Application of the Data-Driven Method and Hydrochemistry Analysis to Predict Groundwater Level Change Induced by the Mining Activities: A Case Study of Yili Coalfield in Xinjiang, Norwest China
Abstract
1. Introduction
2. Geological Setting and Data Source
2.1. Regional Hydrogeological Setting
2.2. Data Collection
2.2.1. Time Series Data
2.2.2. Hydrochemistry Data
3. Methods
3.1. Hydrochemistry Analysis
3.2. Time Series Analysis (Continuous Wavelet Coherence)
3.3. Machine Learning
3.3.1. Long Short-Term Memory Neural Network
3.3.2. Decision Trees
4. Model Development
4.1. Splitting the Dataset into Different Subsets
4.2. Data Normalization and Error Metric
4.3. Input Variable Selection
5. Results and Discussion
5.1. Hydrochemistry Change Induced by the Mining Activities
5.2. The External Influencing Factors
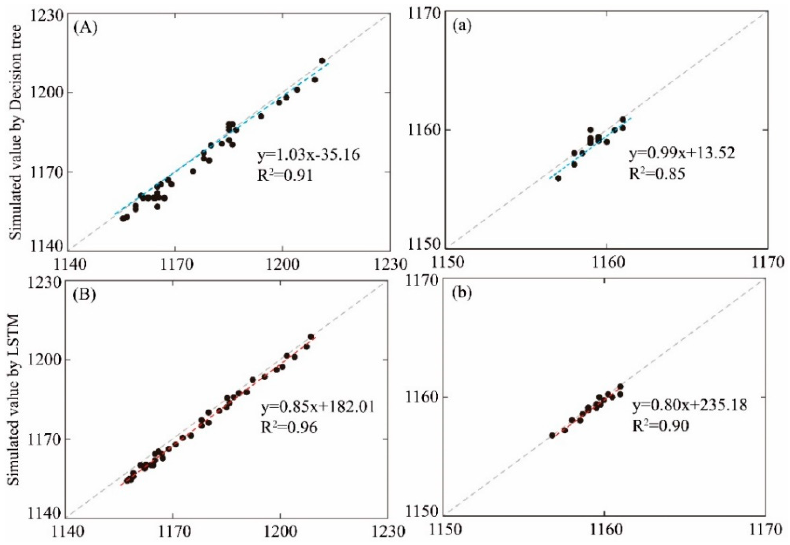
5.3. Comparisons of Prediction Performance
6. Conclusions
- (1)
 - The hydrochemical characteristic in the Yili Coalfield is affected by the cation exchange function and the dissolution of halite, gypsum, calcite and dolomite. The anomalous change in the hydrochemistry characteristic in the phreatic aquifer is attributed to the enhancement of the hydraulic connection between the different aquifers induced by the mining activities. The groundwater level of the confined aquifer can be considered as the input variable of the model to predict the phreatic groundwater level.
 - (2)
 - Precipitation, mine water inflow, and unit goal are highly coherent with the anomalous change in the groundwater level induced by the mining activities, which are considered as the input variables for constructing the prediction model.
 - (3)
 - According to the errors of predictive performance, the accuracy of predictive results calculated using the LSTM algorithm is 8% of NSE and 6% of R2 higher than that of the Decision Tree algorithm; the predictive error of the LSTM algorithm is 11% of RMSE and 6% of MAPE lower than that of the Decision Tree algorithm. The predictive errors indicate that the data-driven model based on the LSTM algorithm yields a better prediction performance than that of the Decision Tree algorithm, which can be used to predict the anomalous change in the groundwater level caused by the mining activities.
 
Author Contributions
Funding
Data Availability Statement
Acknowledgments
Conflicts of Interest
References
- Hikouei, I.S.; Eshleman, K.N.; Saharjo, B.H.; Graham, L.L.B.; Applegate, G.; Cochrane, M.A. Using machine learning algorithms to predict groundwater levels in Indonesian tropical peatlands. Sci. Total Environ. 2023, 857, 159701. [Google Scholar] [CrossRef] [PubMed]
 - Zhang, S.; Shi, Z.; Wang, G.; Yan, R.; Zhang, Z. Groundwater radon precursor anomalies identification by decision tree method. Appl. Geochem. 2020, 121, 104696. [Google Scholar] [CrossRef]
 - Yu, S.; Ma, J. Deep Learning for Geophysics: Current and Future Trends. Rev. Geophys. 2021, 59, e2021RG000742. [Google Scholar] [CrossRef]
 - Hosono, T.; Yamada, C.; Shibata, T.; Tawara, Y.; Wang, C.Y.; Manga, M.; Rahman, A.T.M.S.; Shimada, J. Coseismic Groundwater Drawdown Along Crustal Ruptures During the 2016 Mw 7.0 Kumamoto Earthquake. Water Resour. Res. 2019, 55, 5891–5903. [Google Scholar] [CrossRef]
 - Miyakoshi, A.; Taniguchi, M.; Ide, K.; Kagabu, M.; Hosono, T.; Shimada, J. Identification of changes in subsurface temperature and groundwater flow after the 2016 Kumamoto earthquake using long-term well temperature-depth profiles. J. Hydrol. 2020, 582, 10. [Google Scholar] [CrossRef]
 - Qu, S.; Shi, Z.; Wang, G.; Xu, Q.; Han, J. Using water-level fluctuations in response to Earth-tide and barometric-pressure changes to measure the in-situ hydrogeological properties of an overburden aquifer in a coalfield. Hydrogeol. J. 2020, 595, 125673. [Google Scholar]
 - Wang, C.Y.; Wang, L.P.; Manga, M.; Wang, C.H.; Chen, C.H. Basin-scale transport of heat and fluid induced by earthquakes. Geophys. Res. Lett. 2013, 40, 3893–3897. [Google Scholar] [CrossRef]
 - Xiao, Y.; Hao, Q.; Zhang, Y.; Zhu, Y.; Yin, S.; Qin, L.; Li, X. Investigating sources, driving forces and potential health risks of nitrate and fluoride in groundwater of a typical alluvial fan plain. Sci. Total Environ. 2022, 802, 149909. [Google Scholar] [CrossRef] [PubMed]
 - Wang, C.; Liao, F.; Wang, G.; Qu, S.; Mao, H.; Bai, Y. Hydrogeochemical evolution induced by long-term mining activities in a multi-aquifer system in the mining area. Sci. Total Environ. 2023, 854, 158806. [Google Scholar] [CrossRef]
 - Yang, Y.; Mei, A.; Gao, S.; Zhao, D. Both natural and anthropogenic factors control surface water and groundwater chemistry and quality in the Ningtiaota coalfield of Ordos Basin, Northwestern China. Environ. Sci. Pollut. Res. 2023, 30, 67227–67249. [Google Scholar] [CrossRef]
 - Barbieri, M.; Franchini, S.; Barberio, M.D.; Billi, A.; Boschetti, T.; Giansante, L.; Gori, F.; Jónsson, S.; Petitta, M.; Skelton, A.; et al. Changes in groundwater trace element concentrations before seismic and volcanic activities in Iceland during 2010–2018. Sci. Total Environ. 2021, 793, 148635. [Google Scholar] [CrossRef] [PubMed]
 - Schiavo, M. Probabilistic delineation of subsurface connected pathways in alluvial aquifers under geological uncertainty. J. Hydrol. 2022, 615, 128674. [Google Scholar] [CrossRef]
 - Zhang, S.; Shi, Z.; Wang, G.; Zhang, Z.; Guo, H. The origin of hydrological responses following earthquakes in a confined aquifer: Insight from water level, flow rate, and temperature observations. Hydrol. Earth Syst. Sci. 2023, 27, 401–415. [Google Scholar] [CrossRef]
 - Liu, K.; Zhang, Y.; He, Q.; Zhang, S.; Jia, W.; He, X.; Zhang, H.; Wang, L.; Wang, S. Characteristics of thermophysical parameters in the Wugongshan area of South China and their insights for geothermal genesis. Front. Environ. Sci. 2023, 11, 1112143. [Google Scholar] [CrossRef]
 - Zhang, H.; Shi, Z.; Wang, G.; Yan, X.; Liu, C.; Sun, X.; Ma, Y.; Wen, D. Different Sensitivities of Earthquake-Induced Water Level and Hydrogeological Property Variations in Two Aquifer Systems. Water Resour. Res. 2021, 57, e2020WR028217. [Google Scholar] [CrossRef]
 - Janetti, E.B.; Guadagnini, L.; Riva, M.; Guadagnini, A. Global sensitivity analyses of multiple conceptual models with uncertain parameters driving groundwater flow in a regional-scale sedimentary aquifer. J. Hydrol. 2019, 574, 544–556. [Google Scholar] [CrossRef]
 - Tian, X.; Gong, Z.; Fu, L.; You, D.; Li, F.; Wang, Y.; Chen, Z.; Zhou, Y. Determination of Groundwater Recharge Mechanism Based on Environmental Isotopes in Chahannur Basin. Water 2023, 15, 180. [Google Scholar] [CrossRef]
 - Mousavi, S.M.; Beroza, G.C. Machine Learning in Earthquake Seismology. Annu. Rev. Earth Planet. Sci. 2023, 51, 2365–2378. [Google Scholar] [CrossRef]
 - Okoroafor, E.R.; Smith, C.M.; Ochie, K.I.; Nwosu, C.J.; Gudmundsdottir, H.; Aljubran, M. Machine learning in subsurface geothermal energy: Two decades in review. Geothermics 2022, 102, 102401. [Google Scholar] [CrossRef]
 - Mao, H.; Wang, G.; Rao, Z.; Liao, F.; Shi, Z.; Huang, X.; Chen, X.; Yang, Y. Deciphering spatial pattern of groundwater chemistry and nitrogen pollution in Poyang Lake Basin (eastern China) using self-organizing map and multivariate statistics. J. Clean. Prod. 2021, 329, 129697. [Google Scholar] [CrossRef]
 - Qu, S.; Duan, L.; Mao, H.; Wang, C.; Liang, X.; Luo, A.; Huang, L.; Yu, R.; Miao, P.; Zhao, Y. Hydrochemical and isotopic fingerprints of groundwater origin and evolution in the Urangulan River basin, China’s Loess Plateau. Sci. Total Environ. 2023, 866, 161377. [Google Scholar] [CrossRef]
 - Xu, K.; Dai, G.; Zhao, D.; Xue, X. Hydrogeochemical Evolution of an Ordovician Limestone Aquifer Influenced by Coal Mining: A Case Study in the Hancheng Mining Area, China. Mine Water Environ. 2018, 37, 238–248. [Google Scholar] [CrossRef]
 - Bredy, J.; Gallichand, J.; Celicourt, P.; Gumiere, S.J. Water table depth forecasting in cranberry fields using two decision-tree-modeling approaches. Agric. Water Manag. 2020, 233, 106090. [Google Scholar] [CrossRef]
 - Rodrigues, E.; Gomes, Á.; Gaspar, A.R.; Henggeler Antunes, C. Estimation of renewable energy and built environment-related variables using neural networks—A review. Renew. Sustain. Energy Rev. 2018, 94, 959–988. [Google Scholar] [CrossRef]
 - Wunsch, A.; Liesch, T.; Broda, S. Groundwater level forecasting with artificial neural networks: A comparison of long short-term memory (LSTM), convolutional neural networks (CNNs), and non-linear autoregressive networks with exogenous input (NARX). Hydrol. Earth Syst. Sci. 2021, 25, 1671–1687. [Google Scholar] [CrossRef]
 - Zhang, S.; Shi, Z.; Wang, G.; Yan, R.; Zhang, Z. Application of the extreme gradient boosting method to quantitatively analyze the mechanism of radon anomalous change in Banglazhang hot spring before the Lijiang Mw 7.0 earthquake. J. Hydrol. 2022, 612, 128249. [Google Scholar] [CrossRef]
 - Luque-Espinar, J.A.; López-Chicano, M.; Pardo-Igúzquiza, E.; Chica-Olmo, M. Using numerical methods for map the spatiotemporal geogenic and anthropogenic influences on the groundwater in a detrital aquifer in south spain. J. Environ. Manag. 2024, 355, 120442. [Google Scholar] [CrossRef] [PubMed]
 - Luo, A.; Dong, S.; Wang, H.; Ji, Z.; Wang, T.; Hu, X.; Wang, C.; Qu, S.; Zhang, S. Impact of long-term mining activity on groundwater dynamics in a mining district in Xinjiang coal Mine Base, Northwest China: Insight from geochemical fingerprint and machine learning. Environ. Sci. Pollut. Res. 2024, 2024, 1–16. [Google Scholar] [CrossRef] [PubMed]
 - Wang, L.; Jia, J.; Xia, D.; Liu, H.; Gao, F.; Duan, Y.; Wang, Q.; Xie, H.; Chen, F. Climate change in arid central Asia since MIS 2 revealed from a loess sequence in Yili Basin, Xinjiang, China. Quat. Int. 2019, 502, 258–266. [Google Scholar] [CrossRef]
 - Wang, L.; Jia, J.; Xia, D.; Liu, H.; Gao, F.; Duan, Y.; Wang, Q.; Xie, H.; Chen, F. Vegetation and climate history in arid western China during MIS2, New insights from pollen and grain-size data of the Balikun Lake, eastern Tien Shan. Quat. Sci. Rev. 2015, 126, 112–125. [Google Scholar]
 - Acworth, R.I.; Halloran, L.J.S.; Rau, G.C.; Cuthbert, M.O.; Bernardi, T.L. An objective frequency domain method for quantifying confined aquifer compressible storage using Earth and atmospheric tides. Geophys. Res. Lett. 2016, 43, 11671–11678. [Google Scholar] [CrossRef]
 - Qu, S.; Shi, Z.; Wang, G.; Zhang, H.; Han, J.; Liu, T.; Jin, X. Detection of hydrological responses to longwall mining in an overburden aquifer. J. Hydrol. 2021, 603, 126919. [Google Scholar] [CrossRef]
 - Gu, X.; Sun, H.; Zhang, Y.; Zhang, S.; Lu, C. Partial Wavelet Coherence to Evaluate Scale-dependent Relationships Between Precipitation/Surface Water and Groundwater Levels in a Groundwater System. Water Resour. Manag. 2022, 36, 2509–2522. [Google Scholar] [CrossRef]
 - Wang, C.-Y.; Liao, X.; Wang, L.-P.; Wang, C.-H.; Manga, M. Large earthquakes create vertical permeability by breaching aquitards. Water Resour. Res. 2016, 52, 5923–5937. [Google Scholar] [CrossRef]
 - An, L.; Hao, Y.; Yeh, T.-C.J.; Liu, Y.; Liu, W.; Zhang, B. Simulation of karst spring discharge using a combination of time-frequency analysis methods and long short-term memory neural networks. J. Hydrol. 2020, 589, 125320. [Google Scholar] [CrossRef]
 - Yan, X.; Shi, Z.; Wang, G.; Zhang, H.; Bi, E. Detection of possible hydrological precursor anomalies using long short-term memory: A case study of the 1996 Lijiang earthquake. J. Hydrol. 2021, 599, 126369. [Google Scholar] [CrossRef]
 












| Aquifer Type  /Mining Stage  | N | pH | TDS | Na+ + K+ | Ca2+ | Mg2+ | Cl− | SO42− | HCO3− + CO32− | |
|---|---|---|---|---|---|---|---|---|---|---|
| mg/L | ||||||||||
| Phreatic aquifer  before mining activities  | 6 | Maximum | 7.90 | 648 | 133.52 | 72.69 | 22.92 | 33.44 | 327.55 | 277.09 | 
| Minimum | 7.70 | 206 | 1.33 | 50.00 | 6.18 | 1.63 | 17.28 | 158.77 | ||
| Average | 7.83 | 349 | 48.17 | 60.06 | 13.00 | 17.94 | 104.41 | 210.37 | ||
| Confined aquifer  before mining activities  | 20 | Maximum | 8.00 | 3132 | 956.64 | 129.44 | 60.96 | 447.68 | 1435.31 | 313.52 | 
| Minimum | 7.50 | 400 | 54.53 | 57.39 | 10.96 | 9.79 | 123.45 | 182.45 | ||
| Average | 7.78 | 810 | 160.55 | 85.28 | 24.43 | 82.83 | 324.66 | 248.62 | ||
| Phreatic aquifer  after mining activities  | 5 | Maximum | 8.10 | 1719 | 256.21 | 192.00 | 86.28 | 114.87 | 686.55 | 324.00 | 
| Minimum | 7.30 | 614 | 100.50 | 106.21 | 6.68 | 93.60 | 181.93 | 220.26 | ||
| Average | 7.82 | 1264 | 188.34 | 137.86 | 42.82 | 103.42 | 520.74 | 251.48 | ||
| Confined aquifer  after mining activities  | 28 | Maximum | 8.20 | 1019 | 121.95 | 30.70 | 10.50 | 6.50 | 54.30 | 102.00 | 
| Minimum | 6.70 | 309 | 13.60 | 140.00 | 86.28 | 186.00 | 665.71 | 474.35 | ||
| Average | 7.45 | 711 | 58.25 | 93.32 | 32.54 | 68.73 | 205.01 | 201.32 | ||
| Model | Algorithm | Stage | DG Well | |||
|---|---|---|---|---|---|---|
| MAPE (%) | RMSE | NSE | R2 | |||
| PGL | Decision Tree | Training | 0.1261 | 0.1765 | 0.92 | 0.93 | 
| Testing | 0.1366 | 0.1989 | 0.86 | 0.88 | ||
| LSTM | Training | 0.0918 | 0.1562 | 0.96 | 0.95 | |
| Testing | 0.0986 | 0.1625 | 0.93 | 0.91 | ||
| CGL | Decision Tree | Training | 0.0996 | 0.1526 | 0.91 | 0.91 | 
| Testing | 0.1026 | 0.1695 | 0.85 | 0.85 | ||
| LSTM | Training | 0.0865 | 0.1368 | 0.95 | 0.96 | |
| Testing | 0.0958 | 0.1502 | 0.91 | 0.90 | ||
Disclaimer/Publisher’s Note: The statements, opinions and data contained in all publications are solely those of the individual author(s) and contributor(s) and not of MDPI and/or the editor(s). MDPI and/or the editor(s) disclaim responsibility for any injury to people or property resulting from any ideas, methods, instructions or products referred to in the content.  | 
© 2024 by the authors. Licensee MDPI, Basel, Switzerland. This article is an open access article distributed under the terms and conditions of the Creative Commons Attribution (CC BY) license (https://creativecommons.org/licenses/by/4.0/).
Share and Cite
Luo, A.; Dong, S.; Wang, H.; Cao, H.; Wang, T.; Hu, X.; Wang, C.; Zhang, S.; Qu, S. Application of the Data-Driven Method and Hydrochemistry Analysis to Predict Groundwater Level Change Induced by the Mining Activities: A Case Study of Yili Coalfield in Xinjiang, Norwest China. Water 2024, 16, 1611. https://doi.org/10.3390/w16111611
Luo A, Dong S, Wang H, Cao H, Wang T, Hu X, Wang C, Zhang S, Qu S. Application of the Data-Driven Method and Hydrochemistry Analysis to Predict Groundwater Level Change Induced by the Mining Activities: A Case Study of Yili Coalfield in Xinjiang, Norwest China. Water. 2024; 16(11):1611. https://doi.org/10.3390/w16111611
Chicago/Turabian StyleLuo, Ankun, Shuning Dong, Hao Wang, Haidong Cao, Tiantian Wang, Xiaoyu Hu, Chenyu Wang, Shouchuan Zhang, and Shen Qu. 2024. "Application of the Data-Driven Method and Hydrochemistry Analysis to Predict Groundwater Level Change Induced by the Mining Activities: A Case Study of Yili Coalfield in Xinjiang, Norwest China" Water 16, no. 11: 1611. https://doi.org/10.3390/w16111611
APA StyleLuo, A., Dong, S., Wang, H., Cao, H., Wang, T., Hu, X., Wang, C., Zhang, S., & Qu, S. (2024). Application of the Data-Driven Method and Hydrochemistry Analysis to Predict Groundwater Level Change Induced by the Mining Activities: A Case Study of Yili Coalfield in Xinjiang, Norwest China. Water, 16(11), 1611. https://doi.org/10.3390/w16111611
        