Dynamic Changes in Landscape Pattern of Mangrove Wetland in Estuary Area Driven by Rapid Urbanization and Ecological Restoration: A Case Study of Luoyangjiang River Estuary in Fujian Province, China
Abstract
1. Introduction
2. Study Area
3. Data Sources and Processing
3.1. Data Source and Preprocessing
3.2. Information Extraction of Object-Oriented Taxonomy
3.3. Selection of Wetland Landscape Index
3.4. Accuracy Evaluation
4. Results
4.1. Variations in Landscape Components of Estuarine Wetland
4.2. Variations in Wetland Landscape Pattern
4.3. Transformation between Different Wetland Landscape Types
5. Discussion
5.1. Impacts of Rapid Urbanization on Landscape Pattern Change in Estuary Wetlands
5.2. Impact of Coastal Ecological Restoration of Coastal Wetland on Landscape Pattern Change
6. Conclusions
- (1)
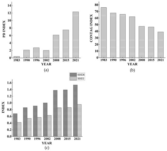
- From 1983 to 2021, the water area and mudflats in the study area decreased significantly, and the areas of mangroves and Spartina alterniflora increased most significantly. The overall PD of the landscape increased significantly, indicating the high fragmentation of the landscape in the study area. Except for water and artificial areas, the split index of other landscape types changed greatly, and the largest change was observed for mangroves, distributed in patches, and concentrated. The evenness and diversity indices of the coastal wetland landscapes exhibited increasing trends. The fragmentation and diversity of the landscape increased, and the contagion index decreased. The overall distribution of landscape patterns tended to be uniform and widely dispersed.
- (2)
- The main factors affecting changes in wetland landscape patterns in the study area were rapid urbanization and the implementation of ecological restoration projects. Over the past 40 years, with the continuous intensification of urbanization in Quanzhou City, the Luoyangjiang River estuary wetland has been damaged by the implementation of many wetland reclamation projects, and the wetland area has been significantly reduced. Since 2002, many ecological restoration projects, such as mangrove planting and Spartina alterniflora removal, have been conducted in many places in the Luoyangjiang River estuary wetland. The mangrove area has increased significantly, but the degree of wetland fragmentation has also increased in the study area, and the distribution of various types of wetland landscape has gradually become uniform.
- (3)
- To further promote the ecological restoration of coastal wetlands, the government of Fujian issued the “Action Plan for Eliminating Spartina alterniflora in Fujian Province”. This plan requires the removal of 9108 hm2 of Spartina alterniflora by the end of September 2023 and the scientific restoration of the mudflat after this removal by the end of 2024, of which 20% will be native plants (mangroves and other salt marsh plants), to further improve the stability and service function of the coastal wetland ecosystems [67]. According to a field survey, as of December 2022, Spartina alterniflora in the Luoyangjiang River estuary has been completely cleared. The large-scale removal of Spartina alterniflora and the planting of native plants have a significant impact on the landscape patterns of coastal wetlands. Therefore, the follow-up ecological restoration process should include a reasonable, scientific ecological restoration plan with regional characteristics to improve the landscape quality of coastal wetlands in the Luoyangjiang River estuary.
Author Contributions
Funding
Data Availability Statement
Acknowledgments
Conflicts of Interest
References
- Zedler, J.B.; Kercher, S. Wetland resources: Status, trends, ecosystem services, and restorability. Annu. Rev. Environ. Resour. 2005, 30, 39–74. [Google Scholar] [CrossRef]
- Kirwan, M.L.; Megonigal, J.P. Tidal wetland stability in the face of human impacts and sea-level rise. Nature 2013, 504, 53–60. [Google Scholar] [CrossRef] [PubMed]
- Li, X.; Bellerby, R.; Craft, C.; Widney, S.E. Coastal wetland loss, consequences, and challenges for restoration. Anthr. Coasts 2018, 1, 1–15. [Google Scholar] [CrossRef]
- Wang, F.; Lu, X.; Sanders, C.J.; Tang, J. Tidal wetland resilience to sea level rise increases their carbon sequestration capacity in United States. Nat. Commun. 2019, 10, 5434. [Google Scholar] [CrossRef]
- Fluet-Chouinard, E.; Stocker, B.D.; Zhang, Z.; Malhotra, A.; Melton, J.R.; Poulter, B.; Kaplan, J.O.; Goldewijk, K.K.; Siebert, S.; Minayeva, T.; et al. Extensive global wetland loss over the past three centuries. Nature 2023, 614, 281–286. [Google Scholar] [CrossRef]
- Jia, M.; Wang, Z.; Zhang, Y.; Mao, D.; Wang, C. Monitoring loss and recovery of mangrove forests during 42 years: The achievements of mangrove conservation in China. Int. J. Appl. Earth Obs. 2018, 73, 535–545. [Google Scholar] [CrossRef]
- OCDE; FAO. OECD-FAO Agricultural Outlook 2015; OECD Publishing: Paris, France, 2015; p. 143. [Google Scholar]
- Dan, X.; Liao, B.; Wu, Z.; Wu, H.; Bao, D.; Dan, W.; Liu, S. Resources, conservation status and main threats of mangrove wetlands in China. Ecol. Environ. Sci. 2016, 25, 1237–1243. (In Chinese) [Google Scholar]
- Das, S.; Vincent, J.R. Mangroves protected villages and reduced death toll during Indian supper cyclone. Proc. Natl. Acad. Sci. USA 2016, 106, 7357–7360. [Google Scholar] [CrossRef]
- Del Valle, A.; Eriksson, M.; Ishizawa, O.A.; Miranda, J.J. Mangroves protect coastal economic activity from hurricanes. Proc. Natl. Acad. Sci. USA 2020, 117, 265–270. [Google Scholar] [CrossRef]
- De Dominicis, M.; Wolf, J.; van Hespen, R.; Zheng, P.; Hu, Z. Mangrove forests can be an effective coastal defence in the Pearl River Delta, China. Commun. Earth Environ. 2023, 4, 13. [Google Scholar] [CrossRef]
- Alongi, D.M. Carbon cycling and storage in mangrove forests. Annu. Rev. Mar. Sci. 2014, 6, 195–219. [Google Scholar] [CrossRef] [PubMed]
- Zhou, C.; Mao, Q.; Xu, X.; Fnag, C.; Luo, Y.; Li, B. Preliminary Analysis of C Sequestration Potential of Blue Carbon Ecosystems on Chinese Coastal Zone. Sci. Sin. Vitae 2016, 46, 475–486. [Google Scholar]
- Song, S.; Ding, Y.; Li, W.; Meng, Y.; Zhou, J.; Gou, R.; Zhang, C.; Ye, S.; Saintilan, N.; Krauss, K.W.; et al. Mangrove reforestation provides greater blue carbon benefit than afforestation for mitigating global climate change. Nat. Commun. 2023, 14, 756. [Google Scholar] [CrossRef] [PubMed]
- Li, S.; Xie, T.; Pennings, S.C.; Wang, Y.; Craft, C.; Hu, M. A comparison of coastal habitat restoration projects in China and the United States. Sci. Rep. 2019, 9, 14388. [Google Scholar] [CrossRef]
- Su, J.; Friess, D.A.; Gasparatos, A. A meta-analysis of the ecological and economic outcomes of mangrove restoration. Nat. Commun. 2021, 12, 5050. [Google Scholar] [CrossRef]
- Sasmito, S.D.; Basyuni, M.; Kridalaksana, A.; Saragi-Sasmito, M.F.; Lovelock, C.; Murdiyarso, D. Challenges and opportunities for achieving sustainable development goals through restoration of Indonesia’s mangroves. Nat. Ecol. Evol. 2023, 7, 62–70. [Google Scholar] [CrossRef]
- Zhou, Z.; Li, H.; Huang, C.; Liu, Q.; Liu, G.; He, Y.; Yu, H. Review on dynamic monitoring of mangrove forestry using remote sensing. J. Geogr. Inf. Sci. 2018, 20, 1631–1643. [Google Scholar]
- Wang, H.; Ren, G.; Wu, P.; Liu, A.; Pan, L.; Ma, Y.; Ma, Y.; Wang, J. Analysis on the Remote Sensing Monitoring and Landscape Pattern Change of Mangrove in China from 1990 to 2019. J. Ocean Technol. 2020, 39, 1–12. (In Chinese) [Google Scholar]
- Jia, M.; Wang, Z.; Mao, D.; Huang, C.; Lu, C. Spatial-temporal changes of China’s mangrove forests over the past 50 years: An analysis towards the Sustainable Development Goals (SDGs). Chin. Sci. Bull. 2021, 66, 3886–3901. (In Chinese) [Google Scholar] [CrossRef]
- Zhang, Y.; Liao, B. The research status of ecological restoration technology of mangrove wetlands in China. Bull. Nat. Natl. Sci. Found. China 2022, 36, 412–419. (In Chinese) [Google Scholar]
- He, D.; Hong, W.; Hu, H.; Wu, C.; Chen, X. Modeling landscape pattern dynamics and their effects under different disturbances in Wuyishan Scenery District. Acta Ecol. Sin. 2004, 24, 1602–1610. [Google Scholar]
- Bai, J.; Ou, Y.; Yang, Z.; Cui, B.; Cui, L.; Wang, Q. Changes in wetland landscape patterns: A review. Prog. Geogr. 2005, 24, 36–45. [Google Scholar]
- Cui, L.J.; van Paddenburg, V.; Zhang, M.Y. Applications of RS, GIS and GPS technologies in research, inventory and management of wetlands in China. J. For. Res. 2005, 16, 317–322. [Google Scholar]
- Thu, P.M.; Populus, J. Status and changes of mangrove forest in Mekong Delta: Case study in Tra Vinh, Vietnam. Estuar. Coast. Shelf Sci. 2007, 71, 98–109. [Google Scholar] [CrossRef]
- Bai, J.; Ou, Y.; Cui, B.; Wang, Q.; Chen, H. Changes in landscape pattern of alpine wetlands on the Zoige Plateau in the past four decades. Acta Ecol. Sin. 2008, 28, 2245–2252. [Google Scholar]
- Mo, W. Study on remote sensing monitoring and landscape pattern dynamics of Quanzhou Bay coastal wetland during the past 20 years. Master’s Thesis, Fujian Agriculture and Forestry University, Fuzhou, China, 2017. (In Chinese). [Google Scholar]
- Ye, X.; Wang, A.; Ma, M.; Fang, J. Effects of high-intensity human activities on the environment variations of coastal wetland in the Quanzhou Bay, China. Mar. Sci. 2016, 40, 94–100. (In Chinese) [Google Scholar]
- Peng, J. Strategies for ecological restoration of estuary wetland in Quanzhou Bay. For. Prospect. Des. 2021, 41, 74–77. (In Chinese) [Google Scholar]
- Ye, G.; Tan, F.; Luo, C.; Le, T.; Liu, R. Change of Landscape Pattern in Quanzhou Estuary Wetlands. Wetl. Sci. 2010, 8, 360–365. (In Chinese) [Google Scholar]
- You, H.; Han, J.; Pan, D.; Xie, H.; Le, T.; Ma, J.; Huang, S.; Tan, F. Dynamic evaluation and driving forces of ecosystem services in Quanzhou Bay estuary wetland, China. Chin. J. Appl. Ecol. 2019, 30, 4286–4292. (In Chinese) [Google Scholar]
- Cui, L.; Li, W.; Zhang, M.; Wang, Y. Changes in landscape pattern of mangrove wetlands and their driving force in the Luoyang River estuary, Fujian Province. J. Beijing For. Univ. 2010, 32, 106–112. [Google Scholar]
- Li, Y. Ecology and Conservation of Estuary Wetland in Quanzhou Bay; China Environmental Science Press: Beijing, China, 2012; p. 142. [Google Scholar]
- Wu, C.; Cai, F.; Wu, J.; Zhao, G. Topographic and morphologic features in the coastal zone of Quanzhou Bay and their controlling factors. Mar. Geol. Quat. Geol. 2011, 31, 75–81. (In Chinese) [Google Scholar] [CrossRef]
- Li, L. Wetland and ramsar convention. World For. Res. 2001, 14, 1–7. (In Chinese) [Google Scholar]
- Chen, Q.; Luo, J.; Zhou, C.; Zheng, J.; Lu, X.; Shen, Z. Classification of remotely sensed imagery using multi-features based approach. Natl. Remote Sens. Bull. 2004, 8, 239–245. (In Chinese) [Google Scholar]
- Wu, J. Landscape Ecology: Pattern, Process, Scale and Grade, 2nd ed.; Higher Education Press: Beijing, China, 2007; p. 266. (In Chinese) [Google Scholar]
- Fu, B.; Chen, D. Landscape diversity typed and their ecological significance. Acta. Geogr. Sinica 1996, 51, 454–462. (In Chinese) [Google Scholar]
- Dong, Y.; Liu, S.; An, N.; Yin, Y.; Wang, J.; Qiu, Y. Landscape pattern in Da’an city of Jilin province based on landscape indices and local spatial autocorrelation analysis. J. Nat. Resour. 2015, 30, 1860–1871. (In Chinese) [Google Scholar]
- Han, S. Study on landscape pattern dynamics and driving forces in mangrove wetlands of Dongzhaigang Harbour, Hainan province. DSc Thesis, Beijing Forestry University, Beijing, China, 2012. [Google Scholar]
- Lin, P.; Fu, Q. Environmental Ecological and Economic Utilization of Mangroves in China; China Higher Education Press: Beijing, China, 2000; p. 215. [Google Scholar]
- Valiela, I.; Bowen, J.L.; York, J.K. Mangrove forests: One of the world’s threatened major tropical environments. Bioscience 2001, 51, 807–815. [Google Scholar] [CrossRef]
- Hagger, V.; Worthington, T.A.; Lovelock, C.E.; Adame, M.F.; Amano, T.; Brown, B.M.; Friess, D.A.; Landis, E.; Mumby, P.J.; Morrison, T.H.; et al. Drivers of global mangrove loss and gain in social-ecological systems. Nat. Commun. 2022, 13, 6373. [Google Scholar] [CrossRef]
- Lu, Y.; Xu, W.; Zhang, Z.; Zhang, L.; Xie, S.; Zhang, J.; Fan, X.; Ouyang, Z. Gap analysis of mangrove ecosystem conservation in China. Acta Ecol. Sin. 2019, 39, 684–691. [Google Scholar]
- Liu, L.; Wang, H.; Qi, Y. China’s coastal wetlands: Ecological challenges, restoration, and management suggestions. Reg. Stud. Mar. Sci. 2020, 37, 101337. [Google Scholar] [CrossRef]
- Zhang, X.Q. The trends, promises and challenges of urbanization in the world. Habitat. Int. 2016, 54, 241–252. [Google Scholar] [CrossRef]
- Wang, A.; Ye, X.; Zheng, B.; Zukkifley, M.T.M.; Wang, L.; Yu, D. Impact of rapid urbanization on the modern sedimentary environments in a semi-enclosed embayment: Tong’an Bay, southeast China coast. Mar. Georesour. Geotec. 2018, 36, 540–553. [Google Scholar] [CrossRef]
- Xiao, X.; Li, Y.; Tang, J.; Luo, F.; Shu, F.; Wang, L.; He, J.; Zou, X.; Chi, W.; Lin, Y. Coupling relationship of geomorphic evolution and marine hydrodynamics in the stae-specific development of urban bays: A modelling case study in Quanzhou Bay (1954–2017), China. J. Mar. Sci. Eng. 2022, 10, 1677. [Google Scholar] [CrossRef]
- Burak, S.; Doǧan, E.; Gazioǧlu, C. Impact of urbanization and tourism on coastal environment. Ocean Coast Manag. 2004, 47, 515–527. [Google Scholar] [CrossRef]
- Lin, T.; Xue, X.; Shi, L.; Gao, L. Urban spatial expansion and its impacts on island ecosystem services and landscape pattern: A case study of the island city of Xiamen, Southeast China. Ocean Coast Manag. 2013, 81, 90–96. [Google Scholar] [CrossRef]
- Xu, W.; Zhang, Z. Impact of coastal urbanization on marine pollution: Evidence from China. Int. J. Environ. Res. Public Health 2022, 19, 10718. [Google Scholar] [CrossRef]
- Quan, B.; Bai, Y.; Romkens, M.J.M.; Chang, K.; Song, H.; Guo, T.; Lei, S. Urbanland expansion in Quanzhou City, China, 1995–2010. Habitat. Int. 2015, 48, 131–139. [Google Scholar] [CrossRef]
- Pan, W.; Wang, S.; Wang, Y.; Yu, Y.; Luo, Y. Dynamical changes of land use/land cover and their impacts on ecological quality during China’s reform periods: A case study of Quanzhou city, China. PLoS ONE 2022, 17, e0278667. [Google Scholar] [CrossRef]
- Kusler, J.A.; Kentula, M.E. (Eds.) Wetland Creation and Restoration: The Status of the Science; Island Press: Washington, DC, USA, 1990; p. 166. [Google Scholar]
- Thayer, G.W. (Ed.) Restoring the Nation’s Marine Environment; Maryland Sea Grant College Publication: College Park, MD, USA, 1992; UM-SG-TS-92-06; p. 716. [Google Scholar]
- Thayer, G.W.; Kentula, M.E. Coastal restoration: Where have we been, where are we now, and where should we be going? J. Coast. Res. 2005, 40, 1–5. [Google Scholar]
- Liu, Z.; Cui, B.; He, Q. Shifting paradigms in coastal restoration: Six decades’ lessons from China. Sci. Total Environ. 2016, 566, 205–214. [Google Scholar] [CrossRef]
- Cadier, C.; Bayraktarov, E.; Piccolo, R.; Adame, M.F. Indicators of Coastal Wetlands Restoration Success: A Systematic Review. Front. Mar. Sci. 2020, 7, 600220. [Google Scholar] [CrossRef]
- Tan, Y.; Lv, D.; Cheng, J.; Wang, D.; Mo, W.; Xiang, Y. Valuation of environmental improvements in coastal wetland restoration: A choice experiment approach. Glob. Ecol. Conserv. 2018, 15, e00440. [Google Scholar] [CrossRef]
- Wang, X.; Xiao, X.; Xu, X.; Zou, Z.; Chen, B.; Qin, Y.; Zhang, X.; Dong, J.; Liu, D.; Pan, L.; et al. Rebound in China’s coastal wetlands following conservation and restoration. Nat. Sustain. 2021, 4, 1076–1083. [Google Scholar] [CrossRef]
- Liu, W.; Cui, L.; Guo, Z.; Wang, D.; Zhang, M. Wetland ecosystem health improvement from ecological conservation and restoration offset the decline from socio-economic development. Land Degrad. Dev. 2023, 34, 283–295. [Google Scholar] [CrossRef]
- Huang, C.; Fang, Z.; Chi, X. Ecological Issues and Countermeasures of the Quanzhouwan Wetland Nature Reserve in Fujian Province. For. Resour. Manag. 2003, 1, 45–47. [Google Scholar]
- Cai, N. Protection status and countermeasures of estuary wetland in Quanzhou Bay. Mod. Agric. Sci. Technol. 2009, 21, 253–254. (In Chinese) [Google Scholar]
- Liu, M.; Mao, D.; Wang, Z.; Li, L.; Man, W.; Jia, M.; Ren, C.; Zhang, Y. Rapid invasion of Spartina alterniflora in the coastal zone of China’s mainland: New observations from Landsat OLI images. Remote Sens. 2018, 10, 1933. [Google Scholar] [CrossRef]
- Meng, W.; Feagin, R.A.; Innocenti, R.A.; Hu, B.; He, M.; Li, H. Invasion and ecological effects of exotic smooth cordgrass Spartina alterniflora in China. Ecol. Eng. 2020, 143, 105670. [Google Scholar] [CrossRef]
- Mao, D.; Liu, M.; Wang, Z.; Li, L.; Man, W.; Jia, M.; Zhang, Y. Rapid invasion of Spartina alterniflora in the coastal zone of mainland China: Spatiotemporal patterns and human prevention. Sensors 2019, 19, 2038. [Google Scholar] [CrossRef]
- People’s Government of Fujian Province. Action Plan for Eliminating Spartina alterniflora in Fujian Province. 2022. Available online: https://gdj.fujian.gov.cn/gkai/fgwj/202210/t20221017_6017441.htm (accessed on 17 October 2022).






| Period | Sensor Category | Imaging Time | Cloud Cover (%) | Tidal Information |
|---|---|---|---|---|
| 1983 | MSS | 9–27 12:27:07 | 0 | 1 h after Low tide |
| 1990 | TM | 7–20 06:46:45 | 0 | 1 h after low tide |
| 1996 | TM | 12–11 14:36:25 | 0 | Low tide |
| 2002 | TM | 1–10 14:29:17 | 0 | Low tide |
| 2008 | ETM | 12–20 15:29:04 | 0 | Low tide |
| 2015 | ETM | 8–2 21:10:41 | 0.2 | 2 h after low tide |
| 2021 | OLI | 2–15 07:01:38 | 0.2 | 2 h after low tide |
| Point Number | Classification Point Type | Classification Result Graph | Actual Point Type | High-Resolution Images |
|---|---|---|---|---|
| 41 | Spartina alterniflora | ![]() | Mudflats | ![]() |
| 6 | Spartina alterniflora | ![]() | Mudflats | ![]() |
| 28 | Mudflats | ![]() | Water | ![]() |
| 31 | Mangroves | ![]() | Spartina alterniflora | ![]() |
| Wetland Type | CA (hm²) | PLAND (%) | NP (n) | PD (n/hm2) | LSI | SPLIT |
|---|---|---|---|---|---|---|
| Mudflat | 816.77 | 23.97 | 180 | 5.36 | 20.36 | 134.08 |
| Water area | 966.64 | 28.37 | 46 | 1.37 | 7.99 | 13.44 |
| Mangrove | 251.14 | 7.38 | 43 | 1.28 | 7.39 | 824.69 |
| Spartina alterniflora | 676.34 | 19.85 | 109 | 3.25 | 15.28 | 278.64 |
| Artificial surface | 696.18 | 20.43 | 69 | 2.06 | 8.23 | 48.33 |
| Year | Total Area (hm²) | Water | Mudflats | Spartina alterniflora | Artificial Surface | Mangroves | |||||
|---|---|---|---|---|---|---|---|---|---|---|---|
| Area (hm²) | Percentage (%) | Area (hm2) | Percentage (%) | Area (hm²) | Percentage (%) | Area (hm²) | Percentage (%) | Area (hm²) | Percentage (%) | ||
| 1983 | 3348.63 | 1168.36 | 34.89 | 2163.74 | 64.61 | 1.73 | 0 | 11.69 | 0.35 | 3.11 | 0.09 |
| 1990 | 3328.41 | 1088.00 | 32.69 | 2041.75 | 61.34 | 20.39 | 0.61 | 169.17 | 5.08 | 9.10 | 0.28 |
| 1996 | 3353.30 | 1091.69 | 32.56 | 2010.36 | 59.95 | 41.07 | 1.22 | 199.93 | 5.96 | 10.25 | 0.31 |
| 2002 | 3354.80 | 940.38 | 28.03 | 1994.69 | 59.46 | 87.32 | 2.60 | 317.72 | 9.47 | 14.69 | 0.44 |
| 2008 | 3361.88 | 1036.80 | 30.84 | 1279.12 | 38.05 | 365.18 | 10.86 | 584.76 | 17.39 | 96.02 | 2.86 |
| 2015 | 3292.94 | 1152.06 | 34.98 | 1028.51 | 31.23 | 322.96 | 9.81 | 695.00 | 21.11 | 94.41 | 2.87 |
| 2021 | 3407.07 | 966.64 | 28.37 | 816.77 | 23.97 | 676.34 | 19.85 | 696.18 | 20.43 | 251.14 | 7.38 |
| Index | ||||
|---|---|---|---|---|
| Year | Patch Density (n/hm2) | Spread Index | Shannon’s Diversity Index | Shannon’s Evenness Index |
| 1983 | 0.42 | 75.90 | 0.68 | 0.42 |
| 1990 | 2.13 | 67.79 | 0.86 | 0.54 |
| 1996 | 2.74 | 65.75 | 0.91 | 0.57 |
| 2002 | 2.03 | 62.18 | 1.00 | 0.63 |
| 2008 | 6.13 | 47.53 | 1.38 | 0.86 |
| 2015 | 7.50 | 46.58 | 1.39 | 0.86 |
| 2021 | 13.32 | 39.05 | 1.54 | 0.95 |
| Type | Mangroves | Spartina alterniflora | Artificial Surface | Water | Mudflats | Total |
|---|---|---|---|---|---|---|
| Mangroves | 0.00 | 0.00 | 0.65 | 0.01 | 2.63 | 3.28 |
| Spartina alterniflora | 0.00 | 0.00 | 0.00 | 0.00 | 1.44 | 1.44 |
| Artificial surface | 0.00 | 0.00 | 9.41 | 0.26 | 0.60 | 10.27 |
| Water | 0.00 | 5.14 | 21.13 | 861.27 | 276.20 | 1163.74 |
| Mudflats | 13.05 | 81.62 | 266.71 | 72.51 | 1688.46 | 2122.35 |
| Total | 13.05 | 86.76 | 297.90 | 934.04 | 1969.33 | 3301.08 |
| Type | Mangroves | Spartina alterniflora | Artificial Surface | Water | Mudflats | Total |
|---|---|---|---|---|---|---|
| Mangroves | 9.44 | 0.27 | 0.58 | 2.69 | 1.59 | 14.58 |
| Spartina alterniflora | 11.15 | 25.68 | 27.17 | 1.04 | 21.73 | 86.76 |
| Artificial surface | 7.18 | 30.66 | 213.33 | 8.04 | 44.34 | 303.56 |
| Water | 1.38 | 17.19 | 11.60 | 825.83 | 85.79 | 941.85 |
| Mudflats | 225.31 | 595.92 | 377.47 | 129.23 | 653.70 | 1981.64 |
| Total | 254.47 | 669.72 | 630.21 | 966.84 | 807.16 | 3328.39 |
Disclaimer/Publisher’s Note: The statements, opinions and data contained in all publications are solely those of the individual author(s) and contributor(s) and not of MDPI and/or the editor(s). MDPI and/or the editor(s) disclaim responsibility for any injury to people or property resulting from any ideas, methods, instructions or products referred to in the content. |
© 2023 by the authors. Licensee MDPI, Basel, Switzerland. This article is an open access article distributed under the terms and conditions of the Creative Commons Attribution (CC BY) license (https://creativecommons.org/licenses/by/4.0/).
Share and Cite
Yang, Y.; Ye, X.; Wang, A. Dynamic Changes in Landscape Pattern of Mangrove Wetland in Estuary Area Driven by Rapid Urbanization and Ecological Restoration: A Case Study of Luoyangjiang River Estuary in Fujian Province, China. Water 2023, 15, 1715. https://doi.org/10.3390/w15091715
Yang Y, Ye X, Wang A. Dynamic Changes in Landscape Pattern of Mangrove Wetland in Estuary Area Driven by Rapid Urbanization and Ecological Restoration: A Case Study of Luoyangjiang River Estuary in Fujian Province, China. Water. 2023; 15(9):1715. https://doi.org/10.3390/w15091715
Chicago/Turabian StyleYang, Yuxin, Xiang Ye, and Aijun Wang. 2023. "Dynamic Changes in Landscape Pattern of Mangrove Wetland in Estuary Area Driven by Rapid Urbanization and Ecological Restoration: A Case Study of Luoyangjiang River Estuary in Fujian Province, China" Water 15, no. 9: 1715. https://doi.org/10.3390/w15091715
APA StyleYang, Y., Ye, X., & Wang, A. (2023). Dynamic Changes in Landscape Pattern of Mangrove Wetland in Estuary Area Driven by Rapid Urbanization and Ecological Restoration: A Case Study of Luoyangjiang River Estuary in Fujian Province, China. Water, 15(9), 1715. https://doi.org/10.3390/w15091715









