Optimal Allocation of Water Resources in Ordos City Based on the General Water Allocation and Simulation Model
Abstract
1. Introduction
2. Materials and Methods
2.1. Study Area
2.2. Data Preparation
2.3. Water Supply and Demand Prediction
2.4. GWAS Model Configuration Method
2.4.1. Objective Function
2.4.2. Constraints
2.4.3. Solution Method
3. Regional Model Construction
3.1. Computational Unit Division
3.2. Determination of Water Supply and Consumption Relationship
3.3. Parameter Setting and Verification
4. Results and Analysis
4.1. Configuration Optimization Analysis
4.2. Analysis of Regional Water Shortage Rate
4.3. Analysis of Industry Water Shortage Rate
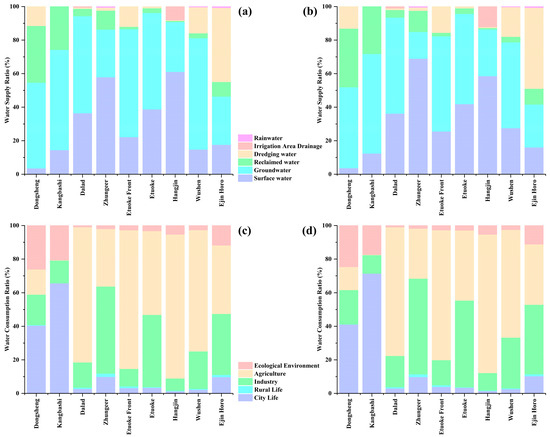
4.4. Analysis of Water Supply Structure
4.5. Analysis of Water Structure
4.6. Analysis of Government Policy Impact
5. Conclusions
Author Contributions
Funding
Data Availability Statement
Acknowledgments
Conflicts of Interest
References
- Li, L.Q.; Jiang, E.H.; Liu, C.; Xu, C.Y. How does top-down water unified allocation and regulation decelerate water utilization? Insights from the Yellow River, China. J. Clean. Prod. 2024, 447, 141402. [Google Scholar] [CrossRef]
- Wei, J.X.; Lei, Y.L.; Liu, L.N.; Yao, H.J. Water scarcity risk through trade of the Yellow River Basin in China. Ecol. Indic. 2023, 154, 110893. [Google Scholar] [CrossRef]
- Wang, H.; Ma, T. Optimal water resource allocation considering virtual water trade in the Yellow River Basin. Sci. Rep. 2024, 14, 79. [Google Scholar] [CrossRef]
- Zhao, M.M.; Wang, S.M.; Chen, Y.P.; Wu, J.H.; Xue, L.G.; Fan, T.T. Pollution status of the Yellow River tributaries in middle and lower reaches. Sci. Total Environ. 2020, 722, 137861. [Google Scholar] [CrossRef] [PubMed]
- Niu, C.; Chang, J.X.; Wang, Y.M.; Shi, X.G.; Wang, X.B.; Guo, A.J.; Jin, W.T.; Zhou, S. A water resource equilibrium regulation model under water resource utilization conflict: A case study in the Yellow River Basin. Water Resour. Res. 2022, 58, e2021WR030779. [Google Scholar] [CrossRef]
- Niu, C.; Wang, X.B.; Chang, J.X.; Wang, Y.M.; Guo, A.J.; Ye, X.M.; Wang, Q.W.; Li, Z.H. Integrated model for optimal scheduling and allocation of water resources considering fairness and efficiency: A case study of the Yellow River Basin. J. Hydrol. 2023, 626, 130236. [Google Scholar] [CrossRef]
- Ye, Q.L.; Li, Y.; Zhou, L.; Zhang, W.L.; Xiong, W.; Wang, C.T.; Wang, P.F. Optimal allocation of physical water resources integrated with virtual water trade in water scarce regions: A case study for Beijing, China. Water Res. 2018, 129, 264–276. [Google Scholar] [CrossRef]
- Zeng, Y.J.; Liu, D.D.; Guo, S.L.; Xiong, L.H.; Liu, P.; Chen, J.; Chen, H.; Yin, J.B.; Wu, Z.H.; Wan, Z. Assessment of the impacts of water resources allocation on the reliability, resilience and vulnerability of the water-energy-food-society (WEFS) nexus system. Argic. Water Manag. 2024, 295, 108780. [Google Scholar] [CrossRef]
- Wei, F.L.; Zhang, X.; Xu, J.; Bing, J.P.; Pan, G.Y. Simulation of water resource allocation for sustainable urban development: An integrated optimization approach. J. Clean. Prod. 2020, 273, 122537. [Google Scholar] [CrossRef]
- Feng, J.H. Optimal allocation of regional water resources based on multi-objective dynamic equilibrium strategy. Appl. Math. Model. 2021, 90, 1183–1203. [Google Scholar] [CrossRef]
- Cervellera, C.; Chen, V.C.P.; Wen, A. Optimization of a large-scale water reservoir network by stochastic dynamic programming with efficient state space discretization. Eur. J. Oper. Res. 2006, 171, 1139–1151. [Google Scholar] [CrossRef]
- Devi, S.; Srivastava, D.K.; Mohan, C. Optimal water allocation for the transboundary Subernarekha River, India. J. Water Resour. Plan. Manag. 2005, 131, 253–269. [Google Scholar] [CrossRef]
- Zhao, J.S.; Wang, Z.J.; Weng, W.B. Theory and model of water resources complex adaptive allocation system. J. Geogr. Sci. 2003, 13, 112–122. [Google Scholar] [CrossRef]
- He, Y.R.; Tu, Y.; Liu, J.; Shi, H.W.; Lev, B. Quartet trade-off for regional water resources allocation optimization with multiple water sources: A decentralized bi-level multi-objective model under hybrid uncertainty. J. Hydrol. 2023, 619, 129341. [Google Scholar] [CrossRef]
- Nguyen, D.C.H.; Dandy, G.C.; Maier, H.R.; Ascough, J. Improved ant colony optimization for optimal crop and irrigation water allocation by incorporating domain knowledge. J. Water Resour. Plan. Manag. 2016, 142, 04016025. [Google Scholar] [CrossRef]
- Qi, S.Q.; Wan, L.H.; Fu, B.L. Multisource and multiuser water resources allocation based on genetic algorithm. J. Supercomput. 2018, 76, 3222–3230. [Google Scholar] [CrossRef]
- Cai, Y.P.; Li, T.; Zhang, Y.; Zhang, X.D. A simulation-optimization approach for supporting conservative water allocation under uncertainties. J. Environ. Manag. 2022, 315, 115073. [Google Scholar] [CrossRef] [PubMed]
- Liu, D.; Huang, Q.; Yang, Y.Y.; Liu, D.F.; Wei, X.T. Bi-objective algorithm based on NSGA-II framework to optimize reservoirs operation. J. Hydrol. 2020, 585, 124830. [Google Scholar] [CrossRef]
- Ma, H.P.; Zhang, Y.J.; Sun, S.Y.; Liu, T.; Shan, Y. A comprehensive survey on NSGA-II for multi-objective optimization and applications. Artif. Intell. Rev. 2023, 56, 15217–15270. [Google Scholar] [CrossRef]
- Tra, V.T.; Thinh, X.N.; Greiving, S. Combined top-down and bottom-up climate change impact assessment for the hydrological system in the Vu Gia-Thu Bon River Basin. Sci. Total Environ. 2018, 630, 718–727. [Google Scholar] [CrossRef]
- Abdi, D.A.; Ayenew, T. Evaluation of the WEAP model in simulating subbasin hydrology in the Central Rift Valley basin, Ethiopia. Ecol. Process. 2021, 10, 41. [Google Scholar] [CrossRef]
- Paparrizos, S.; Maris, F.P. Hydrological simulation of Sperchios River Basin in Central Greece using the MIKE SHE model and geographic information systems. Appl. Water Sci. 2017, 7, 591–599. [Google Scholar] [CrossRef]
- Rousta, B.A.; Araghinejad, S. Development of a multi criteria decision making tool for a water resources decision support system. Water Resour. Manag. 2015, 29, 5713–5727. [Google Scholar] [CrossRef]
- Zhang, S.H.; Fan, W.W.; Yi, Y.J.; Zhao, Y.; Liu, J.H. Evaluation method for regional water cycle health based on nature-society water cycle theory. J. Hydrol. 2017, 551, 352–364. [Google Scholar] [CrossRef]
- Sang, X.F.; Wang, H.; Wang, J.H.; Zhao, Y.; Zhou, Z.H. Water resources comprehensive allocation and simulation model (WAS), part I: Theory and development. J. Hydraul. Eng. 2018, 49, 1259–1451. (In Chinese) [Google Scholar]
- Sang, X.F.; Zhao, Y.; Zhai, Z.L.; Chang, H.Y. Water resources comprehensive allocation and simulation model (WAS), part II: Application. J. Hydraul. Eng. 2019, 50, 201–208. (In Chinese) [Google Scholar]
- Luan, Q.H.; Gao, H.Y.; Liu, H.L.; He, L.X.; Ma, J.; Wang, C.S. Optimal allocation of water resources in Wu’an County based on GWAS model. Water Resour. Prot. 2022, 39, 32–42. (In Chinese) [Google Scholar]
- Ma, J.; Liu, H.L.; Wu, W.F.; Zhang, Y.Q.; Dong, S. Research on optimal allocation of water resources in Handan City based on the refined water resource allocation model. Water 2023, 15, 154. [Google Scholar] [CrossRef]
- Huang, R.R.; Ni, H.Z.; Chen, G.F.; Du, L.J.; Zhou, Y.P. Refined allocation of water resources in Pishihang Irrigation Area by joint utilization of multiple water sources. Sustainability 2022, 14, 13343. [Google Scholar] [CrossRef]
- Yan, Z.Q.; Zhou, Z.H.; Sang, X.F.; Wang, H. Water replenishment for ecological flow with an improved water resources allocation model. Sci. Total Environ. 2018, 643, 1152–1165. [Google Scholar] [CrossRef]
- Yan, Z.Q.; Zhou, Z.H.; Liu, J.J.; Wen, T.F.; Sang, X.F.; Zhang, F.P. Multi objective optimal operation of reservoirs based on water supply, power generation, and river ecosystem with a new water resource allocation model. J. Water Resour. Plan. Manag. 2020, 146, 05020024. [Google Scholar] [CrossRef]
- Matrosov, E.S.; Harou, J.J.; Loucks, D.P. A computationally efficient open-source water resource system simulator-Application to London and the Thames Basin. Environ. Model. Softw. 2011, 26, 1599–1610. [Google Scholar] [CrossRef]
- Sivapalan, M.; Blöschl, G. Time scale interactions and the coevolution of humans and water. Water Resour. Res. 2015, 51, 6988–7022. [Google Scholar] [CrossRef]
- Janjua, S.; Hassan, I.; Ali, M.U.; Ibrahim, M.M.; Zafar, A.; Kim, S. Addressing social inequality and improper water distribution in cities: A case study of Karachi, Pakistan. Land 2021, 10, 1278. [Google Scholar] [CrossRef]
- Cheng, C.; Gao, D.; Zhang, H.; Xu, Z.P.; Huang, J.G. Superstructure optimization models for regional coal industry development considering water resources constraints-A case study of Ordos, China. Comput. Chem. Eng. 2023, 178, 108384. [Google Scholar] [CrossRef]
- Liu, J.Y.; Qin, K.Y.; Zhen, L.; Xiao, Y.; Xie, G.D. How to allocate interbasin water resources? A method based on water flow in water-deficient areas. Environ. Dev. 2020, 34, 100460. [Google Scholar] [CrossRef]
- Mekonnen, M.M.; Hoekstra, A.Y. Four billion people facing severe water scarcity. Sci. Adv. 2016, 2, e1500323. [Google Scholar] [CrossRef] [PubMed]
- Zhou, L.M.; Xie, X.H.; Wu, S.Q. Use of the life cycle methodology to calculate energy consumption of urban water cycle: A case study of Ordos City. Water 2020, 12, 2393. [Google Scholar] [CrossRef]
- Yan, J.C. Research on the Carrying Capacity and Optimal Allocation of Water Resources in Ordos City. Master’s Thesis, China University of Geosciences, Beijing, China, 2021. (In Chinese). [Google Scholar]
- Wang, H.; Wang, W.J.; Cui, Z.H.; Zhou, X.Y.; Zhao, J.; Li, Y. A new dynamic firefly algorithm for demand estimation of water resources. Inf. Sci. 2018, 438, 95–106. [Google Scholar] [CrossRef]
- Inner Mongolia Autonomous Region Market Supervision Administration. Inner Mongolia Autonomous Region’s Local Standard "Industry Water Use Quota" (DB15/T385-2020); Inner Mongolia Autonomous Region Market Supervision Administration: Hohhot, China, 2020; pp. 5–44. (In Chinese) [Google Scholar]
- Cheng, D.L. Comprehensive Evaluation and Sustainable Utilization Analysis of Water Resources Carrying Capacity in Ordos City. Master’s Thesis, Northwest A & F University, Yangling, China, 2022. (In Chinese). [Google Scholar]
- Zhang, W.D. Research on Optimal Allocation of Urban Water Resources in Arid Areas. Master’s Thesis, Hebei Engineering University, Handan, China, 2021. (In Chinese). [Google Scholar]
- Luo, Y.; Sha, J.X.; Liu, B.; Zhang, Y.Q.; Yang, J. Optimal allocation of water resources based on GWAS model in Handan, China. Water 2023, 15, 1090. [Google Scholar] [CrossRef]
- Zheng, Y.; Sang, X.F.; Liu, Z.W.; Zhang, S.Q.; Liu, P. Water allocation management under scarcity: A bankruptcy approach. Water Resour. Manag. 2022, 36, 2891–2912. [Google Scholar] [CrossRef]
- Chang, H.Y.; Sang, X.F.; He, G.H.; Wang, Q.M.; Chang, J.X.; Liu, R.; Li, H.H.; Zhao, Y. A socio-hydrological unit division and confluence relationship generation method for human-water systems. Water 2022, 14, 2074. [Google Scholar] [CrossRef]
- Zheng, F.F.; Simpson, A.R.; Zecchin, A.C. A decomposition and multistage optimization approach applied to the optimization of water distribution systems with multiple supply sources. Water Resour. Res. 2013, 49, 380–399. [Google Scholar] [CrossRef]
- Xu, J.P.; Lv, C.L.; Yao, L.M.; Hou, S.H. Intergenerational equity based optimal water allocation for sustainable development: A case study on the upper reaches of Minjiang River, China. J. Hydrol. 2018, 568, 835–848. [Google Scholar] [CrossRef]
- Xu, H.; Yang, R. Does agricultural water conservation policy necessarily reduce agricultural water extraction? Evidence from China. Argic. Water Manag. 2022, 274, 107987. [Google Scholar] [CrossRef]
- Wang, K.R.; Chen, H.W.; Fu, S.D.; Li, F.L.; Wu, Z.; Xu, D.D. Analysis of exploitation control in typical groundwater over-exploited area in North China Plain. Hydrol. Sci. J. 2021, 66, 851–861. [Google Scholar] [CrossRef]
- He, C.Y.; Liu, Z.F.; Wu, J.G.; Pan, X.H.; Fang, Z.H.; Li, J.W.; Bryan, B.A. Future global urban water scarcity and potential solutions. Nat Commun. 2021, 12, 4667. [Google Scholar] [CrossRef] [PubMed]
- Makanda, K.; Nzama, S.; Kanyerere, T. Assessing the role of water resources protection practice for sustainable water resources management: A review. Water 2022, 14, 3153. [Google Scholar] [CrossRef]
- Luo, P.; Sun, Y.; Wang, S.; Wang, S.; Lyu, J.; Zhou, M.; Nakagami, K.; Takara, K.; Nover, D. Historical assessment and future sustainability challenges of Egyptian water resources management. J. Clean. Prod. 2020, 263, 121154. [Google Scholar] [CrossRef]
- Yang, T.; Zhu, Y.; Li, Y.; Zhou, B. Achieving win-win policy outcomes for water resource management and economic development: The experience of Chinese cities. Sustain. Prod. Consum. 2021, 27, 873–888. [Google Scholar] [CrossRef]









| Year | Industry | City Life | Rural Life | Industry | Agriculture | Ecology | Total |
|---|---|---|---|---|---|---|---|
| 2025 | Water Demand (106 m3) | 112.91 | 15.17 | 445.02 | 1276.83 | 89.38 | 1939.31 |
| Configure Water Quantity (106 m3) | 112.91 | 15.17 | 445.02 | 1170.88 | 89.38 | 1833.36 | |
| Water Shortage Rate (%) | 0 | 0 | 0 | 8.29 | 0 | 5.46 | |
| 2030 | Water Demand (106 m3) | 131.54 | 14.46 | 596.69 | 1246.37 | 92.41 | 2081.47 |
| Configure Water Quantity (106 m3) | 131.54 | 14.46 | 596.69 | 1128.34 | 92.41 | 1963.44 | |
| Water Shortage Rate (%) | 0 | 0 | 0 | 9.46 | 0 | 5.67 |
Disclaimer/Publisher’s Note: The statements, opinions and data contained in all publications are solely those of the individual author(s) and contributor(s) and not of MDPI and/or the editor(s). MDPI and/or the editor(s) disclaim responsibility for any injury to people or property resulting from any ideas, methods, instructions or products referred to in the content. |
© 2024 by the authors. Licensee MDPI, Basel, Switzerland. This article is an open access article distributed under the terms and conditions of the Creative Commons Attribution (CC BY) license (https://creativecommons.org/licenses/by/4.0/).
Share and Cite
Shi, Q.; Duan, L.; Cui, C.; Yang, L.; Hao, R.; Wang, R.; Lu, X.; Miao, P.; Sang, X.; Liu, X.; et al. Optimal Allocation of Water Resources in Ordos City Based on the General Water Allocation and Simulation Model. Water 2024, 16, 1711. https://doi.org/10.3390/w16121711
Shi Q, Duan L, Cui C, Yang L, Hao R, Wang R, Lu X, Miao P, Sang X, Liu X, et al. Optimal Allocation of Water Resources in Ordos City Based on the General Water Allocation and Simulation Model. Water. 2024; 16(12):1711. https://doi.org/10.3390/w16121711
Chicago/Turabian StyleShi, Qiwei, Limin Duan, Caiqi Cui, Lu Yang, Rong Hao, Ruidong Wang, Xiaoyan Lu, Ping Miao, Xuefeng Sang, Xiaomin Liu, and et al. 2024. "Optimal Allocation of Water Resources in Ordos City Based on the General Water Allocation and Simulation Model" Water 16, no. 12: 1711. https://doi.org/10.3390/w16121711
APA StyleShi, Q., Duan, L., Cui, C., Yang, L., Hao, R., Wang, R., Lu, X., Miao, P., Sang, X., Liu, X., & Luo, Y. (2024). Optimal Allocation of Water Resources in Ordos City Based on the General Water Allocation and Simulation Model. Water, 16(12), 1711. https://doi.org/10.3390/w16121711

