Abstract
With the frequency of extreme rainfall increasing, the risk of waterlogging is significantly exacerbated in subway systems. It is imperative to first identify the rainfall threshold for waterlogging risk for subway stations in order to develop effective waterlogging prevention and control plans. This study focuses on Line 11 of the Beijing Subway, using InfoWorks ICM to construct a model of the research area and simulate waterlogging at various subway stations under different rainfall scenarios. The results indicate that there is a risk of waterlogging at Jinanqiao station, Moshikou station, and Beixinan station on Line 11. The accumulated water may enter the subway station through exits A, B, C, and D of Jinanqiao Station. The inlet sequence of Jinanqiao Station always follows A(B), C, and D, and the difference in waterlogging time for each outlet does not exceed 10 min. We derived the rainfall threshold formula for waterlogging risk at Jinanqiao subway station. Among the three influencing factors of topographic features, step height, and drainage capacity of the pipeline network, step height has a significant effect on increasing the rainfall threshold for waterlogging risk. The conclusions obtained can provide reference for the refined management of waterlogging risks in subway stations.
1. Introduction
In recent years, the frequent occurrence of extreme rainfall events has highlighted the issue of urban waterlogging [1], leading to an increasing number of waterlogging invasion incidents in subway systems. To prevent waterlogging water from entering subway stations and explore response strategies, numerous scholars have conducted extensive research in areas such as crowd evacuation [2,3], identification of subway station inundation depth, analysis of disaster causes [4], and waterlogging risk assessment of subway stations [5,6].
The identification of subway station inundation depth is primarily achieved through laser imaging and simulated experimental flow state analysis. Park et al. [7] proposed a method using laser imaging analysis to measure inundation depth. The proposed laser imaging analysis method can identify the boundary line between water and air by visualizing the water surface with a laser sheet. Dong et al. [8] studied the general rules of waterlogging water intrusion into subway tunnels through scale model experiments, investigating the waterlogging flow pattern, water level elevation, and flow velocity under different tunnel slopes and water inflow and discharge conditions, and they proposed empirical dimensionless formulas for the tunnel inundation process during non-steady and steady stages. Kim et al. [9] overcame the limitations of 2D modeling by introducing the layer concept of connections, calculating the flow through upper-level stairs, and transferring the equivalent amount to the lower level to simulate underground inundation when two levels are connected. Liu et al. [10] explored two different manufacturing methods for a capsule-shaped inflatable device used to block waterlogging water from entering subway tunnels, aiming to make the device structurally uniform and producible in one step using conventional looms. Guo et al. [11] innovatively used inflatable rubber dams for temporary waterlogging prevention at subway exits and conducted numerical studies using Fast Lagrangian Analysis of Continua software to study the effectiveness of the proposed structure’s behavior. Yang et al. [4] investigated the waterlogging accident on Line 5 of the subway in Zhengzhou, the capital of Henan Province, China. Based on a preliminary investigation and analysis of this accident, they designed three main control measures to reduce the occurrence of similar accidents.
Overall, it can be seen that research on the depth of accumulated water at subway stations primarily focuses on identifying depths of accumulated water and analyzing flows during rainfall events, with a lack of predictive analysis on water accumulation depths and inflow trends before rainfall. Subway systems require more refined waterlogging risk management to cope with extreme weather fluctuations. Therefore, it is crucial to establish a clear rainfall threshold for waterlogging risk for different subway exits. By setting a rainfall threshold for waterlogging risk for each station within the overall subway system, this information can be compared with meteorological forecast data. By inputting the predicted rainfall duration as a variable into the rainfall threshold formula, and then comparing the output cumulative rainfall threshold with the predicted rainfall, subway operation managers can easily and quickly assess the risk of waterlogging entering each subway station, enabling them to take preemptive measures such as activating pump stations, deploying waterlogging gates and sandbags, issuing warnings to passengers in advance, adjusting operational strategies, ensuring passenger safety, and minimizing service disruptions caused by waterlogging. At the level of individual subway stations, operations managers can further refine preventative strategies. By comparing the differences between these thresholds, the order in which water flows into the stations can be predicted. Using the exits most susceptible to waterlogging as a warning line, proactive response plans can be developed for all other exits that may potentially be affected by water ingress. Additionally, evacuation plans can be optimized, identifying safe exits for personnel evacuation in case of water ingress at a specific entry point, avoiding exits at risk of water ingress in the short term, thus preventing accidents during evacuation.
During actual rainfall events, based on these preliminary analyses, personnel can proactively implement targeted protective measures for each specific exit. The establishment of a method for determining the rainfall threshold for waterlogging risk is of significant importance in preventing subway waterlogging accidents during heavy rain, maintaining the safe operation of the subway system, and safeguarding the lives of citizens.
2. Materials and Methods
2.1. Research Area
This study takes the Beijing Subway Line 11 as the research object, as shown in Figure 1. The first phase of Beijing Subway Line 11 is entirely located in Shijingshan District, Beijing. It starts at Moshikou Station and ends at Xinshougang Station, with a total of four underground stations. It roughly runs in a north–south direction. The total length is about 4.2 km, all of which are underground lines.
Figure 1.
Map of the research area.
The selection of the research area was primarily due to the frequent waterlogging incidents in Beijing in recent years, which have attracted widespread attention, making subway stations a hot topic in waterlogging disaster research. In 2021, the Jinanqiao station of Beijing Subway Line 11 experienced a severe waterlogging incident, leading to the closure of the station and the suspension of subway services, resulting in significant consequences. The location of Jinanqiao subway station is low-lying, as shown in Figure 2. Jinanqiao station serves as a transfer station between Line 11 and Line 6, accommodating a large volume of passengers, and this incident had a significant impact on the morning rush-hour commuters. It not only posed certain risks to the public commute but also imposed immense pressure on the city’s security and management.
Figure 2.
Concave area under the Jinanqiao.
2.2. Model Building
2.2.1. Research Area Boundary Determination
Firstly, GIS was used to classify the river network in the Jinanqiao area and preliminarily divide the catchment zones. Then, the boundary of the research area was adjusted based on the distribution of roads within the area, as shown in Figure 3.
Figure 3.
Determination of research area boundaries.
2.2.2. Model Building Procedures
- 1.
- Pipe network generalization
Due to the lack of information on the pipeline network in the research area, the method of pipeline network generalization was utilized to construct the model network. This general method can be used in any area that lacks detailed pipeline network data. Although the results of the study may have some differences from the actual situation, the model can be guaranteed to be reliable through subsequent parameter calibration. In addition, the rainfall events that cause subway exits to be flooded often have a larger return period, and the drainage system is often paralyzed during large-return-period rainfall events. The subtle differences in the drainage system often have little impact on the results. The distribution of the pipeline network in the research area is primarily derived from various planning documents. The nodes and pipe segments were created using GIS, with a node spacing of 30 m. The spatial connection tool in GIS was employed to establish the relationship between nodes and pipelines, which were then imported into InfoWorks ICM. Elevation values for nodes lacking ground elevation information were assigned through extrapolation methods. The research area consists of 1177 pipes, 1182 nodes, and 1177 pipelines.
- 2.
- Division of sub-catchment areas
In the InfoWorks ICM model, sub-catchments are divided using Thiessen polygons. In this study, the research area was divided into 1177 sub-catchments, with varying areas ranging from 48.39 to 0.032 hectares. Based on pre-set building, road, and green space polygons, the areas contributed by buildings, roads, and green spaces within the sub-catchments were extracted and determined using ATO.
- 3.
- Meshing model
The DEM elevation files for the research area model were obtained from the ALOS website, with a resolution of 12.5 m. We imported the files into InfoWorks ICM to build a 2D ground TIN model after correcting the local terrain. The model was divided into grids using a 2D range, with grid sizes ranging from 25 m2 to 100 m2. Roads were separately designated with grid sizes set between 15 m2 and 25 m2. To simulate the water-blocking effect of curbstones, the roads were uniformly lowered by 0.15 m during grid formation. Additionally, houses were designated as blank areas to prevent water from flowing into the building zones. The entire model network comprised 352,490 network triangles.
- 4.
- Subway station generalization
The exits of the subway stations are imported into the model in the form of network result points, and for some of the missing subway exits, the points are determined on the GIS against the satellite image model in order to view the simulation results. The schematic diagram of the model construction is shown in Figure 4.
Figure 4.
Schematic diagram of model building.
2.2.3. Model Parameter Calibration and Validation
Model parameter calibration and validation were conducted using two actual rainfall events on 3 July and 23 August 2021. The maximum depth of accumulated water was used for model parameter calibration and validation, as detailed in Table 1. The waterlogging monitoring point was located under the Jinanqiao railway bridge. The recorded maximum depth of accumulated water from the rainfall on 3 July was 1 m, while the depth from the rainfall on 23 August was 0.58 m. The simulated depth of accumulated water deviation for both rainfall events did not exceed 5%. Therefore, after calibrating the model parameters, the model is in good agreement with the actual situation and has a high degree of reliability, which can be used for subsequent simulation studies.
Table 1.
Rainfall information.
Table 1.
Rainfall information.
| Rainfall Information | Waterlogging Point | Monitoring of Depth of Accumulated Water/m | Simulating the Depth of Waterlogging/m | Deviation Rate |
|---|---|---|---|---|
| 3 July 2021 | Under the railroad bridge at Jinanqiao | 1 | 0.977 | 2.3% |
| 23 August 2021 | Under the railroad bridge at Jinanqiao | 0.58 | 0.604 | 4.1% |
Note: The results of model parameter tuning are shown in Table 2.
Table 2.
Parameter determination results.
Table 2.
Parameter determination results.
| Polygon Types | Runoff Routing Type | Runoff Routing Value | Runoff Volume Type | Surface Type | Initial Loss Type | Initial Infiltration (m) | Fixed Runoff Coefficient | Horton initial Infiltration Rate (mm/h) | Horton Stable Infiltration Rate (mm/h) | Horton Decay Rate (1/h.) |
|---|---|---|---|---|---|---|---|---|---|---|
| Road | Abs | 0.02 | Fixed | Impervious | Abs | 0.0015 | 0.9 | |||
| Architectural | Abs | 0.02 | Fixed | Impervious | Abs | 0.001 | 0.95 | |||
| Green | Abs | 0.14 | Horton | Pervious | Abs | 0.006 | 70 | 20 | 2.28 | |
| Uncoded area | Abs | 0.02 | Fixed | Impervious | Abs | 0.001 | 0.85 |
2.3. Designed Rainfall Events
2.3.1. Intensity of Heavy Rainfall in Beijing
The rainstorm intensity formula of Beijing is divided into Zone 1 and Zone 2, the research area in this study is located in Zone 2, and the rainstorm intensity formula of Zone 2 is used for the following rainstorm intensity formula:
where q is the design rainstorm intensity, mm·min−1; p is the design return period, a; and t is the design rainfall duration, min.
2.3.2. Design for Rainfall
To comprehensively analyze the rainfall threshold for waterlogging risk for subway exits, this study employs a gradient design based on the return period and rainfall duration. Regarding rainfall return periods, the study initially includes designs for 2a, 3a, 5a, 10a, 20a, 30a, 50a, and 100a events. Additionally, specific rainfall events are designed for certain particular stations based on the specific conditions of the subway stations. For rainfall durations, the study generates seven rainfall durations: 180 min, 300 min, 420 min, 600 min, 900 min, 1200 min, and 1440 min, totaling 56 rainfall events. A rain peak coefficient of 0.4 is utilized. Illustrations of some designed rainfall events can be found in Figure 5.
Figure 5.
Design rainfall schematic.
2.4. Critical Water Depth Analysis for Subway Stations
2.4.1. Step Heights at Subway Stations
The critical water depths at subway stations were determined through on-site field investigations. Initially, investigations were conducted in the Jinanqiao area, where the exit stair heights of the Moshikou, Jinanqiao, Beixinan, and Xinshougang subway stations on Line 11 were measured. The Moshikou station has three exits labeled A, B, and C. The Jinanqiao station has ten exits labeled A, B, C, D, E, F, G, H, J, and K. The Beixinan station has four exits labeled A, B2, B3, and C. The Xinshougang station has four exits labeled A, B, C, and D. The heights of the exit stairs are listed in Table 3.
Table 3.
Step heights at exits of subway stations.
In addition to the steps, each subway exit is equipped with a water retaining plate and a water retaining slot, the height of which is 1 m, while the height of the water retaining plate at exit C of Beixinan subway station is 1.5 m because there are no steps. Exit G of Jinanqiao subway station is under construction, so it is impossible to know the height of the steps. Exits E and F of the Jinanqiao subway station are co-located with a commercial plaza on a raised plaza with steps about one floor high.
2.4.2. Determination of Critical Water Depths for Subway Stations
Depending on the operation of the subway station, when the depth of water is at the level of the stairs, it is difficult for pedestrians to enter but does not affect the normal operation of subway trains. However, when the water continues to rise and floods the stairs, it is necessary to insert water barriers. With the addition of water barriers, pedestrians are unable to enter and the subway is unable to fulfill its function of transporting passengers, affecting the normal operation of the subway system. Therefore, the height of the stairs at each exit was determined as the critical depth for that exit.
Due to the unique construction of the subway station, the interior of the station is interconnected. When water enters through one exit, it affects the operation of the entire subway station. Therefore, it is necessary to identify the exit which is the first to encounter waterlogging and determine the height of the stairs at the exit as the critical water depth for the entire subway station. The determination of the exit will be confirmed through subsequent simulations.
3. Results and Discussion
The simulation results of the model indicate that among the four subway stations on Line 11, Jinanqiao, Moshikou, and Beixinan subway stations all have a risk of waterlogging. However, Xinshougang subway station does not have a risk of waterlogging. The following analysis will delve deeper into the three subway stations with a waterlogging risk. The rainfall characteristics used to represent the rainfall thresholds for waterlogging risk include cumulative rainfall and storm intensity.
3.1. Determination of Rainfall Thresholds for Waterlogging Risk in Jinanqiao Subway Station
3.1.1. Regularity Analysis of Depth of Accumulated Water with Rainfall Characteristics
This study reflects different rainfall characteristics from two aspects: rainfall duration and return period. A total of 56 designed rainfall events were used to model the depth of accumulated water at each exit of Jinanqiao subway station. The simulation results revealed that with various rainfall durations, exits A, B, C, D, F, G, and J at Jinanqiao subway station all have a risk of waterlogging. Among these exits, the depth of accumulated water at exit D is consistently the highest across different return periods. During the 100a return period of rainfall, the maximum depth of accumulated water at exit D always exceeds 0.8 m, posing a high risk of subway station waterlogging. The depth of accumulated water at exits F, G, and J remains relatively shallow, staying below 0.5 m in all rainfall scenarios. Exit F has the shallowest depth of accumulated water, at around 0.1 m in all scenarios.
The depth of accumulated water trends at exits A, B, C, D, F, and G show a similar pattern, rising initially and then stabilizing. The depth of accumulated water noticeably increases in rainfall scenarios up to the 10a return period but continues to rise gradually beyond the 10a return period before stabilizing. Exit J displays a different waterlogging pattern compared to other exits. It shows no waterlogging in rainfall events up to the 5a return period, but the depth of accumulated water rises rapidly when the return period reaches 20a. By the 30a return period, the depth of accumulated water exceeds exit G, and it surpasses 0.4 m when the rainfall intensity reaches the 100a return period. The varying depths of accumulated water at each exit of Jinanqiao subway station with changing rainfall return periods are illustrated in Figure 6.

Figure 6.
Changes in the depth of ponding at different exits of Jinanqiao subway station with rainfall return periods under different rainfall calendar times (a): 180 min; (b): 300 min; (c): 420 min; (d): 600 min; (e): 900 min; (f): 1200 min; (g): 1440 min.
3.1.2. Analysis of Rainfall Thresholds at Different Exits
Through a preliminary comparison between the simulated depth of waterlogging and the critical water depth, it is evident that there is a risk of waterlogging entering exits A, B, C, and D of Jinanqiao subway station. Therefore, further analysis is needed to determine the rainfall threshold for the waterlogging risk of these four exits.
The depths of accumulated water of exits A, B, C, and D at Jinanqiao subway station for various rainfall durations and return periods were compared with the heights of the stairs, as shown in Figure 7. By fitting the depth of accumulated water curves of different exits, the rainfall return period at which the depth of accumulated water reached the critical water depth of each exit under various rainfall durations and return periods was identified. The analysis of the graph elucidates that the return periods of rainfall correlating with the critical water depths at exits A, B, C, and D do not surpass a 10a frequency, suggesting a pronounced likelihood of water accumulation exceeding the critical thresholds at these subway entrances. The variable of rainfall duration markedly influences the water accumulation at exit D, exhibiting a more pronounced fluctuation in depth. Specifically, the rainfall return period to critical water depth is about 7a for a rainfall duration of 180 min; conversely, the rainfall return period to critical water depth decreases to 3a when the rainfall duration increases to 1440 min. This variability indicates that, in comparison to exits A and B, exit D presents a marginally reduced risk of water accumulation surpassing the critical water depth at the subway entrance. The rainfall thresholds for waterlogging risk corresponding to different rainfall durations for all exits are listed in Table 4.
Figure 7.
Comparison chart of depth of accumulated water and critical water depth at various exits of Jinanqiao subway station under different rainfall durations and return periods (a): exit A; (b): exit B; (c): exit C; (d): exit D.
Table 4.
Rainfall threshold for waterlogging risk table for each rainfall duration at exit A.
3.1.3. Analysis of Water Inflow Sequence at Different Exits
By comparing the waterlogging risk analysis results for multiple exits of Jinanqiao subway station, we found that exit B is most prone to being the first to experience waterlogging under various rainfall conditions, signifying its unique role in the waterlogging risk prevention and control at Jinanqiao subway station. Based on field inspections of the subway station sites within the research area, we learned that exits A and B of Jinanqiao subway station are designed as a shared structure, meaning that if exit B experiences a waterlogging event, exit A will inevitably be affected as well. Therefore, exits A and B of Jinanqiao subway station are defined as exit A(B). Based on the research, it is evident that exits A(B), C, and D at the Jinanqiao subway station all face the risk of water ingress. Further analysis was conducted on the sequence of water entry for different exits, taking rainfall events with a duration of 1440 min and return periods of 3a, 5a, 10a, 20a, 50a, 100a, 200a, and 500a as examples. As shown in Figure 8, under different return periods of rainfall, the sequence of water entry for the three main exits A(B), C, and D of Jinanqiao subway station remains unchanged. That is, exit A(B) is the first to be waterlogged, followed by exit C, and finally exit D. Further chronological analysis reveals that the time difference between exits A(B) and D experiencing waterlogging usually does not exceed 10 min.
Figure 8.
Different inlet and exit inflow time nodes under different return periods (a): 3a; (b): 5a; (c): 10a; (d): 20a; (e): 50a; (f): 100a; (g): 200a; (h): 500a.
3.1.4. Determination of Rainfall Threshold for Critical Risk Exit
Figure 9 shows the rainfall threshold for waterlogging risk at the exit A(B) under different rainfall durations. As the duration of rainfall increases, the cumulative rainfall also continues to increase, but the intensity of the storm gradually decreases. This is due to the poor drainage capacity of the stormwater pipe network near the Jinanqiao subway station. Related studies have shown that the return period of the pipeline network in the Jinanqiao area is less than once a year [12], which cannot cope with the long-duration heavy rainfall runoff. By fitting the curves of the storm intensity threshold and the cumulative rainfall threshold, it is found that both curves follow a power-law distribution and match well, the R2 values are all above 0.98. The variation curves of cumulative rainfall thresholds with rainfall duration are y = 22.628x0.242. The variation curves of storm intensity thresholds with rainfall duration are y = 3759.5x −0.758.
Figure 9.
Rainfall thresholds for waterlogging risk at A(B) exit under different rainfall calendars.
This study conducts a detailed response analysis of water accumulation duration and depth at exit A(B) of the Jinanqiao subway station under various rainfall return periods. Figure 10 and Figure 11 depict how the depth of accumulated water at this location changes over time during rainfall events lasting 1440 min and 180 min, respectively.
Figure 10.
Change in depth of accumulated water at exit A(B) for a rainfall duration of 1440 min.
Figure 11.
Change in depth of accumulated water at exit A(B) for a rainfall duration of 180 min.
In a series of designed rainfall events, there is a certain pattern in the time of waterlogging injection and dissipation. The analysis reveals that during a 1440 min rainfall event, the depth of accumulated water at the A(B) exit starts to increase significantly around 500 min after the onset of rainfall and reaches a critical water depth rapidly within the subsequent 50 min. This observation highlights a very narrow time window from the beginning of water accumulation to reaching critical water depth, underscoring the urgency for subway system managers to deploy waterlogging control measures well in advance of the waterlogging onset. Given the swift rise in water levels, these measures must be executed both promptly and efficiently. Fortunately, though the subsidence of water takes longer than its rise, it is fully feasible for the accumulated water to recede before the end of the 1440 min rainfall event.
In the case of a centennial rainfall event, the depth of accumulated water at the A(B) exit remains above the critical water depth for approximately 3.5 h. Even during a relatively minor, once-in-five-years rainfall event, the duration over the critical water depth reaches about 1.5 h. These findings emphasize that the A(B) exit of Jinanqiao subway station not only requires rapid response waterlogging control strategies but also sustainable defense capabilities to manage potential prolonged waterlogging scenarios.
During a rainfall event lasting 180 min, the depth of accumulated water at the A(B) exit of the Jinanqiao subway station starts to significantly increase around 70 min after the rainfall begins, and it reaches a critical water depth within approximately the next 30 min. Notably, despite the shorter duration of 180 min rainfall events, the depth of accumulated water at the A(B) exit remains above the critical water depth even after the rainfall ceases under the conditions of 10a to 100a events. Therefore, during short-duration rainfall events, waterlogging control strategies should not be adjusted merely based on the intensity of the rainfall. Instead, a high level of vigilance must be maintained until the water has fully receded, especially during the waterlogging season when rainfall patterns can be highly variable.
Compared to longer rainfall durations, the duration for which the depth of accumulated water exceeds the critical water depth during short-duration events is significantly influenced by the rainfall return period. When the rainfall return period is 100a, the duration for which the depth of accumulated water at the A(B) exit exceeds the critical water depth is approximately 2 h. When the rainfall return period is 5a, this duration is about 0.5 h. This indicates that regardless of the duration of rainfall, in the case of high rainfall return periods, due to the poor drainage capacity and low terrain of the pipeline network in the region, the depth of accumulated water at exit A(B) exceeds the critical water depth for a longer time.
In a similar study, Lyu et al. [13] also conducted a risk simulation study of subway station flooding. Lyu built an algorithm based on the simulation of GIS and SWMM models to calculate the depth of flooding in the study area and calculated the depth of flooding near the subway station using this algorithm. The study found that with the increase in rainfall intensity, the number of submerged subway stations significantly increased, and under a 500a return period of heavy rainfall, the depth of flooding at some subway stations exceeded 300 mm. This is similar to the results of this study, where the number of subway entrances flooded increased with the increase in the return period of heavy rainfall.
3.2. Analysis of Waterlogging Risk at Moshikou Subway Station
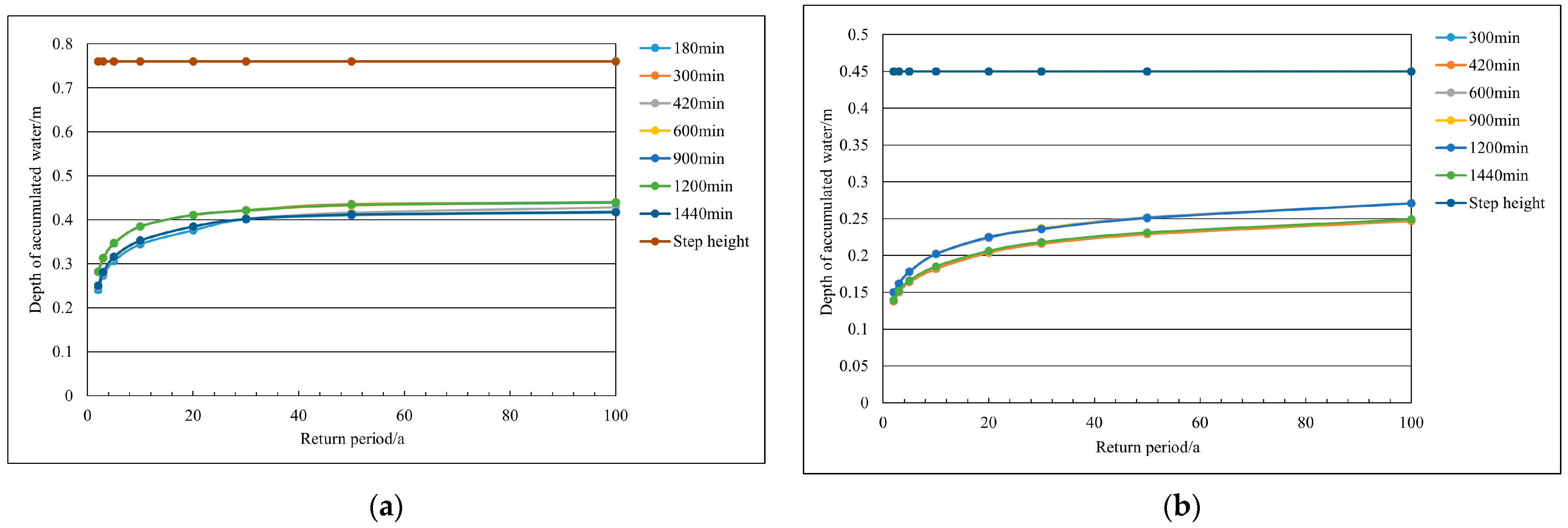
We used designed rainfall events to simulate scenarios at the Moshikou subway station, and the results are detailed in Figure 12. Through these simulations, we focused on the water accumulation depths at exits A and B of the Moshikou subway station. Preliminary simulation results indicate that although there are risks of water accumulation at these exits, the depth of accumulated water did not exceed 0.45 m. Consequently, the simulation’s rainfall return period was extended to 200a and 500a to evaluate the maximum depth of accumulated water these exits might encounter under extreme rainfall events.
Figure 12.
Variation in depth of accumulated water at each exit of Moshikou subway station with rainfall return period under 1440 min duration rainfall.
The simulation results are shown in Figure 13, where the depth of accumulated water at exit A is always the maximum for different rainfall return periods. Under the conditions of a 500a rainfall event, the depth of accumulated water at exit A reaches up to 0.445 m, which is still significantly lower than the step height of 0.75 m. By contrast, at exit B, under the same extreme rainfall conditions, the depth of accumulated water is only 0.288 m, also well below the step height of 0.45 m. This finding suggests that although the exits of the Moshikou subway station face certain water accumulation risks under various rainfall conditions, the volume of accumulated water is insufficient to cause water to flow into the subway station interior, indicating a lower risk of the subway station experiencing water ingress.
Figure 13.
Comparison chart of depth of accumulated water and step height of Moshikou subway station under different rainfall durations and return periods (a): exit A; (b): exit B.
Further analysis of the Moshikou subway station, as seen in Figure 14, reveals that although the depth of accumulated water at the station is not particularly high, the velocity of the water flow is quite rapid. At conditions of 1440 min and 100a rainfall event, the maximum water velocity at the Moshikou subway station at times exceeds 3.5 m/s. This is attributed to the subway station’s location within a large sub-catchment area, compounded by significant variations in the surrounding topography.
Figure 14.
Variation in maximum flow rate at Moshikou subway station with rainfall return period under 1440 min rainfall calendar time.
When deploying and implementing waterlogging mitigation measures at subway exits, subway management must pay special attention to the additional effects caused by this high flow rate. This includes considerations for potential wave heights generated by the swift water flow, as this could lead to broader spill-over effects, causing waterlogging to sweep into subway exits and increasing the risk of water accumulation inside the station. It is, therefore, necessary to evaluate and calculate potential wave heights at specific flow rates and design appropriate waterlogging defense structures for subway exits based on these calculations, such as higher water barriers or other hydraulic structures, to withstand the impact forces and overflow risks presented by high velocities.
3.3. Analysis of Waterlogging Risk at Beixinan Subway Station
Model simulations of the depth of accumulated water at various exits of the Beixinan subway station are detailed in Figure 15. Simulations reveal that among all the exits of the Beixinan subway station, under various rainfall durations, only the B2 exit poses a risk of water accumulation. However, the depth of water accumulation does not exceed 0.14 m, significantly less than the step height of 0.42 m at exit B2. Therefore, while the exits of the Beixinan subway station are at risk of water accumulation, the risk of water entering the subway station itself is minimal.
Figure 15.
Variation in depth of ponding at Beixinan B2 exit with rainfall return period for various calendar hours of rainfall.
3.4. Factors Affecting Rainfall Threshold for Waterlogging Risk
By comparing the topographic features, step heights, and drainage capacities of four subway stations, this analysis delves into the factors influencing the rainfall threshold for waterlogging risk, offering insights for waterlogging risk prevention and control at subway stations.
3.4.1. Topographic Features
Field surveys and DEM analyses of the locations of four stations along Line 11 reveal distinct topographic features between Jinanqiao subway station and the other three stations. Jinanqiao station is located under the Jinanqiao railway bridge, at the intersection of a crossroad. Its location is significantly lower, making it prone to waterlogging convergence. In contrast, the Beixinan subway station is situated in an area with a greater change in slope, preventing water from gathering outside the station but leading to transit waterlogging with flow speeds reaching up to 3 m/s, significantly higher than the other three stations. Exits at the Beixinan station are on either side of the road, where the terrain is more level and smoother, making it difficult for water to accumulate. The surrounding area of the Xingang Steel subway station is still under construction, with potential for significant future changes in terrain. From this analysis, it is clear that topographic features are a key factor influencing the rainfall threshold for waterlogging risk at subway exits. Complex topographic features often lead to lower cumulative rainfall thresholds for subway exits to be waterlogged, making them more vulnerable to water ingress. Furthermore, if the terrain around a subway exit has significant slope variations, the speed of transit waterlogging is often higher. Future subway exit planning and construction should consider elevating local terrain to prioritize waterlogging prevention.
3.4.2. Step Height
An analysis of the four subway exits at Jinanqiao Station that are at risk of water ingress reveals that the A(B) and D exits are located no more than 20 m apart, with the same ground elevation. The main reason for the difference in the rainfall threshold for waterlogging risk between these two exits is the variation in step height. The step height at the A(B) exit is 0.37 m, whereas at the D exit, it is 0.5 m, a difference of 0.13 m. The relationship between step height and the cumulative rainfall threshold is shown in the Table 5. The analysis indicates that with a 26% increase in step height, the cumulative rainfall threshold for various rainfall durations is approximately 12% higher, significantly enhancing the resistance to water ingress. From this analysis, it is evident that increasing the step height of subway exits is an effective method to resist water ingress. In future subway infrastructure development, it is imperative to accord substantial consideration towards elevating the heights of subway entrances. This strategic modification is poised to yield significant efficacy in mitigating waterlogging risks, effectively doubling the benefits with minimal incremental effort.
Table 5.
Correspondence between step height and cumulative rainfall thresholds.
3.4.3. Drainage Capacity
Due to the lack of detailed drainage network information for the research area, the model construction employed a generalized approach to the drainage network. Relevant studies [12] indicate that the drainage capacities of the pipe networks near Jinanqiao and Moshikou subway stations are insufficient to manage rainfall events with a return period of one year. Compared to topographical factors, the impact of pipe network drainage capacities on the rainfall thresholds for urban waterlogging risks is slightly less significant. This can be explained by existing research findings: the rainfall thresholds that cause water ingress into subway exits often have a larger return period, whereas the drainage network can function effectively under conditions of rainfall with smaller return periods. As the return period of rainfall increases, drainage networks may become overwhelmed due to factors such as backwater effects from rivers, leading to full pipe flow conditions. Surface water cannot enter the pipes quickly enough, significantly reducing the drainage capacity of the network. From this analysis, it is apparent that while the drainage network’s role in reducing waterlogging risk at subway exits may not be as significant as altering the terrain, expanding the diameter of drainage pipes can utilize the redundant space within the pipes to accommodate rainwater. This can also facilitate the rapid removal of surface water after rainfall, achieving the goal of reducing water accumulation at subway exits.
In this study, the InfoWorks ICM 2D model was directly used to simulate the accumulated water depth at the exits of the subway stations. Based on this, the step height of the subway entrances was further used as the critical depth of water. The rainfall thresholds for the water to reach the critical depth of water were determined for different rainfall durations, and the effects of factors such as the step heights on the risk thresholds of waterlogging at the subway exits were also investigated. It is worth noting that Lyu et al. [13] also mentioned the important role of subway entrance step height for the prevention and control of subway station waterlogging risk in their article and believed that the step height of subway stations with high waterlogging risk should be increased, which coincides with this study. Furthermore, Tang et al. [14] compared the friction between pedestrians and the ground with the depth of water accumulation in the subway station, and they calculated the critical escape heights for adults, children, and elderly people to be 87.4 cm, 75.5 cm, and 83.0 cm respectively. This research also provides some guidance for the construction of step heights and the prevention and control of waterlogging risks in subway stations.
3.5. The Process and Application of Determining the Risk Rainfall Threshold for Waterlogging at Subway Exits
3.5.1. The Determination Process of Waterlogging Risk Rainfall Threshold for Subway Stations
Based on the above research, the following process for determining the rainfall threshold for waterlogging risk at subway exits has been summarized, as shown in Figure 16. The methodology for determining waterlogging risk thresholds in subway stations obtained from the study is a generalized methodology that can be used after fine-tuning it to the current situations of subway construction in different cities.
Figure 16.
Flowchart for determining rainfall threshold for waterlogging risk.
3.5.2. Application of Rainfall Threshold for Waterlogging Risk in Subway Stations
- 1.
- Applied to an entire subway line
Zooming in on Beijing Subway Line 11, the Jinanqiao station undoubtedly faces the greatest waterlogging risk, with a correspondingly lower rainfall threshold for waterlogging risk. This suggests that it has a weaker capacity to cope with heavy rainfall compared to other stations, highlighting the need for intensified waterlogging control efforts at Jinanqiao. Although the risk of water ingress is extremely low at Moshikou and Beixinan stations, they still face certain risks of water accumulation. Therefore, it is necessary to deploy waterlogging control resources at these stations as well. Additionally, considering the high velocity of water flow outside Moshikou station, it is important to set up early warning signs and take appropriate precautions.
- 2.
- Applied to a single subway station
Focusing on the Jinanqiao subway station, the A(B) exit is the first to reach the waterlogging risk rainfall threshold under the same rainfall conditions, followed by the C and D exits. This requires operational managers to maintain a high level of vigilance and prioritize waterlogging safety at the A(B) exit. Moreover, based on the determination of the rainfall threshold for waterlogging risk, station management can establish an emergency response framework grounded in risk awareness. Within this framework, once the area outside the A(B) exit is predicted or monitored to approach critical water depth, it indicates that the C and D exits are also at potential risk of water ingress. At this point, an early warning system should be immediately activated, and a series of preventative measures should be taken, such as arranging emergency evacuation routes.
4. Conclusions
In this study, the waterlogging risk threshold of Jinanqiao subway station was determined using InfoWorks model simulation, and the effect of factors such as subway station step height on the waterlogging risk threshold was investigated. Based on the results, the specific conclusions are as follows.
The impact of the terrain slope, step height, and the drainage capacity of the sewer network on the rainfall threshold for waterlogging risk at subway entrances was analyzed. It was found that step height significantly contributes to raising the rainfall threshold for waterlogging risk. When the step height is increased by 26%, the rainfall threshold for waterlogging risk for subway entrances increases by 12%, significantly enhancing the safety of subway exits.
Based on the study results of the rainfall threshold for waterlogging risk at subway stations, a procedure for determining the rainfall threshold for waterlogging risk at subway exits is proposed. The rainfall threshold for waterlogging risk determined by this method is convenient to use and has great practical value, providing a basis for the formulation of future waterlogging risk prevention and control strategies for subway stations.
The model constructed in this study has been calibrated and verified, ensuring a certain level of reliability. However, the research data are all open-source, and the precision of some data files may not be high enough, so there may be some discrepancies between the results of the study and actual situations. Nevertheless, the conclusions remain unchanged.
Author Contributions
Conceptualization, X.X. and Y.G.; Formal analysis, Z.L.; Methodology, X.X. and Y.G.; Resources, Y.G.; Software, X.X. and Z.L.; Validation, Z.L. and M.W. Writing—original draft, X.X. and H.W.; Writing—review and editing, X.X., M.W. and Y.G. All authors have read and agreed to the published version of the manuscript.
Funding
This research was funded by the National Key R&D Program of China (grant no. 2022YFC3800500) and the Project of Construction and Support for High-Level Innovative Teams of Beijing Municipal Institutions (BPHR20220108).
Data Availability Statement
The data presented in this study are available on request from the corresponding author.
Conflicts of Interest
Author Haozheng Wang was employed by the company Smart Water Department, North China Municipal Engineering Design & Research Institute Co., Ltd. The remaining authors declare that the research was conducted in the absence of any commercial or financial relationships that could be construed as a potential conflict of interest.
References
- Liang, C.; Li, D.; Yuan, Z.; Liao, Y.; Nie, X.; Huang, B.; Wu, X.; Xie, Z. Assessing urban flood and drought risks under climate change, China. Hydrol. Process. 2019, 33, 1349–1361. [Google Scholar] [CrossRef]
- Zheng, Y.; Li, X.-G.; Jia, B.; Jiang, R. Simulation of pedestrians’ evacuation dynamics with underground flood spreading based on cellular automaton. Simul. Model. Pract. Theory 2019, 94, 149–161. [Google Scholar] [CrossRef]
- Lin, Z.; Hu, S.; Zhou, T.; Zhong, Y.; Zhu, Y.; Shi, L.; Lin, H. Numerical Simulation of Flood Intrusion Process under Malfunction of Flood Retaining Facilities in Complex Subway Stations. Buildings 2022, 12, 853. [Google Scholar] [CrossRef]
- Yang, H.; Zhao, L.; Chen, J. Metro System Inundation in Zhengzhou, Henan Province, China. Sustainability 2022, 14, 9292. [Google Scholar] [CrossRef]
- Sun, D.; Wang, H.; Lall, U.; Huang, J.; Liu, G. Subway travel risk evaluation during flood events based on smart card data. Geomat. Nat. Hazards Risk 2022, 13, 2796–2818. [Google Scholar] [CrossRef]
- Wang, G.; Liu, Y.; Hu, Z.; Zhang, G.; Liu, J.; Lyu, Y.; Gu, Y.; Huang, X.; Zhang, Q.; Liu, L. Flood Risk Assessment of Subway Systems in Metropolitan Areas under Land Subsidence Scenario: A Case Study of Beijing. Remote Sens. 2021, 13, 637. [Google Scholar] [CrossRef]
- Park, I.; Seong, H.; Ryu, Y.; Rhee, D.S. Measuring Inundation Depth in a Subway Station Using the Laser Image Analysis Method. Water 2018, 10, 1558. [Google Scholar] [CrossRef]
- Dong, W.; Huang, H.; Zhong, M.; Long, Z. Experimental study on the inundation characteristics of flooding in a long straight subway tunnel. Tunn. Undergr. Space Technol. 2024, 144, 105566. [Google Scholar] [CrossRef]
- Kim, H.-J.; Rhee, D.; Song, C. Numerical Computation of Underground Inundation in Multiple Layers Using the Adaptive Transfer Method. Water 2018, 10, 85. [Google Scholar] [CrossRef]
- Lu, L.; Qinliang, Z.; Yawei, L.; Qingqing, Z.; Gaohui, L. Fabrication of capsule-like inflatable woven fabric used for tunnel plugs. J. Ind. Text. 2017, 48, 941–953. [Google Scholar] [CrossRef]
- Guo, W.; Zeng, W.; Gao, X.; Ren, Y. Analysis of air-inflated rubber dam for flood-fighting at the subway entrance. J. Flood Risk Manag. 2022, 16, e12872. [Google Scholar] [CrossRef]
- Jin, C.; Di, S.; Liu, H.; Yu, F.; Xue, Z. Analysis of the causes of waterlogging and the effectiveness of treatment measures at Jin’an Bridge, a typical waterlogging site in Beijing. Water Resour. Hydropower Eng. 2023, 54, 59–71. [Google Scholar]
- Lyu, H.-M.; Shen, S.-L.; Yang, J.; Yin, Z.-Y. Inundation analysis of metro systems with the storm water management model incorporated into a geographical information system: A case study in Shanghai. Hydrol. Earth Syst. Sci. 2019, 23, 4293–4307. [Google Scholar] [CrossRef]
- Tang, Y.; Zhou, T.; Zhong, Y.; Hu, S.; Lin, J.; Lin, Z.; Liu, H.; Liu, B.; Zhao, Y.; Wang, Y.; et al. Risk Assessment for Critical Flood Height of Pedestrian Escape in Subway Station. Water 2022, 14, 3409. [Google Scholar] [CrossRef]
Disclaimer/Publisher’s Note: The statements, opinions and data contained in all publications are solely those of the individual author(s) and contributor(s) and not of MDPI and/or the editor(s). MDPI and/or the editor(s) disclaim responsibility for any injury to people or property resulting from any ideas, methods, instructions or products referred to in the content. |
© 2024 by the authors. Licensee MDPI, Basel, Switzerland. This article is an open access article distributed under the terms and conditions of the Creative Commons Attribution (CC BY) license (https://creativecommons.org/licenses/by/4.0/).