Licensee MDPI, Basel, Switzerland. This article is an open access article distributed under the terms and conditions of the Creative Commons Attribution (CC BY) license (https://creativecommons.org/licenses/by/4.0/).





