Experimental Study on Impedance Spectrum-Based Detection of Water Holdup in Two-Phase Flow under Complex Salinity Conditions
Abstract
1. Introduction
2. Principle
2.1. Interfacial Polarization in Mixed Media
2.2. Electrode Polarization in Electrolyte Solutions
3. Experimental
3.1. Experimental Setup
3.2. Materials and Methods
4. Results and Discussion
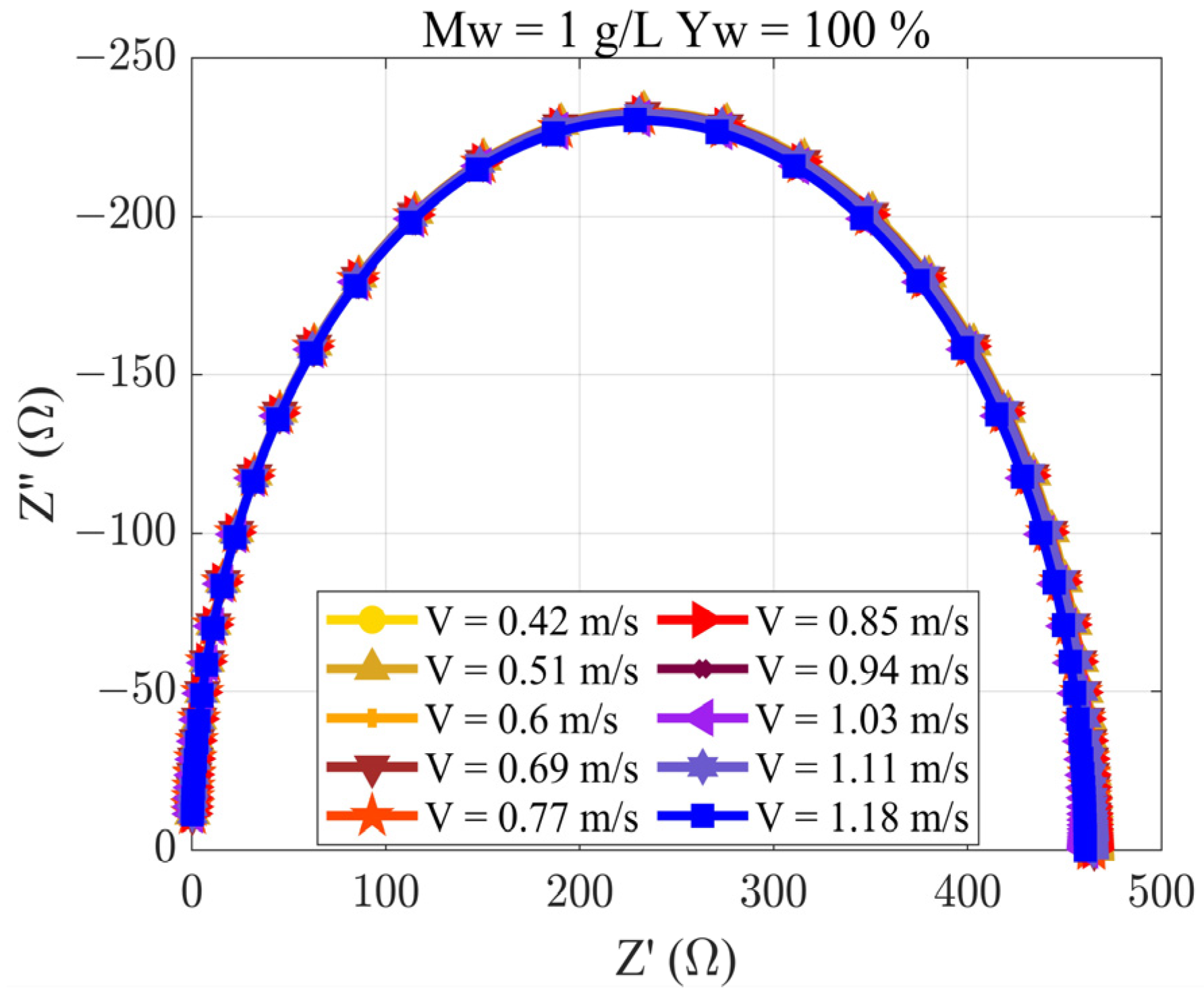
4.1. Impedance Dispersion Characteristics of Two-Phase Flow
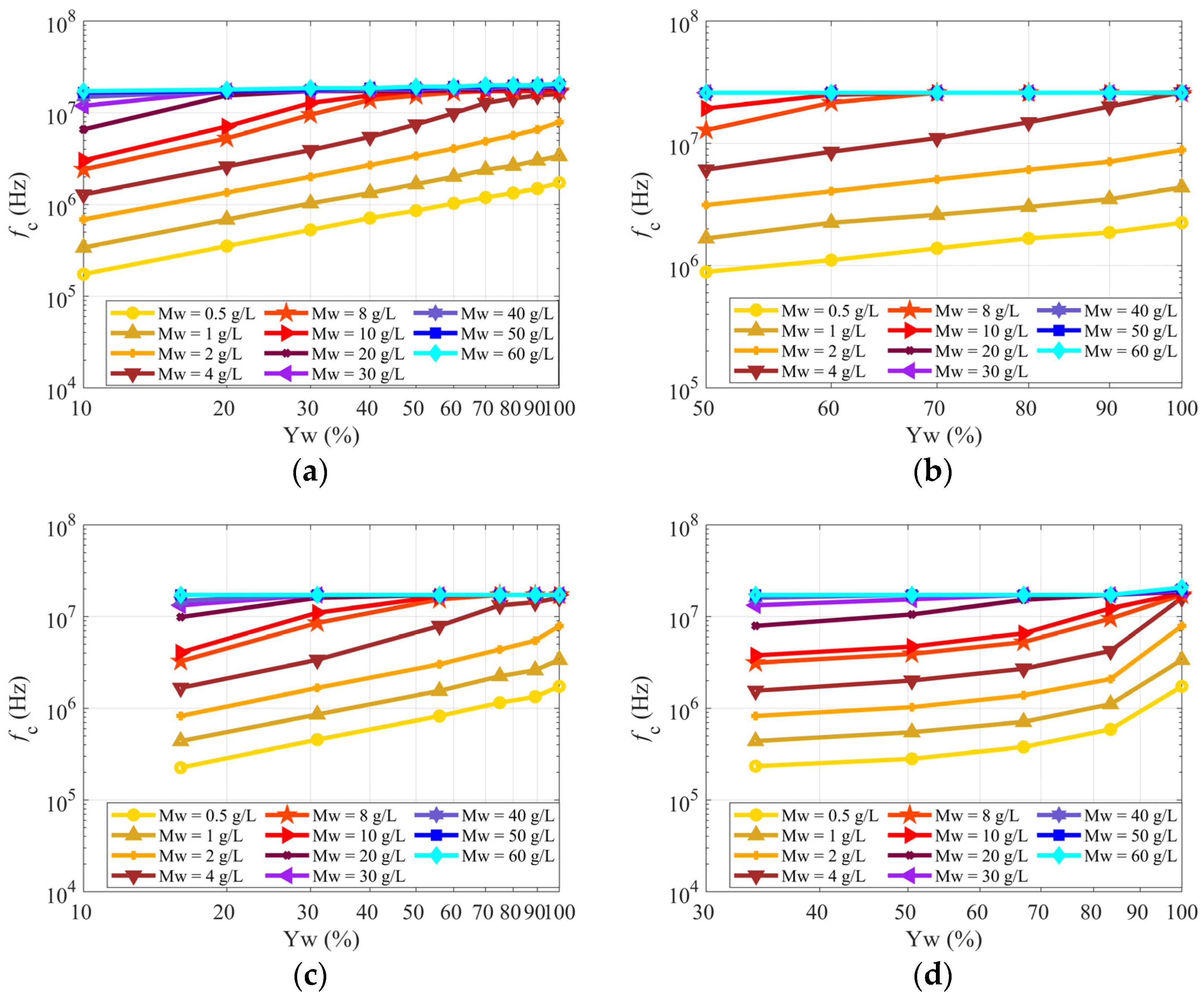
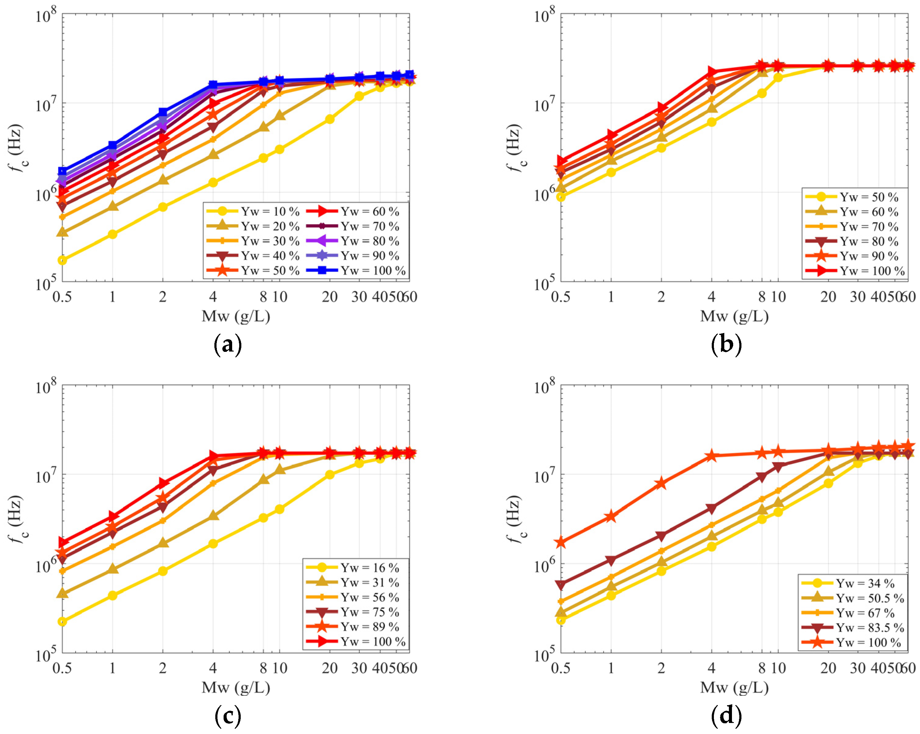
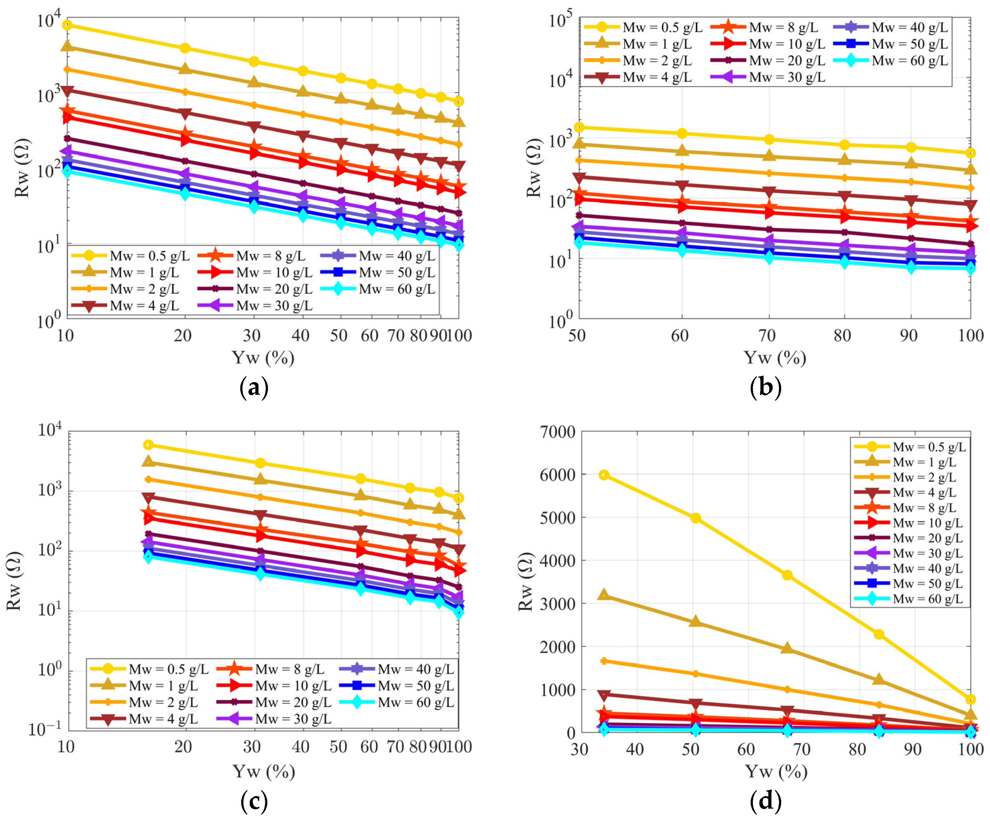
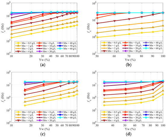
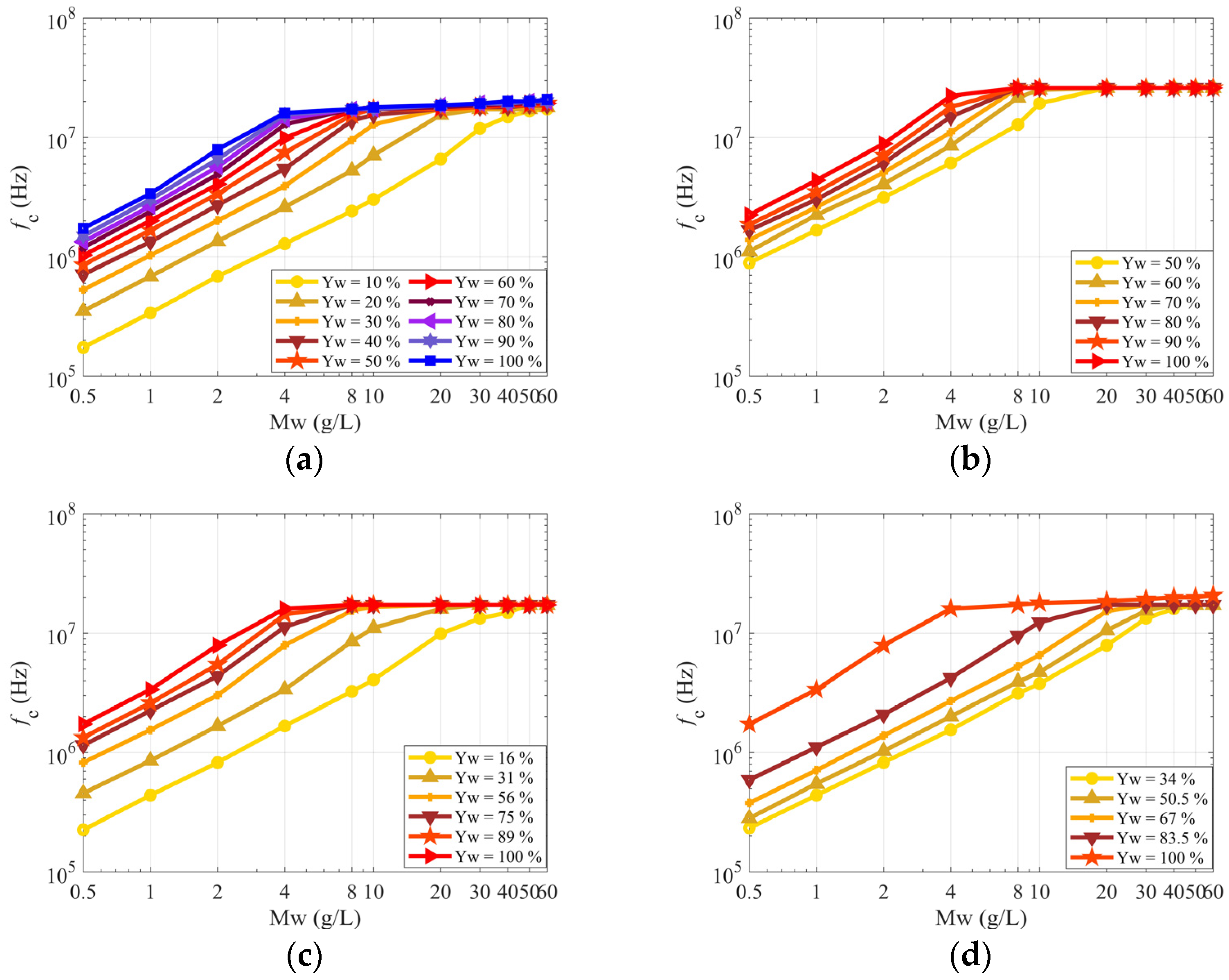
4.2. Effects of Water Holdup
4.3. Effects of Salinity
4.4. Dynamic Water Holdup Prediction
5. Conclusions
Author Contributions
Funding
Data Availability Statement
Conflicts of Interest
References
- Yang, Y.; Ha, W.; Zhang, C.; Liu, M.; Zhang, X.K.; Wang, D. Measurement of high-water-content oil-water two-phase flow by electromagnetic flowmeter and differential pressure based on phase-isolation. Flow Meas. Instrum. 2022, 84, 102142. [Google Scholar] [CrossRef]
- Wang, Y.J.; Han, J.L.; Hao, Z.Q.; Zhou, L.J.; Wang, X.J.; Shao, M.W. A new method for measuring water holdup of oil-water two-phase flow in horizontal wells. Processes 2022, 10, 848. [Google Scholar] [CrossRef]
- Wang, D.Y.; Jin, N.D.; Zhai, L.S.; Ren, Y.Y. Salinity independent flow measurement of vertical upward gas-liquid flows in a small pipe using conductance method. Sensors 2020, 20, 5263. [Google Scholar] [CrossRef]
- Klein, L.A.; Swift, C.T. An improved model for the dielectric constant of sea water at microwave frequencies. IEEE Trans. Antenn. Propag. 1977, 25, 104–111. [Google Scholar] [CrossRef]
- Dai, R.S.; Jin, N.D.; Hao, Q.Y.; Ren, W.K.; Zhai, L.S. Measurement of water holdup in vertical upward oil-water two-phase flow pipes using a helical capacitance sensor. Sensors 2022, 22, 690. [Google Scholar] [CrossRef]
- Yang, Y.; Hu, H.H.; Wang, K.; Wang, S.; Liu, M.; Zhang, C.; Wang, D. Area-alterable liquid electrode capacitance sensor for water holdup measurement in oil-water two-phase flow. Asia Pac. J. Chem. Eng. 2021, 16, e2680. [Google Scholar] [CrossRef]
- Zuo, K.; Hong, Y.; Qi, H.T.; Li, Y.; Li, B.L. Application of microwave transmission sensors for water cut metering under varying salinity conditions: Device, algorithm and uncertainty analysis. Sensors 2022, 22, 9746. [Google Scholar] [CrossRef]
- Xu, Y.; Zuo, R.J.; Yuan, C.; Wei, C.S.; Cao, L.F.; Sun, C.W. A water cut measurement method based on TM 010 mode microwave cavity sensor. In Proceedings of the 2022 IEEE International Instrumentation and Measurement Technology Conference (I2MTC), Ottawa, ON, Canada, 16–19 May 2022. [Google Scholar] [CrossRef]
- Hizem, M.; Budan, H.; Deville, B.; Faivre, O.; Mosse, L.; Simon, M. Dielectric dispersion: A new wireline petrophysical measurement. In Proceedings of the SPE Annual Technical Conference and Exhibition, Denver, CO, USA, 21–24 September 2008. [Google Scholar] [CrossRef]
- Jia, J.; Ke, S.Z.; Li, J.J.; Kang, Z.M.; Ma, X.R.; Li, M.M.; Guo, J.Y. Estimation of permeability and saturation based on imaginary component of complex resistivity spectra: A laboratory study. Open Geosci. 2020, 12, 299–306. [Google Scholar] [CrossRef]
- Leroy, P.; Revil, A.; Kemna, A.; Cosenza, P.; Ghorbani, A. Complex conductivity of water-saturated packs of glass beads. J. Colloid Interface Sci. 2008, 321, 103–117. [Google Scholar] [CrossRef] [PubMed]
- Wang, D.Y.; Jin, N.D.; Zhai, L.S.; Ren, Y.Y. Measurement of gas holdup in oil-gas-water flows using combined conductance sensors. IEEE Sens. J. 2021, 21, 12171–12178. [Google Scholar] [CrossRef]
- Cherney, D.P.; Schilowitz, A.M. Detection of free water in multi-phase pipelines with AC impedance. IEEE. Sens. J. 2019, 19, 7726–7732. [Google Scholar] [CrossRef]
- Qin, X.B.; Shen, Y.T.; Li, M.Q.; Li, M.Q.; Liu, L.; Yang, P.J.; Hu, J.C.; Ji, C.C. Visualization detection of slurry transportation pipeline based on electrical capacitance tomography in mining filling. J. Cent. South Univ. 2022, 29, 3757–3766. [Google Scholar] [CrossRef]
- Wu, H.; Tan, C.; Dong, X.X.; Dong, F. Design of a conductance and capacitance combination sensor for water holdup measurement in oil-water two-phase flow. Flow Meas. Instrum. 2015, 46, 218–229. [Google Scholar] [CrossRef]
- Jia, J.; Ke, S.Z.; Rezaee, R.; Li, J.J.; Wu, F. The frequency exponent of artificial sandstone’s complex resistivity spectrum. Geophys. Prospect. 2021, 69, 856–871. [Google Scholar] [CrossRef]
- Li, J.J.; Ke, S.Z.; Yin, C.F.; Kang, Z.M.; Jia, J.; Ma, X.R. A laboratory study of complex resistivity spectra for predictions of reservoir properties in clear sands and shaly sands. J. Pet. Sci. Eng. 2019, 177, 983–994. [Google Scholar] [CrossRef]
- Garcia, A.P.; Heidari, Z. Numerical modeling of multifrequency complex dielectric permittivity dispersion of sedimentary rocks. Geophysics 2021, 86, 179–190. [Google Scholar] [CrossRef]
- Pelton, W.H.; Ward, S.H.; Hallof, P.G.; Sill, W.R.; Nelson, P.H. Mineral discrimination and removal of inductive coupling with multifrequency IP. Geophysics 1978, 43, 588–609. [Google Scholar] [CrossRef]
- Huang, J. Diffusion impedance of electroactive materials, electrolytic solutions and porous electrodes: Warburg impedance and beyond. Electrochim. Acta 2018, 281, 170–188. [Google Scholar] [CrossRef]
- Randles, J.E.B. Kinetics of rapid electrode reactions. Dis. Faraday Soc. 1947, 1, 11–19. [Google Scholar] [CrossRef]
- Qing, M.Y.; Liang, H.Q.; Zhang, J.J.; Najafabadi, H.E.; Zhan, H.L.; Leung, H. Detection mechanism of water content in oil-water emulsions by coaxial double cylinder electrodes. IEEE Trans. Instrum. Meas. 2020, 70, 1–10. [Google Scholar] [CrossRef]
- Wu, D.Y.; Wang, C.; Yan, Y.; Shao, J.Q. Study on reducing the effect of salinity in the phase fraction measurement of oil/water two-phase flow. In Proceedings of the 2009 IEEE Instrumentation and Measurement Technology Conference, Singapore, 5–7 May 2009. [Google Scholar] [CrossRef]
- Qing, M.Y.; Liang, H.Q.; Zhang, J.J.; Zhan, H.L. The mechanism of detecting water content in oil-water emulsions using impedance spectroscopy. J. Pet. Sci. Eng. 2020, 188, 106863. [Google Scholar] [CrossRef]
- Trallero, J.L.; Sarica, C.; Brill, J.P. A study of oil/water flow patterns in horizontal pipes. SPE Prod. Facil. 1997, 12, 165–172. [Google Scholar] [CrossRef]












| Flow State | Flow Pattern | Materials |
|---|---|---|
| Static state | Laminar flow | Water + air |
| Bubble flow | Water + glass beads | |
| Annular flow | Water + polyamide rod (PA6) | |
| Slug flow | Water + polyamide plug (PA6) | |
| Dynamic state | Laminar flow | Water + air |
| Bubble flow | Water + air | |
| Annular flow | Water + polyamide rod (PA6) | |
| Slug flow | Water + polyamide plug (PA6) |
| Model Parameter | Flow Pattern | Function |
|---|---|---|
| Laminar flow | ||
| Slug flow | ||
| Annular flow | ||
| Bubble flow | ||
| Laminar flow | ||
| Slug flow | — | |
| Annular flow | ||
| Bubble flow |
Disclaimer/Publisher’s Note: The statements, opinions and data contained in all publications are solely those of the individual author(s) and contributor(s) and not of MDPI and/or the editor(s). MDPI and/or the editor(s) disclaim responsibility for any injury to people or property resulting from any ideas, methods, instructions or products referred to in the content. |
© 2024 by the authors. Licensee MDPI, Basel, Switzerland. This article is an open access article distributed under the terms and conditions of the Creative Commons Attribution (CC BY) license (https://creativecommons.org/licenses/by/4.0/).
Share and Cite
Cheng, L.; Ke, S.; Shi, H.; Zhang, Y.; Luo, H.; Hu, H. Experimental Study on Impedance Spectrum-Based Detection of Water Holdup in Two-Phase Flow under Complex Salinity Conditions. Water 2024, 16, 2047. https://doi.org/10.3390/w16142047
Cheng L, Ke S, Shi H, Zhang Y, Luo H, Hu H. Experimental Study on Impedance Spectrum-Based Detection of Water Holdup in Two-Phase Flow under Complex Salinity Conditions. Water. 2024; 16(14):2047. https://doi.org/10.3390/w16142047
Chicago/Turabian StyleCheng, Linfeng, Shizhen Ke, Hongwei Shi, Yuhang Zhang, Hu Luo, and Hao Hu. 2024. "Experimental Study on Impedance Spectrum-Based Detection of Water Holdup in Two-Phase Flow under Complex Salinity Conditions" Water 16, no. 14: 2047. https://doi.org/10.3390/w16142047
APA StyleCheng, L., Ke, S., Shi, H., Zhang, Y., Luo, H., & Hu, H. (2024). Experimental Study on Impedance Spectrum-Based Detection of Water Holdup in Two-Phase Flow under Complex Salinity Conditions. Water, 16(14), 2047. https://doi.org/10.3390/w16142047

