Karenia brevis and Pyrodinium bahamense Utilization of Dissolved Organic Matter in Urban Stormwater Runoff and Rainfall Entering Tampa Bay, Florida
Abstract
1. Introduction
2. Materials and Methods
2.1. Site Descriptions
2.2. Sampling Regime
2.3. Bioassay Preparation and Design
2.4. Nutrient Analysis
2.5. DOM Optical Analysis
2.6. Fluorescence and UV Indices
2.7. PARAFAC Modeling
2.8. Statistical Analysis
3. Results
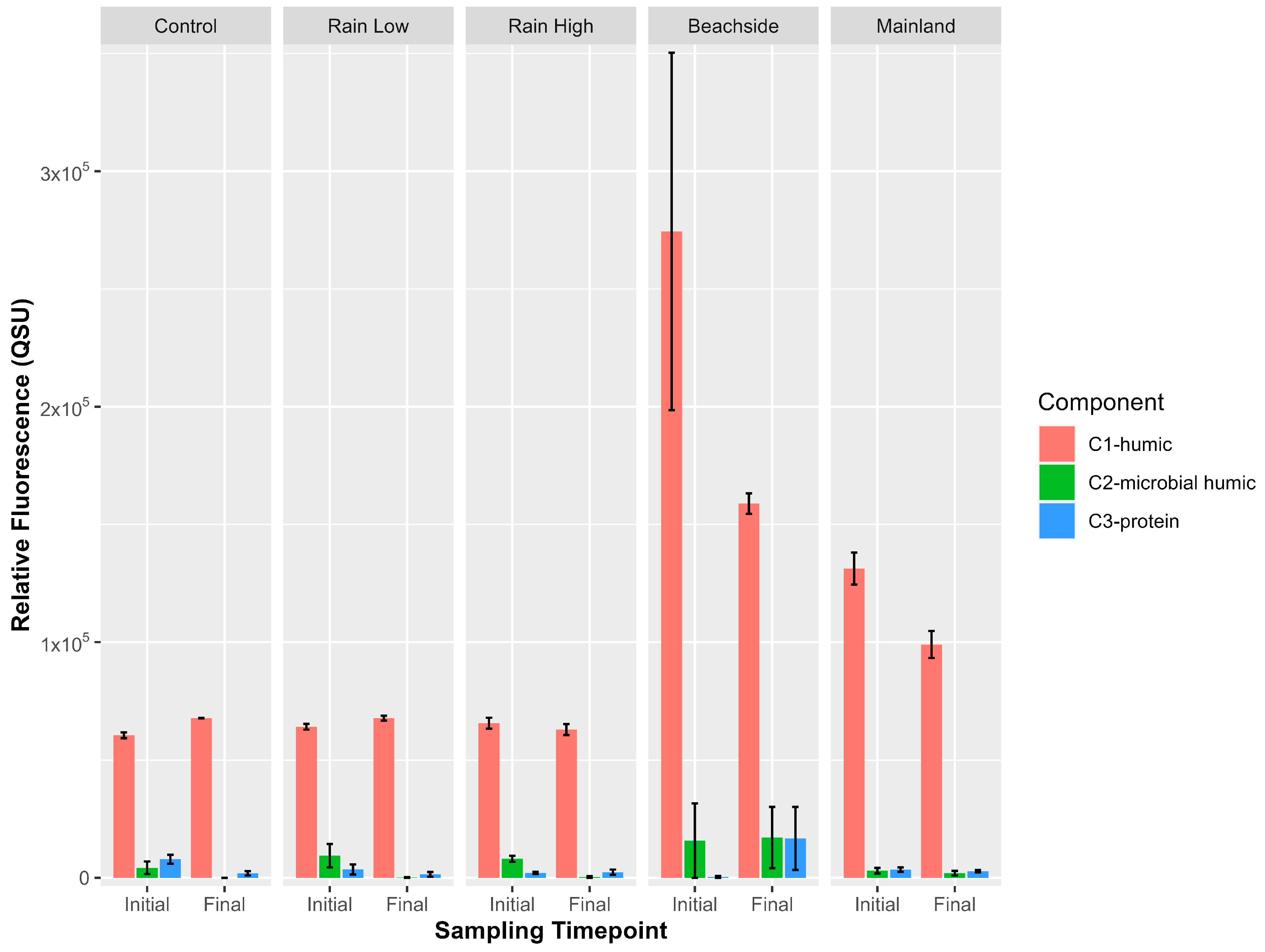
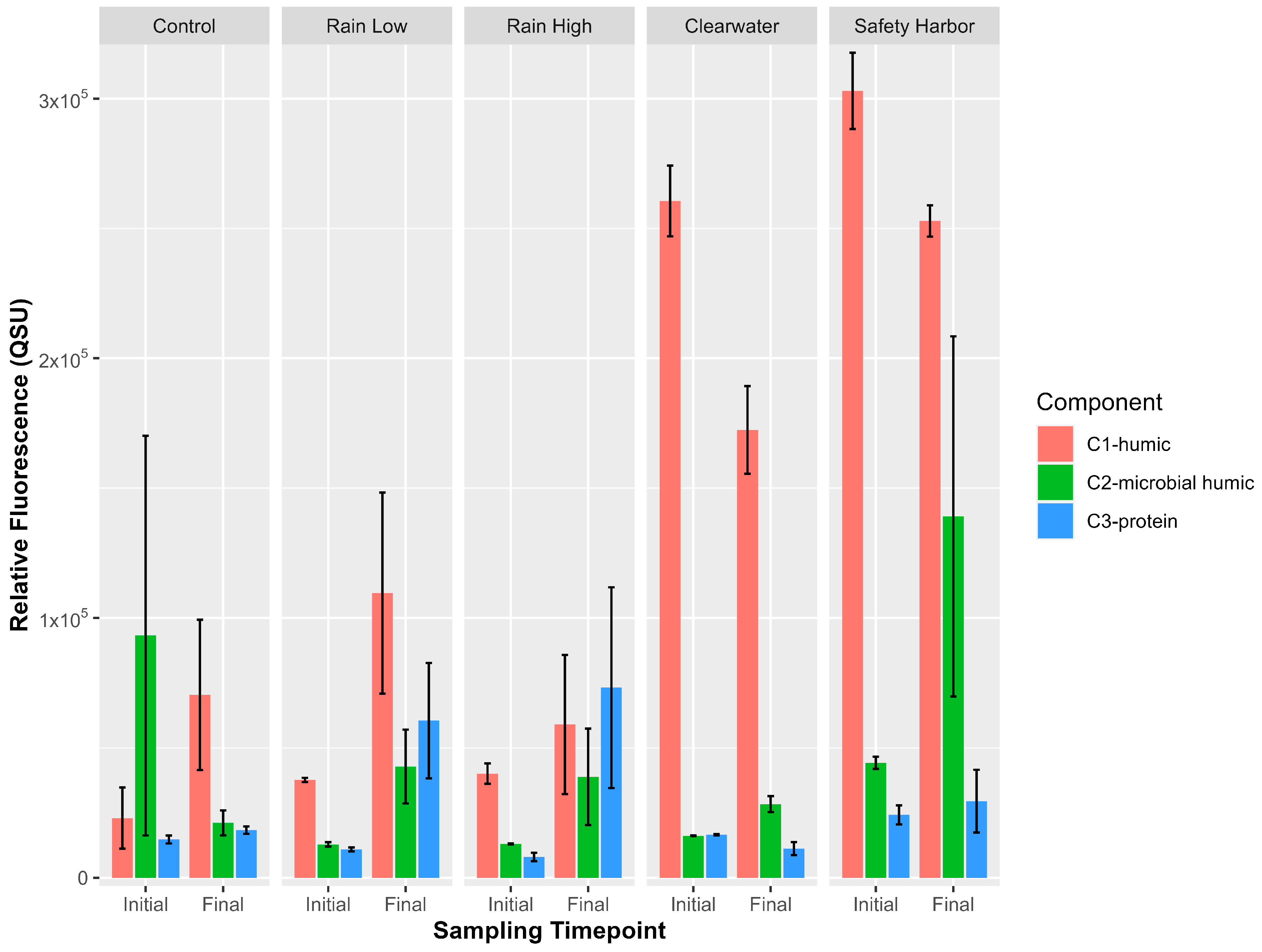
3.1. PARAFAC Modeling of Bioassay and Inoculum Water
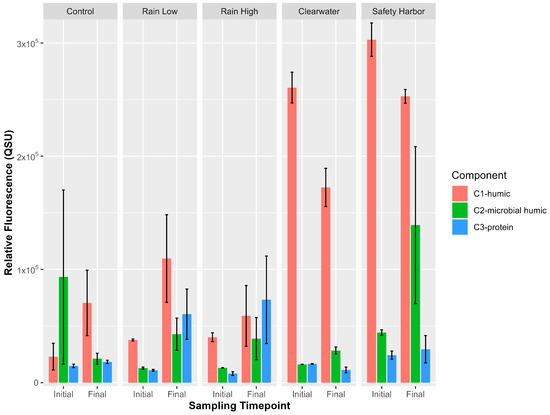
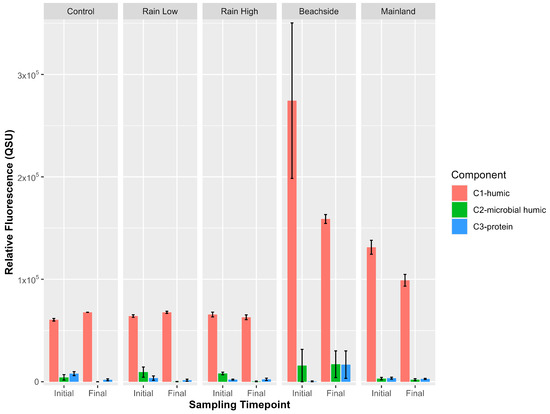
3.2. FDOM Transformations
3.3. Fluorescence and UV Indices
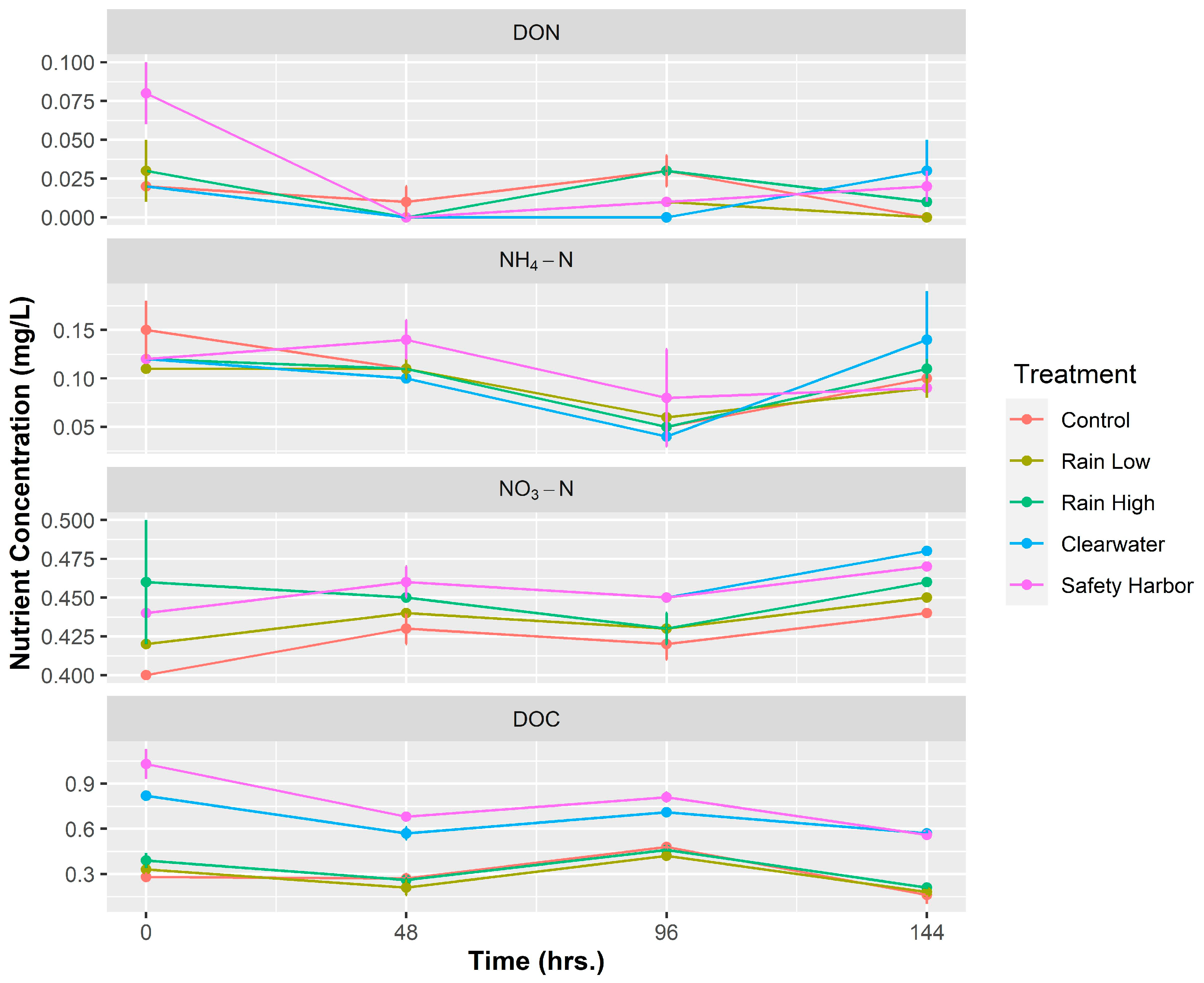
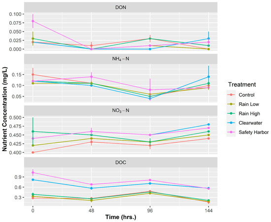
3.4. Changes in Nitrogen Species and DOC
3.5. Growth Response
4. Discussion
5. Conclusions
Author Contributions
Funding
Data Availability Statement
Acknowledgments
Conflicts of Interest
References
- Howarth, R.W.; Sharpley, A.; Walker, D. Sources of nutrient pollution to coastal waters in the United States: Implications for achieving coastal water quality goals. Estuaries 2002, 25, 656–676. [Google Scholar] [CrossRef]
- Anderson, D.M.; Glibert, P.M.; Burkholder, J.M. Harmful algal blooms and eutrophication: Nutrient sources, composition, and consequences. Estuaries 2002, 25, 704–726. [Google Scholar] [CrossRef]
- Smith, M.A.; Kominoski, J.S.; Gaiser, E.E.; Price, R.M.; Troxler, T.G. Stormwater runoff and tidal flooding transform dissolved organic matter composition and increase bioavailability in urban coastal ecosystems. J. Geophys. Res. Biogeosci. 2021, 126, e2020JG006146. [Google Scholar] [CrossRef]
- Chen, H.; Liao, Z.-L.; Gu, X.-Y.; Xie, J.-Q.; Li, H.-Z.; Zhang, J. Anthropogenic Influences of Paved Runoff and Sanitary Sewage on the Dissolved Organic Matter Quality of Wet Weather Overflows: An Excitation-Emission Matrix Parallel Factor Analysis Assessment. Environ. Sci. Technol. 2017, 51, 1157–1167. [Google Scholar] [CrossRef]
- Sipler, R. The Role of Dissolved Organic Matter in Structuring Microbial Community Composition. Ph.D. Thesis, New Brunswick Rutgers, The State University of New Jersey, New Brunswick, NJ, USA, 2009. [Google Scholar]
- Seitzinger, S.P.; Sanders, R.W. Atmospheric inputs of dissolved organic nitrogen stimulate estuarine bacteria and phytoplankton. Limnol. Oceanogr. 1999, 44, 721–730. [Google Scholar] [CrossRef]
- Petrone, K.C.; Fellman, J.B.; Hood, E.; Donn, M.J.; Grierson, P.F. The origin and function of dissolved organic matter in agro-urban coastal streams. J. Geophys. Res. 2011, 116, G1. [Google Scholar] [CrossRef]
- Bianchi, T.S. Biogeochemistry of Estuaries; Oxford University Press: Oxford, UK, 2006; ISBN 9780195160826. [Google Scholar]
- D’Andrilli, J.; Cooper, W.T.; Foreman, C.M.; Marshall, A.G. An ultrahigh-resolution mass spectrometry index to estimate natural organic matter lability. Rapid Commun. Mass Spectrom. 2015, 29, 2385–2401. [Google Scholar] [CrossRef]
- Hopkinson, C.S.; Buffam, I.; Hobbie, J.; Vallino, J.; Perdue, M.; Eversmeyer, B.; Prahl, F.; Covert, J.; Hodson, R.; Moran, M.A.; et al. Terrestrial inputs of organic matter to coastal ecosystems: An intercomparison of chemical characteristics and bioavailability. Biogeochemistry 1998, 43, 211–234. [Google Scholar] [CrossRef]
- Bianchi, T.S. The role of terrestrially derived organic carbon in the coastal ocean: A changing paradigm and the priming effect. Proc. Natl. Acad. Sci. USA 2011, 108, 19473–19481. [Google Scholar] [CrossRef]
- McElmurry, S.P.; Long, D.T.; Voice, T.C. Stormwater dissolved organic matter: Influence of land cover and environmental factors. Environ. Sci. Technol. 2014, 48, 45–53. [Google Scholar] [CrossRef]
- Huguet, A.; Vacher, L.; Relexans, S.; Saubusse, S.; Froidefond, J.M.; Parlanti, E. Properties of fluorescent dissolved organic matter in the Gironde Estuary. Org. Geochem. 2009, 40, 706–719. [Google Scholar] [CrossRef]
- Stedmon, C.A.; Bro, R. Characterizing dissolved organic matter fluorescence with parallel factor analysis: A tutorial. Limnol. Oceanogr. Methods 2008, 6, 572–579. [Google Scholar] [CrossRef]
- Coble, P.; Lead, J.; Baker, A.; Reynolds, D.M.; Spencer, R.G.M. (Eds.) Aquatic Organic Matter Fluorescence; Cambridge University Press: Cambridge, UK, 2014; ISBN 9781139045452. [Google Scholar]
- Bro, R. PARAFAC. Tutorial and applications. Chemom. Intell. Lab. Syst. 1997, 38, 149–171. [Google Scholar] [CrossRef]
- Bro, R.; Viereck, N.; Toft, M.; Toft, H.; Hansen, P.I.; Engelsen, S.B. Mathematical chromatography solves the cocktail party effect in mixtures using 2D spectra and PARAFAC. TrAC Trends Anal. Chem. 2010, 29, 281–284. [Google Scholar] [CrossRef]
- Fleming, L.E.; Kirkpatrick, B.; Backer, L.C.; Bean, J.A.; Wanner, A.; Dalpra, D.; Tamer, R.; Zaias, J.; Cheng, Y.S.; Pierce, R.; et al. Initial evaluation of the effects of aerosolized Florida red tide toxins (brevetoxins) in persons with asthma. Environ. Health Perspect. 2005, 113, 650–657. [Google Scholar] [CrossRef]
- Steidinger, K.A. Historical perspective on Karenia brevis red tide research in the Gulf of Mexico. Harmful Algae 2009, 8, 549–561. [Google Scholar] [CrossRef]
- Steidinger, K.A. Implications of dinoflagellate life cycles on initiation of Gymnodinium breve red tides. Environ. Lett. 1975, 9, 129–139. [Google Scholar] [CrossRef]
- Baden, D.G.; Mende, T.J. Amino acid utilization by Gymnodinium breve. Phytochemistry 1979, 18, 247–251. [Google Scholar] [CrossRef]
- Heil, C.A.; Dixon, L.K.; Hall, E.; Garrett, M.; Lenes, J.M.; O’Neil, J.M.; Walsh, B.M.; Bronk, D.A.; Killberg-Thoreson, L.; Hitchcock, G.L.; et al. Blooms of Karenia brevis (Davis) G. Hansen & Ø. Moestrup on the West Florida Shelf: Nutrient sources and potential management strategies based on a multi-year regional study. Harmful Algae 2014, 38, 127–140. [Google Scholar] [CrossRef]
- Killberg-Thoreson, L.; Sipler, R.E.; Heil, C.A.; Garrett, M.J.; Roberts, Q.N.; Bronk, D.A. Nutrients released from decaying fish support microbial growth in the eastern Gulf of Mexico. Harmful Algae 2014, 38, 40–49. [Google Scholar] [CrossRef]
- Mendoza, W.G.; Kang, Y.; Zika, R.G. Resolving DOM fluorescence fractions during a Karenia brevis bloom patch on the Southwest Florida Shelf. Cont. Shelf Res. 2012, 32, 121–129. [Google Scholar] [CrossRef]
- Killberg-Thoreson, L.; Mulholland, M.R.; Heil, C.A.; Sanderson, M.P.; O’Neil, J.M.; Bronk, D.A. Nitrogen uptake kinetics in field populations and cultured strains of Karenia brevis. Harmful Algae 2014, 38, 73–85. [Google Scholar] [CrossRef]
- Meng, F.; Huang, G.; Yang, X.; Li, Z.; Li, J.; Cao, J.; Wang, Z.; Sun, L. Identifying the sources and fate of anthropogenically impacted dissolved organic matter (DOM) in urbanized rivers. Water Res. 2013, 47, 5027–5039. [Google Scholar] [CrossRef]
- Rounsefell, G.A.; Nelson, W.R. Red-Tide Research Summarized to 1964: Including an Annotated Bibliography; U.S. Department of the Interior, Bureau of Commercial Fisheries: Washington, DC, USA, 1966; Volume 20.
- Steidinger, K.A.; Burklew, M.A.; Ingle, R.M. The Effects of Gymnodinium breve Toxin on Estuarine Animals. In Marine Pharmacognosy: Action of Marine Toxins at the Cellular Level; Martin, D.F., Padilla, G.M., Eds.; Academic Press: New York, NY, USA, 1973; pp. 179–202. [Google Scholar]
- Dixon, L.K.; Steidinger, K.A. Correlation of Karenia brevis presence in the eastern Gulf of Mexico with rainfall and riverine flow. In Harmful Algae; Steidinger, K.A., Landsberg, J.H., Tomas, C.R., Vargo, G.A., Eds.; Florida Fish and Wildlife Conservation Commission of UNESCO: Tallahassee, FL, USA, 2002; pp. 29–31. [Google Scholar]
- Sobrinho, B.; Glibert, P.M.; Lyubchich, V.; Heil, C.A.; Li, M. Time series analysis of the Karenia brevis blooms on the West Florida Shelf: Relationships with El Niño—Southern Oscillation (ENSO) and its rate of change. In Proceedings of the 19th International Conference on Harmful Algae, La Paz, Mexico; 2022; pp. 232–237. [Google Scholar] [CrossRef]
- Heil, C.A.; Muni-Morgan, A.L. Florida’s harmful algal bloom (HAB) problem: Escalating risks to human, environmental and economic health with climate change. Front. Ecol. Evol. 2021, 9, 646080. [Google Scholar] [CrossRef]
- Phlips, E.J.; Badylak, S.; Bledsoe, E.; Cichra, M. Factors affecting the distribution of Pyrodinium bahamense var. bahamense in coastal waters of Florida. Mar. Ecol. Prog. Ser. 2006, 322, 99–115. [Google Scholar] [CrossRef]
- Shankar, S.; Lopez, C.; Kaminski, S.G.; Hubbard, K.A.; Flewelling, L. Toxicity of Pyrodinium bahamense Cells and Resting Cysts in Tampa Bay, Florida; Fish and Wildlife Research Institute: St. Petersburg, FL, USA, 2023. [Google Scholar]
- Morquecho, L. Pyrodinium bahamense One the Most Significant Harmful Dinoflagellate in Mexico. Front. Mar. Sci. 2019, 6, 1. [Google Scholar] [CrossRef]
- Lopez, C.; Smith, C.G.; Marot, M.; Karlen, D.; Karim, A.; Corcoran, A. Pyrodinium bahamense Seeding Potential in Tampa Bay: Executive Summary; Tampa Bay Estuary Program: St. Petersburg, FL, USA, 2020. [Google Scholar]
- Lopez, C.B.; Shankar, S.; Kaminski, S.G.; Hubbard, K.A. Pyrodinium bahamense Bloom Dynamics in Old Tampa Bay, FL, with a Focus on Feather Sound; Florida Scientist: Saint Petersburg, FL, USA, 2023. [Google Scholar]
- Karlen, D.; Campbell, K.W. The distribution of Pyrodinium bahamense cysts in Old Tampa Bay sediments. Environ. Prot. Comm. Hillsoborough Cty 2012. [Google Scholar] [CrossRef]
- Sherwood, E.T.; Greening, H.; Garcia, L.; Kaufman, K.; Janicki, T.; Pribble, R.; Cunningham, B.; Peene, S.; Fitzpatrick, J.; Dixon, K.; et al. Development of an integrated ecosystem model to determine effectiveness of potential watershed management projects on improving Old Tampa Bay. In Headwaters to Estuaries: Advances in Watershed Science and Management, Proceedings of the Fifth Interagency Conference on Research in the Watersheds, North Charleston, SC, USA, 2–5 March 2015; Stringer, C.E., Krauss, K.W., Latimer, J.S., Eds.; U.S. Department of Agriculture Forest Service, Southern Research Station: Asheville, NC, USA, 2016; p. 302. [Google Scholar]
- Usup, G.; Ahmad, A.; Matsuoka, K.; Lim, P.T.; Leaw, C.P. Biology, ecology and bloom dynamics of the toxic marine dinoflagellate Pyrodinium bahamense. Harmful Algae 2012, 14, 301–312. [Google Scholar] [CrossRef]
- Morquecho, L.; Alonso-Rodríguez, R.; Arreola-Lizárraga, J.A.; Reyes-Salinas, A. Factors associated with moderate blooms of Pyrodinium bahamense in shallow and restricted subtropical lagoons in the Gulf of California. Bot. Mar. 2012, 55, 611–623. [Google Scholar] [CrossRef]
- Núñez-Vázquez, E.J.; Poot-Delgado, C.A.; Turner, A.D.; Hernández-Sandoval, F.E.; Okolodkov, Y.B.; Fernández-Herrera, L.J.; Bustillos-Guzmán, J.J. Paralytic Shellfish Toxins of Pyrodinium bahamense (Dinophyceae) in the Southeastern Gulf of Mexico. Toxins 2022, 14, 760. [Google Scholar] [CrossRef]
- Vargo, G.A. A brief summary of the physiology and ecology of Karenia brevis Davis (G. Hansen and Moestrup comb. nov.) red tides on the West Florida Shelf and of hypotheses posed for their initiation, growth, maintenance, and termination. Harmful Algae 2009, 8, 573–584. [Google Scholar] [CrossRef]
- Tampa Bay Water Atlas Tampa Bay Water Atlas. Available online: https://www.tampabay.wateratlas.usf.edu/ (accessed on 27 January 2023).
- Paerl, H.W.; Rudek, J.; Mallin, M.A. Stimulation of phytoplankton production in coastal waters by natural rainfall inputs: Nutritional and trophic implications. Mar. Biol. 1990, 107, 247–254. [Google Scholar] [CrossRef]
- Dixon, L.K.; Kirkpatrick, G.J. Biological Effects of Atmospheric Deposition on Algal Assemblages; Mote Marine Laboratory: Sarasota, FL, USA, 1999. [Google Scholar]
- Pucher, M.; Wünsch, U.; Weigelhofer, G.; Murphy, K.; Hein, T.; Graeber, D. staRdom: Versatile Software for Analyzing Spectroscopic Data of Dissolved Organic Matter in R. Water 2019, 11, 2366. [Google Scholar] [CrossRef]
- Weishaar, J.L.; Aiken, G.R.; Bergamaschi, B.A.; Fram, M.S.; Fujii, R.; Mopper, K. Evaluation of specific ultraviolet absorbance as an indicator of the chemical composition and reactivity of dissolved organic carbon. Environ. Sci. Technol. 2003, 37, 4702–4708. [Google Scholar] [CrossRef]
- Ohno, T. Fluorescence inner-filtering correction for determining the humification index of dissolved organic matter. Environ. Sci. Technol. 2002, 36, 742–746. [Google Scholar] [CrossRef] [PubMed]
- Zech, W.; Senesi, N.; Guggenberger, G.; Kaiser, K.; Lehmann, J.; Miano, T.M.; Miltner, A.; Schroth, G. Factors controlling humification and mineralization of soil organic matter in the tropics. Geoderma 1997, 79, 117–161. [Google Scholar] [CrossRef]
- Murphy, K.R.; Stedmon, C.A.; Graeber, D.; Bro, R. Fluorescence spectroscopy and multi-way techniques. PARAFAC. Anal. Methods 2013, 5, 6557. [Google Scholar] [CrossRef]
- Murphy, K.R.; Stedmon, C.A.; Wenig, P.; Bro, R. OpenFluor– an online spectral library of auto-fluorescence by organic compounds in the environment. Anal. Methods 2014, 6, 658–661. [Google Scholar] [CrossRef]
- Coble, P.G. Marine Optical Biogeochemistry: The Chemistry of Ocean Color. Chem. Rev. 2007, 107, 402–418. [Google Scholar] [CrossRef]
- Coble, P.G. Characterization of marine and terrestrial DOM in seawater using excitation-emission matrix spectroscopy. Mar. Chem. 1996, 51, 325–346. [Google Scholar] [CrossRef]
- Coble, P.G.; Del Castillo, C.E.; Avril, B. Distribution and optical properties of CDOM in the Arabian Sea during the 1995 Southwest Monsoon. Deep Sea Res. Part II Top. Stud. Oceanogr. 1998, 45, 2195–2223. [Google Scholar] [CrossRef]
- Coble, P.G.; Green, S.A.; Blough, N.V.; Gagosian, R.B. Characterization of dissolved organic matter in the Black Sea by fluorescence spectroscopy. Nature 1990, 348, 432–435. [Google Scholar] [CrossRef]
- Guillard, R.R.; Stein, J.R. (Eds.) Division Rates. In Handbook of Phycological Methods: Culture Methods and Growth Measurements; Cambridge University Press: Cambridge, MA, USA, 1973; pp. 289–312. [Google Scholar]
- Brooks, M.E.; Kristensen, K.; van Benthem, K.J.; Magnusson, A.; Berg, C.W.; Nielsen, A.; Skaug, H.J.; Mächler, M.; Bolker, B.M. glmmTMB Balances Speed and Flexibility Among Packages for Zero-inflated Generalized Linear Mixed Modeling. R J. 2017, 9, 378. [Google Scholar] [CrossRef]
- Lüdecke, D.; Ben-Shachar, M.; Patil, I.; Waggoner, P.; Makowski, D. performance: An R Package for Assessment, Comparison and Testing of Statistical Models. JOSS 2021, 6, 3139. [Google Scholar] [CrossRef]
- Hartig, F. DHARMa: Residual Diagnostics for Hierarchical (Multi-Level/Mixed) Regression Models. R Package Version 0.4.6. Available online: https://florianhartig.github.io/DHARMa/ (accessed on 7 November 2023).
- Fox, J.; Weisberg, S. An R Companion to Applied Regression, Third Edition. Available online: https://www.john-fox.ca/Companion/index.html (accessed on 7 November 2023).
- Lenth, R.; Bolker, B.; Buerkner, P.; Giné-Vázquez, I.; Herve, M.; Jung, M.; Love, J.; Miguez, F.; Riebl, H.; Singmann, H. R Package Emmeans: Estimated Marginal Means. Version: 1.8.9. Available online: https://cran.r-project.org/web/packages/emmeans/index.html (accessed on 7 November 2023).
- Stedmon, C.A.; Markager, S. Resolving the variability in dissolved organic matter fluorescence in a temperate estuary and its catchment using PARAFAC analysis. Limnol. Oceanogr. 2005, 50, 686–697. [Google Scholar] [CrossRef]
- Yang, L.; Chen, W.; Zhuang, W.-E.; Cheng, Q.; Li, W.; Wang, H.; Guo, W.; Chen, C.-T.A.; Liu, M. Characterization and bioavailability of rainwater dissolved organic matter at the southeast coast of China using absorption spectroscopy and fluorescence EEM-PARAFAC. Estuar. Coast. Shelf Sci. 2019, 217, 45–55. [Google Scholar] [CrossRef]
- Painter, S.C.; Lapworth, D.J.; Woodward, E.M.S.; Kroeger, S.; Evans, C.D.; Mayor, D.J.; Sanders, R.J. Terrestrial dissolved organic matter distribution in the North Sea. Sci. Total Environ. 2018, 630, 630–647. [Google Scholar] [CrossRef]
- Benner, R. Molecular indicators of the bioavailability of dissolved organic matter. In Aquatic Ecosystems; Elsevier: Amsterdam, The Netherlands, 2003; pp. 121–137. ISBN 9780122563713. [Google Scholar]
- Walker, S.A.; Amon, R.M.W.; Stedmon, C.; Duan, S.; Louchouarn, P. The use of PARAFAC modeling to trace terrestrial dissolved organic matter and fingerprint water masses in coastal Canadian Arctic surface waters. J. Geophys. Res. 2009, 114, G4. [Google Scholar] [CrossRef]
- Søndergaard, M.; Stedmon, C.A.; Borch, N.H. Fate of terrigenous dissolved organic matter (DOM) in estuaries: Aggregation and bioavailability. Ophelia 2003, 57, 161–176. [Google Scholar] [CrossRef]
- Murphy, K.R.; Stedmon, C.A.; Waite, T.D.; Ruiz, G.M. Distinguishing between terrestrial and autochthonous organic matter sources in marine environments using fluorescence spectroscopy. Mar. Chem. 2008, 108, 40–58. [Google Scholar] [CrossRef]
- Dall’Osto, M.; Vaqué, D.; Sotomayor-Garcia, A.; Cabrera-Brufau, M.; Estrada, M.; Buchaca, T.; Soler, M.; Nunes, S.; Zeppenfeld, S.; van Pinxteren, M.; et al. Sea Ice Microbiota in the Antarctic Peninsula Modulates Cloud-Relevant Sea Spray Aerosol Production. Front. Mar. Sci. 2022, 9, 827061. [Google Scholar] [CrossRef]
- Osburn, C.L.; Handsel, L.T.; Mikan, M.P.; Paerl, H.W.; Montgomery, M.T. Fluorescence tracking of dissolved and particulate organic matter quality in a river-dominated estuary. Environ. Sci. Technol. 2012, 46, 8628–8636. [Google Scholar] [CrossRef] [PubMed]
- Fellman, J.B.; Petrone, K.C.; Grierson, P.F. Source, biogeochemical cycling, and fluorescence characteristics of dissolved organic matter in an agro-urban estuary. Limnol. Oceanogr. 2011, 56, 243–256. [Google Scholar] [CrossRef]
- Wu, H.; Xu, X.; Fu, P.; Cheng, W.; Fu, C. Responses of soil WEOM quantity and quality to freeze–thaw and litter manipulation with contrasting soil water content: A laboratory experiment. Catena 2021, 198, 105058. [Google Scholar] [CrossRef]
- Castillo, C.R.; Sarmento, H.; Álvarez-Salgado, X.A.; Gasol, J.M.; Marraséa, C. Production of chromophoric dissolved organic matter by marine phytoplankton. Limnol. Oceanogr. 2010, 55, 446–454. [Google Scholar] [CrossRef]
- Suksomjit, M.; Nagao, S.; Ichimi, K.; Yamada, T.; Tada, K. Variation of dissolved organic matter and fluorescence characteristics before, during and after phytoplankton bloom. J. Oceanogr. 2009, 65, 835–846. [Google Scholar] [CrossRef]
- Romera-Castillo, C.; Sarmento, H.; Alvarez-Salgado, X.A.; Gasol, J.M.; Marrasé, C. Net production and consumption of fluorescent colored dissolved organic matter by natural bacterial assemblages growing on marine phytoplankton exudates. Appl. Environ. Microbiol. 2011, 77, 7490–7498. [Google Scholar] [CrossRef]
- Muni-Morgan, A.; Lusk, M.G.; Heil, C.; Goeckner, A.H.; Chen, H.; McKenna, A.M.; Holland, P.S. Molecular characterization of dissolved organic matter in urban stormwater pond and municipal wastewater discharges transformed by the Florida red tide dinoflagellate Karenia brevis. Sci. Total Environ. 2023, 904, 166291. [Google Scholar] [CrossRef]
- Zimberlin, M. Nutrient Limitation of Bioluminescent Dinoflagellates in Mangrove Lagoon, Salt River Bay, St. Croix USVI. Master’s Thesis, University of South Carolina, Columbia, SC, USA, 2013. [Google Scholar]
- Glibert, P.M.; Wilkerson, F.P.; Dugdale, R.C.; Raven, J.A.; Dupont, C.L.; Leavitt, P.R.; Parker, A.E.; Burkholder, J.M.; Kana, T.M. Pluses and minuses of ammonium and nitrate uptake and assimilation by phytoplankton and implications for productivity and community composition, with emphasis on nitrogen-enriched conditions. Limnol. Oceanogr. 2016, 61, 165–197. [Google Scholar] [CrossRef]
- Bronk, D.A.; Glibert, P.M.; Ward, B.B. Nitrogen uptake, dissolved organic nitrogen release, and new production. Science 1994, 265, 1843–1846. [Google Scholar] [CrossRef]
- Gomez, A.M.; Lopez, J.C. Bringing color to sugars: The chemical assembly of carbohydrates to BODIPY dyes. Chem. Rec. 2021, 21, 3112–3130. [Google Scholar] [CrossRef] [PubMed]
- Myklestad, S.M. Release of extracellular products by phytoplankton with special emphasis on polysaccharides. Sci. Total Environ. 1995, 165, 155–164. [Google Scholar] [CrossRef]
- Usman, A.; Khalid, S.; Usman, A.; Hussain, Z.; Wang, Y. Algal polysaccharides, novel application, and outlook. In Algae Based Polymers, Blends, and Composites; Elsevier: Amsterdam, The Netherlands, 2017; pp. 115–153. ISBN 9780128123607. [Google Scholar]
- Chen, J.; LeBoeuf, E.J.; Dai, S.; Gu, B. Fluorescence spectroscopic studies of natural organic matter fractions. Chemosphere 2003, 50, 639–647. [Google Scholar] [CrossRef]
- Zhang, Y.; Liu, X.; Wang, M.; Qin, B. Compositional differences of chromophoric dissolved organic matter derived from phytoplankton and macrophytes. Org. Geochem. 2013, 55, 26–37. [Google Scholar] [CrossRef]
- Bronk, D.A.; Killberg-Thoreson, L.; Sipler, R.E.; Mulholland, M.R.; Roberts, Q.N.; Bernhardt, P.W.; Garrett, M.; O’Neil, J.M.; Heil, C.A. Nitrogen uptake and regeneration (ammonium regeneration, nitrification and photoproduction) in waters of the West Florida Shelf prone to blooms of Karenia brevis. Harmful Algae 2014, 38, 50–62. [Google Scholar] [CrossRef]
- Azam, F.; Fenchel, T.; Field, J.G.; Gray, J.S.; Meyer-Reil, L.A.; Thingstad, F. The Ecological Role of Water-Column Microbes in the Sea. Mar. Ecol. Prog. Ser. 1983, 10, 257–263. [Google Scholar] [CrossRef]
- Bronk, D.A.; See, J.H.; Bradley, P.; Killberg, L. DON as a source of bioavailable nitrogen for phytoplankton. Biogeosciences 2007, 4, 283–296. [Google Scholar] [CrossRef]
- Heil, C.A.; Steidinger, K.A. Monitoring, management, and mitigation of Karenia blooms in the eastern Gulf of Mexico. Harmful Algae 2009, 8, 611–617. [Google Scholar] [CrossRef]
- Turley, B.D.; Karnauskas, M.; Campbell, M.D.; Hanisko, D.S.; Kelble, C.R. Relationships between blooms of Karenia brevis and hypoxia across the West Florida Shelf. Harmful Algae 2022, 114, 102223. [Google Scholar] [CrossRef]
- Stumpf, R.P.; Li, Y.; Kirkpatrick, B.; Litaker, R.W.; Hubbard, K.A.; Currier, R.D.; Harrison, K.K.; Tomlinson, M.C. Quantifying Karenia brevis bloom severity and respiratory irritation impact along the shoreline of Southwest Florida. PLoS ONE 2022, 17, e0260755. [Google Scholar] [CrossRef]
- Landsberg, J.H.; Hall, S.; Johannessen, J.N.; White, K.D.; Conrad, S.M.; Abbott, J.P.; Flewelling, L.J.; Richardson, R.W.; Dickey, R.W.; Jester, E.L.E.; et al. Saxitoxin puffer fish poisoning in the United States, with the first report of Pyrodinium bahamense as the putative toxin source. Environ. Health Perspect. 2006, 114, 1502–1507. [Google Scholar] [CrossRef] [PubMed]
- Corcoran, A.A.; Wolny, J.; Leone, E.; Ivey, J.; Murasko, S. Drivers of phytoplankton dynamics in old Tampa Bay, FL (USA), a subestuary lagging in ecosystem recovery. Estuar. Coast. Shelf Sci. 2017, 185, 130–140. [Google Scholar] [CrossRef]
- Greening, H.; Janicki, A.; Sherwood, E.T.; Pribble, R.; Johansson, J.O.R. Ecosystem responses to long-term nutrient management in an urban estuary: Tampa Bay, Florida, USA. Estuar. Coast. Shelf Sci. 2014, 151, A1–A16. [Google Scholar] [CrossRef]











| Present Study | Coble Peak Assignments | Designation |
|---|---|---|
| C1: <250 (329)/440 | A: 260/400–460 | UVC humic-like |
| C: 320–360/420–460 | UVA humic-like | |
| C2: <250 (296)/403 | M: 290–310/370–410 | UVA marine humic-like |
| C3: 266/290 | B: 275/305 | Tyrosine/protein-like |
| SW1: <250 (284)/413 | A: 260/400–460 | UVC humic-like |
| SW2: 260 (380)/491 | D: 390/509 | Soil fulvic-like |
| Bioassay | Sample ID | C1-Humic | C2-Microbial Humic | C3-Protein |
|---|---|---|---|---|
| K. brevis | Control | −12 | 100 | 75 |
| Rain Low | −6 | 98 | 59 | |
| Rain High | 4 | 96 | −16 | |
| Beachside | 42 | −8 | −3995 | |
| Mainland | 25 | 35 | 20 | |
| P. bahamense | Control | −206 | 77 | −24 |
| Rain Low | −190 | −232 | −451 | |
| Rain High | −47 | −197 | −809 | |
| Clearwater | 34 | −75 | 32 | |
| Safety Harbor | 17 | −214 | −22 |
| HIX | BIX | SUVA254 (L mg C−1 m−1) | |||||
|---|---|---|---|---|---|---|---|
| Bioassay | Sample ID | Initial | Final | Initial | Final | Initial | Final |
| K. brevis | Rainfall * | 0.52 | NA | 0.73 | NA | 0.01 | NA |
| Beachside * | 0.87 | NA | 0.57 | NA | 0.03 | NA | |
| Mainland * | 0.91 | NA | 0.56 | NA | 0.03 | NA | |
| Control | 0.79 | 0.86 | 1.32 | 1.28 | 0.01 | 0.01 | |
| Rain Low | 0.84 | 0.86 | 1.28 | 1.31 | 0.01 | 0.01 | |
| Rain High | 0.84 | 0.81 | 1.26 | 1.29 | 0.01 | 0.01 | |
| Beachside | 0.92 | 0.85 | 0.92 | 0.92 | 0.01 | 0.02 | |
| Mainland | 0.87 | 0.86 | 0.95 | 1.05 | 0.01 | 0.01 | |
| P. bahamense | Rainfall * | 0.55 | NA | 0.84 | NA | 0.02 | NA |
| Clearwater * | 0.88 | NA | 0.64 | NA | 0.03 | NA | |
| Safety Harbor * | 0.88 | NA | 1.10 | NA | 0.02 | NA | |
| Control | 0.59 | 0.67 | 1.25 | 1.11 | 0.01 | 0.05 | |
| Rain Low | 0.70 | 0.61 | 1.4 | 1.04 | 0.01 | 0.08 | |
| Rain High | 0.74 | 0.49 | 1.38 | 1.08 | 0.01 | 0.05 | |
| Clearwater | 0.87 | 0.86 | 0.75 | 0.77 | 0.02 | 0.02 | |
| Safety Harbor | 0.86 | 0.84 | 0.72 | 0.76 | 0.02 | 0.03 | |
| Bioassay | Sample ID | %BDON | %BDOC |
|---|---|---|---|
| K. brevis | Control | 0 | 13 |
| Rain Low | 50 | 15 | |
| Rain High | 75 | 16 | |
| Beachside | 71 | 28 | |
| Mainland | 57 | 9 | |
| P. bahamense | Control | 50 | 43 |
| Rain Low | 100 | 45 | |
| Rain High | 100 | 46 | |
| Clearwater | 100 | 30 | |
| Safety Harbor | 100 | 46 |
| Bioassay | Sample ID | Division Rate, µ (day −1) | Maximum Cell Concentration (cells L−1) | Lag Time (h) |
|---|---|---|---|---|
| K. | Control | 0.29 (±0.02) | 2.5 × 105 (±3.7 × 104) | 0 |
| brevis | Rain Low | 0.34 (±0.07) | 2.3 × 105 (±1.4 × 104) | 24 |
| Rain High | 0.52 (±0.05) | 3.1 × 105 (±2.7 × 104) | 24 | |
| Beachside | 0.63 (±0.21) | 3.3 × 105 (±3.6 × 103) | 24 | |
| Mainland | 0.52 (±0.05) | 5.9 × 105 (±1.1 × 105) | 24 | |
| P. | Control | 0.53 (±0.14) | 2.4 × 104 (±2.1 × 103) | 24 |
| bahamense | Rain Low | 1.01 (±0.28) | 2.4 × 104 (±6.7 × 102) | 0 |
| Rain High | 0.92 (±0.20) | 3.4 × 104 (±9.3 × 103) | 0 | |
| Clearwater | 1.45 (±0.39) | 3.4 × 104 (±3.5 × 103) | 0 | |
| Safety Harbor | 0.89 (±0.26) | 3.7 × 104 (±7.1 × 103) | 24 |
Disclaimer/Publisher’s Note: The statements, opinions and data contained in all publications are solely those of the individual author(s) and contributor(s) and not of MDPI and/or the editor(s). MDPI and/or the editor(s) disclaim responsibility for any injury to people or property resulting from any ideas, methods, instructions or products referred to in the content. |
© 2024 by the authors. Licensee MDPI, Basel, Switzerland. This article is an open access article distributed under the terms and conditions of the Creative Commons Attribution (CC BY) license (https://creativecommons.org/licenses/by/4.0/).
Share and Cite
Muni-Morgan, A.L.; Lusk, M.G.; Heil, C.A. Karenia brevis and Pyrodinium bahamense Utilization of Dissolved Organic Matter in Urban Stormwater Runoff and Rainfall Entering Tampa Bay, Florida. Water 2024, 16, 1448. https://doi.org/10.3390/w16101448
Muni-Morgan AL, Lusk MG, Heil CA. Karenia brevis and Pyrodinium bahamense Utilization of Dissolved Organic Matter in Urban Stormwater Runoff and Rainfall Entering Tampa Bay, Florida. Water. 2024; 16(10):1448. https://doi.org/10.3390/w16101448
Chicago/Turabian StyleMuni-Morgan, Amanda L., Mary G. Lusk, and Cynthia A. Heil. 2024. "Karenia brevis and Pyrodinium bahamense Utilization of Dissolved Organic Matter in Urban Stormwater Runoff and Rainfall Entering Tampa Bay, Florida" Water 16, no. 10: 1448. https://doi.org/10.3390/w16101448
APA StyleMuni-Morgan, A. L., Lusk, M. G., & Heil, C. A. (2024). Karenia brevis and Pyrodinium bahamense Utilization of Dissolved Organic Matter in Urban Stormwater Runoff and Rainfall Entering Tampa Bay, Florida. Water, 16(10), 1448. https://doi.org/10.3390/w16101448

