Stable Isotope Hydrology of Karst Groundwaters in Romania
Abstract
1. Introduction
2. Site Description, Materials and Methods
2.1. Site Description
| Karst System | Length (m) | Altitude Difference (m) | Flow Time (h) |
|---|---|---|---|
| Potriva Cave–Aștileu Cave (POT-AST) | 2620 | 107 | 10 |
| Gălășeni Cave–Josani Spring (GAL-JOS) | 1750 | 95 | 13 |
| Toaie Ponor–Dămișenilor Spring (TOA-DAM) | 3550 | 255 | 90 |
| Ocoale Valley–Cotețul Dobreștilor (OCO-COT) | 2800 | 390 | 38 |
| Vuiagă well–Poliței Spring (VUI-POL) | 1360 | 225 | 10 |
2.2. Sampling
2.3. Stable Isotope Analyses
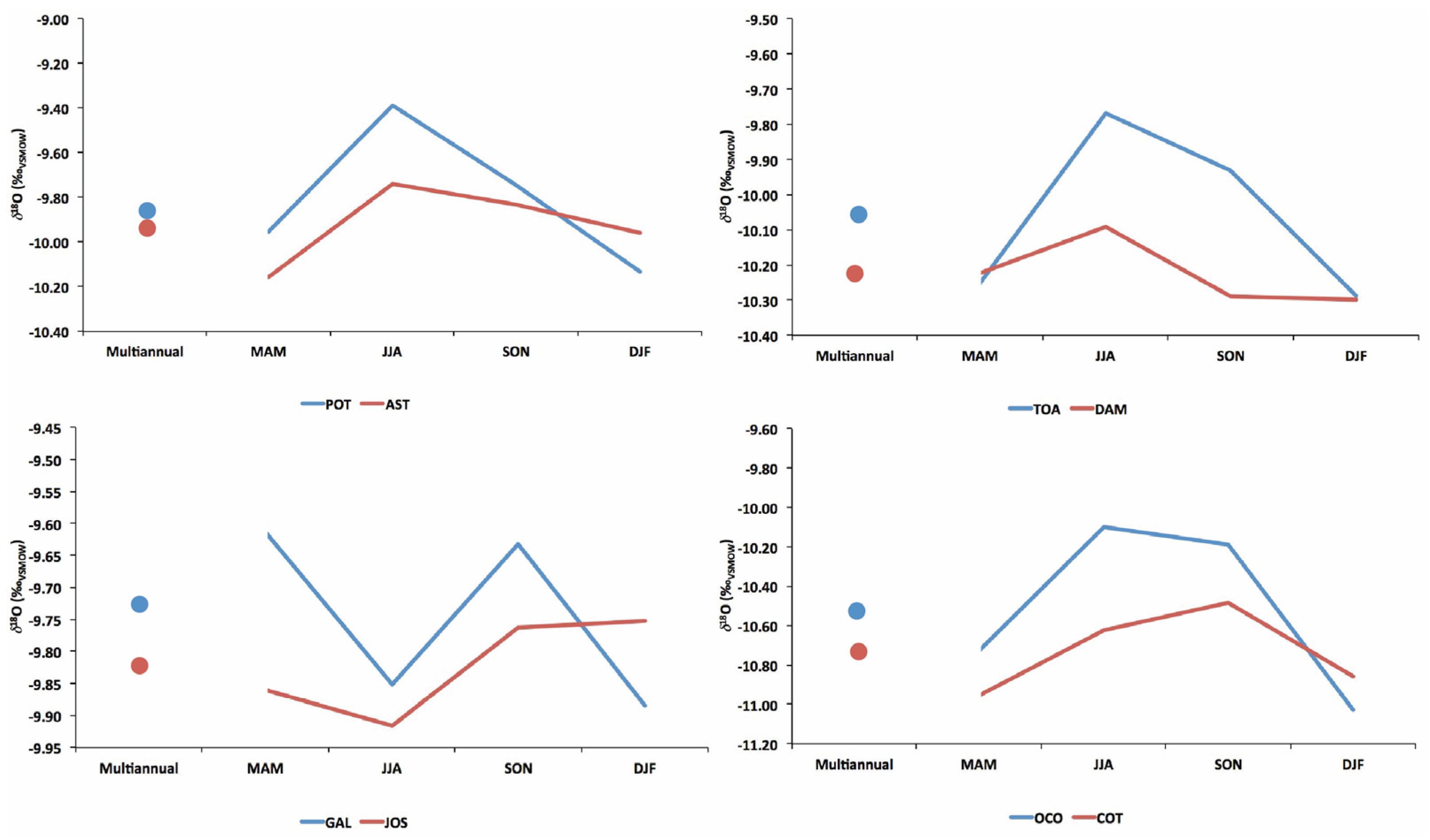
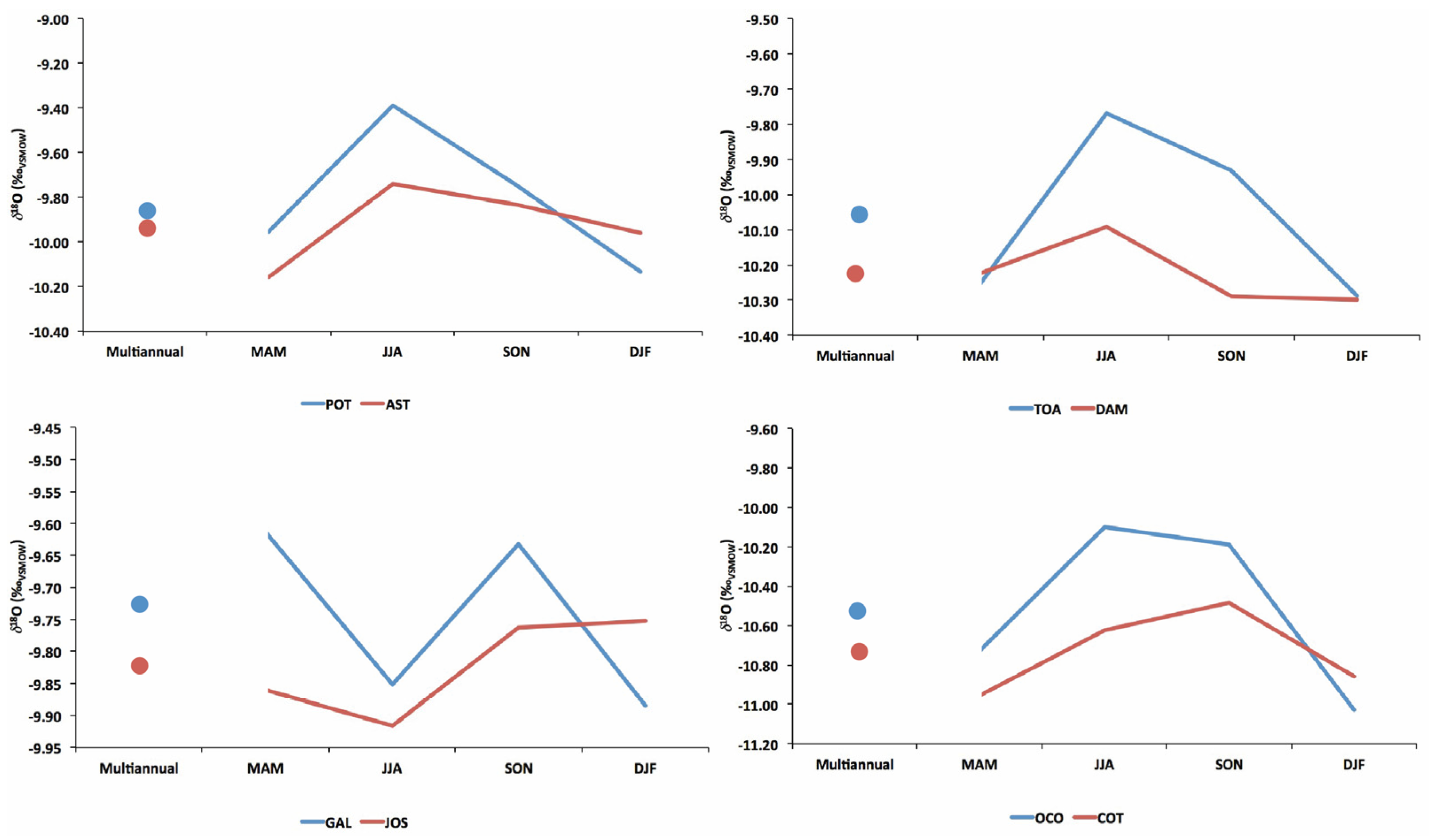
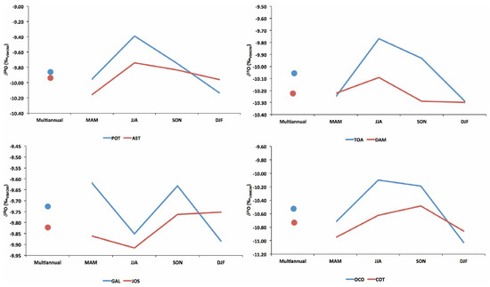
3. Results
4. Discussion
5. Conclusions
Supplementary Materials
Author Contributions
Funding
Data Availability Statement
Acknowledgments
Conflicts of Interest
References
- United Nations. Global Sustainable Development Report, 2015 Edition. Available online: https://www.un.org/en/development/desa/publications/global-sustainable-development-report-2015-edition.html (accessed on 21 April 2024).
- Ford, D.; Williams, P.D. Karst Hydrogeology and Geomorphology; John Wiley & Sons: Chichester, UK, 2007. [Google Scholar]
- Stevanović, Z. Karst waters in potable water supply: A global scale overview. Environ. Earth Sci. 2019, 78, 662. [Google Scholar] [CrossRef]
- Worthington, S. Characteristics of channel networks in unconfined carbonate aquifers. GSA Bull. 2014, 127, 759–769. [Google Scholar] [CrossRef]
- Hartmann, A.; Lange, J.; Weiler, M.; Arbel, Y.; Greenbaum, N. A new approach to model the spatial and temporal variability of recharge to karst aquifers. Hydrol. Earth Syst. Sci. 2012, 16, 2219–2231. [Google Scholar] [CrossRef]
- Williams, P.W. The role of the epikarst in karst and cave hydrogeology: A review. Int. J. Speleol. 2008, 37, 1–10. [Google Scholar] [CrossRef]
- Nagavciuc, V.; Perșoiu, A.; Bădăluță, C.-A.; Bogdevich, O.; Bănică, S.; Bîrsan, M.-V.; Boengiu, S.; Onaca, A.; Ionita, M. Defining a precipitation stable isotope framework in the wider Carpathian Region. Water 2022, 14, 2547. [Google Scholar] [CrossRef]
- Bădăluță, C.-A.; Perșoiu, A.; Ionita, M.; Nagavciuc, V.; Bistricean, P.-I. Stable H and O isotope-based investigation of moisture sources and their role in river and groundwater recharge in the NE Carpathian Mountains, East-Central Europe. Isot. Environ. Health Stud. 2019, 55, 161–178. [Google Scholar] [CrossRef]
- Koeniger, P.; Gaj, M.; Beyer, M.; Himmelsbach, T. Review on soil water isotope-based groundwater recharge estimations. Hydrol. Process. 2016, 30, 2817–2834. [Google Scholar] [CrossRef]
- Sprenger, M.; Stumpp, C.; Weiler, M.; Aeschbach, W.; Allen, S.T.; Benettin, P.; Maren, D.; Hartmann, A.; Hrachowitz, M.; Kirchner, J.W.; et al. The demographics of water: A review of water ages in the critical zone. Rev. Geophys. 2019, 57, 800–834. [Google Scholar] [CrossRef]
- Ponta, G.M.L.; Onac, B.P. Cave and Karst Systems of Romania; Springer: Cham, Switzerland, 2019. [Google Scholar]
- Rusu, T. Carstul din Munţii Pădurea Craiului; Dacia: Cluj-Napoca, Romania, 1988. [Google Scholar]
- Orăşeanu, I.; Iurkiewicz, A. Karst Hydrogeology of Romania; Belvedere: Oradea, Romania, 2010. [Google Scholar]
- Feher, R.; Voiculescu, M.; Chiroiu, P.; Perșoiu, A. The stable isotope composition of hoarfrost. Isot. Environ. Health Stud. 2021, 57, 386–399. [Google Scholar] [CrossRef] [PubMed]
- Copernicus Climate Change Service (C3S). Available online: https://climate.copernicus.eu/climate-2017-european-temperature (accessed on 23 April 2024).
- Bojar, A.V.; Ottner, F.; Bojar, H.P.; Grigorescu, D.; Perşoiu, A. Stable isotope and mineralogical investigations on clays from the Late Cretaceous sequences, Haţeg Basin, Romania. Appl. Clay Sci. 2009, 45, 155–163. [Google Scholar] [CrossRef]
- Bojar, A.V.; Halas, S.; Bojar, H.P.; Chmiel, S. Stable isotope hydrology of precipitation and groundwater of a region with high continentality, South Carpathians, Romania. Carpathian J. Earth Environ. Sci. 2017, 12, 513–524. [Google Scholar]
- Busuioc, A.; Dobrinescu, A.; Bîrsan, M.V.; Dumitrescu, A.; Orzan, A. Spatial and temporal variability of climate extremes in Romania and associated large-scale mechanisms. Int. J. Clim. 2014, 35, 1278–1300. [Google Scholar] [CrossRef]
- Gibson, J.J.; Birks, S.J.; Yi, Y. Stable isotope mass balance of lakes: A contemporary perspective. Quat. Sci. Rev. 2016, 131, 316–328. [Google Scholar] [CrossRef]
- Skoglund, R.Ø.; Pennos, C.; Perşoiu, A.; Sotiriadis, Y. Karstic Aquifers—Simple or Hybrid Systems? Thermal Stories from Maaras Cave, Greece. Water 2023, 15, 488. [Google Scholar] [CrossRef]
- Liedl, R.; Sauter, M.; Hückinghaus, D.; Clemens, T.; Teutsch, G. Simulation of the development of karst aquifers using a cou-pled continuum pipe flow model. Water Resour. Res. 2003, 39, 1057. [Google Scholar] [CrossRef]
- Dreybrodt, W.; Gabrovšek, F.; Romanov, D. Processes of a Speleogenessis: A Modeling Approach; Založba ZRC: Ljubljana, Slovenia, 2005; Volume 4. [Google Scholar]
- Chimenti, M.; Natali, S.; Giannecchini, R.; Zanchetta, G.; Baneschi, I.; Doveri, M.; Isola, I.; Piccini, L. Hydrogeochemistry and Isotopic Composition of Waters in the Renella Cave (Central Italy): New Insights into Groundwater Dynamics. Water 2023, 15, 1764. [Google Scholar] [CrossRef]
- Jasechko, S.; Wassenaar, L.I.; Mayer, B. Isotopic evidence for widespread cold- season-biased groundwater recharge and young streamflow across Central Canada. Hydrol. Process. 2017, 31, 2196–2209. [Google Scholar] [CrossRef]
- Jasechko, S.; Birks, J.S.; Gleeson, T.; Wada, Y.; Fawcett, P.J.; Sharp, Z.D.; McDonnell, J.J.; Welker, J.M. The pronounced seasonality of global groundwater recharge. Water Resour. Res. 2014, 50, 8845–8867. [Google Scholar] [CrossRef]
- Kiyanii, V.; Esmaili, A.; Alijani, F.; Samani, S.; Vasić, L. Investigation of drainage structures in the karst aquifer system through turbidity anomaly, hydrological, geochemical, and stable isotope analysis (Kiyan springs, western Iran). Environ. Earth Sci. 2022, 81, 517. [Google Scholar] [CrossRef]
- Ersek, V.; Onac, B.P.; Perșoiu, A. Kinetic processes and stable isotopes in cave dripwaters as indicators of winter severity. Hydrol. Process. 2018, 32, 2856–2862. [Google Scholar] [CrossRef]
- Drăgușin, V.; Balan, S.; Blamart, D.; Forray, F.L.; Marin, C.; Mirea, I.; Nagavciuc, V.; Perșoiu, A.; Tîrlă, L.; Tudorache, A.; et al. Transfer of environmental signals from surface to the underground at Ascunsă Cave, Romania. Hydrol. Earth Syst. Sc. 2017, 21, 5357–5373. [Google Scholar] [CrossRef]
- Moldovan, O.; Meleg, I.; Perşoiu, A. Habitat fragmentation and its effects on groundwater populations. Ecohydrology 2012, 5, 445–452. [Google Scholar] [CrossRef]
- Brad, T.; Fekete, A.; Sandor, M.S.; Purcarea, C. Natural attenuation potential of selected hydrokarst systems in the Carpathian Mountains (Romania). Water Sci. Technol. Water Supply 2015, 15, 196–206. [Google Scholar] [CrossRef]






Disclaimer/Publisher’s Note: The statements, opinions and data contained in all publications are solely those of the individual author(s) and contributor(s) and not of MDPI and/or the editor(s). MDPI and/or the editor(s) disclaim responsibility for any injury to people or property resulting from any ideas, methods, instructions or products referred to in the content. |
© 2024 by the authors. Licensee MDPI, Basel, Switzerland. This article is an open access article distributed under the terms and conditions of the Creative Commons Attribution (CC BY) license (https://creativecommons.org/licenses/by/4.0/).
Share and Cite
Feher, R.; Bădăluță, C.-A.; Brad, T.; Drăgan, C.; Drăgușin, V.; Măntoiu, D.Ș.; Perșoiu, A.; Tîrlă, M.-L. Stable Isotope Hydrology of Karst Groundwaters in Romania. Water 2024, 16, 1489. https://doi.org/10.3390/w16111489
Feher R, Bădăluță C-A, Brad T, Drăgan C, Drăgușin V, Măntoiu DȘ, Perșoiu A, Tîrlă M-L. Stable Isotope Hydrology of Karst Groundwaters in Romania. Water. 2024; 16(11):1489. https://doi.org/10.3390/w16111489
Chicago/Turabian StyleFeher, Renata, Carmen-Andreea Bădăluță, Traian Brad, Călin Drăgan, Virgil Drăgușin, Dragoș Ștefan Măntoiu, Aurel Perșoiu, and Maria-Laura Tîrlă. 2024. "Stable Isotope Hydrology of Karst Groundwaters in Romania" Water 16, no. 11: 1489. https://doi.org/10.3390/w16111489
APA StyleFeher, R., Bădăluță, C.-A., Brad, T., Drăgan, C., Drăgușin, V., Măntoiu, D. Ș., Perșoiu, A., & Tîrlă, M.-L. (2024). Stable Isotope Hydrology of Karst Groundwaters in Romania. Water, 16(11), 1489. https://doi.org/10.3390/w16111489

