Partial Nitrification Characteristics of an Immobilized Carrier in Municipal Wastewater under Low-Temperature Shock: The Role of the Nitrifying Bacterial Community Structure
Abstract
1. Introduction
2. Materials and Methods
2.1. Preparation of the Partial-Nitrification-Immobilized Carrier with Different Nitrifying Bacterial Communities
2.2. Partial-Nitrification-Immobilized Carrier Reactor Operation
2.2.1. Batch Experiments
2.2.2. Low-Temperature Shock Experiment
2.3. Wastewater Characteristics
2.4. Analytical Methods
2.4.1. Wastewater Quality Analysis
2.4.2. High-Throughput Sequencing
2.5. Calculations
3. Results and Discussion
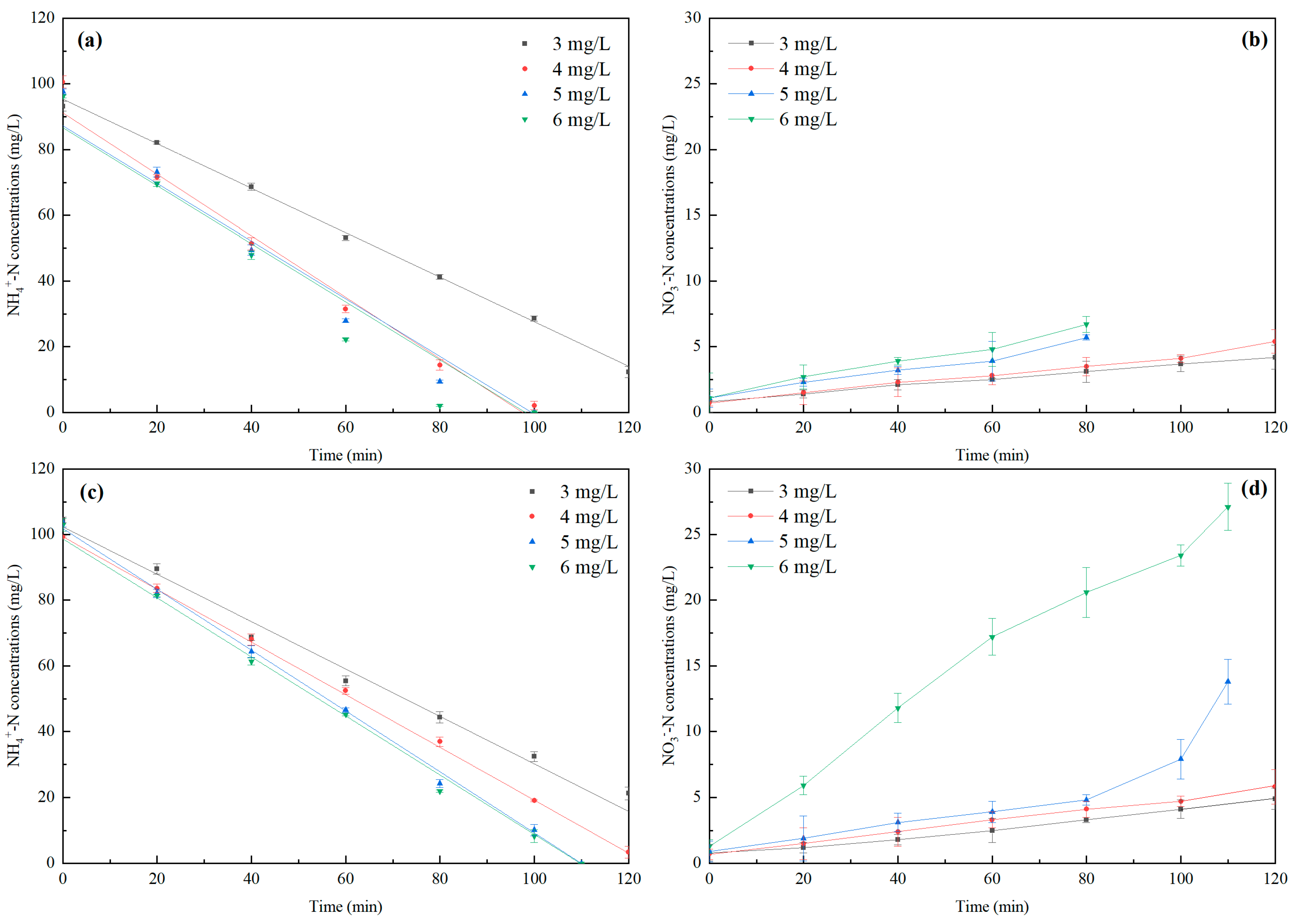
3.1. Effects of the Nitrifying Bacterial Community Structure on Partial Nitrification in the Immobilized Carrier
3.2. Effects of Low-Temperature Shock on Partial Nitrification
3.2.1. Pollutant Removal Performance and Partial Nitrification Characteristics
3.2.2. Typical Operating Cycle Tests
3.3. Microbial Community Structure of the Partial-Nitrification-Immobilized Carrier under Low-Temperature Shock
4. Conclusions
Author Contributions
Funding
Data Availability Statement
Conflicts of Interest
References
- Nsenga Kumwimba, M.; Lotti, T.; Senel, E.; Li, X.; Suanon, F. Anammox-based processes: How far have we come and what work remains? A review by bibliometric analysis. Chemosphere 2020, 238, 124627. [Google Scholar] [CrossRef] [PubMed]
- Deng, S.; Peng, Y.; Zhang, L.; Li, W. Advanced nitrogen removal from municipal wastewater via two-stage partial nitrification-simultaneous anammox and denitrification (PN-SAD) process. Bioresour. Technol. 2020, 304, 122955. [Google Scholar] [CrossRef] [PubMed]
- Ma, B.; Wang, S.; Cao, S.; Miao, Y.; Jia, F.; Du, R.; Peng, Y. Biological nitrogen removal from sewage via anammox: Recent advances. Bioresour. Technol. 2016, 200, 981–990. [Google Scholar] [CrossRef] [PubMed]
- Du, R.; Cao, S.; Zhang, H.; Li, X.; Peng, Y. Flexible Nitrite Supply Alternative for Mainstream Anammox: Advances in Enhancing Process Stability. Environ. Sci. Technol. 2020, 54, 6353–6364. [Google Scholar] [CrossRef] [PubMed]
- Jin, P.; Li, B.; Mu, D.; Li, X.; Peng, Y. High-efficient nitrogen removal from municipal wastewater via two-stage nitritation/anammox process: Long-term stability assessment and mechanism analysis. Bioresour. Technol. 2019, 271, 150–158. [Google Scholar] [CrossRef] [PubMed]
- Wang, J.L.; Yang, N. Partial nitrification under limited dissolved oxygen conditions. Process Biochem. 2004, 39, 1223–1229. [Google Scholar]
- Sinha, B.; Annachhatre, A.P. Partial nitrification—Operational parameters and microorganisms involved. Rev. Environ. Sci. Bio/Technol. 2007, 6, 285–313. [Google Scholar] [CrossRef]
- Miao, Y.; Zhang, L.; Yang, Y.; Peng, Y.; Li, B.; Wang, S.; Zhang, Q. Start-up of single-stage partial nitrification-anammox process treating low-strength swage and its restoration from nitrate accumulation. Bioresour. Technol. 2016, 218, 771–779. [Google Scholar] [CrossRef]
- Bian, W.; Zhang, S.; Zhang, Y.; Li, W.; Kan, R.; Wang, W.; Zheng, Z.; Li, J. Achieving nitritation in a continuous moving bed biofilm reactor at different temperatures through ratio control. Bioresour. Technol. 2017, 226, 73–79. [Google Scholar] [CrossRef]
- Wang, Q.; Duan, H.; Wei, W.; Ni, B.; Laloo, A.; Yuan, Z. Achieving Stable Mainstream Nitrogen Removal via the Nitrite Pathway by Sludge Treatment Using Free Ammonia. Environ. Sci. Technol. 2017, 51, 9800–9807. [Google Scholar] [CrossRef]
- Duan, H.; Ye, L.; Lu, X.; Yuan, Z. Overcoming Nitrite Oxidizing Bacteria Adaptation through Alternating Sludge Treatment with Free Nitrous Acid and Free Ammonia. Environ. Sci. Technol. 2019, 53, 1937–1946. [Google Scholar] [CrossRef] [PubMed]
- Isaka, K.; Kimura, Y.; Matsuura, M.; Osaka, T.; Tsuneda, S. First full-scale nitritation-anammox plant using gel entrapment technology for ammonia plant effluent. Biochem. Eng. J. 2017, 122, 115–122. [Google Scholar] [CrossRef]
- Kunapongkiti, P.; Limpiyakorn, T.; Sonthiphand, P.; Rongsayamanont, C. Partial nitrification in entrapped-cell-based reactors with two different cell-to-matrix ratios: Performance, microenvironment, and microbial community. J. Environ. Sci. Health Part A 2019, 54, 874–883. [Google Scholar] [CrossRef] [PubMed]
- Kunapongkiti, P.; Rongsayamanont, C.; Nayramitsattha, P.; Limpiyakorn, T. Application of cell immobilization technology to promote nitritation: A review. Environ. Eng. Res. 2020, 25, 807–818. [Google Scholar] [CrossRef]
- Liu, C.; Yu, D.; Wang, Y.; Chen, G.; Tang, P.; Huang, S. A novel control strategy for the partial nitrification and anammox process (PN/A) of immobilized particles: Using salinity as a factor. Bioresour. Technol. 2020, 302, 122864. [Google Scholar] [CrossRef]
- Rongsayamanont, C.; Limpiyakorn, T.; Khan, E. Effects of inoculum type and bulk dissolved oxygen concentration on achieving partial nitrification by entrapped-cell-based reactors. Bioresour. Technol. 2014, 164, 254–263. [Google Scholar] [CrossRef]
- Wang, J.; Yang, H.; Liu, X.; Wang, J.; Chang, J. The impact of temperature and dissolved oxygen (DO) on the partial nitrification of immobilized fillers, and application in municipal wastewater. RSC Adv. 2020, 1, 33721–37194. [Google Scholar] [CrossRef]
- Wang, J.; Yang, H.; Zhang, F.; Su, Y.; Wang, S. Activated sludge under free ammonia treatment using gel immobilization technology for long-term partial nitrification with different initial biomass. Process Biochem. 2020, 99, 282–289. [Google Scholar] [CrossRef]
- Le, C.; Wu, J.; Li, P.; Wang, X.; Zhu, N.; Wu, P.; Yang, B. Decolorization of anthraquinone dye Reactive Blue 19 by the combination of persulfate and zero-valent iron. Water Sci. Technol. 2011, 3, 64. [Google Scholar] [CrossRef]
- Lin, Q.; Ding, J.; Yang, Y.; Sun, F.; Shen, C.; Lin, H.; Su, X. Simultaneous adsorption and biodegradation of polychlorinated biphenyls using resuscitated strain Streptococcus sp. SPC0 immobilized in polyvinyl alcohol-sodium alginate. Sci. Total Environ. 2023, 868, 161620. [Google Scholar] [CrossRef]
- Wang, J.; Zhang, S.; Li, J.; Yang, H. Municipal wastewater treatment via the two-stage partial nitrification-anammox (PN/A) process with gel immobilization. J. Water Process Eng. 2022, 50, 103267. [Google Scholar] [CrossRef]
- Gu, S.; Wang, S.; Yang, Q.; Yang, P.; Peng, Y. Start up partial nitrification at low temperature with a real-time control strategy based on blower frequency and pH. Bioresour. Technol. 2012, 112, 34–41. [Google Scholar] [CrossRef] [PubMed]
- Guo, J.; Peng, Y.; Huang, H.; Wang, S.; Ge, S.; Zhang, J.; Wang, Z. Short and long-term effects of temperature on partial nitrification in a sequencing batch reactor treating domestic wastewater. J. Hazard. Mater. 2010, 179, 471–479. [Google Scholar] [CrossRef] [PubMed]
- Bao, R.; Yu, S.; Shi, W.; Zhang, X.; Wang, Y. Aerobic granules formation and nutrients removal characteristics in sequencing batch airlift reactor (SBAR) at low temperature. J. Hazard. Mater. 2009, 168, 1334–1340. [Google Scholar] [CrossRef] [PubMed]
- Bassin, J.P.; Abbas, B.; Vilela, C.L.S.; Kleerebezem, R.; Muyzer, G.; Rosado, A.S.; van Loosdrecht, M.C.M.; Dezotti, M. Tracking the dynamics of heterotrophs and nitrifiers in moving-bed biofilm reactors operated at different COD/N ratios. Bioresour. Technol. 2015, 192, 131–141. [Google Scholar] [CrossRef] [PubMed]
- Paredes, D.; Kuschk, P.; Mbwette, T.S.A.; Stange, F.; Müller, R.A.; Köser, H. New Aspects of Microbial Nitrogen Transformations in the Context of Wastewater Treatment—A Review. Eng. Life Sci. 2007, 7, 13–25. [Google Scholar] [CrossRef]
- APHA. Standard Methods for the Examination of Water and Wastewater, 21st ed.; American Public Health Association: Washington, DC, USA, 2005. [Google Scholar]
- Banerjee, A.; Elefsiniotis, P.; Tuhtar, D. The effect of addition of potato-processing wastewater on the acidogenesis of primary sludge under varied hydraulic retention time and temperature. J. Biotechnol. 1999, 72, 203–212. [Google Scholar] [CrossRef]
- Maharaj, I.; Elefsiniotis, P. The role of HRT and low temperature on the acid-phase anaerobic digestion of municipal and industrial wastewaters. J. Biotechnol. 2001, 3, 191–197. [Google Scholar] [CrossRef]
- Jone, D.; Morit, Y.; Koops, H. A new marine ammonium-oxidizing bacterium, Nitrosomonas cryotolerans Sp. nov. Can. J. Microbiol. 1988, 10, 1122–1128. [Google Scholar] [CrossRef]
- Cao, Y.; van Loosdrecht, M.C.M.; Daigger, G.T. Mainstream partial nitritation–anammox in municipal wastewater treatment: Status, bottlenecks, and further studies. Appl. Microbiol. Biotechnol. 2017, 101, 1365–1383. [Google Scholar] [CrossRef]
- Perez, J.; Lotti, T.; Kleerebezem, R.; Picioreanu, C.; van Loosdrecht, M.C. Outcompeting nitrite-oxidizing bacteria in single-stage nitrogen removal in sewage treatment plants: A model-based study. Water Res. 2014, 66, 208–218. [Google Scholar] [CrossRef] [PubMed]
- Ge, S.; Wang, S.; Yang, X.; Qiu, S.; Li, B.; Peng, Y. Detection of nitrifiers and evaluation of partial nitrification for wastewater treatment: A review. Chemosphere 2015, 140, 85–98. [Google Scholar] [CrossRef] [PubMed]
- Xu, H.; Wang, C.; Liang, Z.; He, L.; Wu, W. The structure and component characteristics of partial nitrification biofilms under autotrophic and heterotrophic conditions. Appl. Microbiol. Biotechnol. 2015, 99, 3673–3683. [Google Scholar] [CrossRef] [PubMed]
- Li, X.; Lu, M.; Huang, Y.; Yuan, Y.; Yuan, Y. Influence of seasonal temperature change on autotrophic nitrogen removal for mature landfill leachate treatment with high-ammonia by partial nitrification-Anammox process. J. Environ. Sci. 2021, 102, 291–300. [Google Scholar] [CrossRef]
- Liu, X.; Kim, M.; Nakhla, G.; Andalib, M.; Fang, Y. Partial nitrification-reactor configurations, and operational conditions: Performance analysis. J. Environ. Chem. Eng. 2020, 8, 103984. [Google Scholar] [CrossRef]
- Hailin Tian, I.A.F.E.; Mercedes Ballesteros, C.G.I.A. Acclimation to extremely high ammonia levels in continuous biomethanation process and the associated microbial community dynamics. Bioresour. Technol. 2018, 247, 616–623. [Google Scholar] [CrossRef]
- Mavriou, Z.; Alexandropoulou, I.; Melidis, P.; Karpouzas, D.; Ntougias, S. Biotreatment and bacterial succession in an upflow immobilized cell bioreactor fed with fludioxonil wastewater. Environ. Sci. Pollut. Res. Int. 2021, 28, 3774–3786. [Google Scholar] [CrossRef]
- Mcilroy, S.J.; Starnawska, A.; Starnawski, P.; Saunders, A.M.; Nierychlo, M.; Nielsen, P.H.; Nielsen, J.L. Identification of active denitrifiers in full-scale nutrient removal wastewater treatment systems. Environ. Microbiol. 2016, 18, 50–64. [Google Scholar] [CrossRef]
- Zhao, W.; Bi, X.; Peng, Y.; Bai, M. Research advances of the phosphorus-accumulating organisms of Candidatus Accumulibacter, Dechloromonas and Tetrasphaera: Metabolic mechanisms, applications and influencing factors. Chemosphere 2022, 307, 135675. [Google Scholar] [CrossRef]






Disclaimer/Publisher’s Note: The statements, opinions and data contained in all publications are solely those of the individual author(s) and contributor(s) and not of MDPI and/or the editor(s). MDPI and/or the editor(s) disclaim responsibility for any injury to people or property resulting from any ideas, methods, instructions or products referred to in the content. |
© 2023 by the authors. Licensee MDPI, Basel, Switzerland. This article is an open access article distributed under the terms and conditions of the Creative Commons Attribution (CC BY) license (https://creativecommons.org/licenses/by/4.0/).
Share and Cite
Wang, J.; Yang, L.; Zhang, Y.; Zhang, H.; Liu, J. Partial Nitrification Characteristics of an Immobilized Carrier in Municipal Wastewater under Low-Temperature Shock: The Role of the Nitrifying Bacterial Community Structure. Water 2023, 15, 1714. https://doi.org/10.3390/w15091714
Wang J, Yang L, Zhang Y, Zhang H, Liu J. Partial Nitrification Characteristics of an Immobilized Carrier in Municipal Wastewater under Low-Temperature Shock: The Role of the Nitrifying Bacterial Community Structure. Water. 2023; 15(9):1714. https://doi.org/10.3390/w15091714
Chicago/Turabian StyleWang, Jiawei, Lixinrui Yang, Yan Zhang, Haiping Zhang, and Jiaju Liu. 2023. "Partial Nitrification Characteristics of an Immobilized Carrier in Municipal Wastewater under Low-Temperature Shock: The Role of the Nitrifying Bacterial Community Structure" Water 15, no. 9: 1714. https://doi.org/10.3390/w15091714
APA StyleWang, J., Yang, L., Zhang, Y., Zhang, H., & Liu, J. (2023). Partial Nitrification Characteristics of an Immobilized Carrier in Municipal Wastewater under Low-Temperature Shock: The Role of the Nitrifying Bacterial Community Structure. Water, 15(9), 1714. https://doi.org/10.3390/w15091714
