Excessive Eutrophication as a Chemical Barrier for Fish Fauna Dispersion: A Case Study in the Emblematic Tietê River (São Paulo, Brazil)
Abstract
1. Introduction
2. Material and Methods
3. Results
3.1. Environmental Conditions
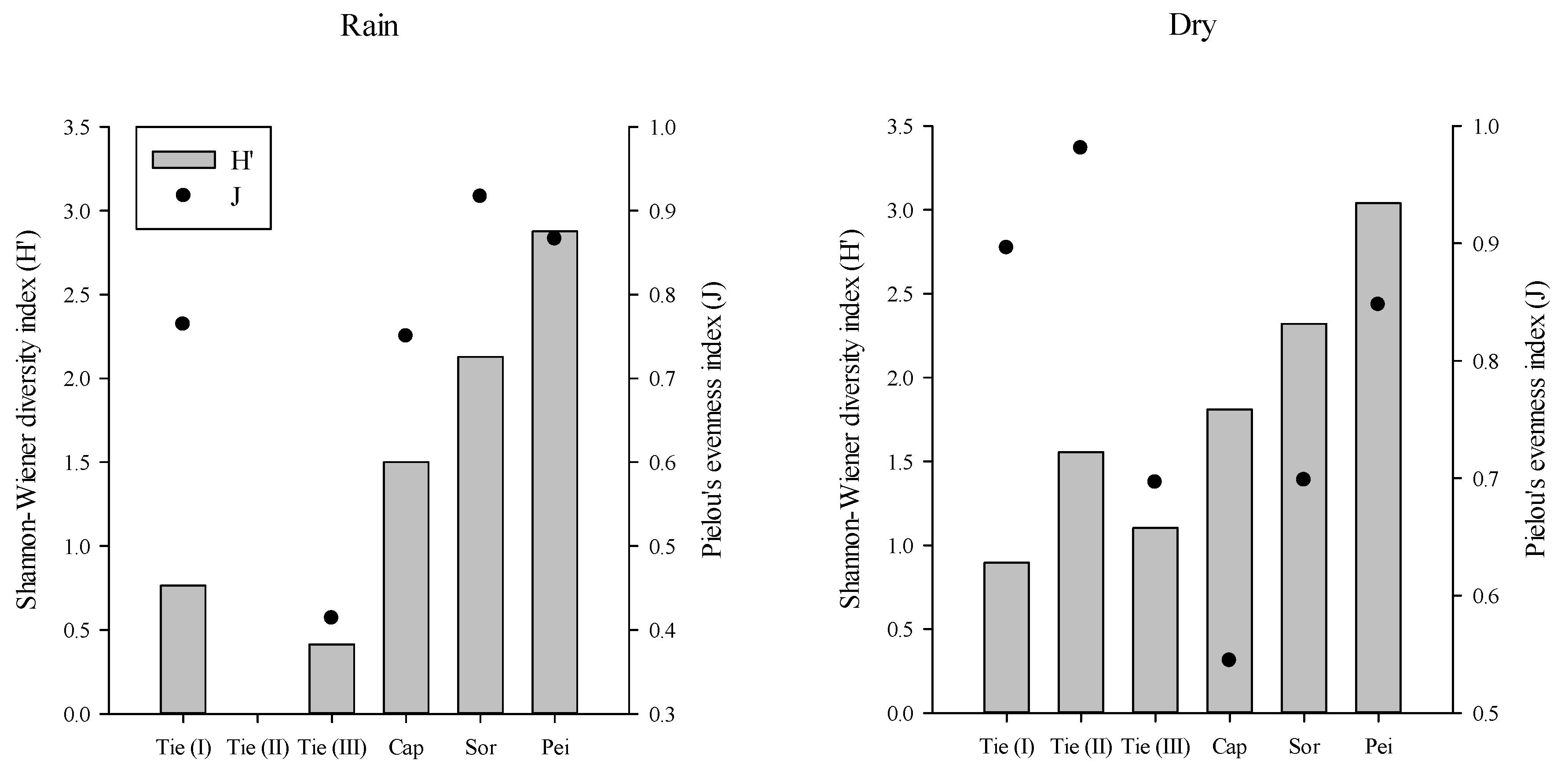
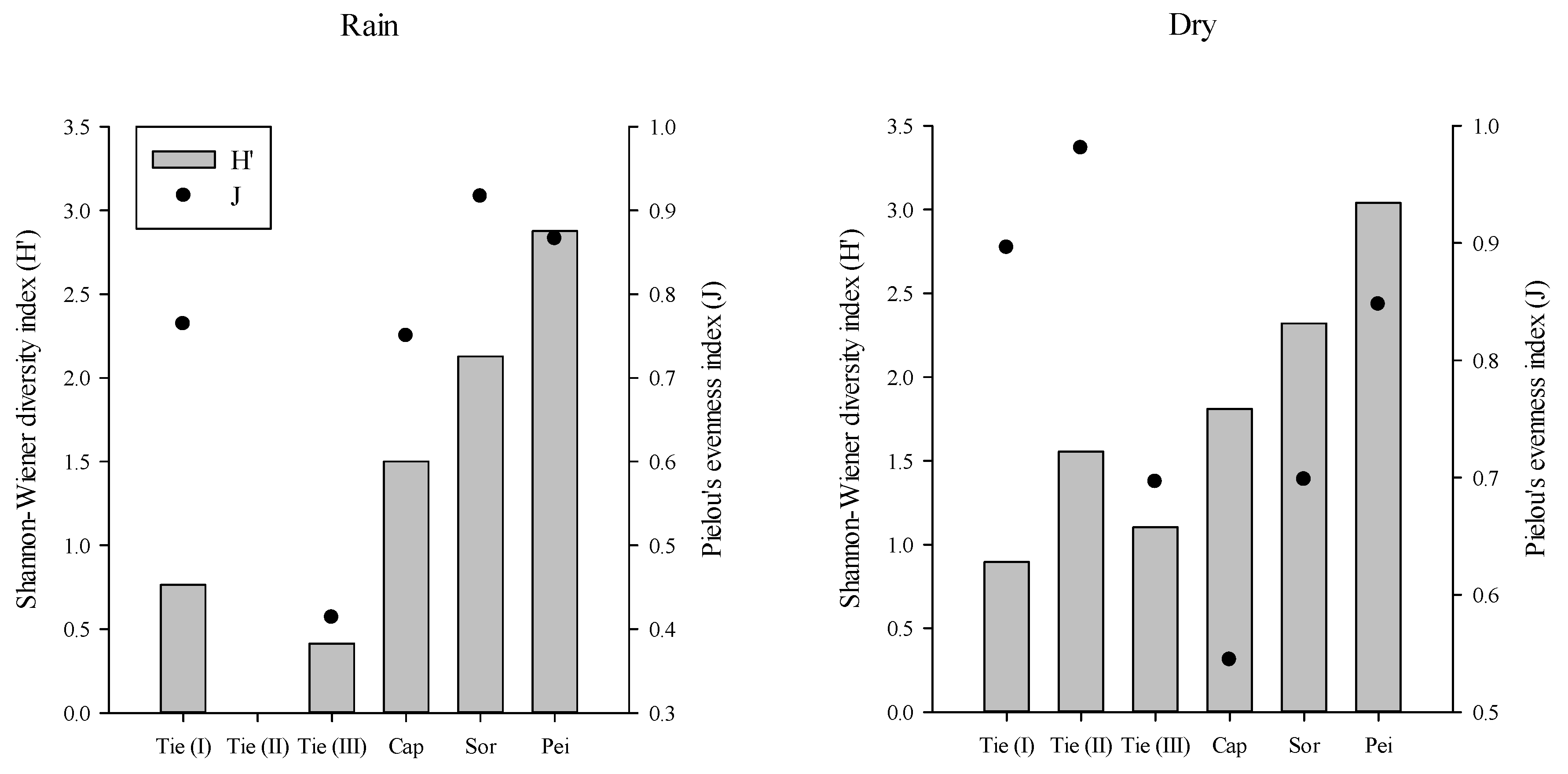
3.2. Ichthyofauna
3.3. Influence of Environmental Variables on Fish Assemblage Structure
4. Discussion
4.1. Environmental Conditions
4.2. Ichthyofauna
4.3. Final Considerations
Supplementary Materials
Author Contributions
Funding
Data Availability Statement
Acknowledgments
Conflicts of Interest
References
- Ronce, O. How Does It Feel to Be Like a Rolling Stone? Ten Questions About Dispersal Evolution. Annu. Rev. Ecol. Evol. Syst. 2007, 38, 231–253. [Google Scholar] [CrossRef]
- Gibbs, M.; Saastamoinen, M.; Coulon, A.; Stevens, V.M. Organisms on the move: Ecology and evolution of dispersal. Biol. Lett. 2010, 6, 146–148. [Google Scholar] [CrossRef] [PubMed][Green Version]
- Radinger, J.; Wolter, C. Patterns and predictors of fish dispersal in rivers. Fish Fish. 2014, 15, 456–473. [Google Scholar] [CrossRef]
- Lucas, M.C.; Baras, E. The Stimulus and Capacity for Migration. In Migration of Freshwater Fishes, 1st ed.; Lucas, C.M., Baras, E., Thom, T.J., Duncan, A., Slavík, O., Eds.; Blackwell Science Ltd.: London, UK, 2001; pp. 14–65. [Google Scholar]
- Bowler, D.E.; Benton, T.G. Causes and consequences of animal dispersal strategies: Relating individual behaviour to spatial dynamics. Biol. Rev. 2005, 80, 205–225. [Google Scholar] [CrossRef] [PubMed]
- Vianna, N.C.; Nogueira, M.G. Ichthyoplankton and limnological factors in the Cinzas River—An alternative spawning site for fishes in the middle Paranapanema River basin, Brazil. Acta Limnol. Bras. 2008, 20, 139–151. [Google Scholar]
- Agostinho, A.A.; Pelicice, F.M.; Gomes, L.C. Dams and the fish fauna of the Neotropical region: Impacts and management related to diversity and fisheries. Braz. J. Biol. 2008, 68, 1119–1132. [Google Scholar] [CrossRef] [PubMed]
- Britto, S.G.C.; Carvalho, E.D. Reproductive migration of fish and movement in a series of reservoirs in the Upper Paraná River basin, Brazil. Fish. Manag. Ecol. 2013, 20, 426–433. [Google Scholar] [CrossRef]
- Pelicice, F.M.; Pompeu, P.S.; Agostinho, A.A. Large reservoirs as ecological barriers to downstream movements of Neotropical migratory fish. Fish Fish. 2015, 16, 697–715. [Google Scholar] [CrossRef]
- Ferrareze, M.; Casatti, L.; Nogueira, M.G. Spatial heterogeneity affecting fish fauna in cascade reservoirs of the Upper Paraná Basin, Brazil. Hydrobiologia 2014, 738, 97–109. [Google Scholar] [CrossRef]
- Smith, W.S.; Stefani, M.S.; Espíndola, E.L.G.; Rocha, O. Changes in fish species composition in the middle and lower Tietê River (São Paulo, Brazil) throughout the centuries, emphasizing rheophilic and introduced species. Acta Limnol. Bras. 2018, 30, 310. [Google Scholar] [CrossRef][Green Version]
- Jacquin, L.; Petitjean, Q.; Côte, J.; Laffaille, P.; Jean, S. Effects of Pollution on Fish Behavior, Personality, and Cognition: Some Research Perspectives. Front. Ecol. Evol. 2020, 8, 86. [Google Scholar] [CrossRef]
- Instituto Brasileiro de Geografia e Estatística—IBGE (Brazilian Institute of Geography and Statistics). Censo Demográfico. 2022. Available online: https://censo2022.ibge.gov.br (accessed on 20 March 2024).
- Tundisi, J.G. A crise hídrica e a qualidade da água na Região Metropolitana de São Paulo. In Livro Branco da Água. A Crise Hídrica na Região Metropolitana de São Paulo em 2013-2015: Origens, Impactos e Soluções, 1st ed.; Buckeridge, M., Ribeiro, W.C., Eds.; Instituto de Estudos Avançados: São Paulo, Brazil, 2018; pp. 39–45. [Google Scholar]
- Buckeridge, M.; Ribeiro, W.C. A Crise Hídrica na Região Metropolitana de São Paulo em 2013–2015: Origens, Impactos e Soluções; Instituto de Estudos Avançados: São Paulo, Brazil, 2018; 175p. [Google Scholar]
- Tundisi, J.G.; Matsumura-Tundisi, T.; Abe, D.S. The ecological dynamics of Barra Bonita (Tietê River, SP, Brazil) reservoir: Implications for its biodiversity. Braz. J. Biol. 2008, 68, 1079–1098. [Google Scholar] [CrossRef] [PubMed]
- Rodgher, S.; Espíndola, E.L.G.; Rocha, O.; Fracácio, R.; Pereira, R.H.G.; Rodrigues, M.H.S. Limnological and ecotoxicological studies in the cascade of reservoirs in the Tietê River (São Paulo, Brazil). Braz. J. Biol. 2005, 65, 697–710. [Google Scholar] [CrossRef] [PubMed]
- Silva, F.L.; Fushita, A.T.; Cunha-Santino, M.B.; Bianchini, I., Jr. Adopting basic quality tools and landscape analysis for applied limnology: An approach for freshwater reservoir management. Sustain. Water Resour. Manag. 2022, 8, 65. [Google Scholar] [CrossRef]
- Dorgham, M.M. Effects of Eutrophication. In Eutrophication: Causes, Consequences and Control, 1st ed.; Ansari, A.A., Gill, S.S., Eds.; Springer: Dordrecht, The Netherlands, 2014; pp. 29–44. [Google Scholar]
- Barrella, W.; Petrere, M., Jr. Fish community alterations due to pollution and damming in Tietê and Paranapanema rivers (Brazil). River Res. Appl. 2003, 19, 59–76. [Google Scholar] [CrossRef]
- American Public Health Association—APHA. Standard Methods for the Examination of Water and Wastewater, 3rd ed.; Baird, R.B., Eaton, A.D., Rice, E.W., Eds.; American Public Health Association: Washington, DC, USA, 2017; 1546p. [Google Scholar]
- Lamparelli, M.C. Grau de Trofia em Corpos D’água do Estado de São Paulo: Avaliação dos Métodos de Monitoramento. Ph.D. Thesis, University of São Paulo, São Paulo, Brazil, 2004. [Google Scholar]
- Conselho Nacional do Meio Ambiente—CONAMA. (National Environment Council). Resolução nº 357, de 17 de Março de 2005. Dispõe Sobre a Classificação dos Corpos de Água e Diretrizes Ambientais para o seu Enquadramento, bem como Estabelece as Condições e Padrões de Lançamento de Efluentes. Available online: http://www.mma.gov.br/port/conama/res/res05/res35705.pdf (accessed on 15 March 2024).
- Britski, H.A. Peixes de Água Doce do Estado de São Paulo; Comissão Interestadual da Bacia do Paraná—Uruguai. Poluição e Piscicultura: São Paulo, Brasil, 1972; pp. 79–108. [Google Scholar]
- Graça, W.J.; Pavaneli, C.S. Peixes da Planície de Inundação do Alto Rio Paraná e Áreas Adjacentes, 1st ed.; EDUEM: Maringá, Brazil, 2007; 241p. [Google Scholar]
- Langeani, F.; Rego, A.C.L. Guia Ilustrado dos Peixes da Bacia do Rio Araguari; Grupo de Mídia Brasil Central: Uberlândia, Brazil, 2014; 141p. [Google Scholar]
- Ota, R.R.; Deprá, G.C.; Graça, W.J.; Pavaneli, C.S. Peixes da planície de inundação do alto rio Paraná e áreas adjacentes: Revised, annotated and updated. Neotrop. Ichthyol. 2018, 16, 170094. [Google Scholar] [CrossRef]
- Clarke, K.R.; Warwick, R.M. Change in Marine Communities: An Approach to Statistical Analysis and Interpretation, 2nd ed.; Primer-E Ltd.: Plymouth, UK, 2001; 172p. [Google Scholar]
- Hammer, O.; Harper, D.A.; Ryan, P.D. PAST—Paleontological Statistics Version 1.28. 2001. Available online: https://palaeo-electronica.org/2001_1/past/past.pdf (accessed on 11 February 2024).
- Froese, R.; Pauly, D. FishBase. World Wide Web Electronic Publication. Version (10/2023). 2023. Available online: http://www.fishbase.org (accessed on 10 December 2023).
- Anderson, M.; Gorley, R.N.; Clarke, K. PERMANOVA+ for primer: Guide to Software and Statistical Methods; Primer-E: Plymouth, UK, 2008. [Google Scholar]
- R Core Team. R: A Language and Environment for Statistical Computing. R Foundation for Statistical Computing. 2023. Available online: https://www.R-project.org (accessed on 24 January 2024).
- Lopes, T.M.; Muniz, C.M.; Schmitz, M.H.; Dias, R.M.; Rodrigues, A.C.; Buzo, M.G.; do Couto, E.V.; Agostinho, A.A. Drivers of fish trophic guild composition in lakes of the Upper Paraná River floodplain. Aquat. Sci. 2022, 84, 27. [Google Scholar] [CrossRef]
- Carvalho, D.R.; Alves, C.B.M.; Moreira, M.Z.; Pompeu, P.S. Trophic diversity and carbon sources supporting fish communities along a pollution gradient in a tropical river. Sci. Total Environ. 2020, 738, 139878. [Google Scholar] [CrossRef]
- Brazil-Sousa, C.; Soares, B.E.; Svanbäck, R.; Albrecht, M.P. Individual specialization is the highest in generalist populations from intermediary to high trophic positions in tropical freshwater fishes. Aust. Ecol. 2024, 49, 13368. [Google Scholar] [CrossRef]
- Barbosa, A.P.D.; Oliveira-Junior, E.S.; Muniz, C.C.; Lázaro, W.L.; Silva, D.J.; Santos-Filho, M.d. Dynamic of fish trophic guilds in the plateau-plain gradient in the Paraguay River, Northern Pantanal. Pap. Avulsos Zool. 2022, 62, 202262041. [Google Scholar] [CrossRef]
- Carvalho, D.R.; Alves, C.B.M.; Pompeu, P.S. Uncertainty in estimating fish trophic positions and food web structure in highly polluted river basins. Environ. Biol. Fishes 2022, 105, 119–137. [Google Scholar] [CrossRef]
- Lima, F.P.; Nobile, A.B.; Freitas-Souza, D.; Carvalho, E.D.; Vidotto-Magnoni, A.P. Can dams affect the trophic structure of ichthyofauna? A long-term effect in the Neotropical region. Iheringia Ser. Zool. 2018, 108, e2018030. [Google Scholar] [CrossRef]
- Gandini, C.V.; Boratto, I.A.; Fagundes, D.C.; Pompeu, P.S. Estudo da alimentação dos peixes no rio Grande à jusante da usina hidrelétrica de Itutinga, Minas Gerais, Brasil. Iheringia Ser. Zool. 2012, 102, 56–61. [Google Scholar] [CrossRef]
- Ramos, J.K.K.; Silva, N.L.; Bonfim, V.C.; Fornari, B.Y.; Kliemann, B.C.K.; Pagliarini, C.D.; Brandão, H.; Ramos, I.P. Characterization of wild fish diet and trophic guild in a protected area. Acta Limnol. Brasil 2022, 34, 15. [Google Scholar] [CrossRef]
- Souza, F.B.; Santos, A.C.A.; Silva, A.T. Trophic structure of ichthyofauna in streams of the Contas River basin, Brazil. Stud. Neotrop. Fauna Environ. 2022, 57, 29–42. [Google Scholar] [CrossRef]
- Azevedo-Santos, V.M.; Gonçalves, G.R.L.; Manoel, P.S.; Andrade, M.C.; Lima, F.P.; Pelicice, F.M. Plastic ingestion by fish: A global assessment. Environ. Pollut. 2019, 255, 112994. [Google Scholar] [CrossRef] [PubMed]
- Ganassin, M.J.M. Spatial Distribution Patterns of Fish Assemblages in Neotropical Reservoirs. Ph.D. Thesis, State University of Maringá, Maringá, Brazil, 2021. [Google Scholar]
- Bonato, K.O.; Delariva, R.L.; da Silva, J.C. Diet and trophic guilds of fish assemblages in two streams with different anthropic impacts in the northwest of Paraná, Brazil. Zoologia 2012, 29, 27–38. [Google Scholar] [CrossRef]
- Abraham, W.R.; Macedo, A.J.; Gomes, L.H.; Tavares, F.C.A. Occurrence and resistance of pathogenic bacteria along the Tietê River downstream of São Paulo in Brazil. CLEAN—Soil Air Water 2007, 35, 339–347. [Google Scholar] [CrossRef]
- Moretto, E.M.; Nogueira, M.G. Physical and chemical characteristics of Lavapés and Capivara rivers, tributaries of Barra Bonita Reservoir (São Paulo, Brazil). Acta Limnol. Bras. 2003, 15, 27–39. [Google Scholar]
- Oliveira, P.C.R.; Nogueira, M.G.; Sartori, L.P. Differential environmental impacts on small and medium size rivers from center of São Paulo State, Brazil, and regional management perspectives. Acta Limnol. Bras. 2014, 26, 404–419. [Google Scholar] [CrossRef][Green Version]
- Casares, M.V.; De Cabo, L.I. Análisis de tendencias de variables indicadoras de calidad de agua para el Riachuelo (cuenca Matanza-Riachuelo, Argentina). Rev. Int. Contam. Ambie. 2018, 34, 651–665. [Google Scholar] [CrossRef]
- Smith, W.S.; Barrella, W. The ichthyofauna of the marginal lagoons of the Sorocaba River, SP, Brazil: Composition, abundance and effect of the anthropogenic actions. Braz. J. Biol. 2000, 60, 627–632. [Google Scholar] [CrossRef] [PubMed]
- Prado, M.R.; de Carvalho, D.R.; Alves, C.B.M.; Moreira, M.Z.; Pompeu, P.S. Convergent responses of fish belonging to different feeding guilds to sewage pollution. Neotrop. Ichthyol. 2020, 18, 190045. [Google Scholar] [CrossRef]
- Urbanski, B.Q.; Denadai, A.C.; Azevedo-Santos, V.M.; Nogueira, M.G. First record of plastic ingestion by an important commercial native fish (Prochilodus lineatus) in the middle Tietê River basin, Southeast Brazil. Biota Neotrop. 2020, 20, 20201005. [Google Scholar] [CrossRef]
- Urbanski, B.Q.; Brambilla, E.M.; Nogueira, M.G. Length-weight relationship and condition factor for Prochilodus lineatus, an important commercial fish, in contrasting water-quality environments of the middle Tietê River basin, Southeast Brazil. Biota Neotrop. 2023, 23, 20231467. [Google Scholar] [CrossRef]
- Hochachka, P.W.; Lutz, P.L. Mechanism, origin, and evolution of anoxia tolerance in animals. Comp. Biochem. Physiol. B Biochem. Mol. Biol. 2001, 130, 435–459. [Google Scholar] [CrossRef]
- Le Pichon, C.; Lestel, L.; Courson, E.; Merg, M.-L.; Tales, E.; Belliard, J. Historical Changes in the Ecological Connectivity of the Seine River for Fish: A Focus on Physical and Chemical Barriers Since the Mid-19th Century. Water 2020, 12, 1352. [Google Scholar] [CrossRef]
- Araújo, C.V.M.; Silva, D.C.V.R.; Gomes, L.E.T.; Acayaba, R.D.; Montagner, C.C.; Moreira-Santos, M.; Ribeiro, R.; Pompêo, M.L.M. Habitat fragmentation caused by contaminants: Atrazine as a chemical barrier isolating fish populations. Chemosphere 2018, 193, 24–31. [Google Scholar] [CrossRef]
- Noatch, M.R.; Suski, C.D. Non-physical barriers to deter fish movements. Environ. Rev. 2012, 20, 1–12. [Google Scholar] [CrossRef]









| Site | River | Municipality | Latitude | Longitude |
|---|---|---|---|---|
| Tie (I) | Tietê River | Laranjal Paulista | 22° 59′ 17.6″ S | 47° 46′ 00.1″ W |
| Tie (II) | Tietê River | Laranjal Paulista | 22° 55′ 47.6″ S | 47° 55′ 22.8″ W |
| Tie (III) | Tietê River | Anhembi | 22° 47′ 31.0″ S | 48° 05′ 48.8″ W |
| Cap | Capivari River | Laranjal Paulista | 22° 59′ 29.9″ S | 47° 45′ 34.9″ W |
| Sor | Sorocaba River | Laranjal Paulista | 23° 00′ 07.6″ S | 47° 48′ 12.2″ W |
| Pei | Peixe River | Anhembi | 22° 49′ 42.8″ S | 48° 06′ 01.5″ W |
| Parameter | Reference |
|---|---|
| pH | 6 to 9 |
| Turbidity (NTU) | <100 NTU |
| DO (mg·L−1) | >5 mgL−1 |
| TDS (g·L−1) | <0.5 gL−1 |
| Total phosphorous (mg·L−1) * | <0.10 mgL−1 |
| Total nitrogen (mg·L−1) | <2.18 mgL−1 |
| Chlorophyll-a (μg·L−1) | <30 μgL−1 |
| Variables | Tie (I) | Tie (II) | Tie (III) | Cap | Sor | Pei | ||||||
|---|---|---|---|---|---|---|---|---|---|---|---|---|
| R | D | R | D | R | D | R | D | R | D | R | D | |
| Depth (m) * | 5.00 | 3.40 | 6.00 | 5.40 | 7.80 | 5.00 | 4.50 | 0.90 | 5.70 | 6.40 | 5.50 | 2.00 |
| Transparency (m) * | 0.20 | 0.45 | 0.15 | 0.60 | 0.40 | 0.80 | 0.20 | 0.45 | 0.30 | 1.20 | 0.30 | 0.80 |
| Temperature (°C) | 24.30 (±0.00) | 26.11 (±0.00) | 24.36 (±0.01) | 26.13 (±0.00) | 26.09 (±0.01) | 25.34 (±0.12) | 23.61 (±0.00) | 26.84 (±0.00) | 23.54 (±0.02) | 25.71 (±0.13) | 23.60 (±0.02) | 24.35 (±0.15) |
| pH | 6.68 (±0.07) | 7.45 (±0.07) | 6.54 (±0.12) | 7.28 (±0.19) | 6.45 (±0.16) | 7.05 (±0.20) | 6.80 (±0.06) | 7.76 (±0.01) | 6.49 (±0.24) | 6.57 (±0.23) | 6.21 (±0.11) | 6.61 (±0.23) |
| ORP (mV) | 242.38 (±4.06) | 224 (±3.54) | 415.80 (±8.42) | 254.67 (±16.01) | 228.40 (±4.10) | 283.86 (±16.18) | 257.17 (±7.06) | 211.67 (±2.62) | 268.29 (±20.73) | 260.14 (±15.49) | 228.86 (±17.98) | 344.67 (±14.08) |
| Conductivity (μScm−1) | 274.75 (±0.43) | 690 (±0.00) | 249 (±0.00) | 569.83 (±0.37) | 409.80 (±0.40) | 557.71 (±1.28) | 149 (±0.00) | 270.67 (±0.47) | 121.86 (±0.35) | 241.43 (±0.73) | 92.29 (±0.45) | 124 (±0.00) |
| Turbidity (NTU) | 171.38 (±20.35) | 25.98 (±1.69) | 237.20 (±3.97) | 26.47 (±1.07) | 120.40 (±8.01) | 16.33 (±0.72) | 334.50 (±13.99) | 27.13 (±0.40) | 122.83 (±12.72) | 8.97 (±0.64) | 161.43 (±2.61) | 15.83 (±0.96) |
| DO (mgL−1) | 0.18 (±0.15) | 2.92 (±0.08) | 1.50 (±0.04) | 4.94 (±0.11) | 0.53 (±0.21) | 0.59 (±0.76) | 6.82 (±0.15) | 10.61 (±0.22) | 7.73 (±0.11) | 4.72 (±0.17) | 5.47 (±0.10) | 3.25 (±0.30) |
| TDS (gL−1) | 0.18 (±0.00) | 0.44 (±0.00) | 0.16 (±0.00) | 0.36 (±0.00) | 0.27 (±0.00) | 0.36 (±0.00) | 0.10 (±0.00) | 0.18 (±0.00) | 0.08 (±0.00) | 0.16 (±0.00) | 0.06 (±0.00) | 0.08 (±0.00) |
| Total phosphorous (mgL−1) | 0.16 (±0.01) | 1.29 (±0.03) | 0.16 (±0.01) | 1.17 (±0.02) | 0.26 (±0.01) | 0.58 (±0.04) | 0.08 (±0.01) | 0.16 (±0.01) | 0.06 (±0.00) | 0.17 (±0.00) | 0.04 (±0.00) | 0.03 (±0.00) |
| Total nitrogen (mgL−1) | 3.54 (±0.18) | 15.27 (±0.33) | 3.97 (±0.01) | 13.40 (±0.18) | 7.02 (±0.17) | 14.49 (±0.53) | 1.48 (±0.03) | 4.90 (±0.15) | 1.59 (±0.02) | 3.57 (±0.10) | 0.85 (±0.02) | 0.67 (±0.04) |
| Chlorophyll-a (μgL−1) | 17.95 (±4.66) | 86.73 (±1.43) | 14.29 (±1.55) | 139.19 (±12.09) | 50.27 (±0.00) | 96.37 (±3.83) | 12.09 (±3.89) | 92.03 (±1.42) | 6.78 (±0.26) | 8.24 (±0.16) | 10.26 (±4.14) | 1.81 (±0.08) |
| Variable | Rainy | Variable | Dry | ||
|---|---|---|---|---|---|
| Dim1 | Dim2 | Dim1 | Dim2 | ||
| Temperature | 0.99286298 | 0.01413478 | Temperature | 0.73241485 | −0.43456149 |
| pH | −0.09129626 | 0.79169072 | pH | 0.86493133 | −0.47645186 |
| ORP | −0.06841088 | 0.61142919 | ORP | −0.74714234 | 0.32708385 |
| Conductivity | 0.96290487 | 0.25353582 | Conductivity | 0.83829755 | 0.53407154 |
| Turbidity | −0.45106079 | 0.71165828 | Turbidity | 0.85218413 | −0.38708075 |
| DO | −0.78753136 | −0.36912688 | DO | 0.15311384 | −0.91894482 |
| TDS | 0.96267064 | 0.25462677 | TDS | 0.83998185 | 0.53152241 |
| Chlorophyll a | 0.95351054 | −0.09248894 | Chlorophyll a | 0.90682814 | 0.06351206 |
| TP | 0.96125535 | 0.27431054 | TP | 0.81519443 | 0.47951963 |
| TN | 0.98131456 | 0.16997972 | TN | 0.81519397 | 0.55900840 |
| Depth | 0.85914491 | −0.34279742 | Depth | −0.05614826 | 0.78493412 |
| Transparency | 0.49713473 | −0.81801113 | Transparency | −0.78653772 | 0.39283687 |
| Sites | Rainy | Dry | ||
|---|---|---|---|---|
| TSI | Classification | TSI | Classification | |
| Tie (I) | 64.9 | Supereutrophic | 87.7 | Hypereutrophic |
| Tie (II) | 63.8 | Supereutrophic | 89.4 | Hypereutrophic |
| Tie (III) | 73.5 | Hypereutrophic | 82.4 | Hypereutrophic |
| Cap | 57.5 | Mesotrophic | 72.9 | Hypereutrophic |
| Sor | 52.5 | Mesotrophic | 61.5 | Eutrophic |
| Pei | 52.4 | Mesotrophic | 40.2 | Ultraoligotrophic |
| Specie | Tie (I) | Tie (II) | Tie (III) | Cap | Sor | Pei |
|---|---|---|---|---|---|---|
| CHARACIFORMES | ||||||
| Acestrorhynchidae | ||||||
| Acestrorhynchus lacustris (Lütken, 1875) | D | |||||
| Anostomidae | ||||||
| Leporinus friderici (Bloch, 1794) | D | R/D | ||||
| Leporinus lacustris (Amaral Campos, 1945) | R/D | |||||
| Megaleporinus obtusidens (Valenciennes, 1837) | R | |||||
| Schizodon intermedius (Garavello and Britski, 1990) | R/D | |||||
| Characidae | ||||||
| Astyanax lacustris (Lütken, 1875) | R/D | R/D | R/D | |||
| Psalidodon schubarti (Britski 1964) | R | |||||
| Roeboides descalvadensis (Fowler, 1932) | R/D | R | R/D | |||
| Curimatidae | ||||||
| Cyphocharax nagelii (Steindachner, 1881) | D | R | ||||
| Steindachnerina insculpta (Fernández-Yépez, 1948) | D | R | ||||
| Erythrinidae | ||||||
| Hoplias malabaricus (Bloch, 1794) | D | R/D | ||||
| Parodontidae | ||||||
| Apareiodon sp. | D | |||||
| Prochilodontidae | ||||||
| Prochilodus lineatus (Valenciennes, 1837) | D | R/D | D | R/D | D | R/D |
| Serrasalmidae | ||||||
| Serrasalmus maculatus (Kner, 1858) | D | |||||
| CICHLIFORMES | ||||||
| Cichlidae | ||||||
| Geophagus brasiliensis (Quoy and Gaimard, 1824) | D | D | ||||
| Oreochromis niloticus (Linnaeus, 1758) | D | |||||
| Saxatilia britskii (Kullander 1982) | D | |||||
| GYMNOTIFORMES | ||||||
| Gymnotidae | ||||||
| Gymnotus cuia (Craig, Malabarba, Crampton and Albert, 2018) | D | D | ||||
| SILURIFORMES | ||||||
| Callichthyidae | ||||||
| Hoplosternum littorale (Hancock, 1828) | R/D | D | R/D | D | R/D | |
| Loricariidae | ||||||
| Hypostomus ancistroides (Ihering, 1911) | D | D | D | |||
| Hypostomus hermanni (Ihering, 1905) | R/D | |||||
| Hypostomus regani (Ihering, 1905) | D | |||||
| Hypostomus strigaticeps (Regan, 1908) | D | |||||
| Proloricaria prolixa (Isbrücker and Nijssen, 1978) | R/D | / | ||||
| Pterygoplichthys ambrosettii (Holmberg, 1893) | R | R | ||||
| Total richness | 3 | 3 | 4 | 11 | 12 | 14 |
| Dry | |||||||
|---|---|---|---|---|---|---|---|
| Site | Tie (I) | Tie (II) | Tie (III) | Cap | Sor | Pei | |
| Rainy | Tie (I) | - | 0.2 | 0.2 | 0.66667 | 0.83333 | 0.71429 |
| Tie (II) | 1 | - | 0.3333 | 0.53846 | 0.69231 | 0.73333 | |
| Tie (III) | 0 | 1 | - | 0.69231 | 0.84615 | 0.6 | |
| Cap | 1 | 0.6 | 1 | - | 1 | 1 | |
| Sor | 1 | 1 | 1 | 0.55556 | - | 0.63636 | |
| Pei | 0.8333 | 0.81818 | 0.83333 | 0.57143 | 0.73333 | - | |
| Specie | Trophic Guild | Reference(s) |
|---|---|---|
| CHARACIFORMES | ||
| Acestrorhynchidae | ||
| Acestrorhynchus lacustris (Lütken, 1875) | Piscivore | [33,34] |
| Anostomidae | ||
| Leporinus friderici (Bloch, 1794) | Omnivore | [35,36] |
| Leporinus lacustris (Amaral Campos, 1945) | Omnivore | [36] |
| Megaleporinus obtusidens (Valenciennes, 1837) | Omnivore | [37] |
| Schizodon intermedius (Garavello and Britski, 1990) | Herbivore | [38] |
| Characidae | ||
| Astyanax lacustris (Lütken, 1875) | Omnivore | [37] |
| Psalidodon schubarti (Britski 1964) | Omnivore | [30] |
| Roeboides descalvadensis (Fowler, 1932) | Invertivore | [33] |
| Curimatidae | ||
| Cyphocharax nagelii (Steindachner, 1881) | Iliophagous | [39] |
| Steindachnerina insculpta (Fernández-Yépez, 1948) | Detritivore | [33] |
| Erythrinidae | ||
| Hoplias malabaricus (Bloch, 1794) | Piscivore | [35,36,37,40,41] |
| Parodontidae | ||
| Apareiodon sp. * | Algivore | [37] |
| Prochilodontidae | ||
| Prochilodus lineatus (Valenciennes, 1837) | Detritivore | [33,36] |
| Serrasalmidae | ||
| Serrasalmus maculatus (Kner, 1858) | Piscivore | [33,36,40] |
| CICHLIFORMES | ||
| Cichlidae | ||
| Geophagus brasiliensis (Quoy and Gaimard, 1824) | Omnivore | [34,41] |
| Oreochromis niloticus (Linnaeus, 1758) | Omnivore | [37,42] |
| Saxatilia britskii (Kullander 1982) | Insectivore | [43] |
| GYMNOTIFORMES | ||
| Gymnotidae | ||
| Gymnotus cuia (Craig, Malabarba, Crampton and Albert, 2018) * | Invertivore | [43] |
| SILURIFORMES | ||
| Callichthyidae | ||
| Hoplosternum littorale (Hancock, 1828) | Omnivore | [42] |
| Loricariidae | ||
| Hypostomus ancistroides (Ihering, 1911) | Detritivore | [43,44] |
| Hypostomus hermanni (Ihering, 1905) | Detritivore | [43] |
| Hypostomus regani (Ihering, 1905) | Detritivore | [43] |
| Hypostomus strigaticeps (Regan, 1908) | Detritivore | [43,44] |
| Proloricaria prolixa (Isbrücker and Nijssen, 1978) | Herbivore | [43] |
| Pterygoplichthys ambrosettii (Holmberg, 1893) | Detritivore | [33] |
| Variable | Rainy | Dry | ||||
|---|---|---|---|---|---|---|
| Pseudo-F | p | Prop. % | Pseudo-F | p | Prop. % | |
| Temperature | 2.0507 | 0.032 | 33.89 | 1.1573 | 0.391 | 22.44 |
| pH | 0.30005 | 0.937 | 6.98 | 1.3611 | 0.271 | 25.39 |
| ORP | 1.5062 | 0.124 | 27.35 | 0.90929 | 0.573 | 18.52 |
| Condutivity | 2.6735 | 0.039 | 40.06 | 1.7201 | 0.16 | 30.07 |
| Turbidity | 1.0828 | 0.401 | 21.30 | 1.7254 | 0.142 | 30.14 |
| DO | 3.7083 | 0.006 | 48.11 | 1.5284 | 0.23 | 27.65 |
| TDS | 2.7779 | 0.017 | 40.99 | 2.0837 | 0.118 | 34.25 |
| Chlorophyll a | 2.2769 | 0.017 | 36.28 | 1.5465 | 0.176 | 27.88 |
| TP | 2.6657 | 0.046 | 39.99 | 1.9401 | 0.096 | 32.66 |
| TN | 2.4214 | 0.071 | 37.71 | 1.5972 | 0.201 | 28.54 |
Disclaimer/Publisher’s Note: The statements, opinions and data contained in all publications are solely those of the individual author(s) and contributor(s) and not of MDPI and/or the editor(s). MDPI and/or the editor(s) disclaim responsibility for any injury to people or property resulting from any ideas, methods, instructions or products referred to in the content. |
© 2024 by the authors. Licensee MDPI, Basel, Switzerland. This article is an open access article distributed under the terms and conditions of the Creative Commons Attribution (CC BY) license (https://creativecommons.org/licenses/by/4.0/).
Share and Cite
Urbanski, B.; Nogueira, M. Excessive Eutrophication as a Chemical Barrier for Fish Fauna Dispersion: A Case Study in the Emblematic Tietê River (São Paulo, Brazil). Water 2024, 16, 1383. https://doi.org/10.3390/w16101383
Urbanski B, Nogueira M. Excessive Eutrophication as a Chemical Barrier for Fish Fauna Dispersion: A Case Study in the Emblematic Tietê River (São Paulo, Brazil). Water. 2024; 16(10):1383. https://doi.org/10.3390/w16101383
Chicago/Turabian StyleUrbanski, Bruna, and Marcos Nogueira. 2024. "Excessive Eutrophication as a Chemical Barrier for Fish Fauna Dispersion: A Case Study in the Emblematic Tietê River (São Paulo, Brazil)" Water 16, no. 10: 1383. https://doi.org/10.3390/w16101383
APA StyleUrbanski, B., & Nogueira, M. (2024). Excessive Eutrophication as a Chemical Barrier for Fish Fauna Dispersion: A Case Study in the Emblematic Tietê River (São Paulo, Brazil). Water, 16(10), 1383. https://doi.org/10.3390/w16101383

