The Use of Mixed Composed Amendments to Improve Soil Water Content and Peach Growth (Prunus persica (L.) Batsch) in a Mediterranean Environment
Abstract
1. Introduction
2. Materials and Methods
2.1. Experimental Site and Crop Management
2.2. Experimental Design
2.3. Soil Water Monitoring
2.3.1. Soil Water Content
2.3.2. Relative Extractable Soil Water (REW)
2.4. Soil Laboratory Measurements
2.5. Plant Water Monitoring
2.5.1. Stem Water Potentials and Stomatal Conductance
2.5.2. Fruit and Shoots Growth
2.6. Statistical Analyses
3. Results and Discussion
3.1. Weather Conditions
3.1.1. Soil Water Content
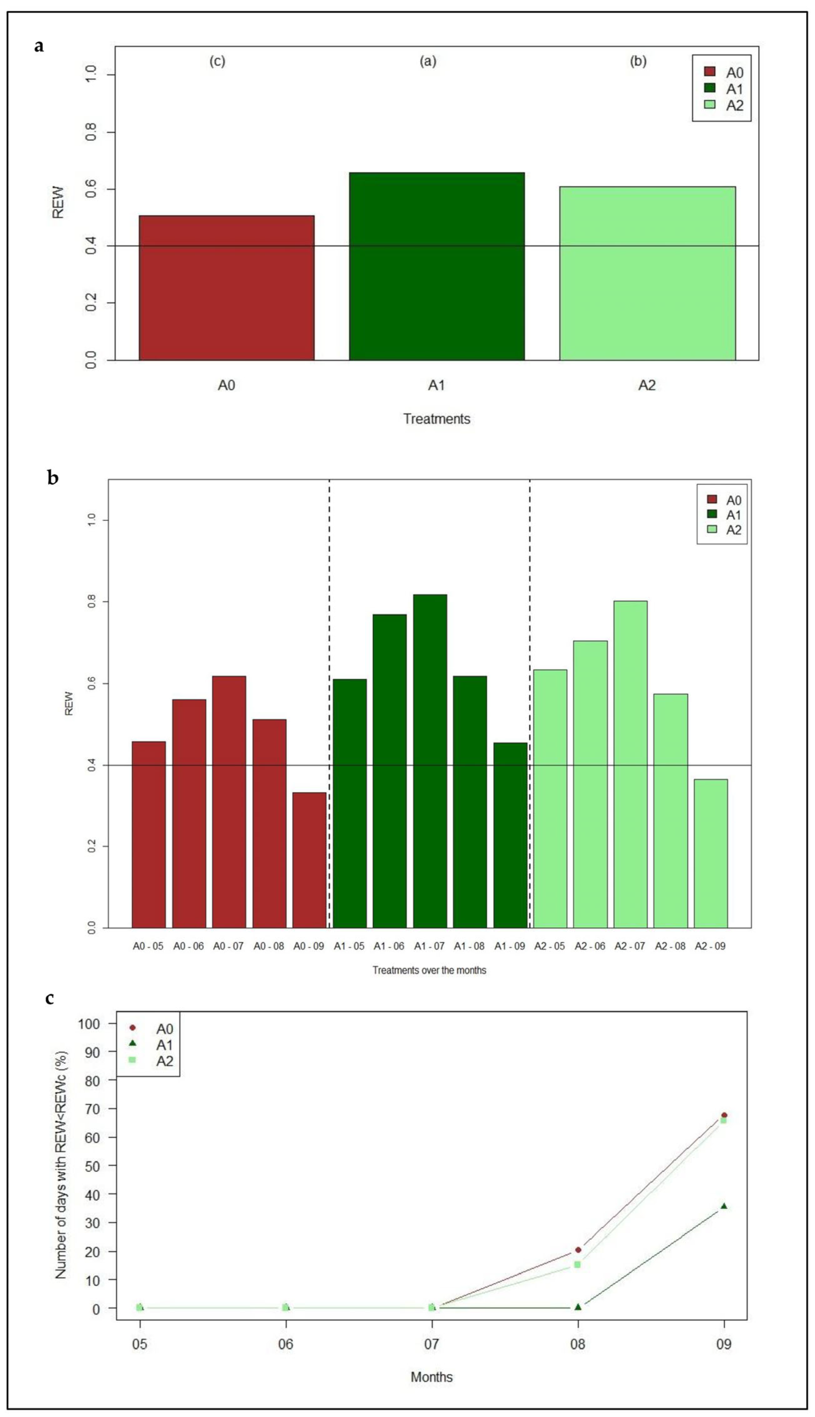
3.1.2. Relative Extractable Water
3.2. Total Organic Carbon
3.3. Plant Water Monitoring
3.3.1. Stem Water Potentials and Stomatal Conductance
3.3.2. Sensitivity of Plant Water Status Indicators
3.4. Fruit and Shoot Growth
4. Conclusions
Author Contributions
Funding
Data Availability Statement
Acknowledgments
Conflicts of Interest
References
- Bleu, U. UNEP/MAP-Plan Bleu: State of the Environment and Development in the Mediterranean. Athens 2009. Available online: https://mcc.jrc.ec.europa.eu/documents/201607121602.pdf (accessed on 24 April 2023).
- Change, Intergovernmental Panel on Climate. Ipcc. Clim. Change 2014. Available online: https://www.ipcc.ch/site/assets/uploads/2018/02/SYR_AR5_FINAL_full.pdf (accessed on 24 April 2023).
- Madsen, H.; Lawrence, D.; Lang, M.; Martinkova, M.; Kjeldsen, T. Review of trend analysis and climate change projections of extreme precipitation and floods in Europe. J. Hydrol. 2014, 519, 3634–3650. [Google Scholar] [CrossRef]
- Fiori, E.; Comellas, A.; Molini, L.; Rebora, N.; Siccardi, F.; Gochis, D.; Tanelli, S.; Parodi, A. Analysis and hindcast simulations of an extreme rainfall event in the Mediterranean area: The Genoa 2011 case. Atmos. Res. 2014, 138, 13–29. [Google Scholar] [CrossRef]
- Fahad, S.; Hussain, S.; Saud, S.; Tanveer, M.; Bajwa, A.A.; Hassan, S.; Shah, A.N.; Ullah, A.; Wu, C.; Khan, F.A. A biochar application protects rice pollen from high-temperature stress. Plant Physiol. Biochem. 2015, 96, 281–287. [Google Scholar] [CrossRef]
- Trenberth, K.E. Atmospheric moisture residence times and cycling: Implications for rainfall rates and climate change. Clim. Chang. 1998, 39, 667–694. [Google Scholar] [CrossRef]
- Findell, K.L.; Eltahir, E.A. An analysis of the soil moisture-rainfall feedback, based on direct observations from Illinois. Water Resour. Res. 1997, 33, 725–735. [Google Scholar] [CrossRef]
- Wallace, J. Increasing agricultural water use efficiency to meet future food production. Agric. Ecosyst. Environ. 2000, 82, 105–119. [Google Scholar] [CrossRef]
- Wang, S.; Wang, H.; Hafeez, M.B.; Zhang, Q.; Yu, Q.; Wang, R.; Wang, X.; Li, J. No-tillage and subsoiling increased maize yields and soil water storage under varied rainfall distribution: A 9-year site-specific study in a semi-arid environment. Field Crops Res. 2020, 255, 107867. [Google Scholar] [CrossRef]
- Masri, Z.; Ryan, J. Soil organic matter and related physical properties in a Mediterranean wheat-based rotation trial. Soil Tillage Res. 2006, 87, 146–154. [Google Scholar] [CrossRef]
- Stocker, T.F. Climate Change 2013: The Physical Science Basis: Summary for Policymakers, a Report of Working Group I of the IPCC, Technical Summary, a Report Accepted by Working Group I of the IPCC But Not Approved in Detail and Frequently Asked Questions: Part of the Working Group I Contribution to the Fifth Assessment Report of the Intergovernmental Panel on Climate Change; Intergovernmental Panel on Climate Change: Geneva, Switzerland, 2013. [Google Scholar]
- González-Hidalgo, J.C.; Peña-Monné, J.L.; de Luis, M. A review of daily soil erosion in Western Mediterranean areas. Catena 2007, 71, 193–199. [Google Scholar] [CrossRef]
- Philandras, C.; Nastos, P.; Kapsomenakis, J.; Douvis, K.; Tselioudis, G.; Zerefos, C. Long term precipitation trends and variability within the Mediterranean region. Nat. Hazards Earth Syst. Sci. 2011, 11, 3235–3250. [Google Scholar] [CrossRef]
- Sumner, G.; Romero, R.; Homar, V.; Ramis, C.; Alonso, S.; Zorita, E. An estimate of the effects of climate change on the rainfall of Mediterranean Spain by the late twenty first century. Clim. Dyn. 2003, 20, 789–805. [Google Scholar] [CrossRef]
- Bermúdez, F.L.; Díaz, M.A.R. Génesis y consecuencias erosivas de las lluvias de alta intensidad en la región mediterránea. Cuad. Investig. Geográfica/Geogr. Res. Lett. 1992, 18, 7–28. [Google Scholar] [CrossRef]
- Poesen, J.W.; Hooke, J.M. Erosion, flooding and channel management in Mediterranean environments of southern Europe. Prog. Phys. Geogr. 1997, 21, 157–199. [Google Scholar] [CrossRef]
- Zittis, G.; Bruggeman, A.; Lelieveld, J. Revisiting future extreme precipitation trends in the Mediterranean. Weather Clim. Extrem. 2021, 34, 100380. [Google Scholar] [CrossRef]
- Tramblay, Y.; Koutroulis, A.; Samaniego, L.; Vicente-Serrano, S.M.; Volaire, F.; Boone, A.; Le Page, M.; Llasat, M.C.; Albergel, C.; Burak, S. Challenges for drought assessment in the Mediterranean region under future climate scenarios. Earth-Sci. Rev. 2020, 210, 103348. [Google Scholar] [CrossRef]
- Rashid, A.; Ryan, J. Micronutrient constraints to crop production in soils with Mediterranean-type characteristics: A review. J. Plant Nutr. 2004, 27, 959–975. [Google Scholar] [CrossRef]
- Brownrigg, S.; McLaughlin, M.J.; McBeath, T.; Vadakattu, G. Effect of acidifying amendments on P availability in calcareous soils. Nutr. Cycl. Agroecosyst. 2022, 124, 247–262. [Google Scholar] [CrossRef]
- Umer, M.I.; Rajab, S.M.; Ismail, H.K. Effect of CaCO3 form on soil inherent quality properties of calcareous soils. In Proceedings of the Materials Science Forum; Trans Tech Publications Ltd.: Stafa-Zurich, Switzerland, 2020; pp. 459–467. [Google Scholar]
- Mosley, L.; Biswas, T.; Cook, F.; Marschner, P.; Palmer, D.; Shand, P.; Yuan, C.; Fitzpatrick, R. Prolonged recovery of acid sulfate soils with sulfuric materials following severe drought: Causes and implications. Geoderma 2017, 308, 312–320. [Google Scholar] [CrossRef]
- Bar-Ness, E.; Hadar, Y.; Chen, Y.; Romheld, V.; Marschner, H. Short-term effects of rhizosphere microorganisms on Fe uptake from microbial siderophores by maize and oat. Plant Physiol. 1992, 100, 451–456. [Google Scholar] [CrossRef] [PubMed]
- Geng, S.; Yan, D.; Zhang, T.; Weng, B.; Zhang, Z.; Qin, T. Effects of drought stress on agriculture soil. Nat. Hazards 2015, 75, 1997–2011. [Google Scholar] [CrossRef]
- Fernández, J.M.; Plaza, C.; García-Gil, J.C.; Polo, A. Biochemical properties and barley yield in a semiarid Mediterranean soil amended with two kinds of sewage sludge. Appl. Soil Ecol. 2009, 42, 18–24. [Google Scholar] [CrossRef]
- Campi, P.; Gaeta, L.; Mastrorilli, M.; Losciale, P. Innovative soil management and micro-climate modulation for saving water in peach orchards. Front. Plant Sci. 2020, 11, 1052. [Google Scholar] [CrossRef]
- Guzha, A. Effects of tillage on soil microrelief, surface depression storage and soil water storage. Soil Tillage Res. 2004, 76, 105–114. [Google Scholar] [CrossRef]
- Aboudrare, A.; Debaeke, P.; Bouaziz, A.; Chekli, H. Effects of soil tillage and fallow management on soil water storage and sunflower production in a semi-arid Mediterranean climate. Agric. Water Manag. 2006, 83, 183–196. [Google Scholar] [CrossRef]
- Zhang, S.; Li, P.; Yang, X.; Wang, Z.; Chen, X. Effects of tillage and plastic mulch on soil water, growth and yield of spring-sown maize. Soil Tillage Res. 2011, 112, 92–97. [Google Scholar] [CrossRef]
- Rawls, W.; Nemes, A.; Pachepsky, Y. Effect of soil organic carbon on soil hydraulic properties. Dev. Soil Sci. 2004, 30, 95–114. [Google Scholar]
- Wagner, S.; Cattle, S.R.; Scholten, T. Soil-aggregate formation as influenced by clay content and organic-matter amendment. J. Plant Nutr. Soil Sci. 2007, 170, 173–180. [Google Scholar] [CrossRef]
- Dos Santos, I.; Bettiol, W. Effect of sewage sludge on the rot and seedling damping-off of bean plants caused by Sclerotium rolfsii. Crop Prot. 2003, 22, 1093–1097. [Google Scholar] [CrossRef]
- Montemurro, F.; Fiore, A.; Campanelli, G.; Ciaccia, C.; Ferri, D.; Maiorana, M.; Diacono, M. Yield and performance and soil properties of organically fertilized fodder crops. J. Plant Nutr. 2015, 38, 1558–1572. [Google Scholar] [CrossRef]
- Tisdell, S.E.; Breslin, V.T. Characterization and Leaching of Elements from Municipal Solid Waste Compost; American Society of Agronomy, Crop Science Society of America, and Soil Science Society of America: Madison, WI, USA, 1995; Volume 24, No. 5; pp. 827–833. [Google Scholar]
- Pérez, D.V.; Alcantara, S.; Ribeiro, C.C.; Pereira, R.; Fontes, G.C.d.; Wasserman, M.; Venezuela, T.C.; Meneguelli, N.d.A.; De Macedo, J.; Barradas, C.A.A. Composted municipal waste effects on chemical properties of a Brazilian soil. Bioresour. Technol. 2007, 98, 525–533. [Google Scholar] [CrossRef] [PubMed]
- Pigozzo, A.T.J.; Lenzi, E.; Luca Junior, J.d.; Scapim, C.A.; Costa, A.C.S.d. Transition metal rates in latosol twice treated with sewage sludge. Braz. Arch. Biol. Technol. 2006, 49, 515–526. [Google Scholar] [CrossRef]
- Achiba, W.B.; Gabteni, N.; Lakhdar, A.; Du Laing, G.; Verloo, M.; Jedidi, N.; Gallali, T. Effects of 5-year application of municipal solid waste compost on the distribution and mobility of heavy metals in a Tunisian calcareous soil. Agric. Ecosyst. Environ. 2009, 130, 156–163. [Google Scholar] [CrossRef]
- Lal, R. Soil organic matter and water retention. Agron. J. 2020, 112, 3265–3277. [Google Scholar] [CrossRef]
- Jong, R.d.; Campbell, C.; Nicholaichuk, W. Water retention equations and their relationship to soil organic matter and particle size distribution for disturbed samples. Can. J. Soil Sci. 1983, 63, 291–302. [Google Scholar] [CrossRef]
- Ellerbrock, R.; Gerke, H.; Bachmann, J.; Goebel, M.-O.J. Composition of organic matter fractions for explaining wettability of three forest soils. Soil Sci. Soc. Am. J. 2005, 69, 57–66. [Google Scholar] [CrossRef]
- Bronick, C.J.; Lal, R. Soil structure and management: A review. Geoderma 2005, 124, 3–22. [Google Scholar] [CrossRef]
- Liu, M.; Han, G.; Zhang, Q. Effects of soil aggregate stability on soil organic carbon and nitrogen under land use change in an erodible region in Southwest China. Int. J. Environ. Res. Public Health 2019, 16, 3809. [Google Scholar] [CrossRef]
- Karami, A.; Homaee, M.; Afzalinia, S.; Ruhipour, H.; Basirat, S. Organic resource management: Impacts on soil aggregate stability and other soil physico-chemical properties. Agric. Ecosyst. Environ. 2012, 148, 22–28. [Google Scholar] [CrossRef]
- Libohova, Z.; Seybold, C.; Wysocki, D.; Wills, S.; Schoeneberger, P.; Williams, C.; Lindbo, D.; Stott, D.; Owens, P.R. Reevaluating the effects of soil organic matter and other properties on available water-holding capacity using the National Cooperative Soil Survey Characterization Database. J. Soil Water Conserv. 2018, 73, 411–421. [Google Scholar] [CrossRef]
- Taban, M.; Movahedi Naeini, S. Effect of aquasorb and organic compost amendments on soil water retention and evaporation with different evaporation potentials and soil textures. Commun. Soil Sci. Plant Anal. 2006, 37, 2031–2055. [Google Scholar] [CrossRef]
- Azlan, A.; Aweng, E.; Ibrahim, C. The correlation between total organic carbon (TOC), organic matter and water content in soil collected from different land use of Kota Bharu, Kelantan. Aust. J. Basic Appl. Sci. 2011, 5, 915–922. [Google Scholar]
- Díaz-Zorita, M.; Buschiazzo, D.E.; Peinemann, N. Soil organic matter and wheat productivity in the semiarid Argentine Pampas. Agron. J. 1999, 91, 276–279. [Google Scholar] [CrossRef]
- Balogh, J.; Pintér, K.; Fóti, S.; Cserhalmi, D.; Papp, M.; Nagy, Z. Dependence of soil respiration on soil moisture, clay content, soil organic matter, and CO2 uptake in dry grasslands. Soil Biol. Biochem. 2011, 43, 1006–1013. [Google Scholar] [CrossRef]
- Zhang, Y.J.; Meinzer, F.C.; Qi, J.H.; Goldstein, G.; Cao, K.F. Midday stomatal conductance is more related to stem rather than leaf water status in subtropical deciduous and evergreen broadleaf trees. Plant Cell Environ. 2013, 36, 149–158. [Google Scholar] [CrossRef]
- Naor, A. Midday stem water potential as a plant water stress indicator for irrigation scheduling in fruit trees. In Proceedings of the III International Symposium on Irrigation of Horticultural Crops 537, Lisbon, Portugal, 28 June–2 July 1999; pp. 447–454. [Google Scholar]
- Gaeta, L.; Amendolagine, A.; Di Gennaro, D.; Navarro, A.; Tarricone, L.; Campi, P.; Stellacci, A.; Losciale, P. Managing orchard floor for saving water in a late ripening peach cultivar: A preliminary result. In Proceedings of the IX International Peach Symposium 1304, Bucureşti, Romania, 2–6 July 2017; pp. 207–214. [Google Scholar]
- Lordan, J.; Pascual, M.; Fonseca, F.; Villar, J.; Rufat, J. Use of rice husk to enhance peach tree performance in soils with limiting physical properties. Soil Tillage Res. 2013, 129, 19–22. [Google Scholar] [CrossRef]
- Baldi, E.; Toselli, M.; Marcolini, G.; Marangoni, B. Effect of mineral and organic fertilization on soil chemical, biological and physical fertility in a commercial peach orchard. In Proceedings of the V International Symposium on Mineral Nutrition of Fruit Plants 721, Talca, Chile, 16–21 January 2005; pp. 55–62. [Google Scholar]
- Celano, G.; Dumontet, S.; Xiloyannis, C.; Nuzzo, V.; Dichio, B. Responses of peach-orchard system to green manuring and mineral fertilisation. In Proceedings of the III International Symposium on Mineral Nutrition of Deciduous Fruit Trees 448, Zaragoza, Spain, 27 May 1996; pp. 289–296. [Google Scholar]
- Montanaro, G.; Dichio, B.; Bati, C.B.; Xiloyannis, C. Soil management affects carbon dynamics and yield in a Mediterranean peach orchard. Agric. Ecosyst. Environ. 2012, 161, 46–54. [Google Scholar] [CrossRef]
- Cheng, Y.; Xie, W.; Huang, R.; Yan, X.; Wang, S. Extremely high N2O but unexpectedly low NO emissions from a highly organic and chemical fertilized peach orchard system in China. Agric. Ecosyst. Environ. 2017, 246, 202–209. [Google Scholar] [CrossRef]
- Xiao, Y.; Peng, Y.; Peng, F.; Zhang, Y.; Yu, W.; Sun, M.; Gao, X. Effects of concentrated application of soil conditioners on soil–air permeability and absorption of nitrogen by young peach trees. Soil Sci. Plant Nutr. 2018, 64, 423–432. [Google Scholar] [CrossRef]
- Campi, P.; Palumbo, A.; Mastrorilli, M. Effects of tree windbreak on microclimate and wheat productivity in a Mediterranean environment. Eur. J. Agron. 2009, 30, 220–227. [Google Scholar] [CrossRef]
- Katerji, N.; Mastrorilli, M.; Rana, G. Water use efficiency of crops cultivated in the Mediterranean region: Review and analysis. Eur. J. Agron. 2008, 28, 493–507. [Google Scholar] [CrossRef]
- Soil Conservation Service, US Department of Agriculture. Soil Taxonomy: A Basic System of Soil Classification for Making and Interpreting Soil Surveys; Soil Conservation Service, US Department of Agriculture: Washington, DC, USA, 1975.
- Allen, R.G.; Pereira, L.S.; Raes, D.; Smith, M. Crop evapotranspiration-Guidelines for computing crop water requirements-FAO Irrigation and drainage paper 56. Fao Rome 1998, 300, D05109. [Google Scholar]
- Mastrorilli, M.; Katerji, N.; Rana, G.; Nouna, B.B. Daily actual evapotranspiration measured with TDR technique in Mediterranean conditions. Agric. For. Meteorol. 1998, 90, 81–89. [Google Scholar] [CrossRef]
- Granier, A.; Breda, N.; Biron, P.; Villette, S. A lumped water balance model to evaluate duration and intensity of drought constraints in forest stands. Ecol. Model. 1999, 116, 269–283. [Google Scholar] [CrossRef]
- Granier, A.; Loustau, D.; Bréda, N. A generic model of forest canopy conductance dependent on climate, soil water availability and leaf area index. Ann. For. Sci. 2000, 57, 755–765. [Google Scholar] [CrossRef]
- Zhang, R.; Wang, D.; Sun, H.; Wei, C.; Wang, L. Comparison of transpiration of differently aged apple orchards on the Loess Plateau of China at multiple temporal scales. Hydrol. Sci. J. 2021, 66, 979–990. [Google Scholar] [CrossRef]
- Tognetti, R.; Giovannelli, A.; Lavini, A.; Morelli, G.; Fragnito, F.; d’Andria, R. Assessing environmental controls over conductances through the soil–plant–atmosphere continuum in an experimental olive tree plantation of southern Italy. Agric. For. Meteorol. 2009, 149, 1229–1243. [Google Scholar] [CrossRef]
- Ferrara, R.M.; Mazza, G.; Muschitiello, C.; Castellini, M.; Stellacci, A.M.; Navarro, A.; Lagomarsino, A.; Vitti, C.; Rossi, R.; Rana, G. Short-term effects of conversion to no-tillage on respiration and chemical-physical properties of the soil: A case study in a wheat cropping system in semi-dry environment. Ital. J. Agrometeorol 2017, 1, 47–58. [Google Scholar]
- Ferrara, R.M.; Campi, P.; Muschitiello, C.; Leogrande, R.; Vittorio Vonella, A.; Ventrella, D.; Rana, G. Soil respiration during three cropping cycles of durum wheat under different tillage conditions in a Mediterranean environment. Soil Use Manag. 2022, 38, 1547–1563. [Google Scholar] [CrossRef]
- Vitti, C.; Stellacci, A.M.; Leogrande, R.; Mastrangelo, M.; Cazzato, E.; Ventrella, D. Assessment of organic carbon in soils: A comparison between the Springer–Klee wet digestion and the dry combustion methods in Mediterranean soils (Southern Italy). Catena 2016, 137, 113–119. [Google Scholar] [CrossRef]
- Naor, A.; Klein, I.; Doron, I. Stem water potential and apple size. J. Am. Soc. Hortic. Sci. 1995, 120, 577–582. [Google Scholar] [CrossRef]
- Liu, Q.; Piao, S.; Janssens, I.A.; Fu, Y.; Peng, S.; Lian, X.; Ciais, P.; Myneni, R.B.; Peñuelas, J.; Wang, T. Extension of the growing season increases vegetation exposure to frost. Nat. Commun. 2018, 9, 426. [Google Scholar] [CrossRef]
- Jones, H.G.; Serraj, R.; Loveys, B.R.; Xiong, L.; Wheaton, A.; Price, A.H. Thermal infrared imaging of crop canopies for the remote diagnosis and quantification of plant responses to water stress in the field. Funct. Plant Biol. 2009, 36, 978–989. [Google Scholar] [CrossRef] [PubMed]
- Aragüés, R.; Medina, E.; Martínez-Cob, A.; Faci, J. Effects of deficit irrigation strategies on soil salinization and sodification in a semiarid drip-irrigated peach orchard. Agric. Water Manag. 2014, 142, 1–9. [Google Scholar] [CrossRef]
- Ruiz-Sanchez, M.C.; Domingo, R.; Castel, J.R. Deficit irrigation in fruit trees and vines in Spain. A review. Span. J. Agric. Res. 2010, 8, S5–S20. [Google Scholar] [CrossRef]
- Pedrero, F.; Camposeo, S.; Pace, B.; Cefola, M.; Vivaldi, G.A. Use of reclaimed wastewater on fruit quality of nectarine in Southern Italy. Agric. Water Manag. 2018, 203, 186–192. [Google Scholar] [CrossRef]
- Rolbiecki, S.; Piszczek, P. Effect of the forecast climate change on the peach tree water requirements in the Bydgoszcz region. Infrastrukt. I Ekol. Teren. Wiej. 2016, IV/3, 1499–1508. [Google Scholar]
- Sadras, V.; Milroy, S. Soil-water thresholds for the responses of leaf expansion and gas exchange: A review. Field Crops Res. 1996, 47, 253–266. [Google Scholar] [CrossRef]
- Rahmati, M.; Davarynejad, G.H.; Génard, M.; Bannayan, M.; Azizi, M.; Vercambre, G. Peach water relations, gas exchange, growth and shoot mortality under water deficit in semi-arid weather conditions. PLoS ONE 2015, 10, e0120246. [Google Scholar] [CrossRef]
- Batiot, C.; Liñán, C.; Andreo, B.; Emblanch, C.; Carrasco, F.; Blavoux, B. Use of Total Organic Carbon (TOC) as tracer of diffuse infiltration in a dolomitic karstic system: The Nerja Cave (Andalusia, southern Spain). Geophys. Res. Lett. 2003, 30. [Google Scholar] [CrossRef]
- Volk, C.; Wood, L.; Johnson, B.; Robinson, J.; Zhu, H.W.; Kaplan, L. Monitoring dissolved organic carbon in surface and drinking waters. J. Environ. Monit. 2002, 4, 43–47. [Google Scholar] [CrossRef] [PubMed]
- Yang, C.; Yang, L.; Ouyang, Z. Organic carbon and its fractions in paddy soil as affected by different nutrient and water regimes. Geoderma 2005, 124, 133–142. [Google Scholar] [CrossRef]
- Lepistö, A.; Räike, A.; Sallantaus, T.; Finér, L. Increases in organic carbon and nitrogen concentrations in boreal forested catchments—Changes driven by climate and deposition. Sci. Total Environ. 2021, 780, 146627. [Google Scholar] [CrossRef] [PubMed]
- Scholander, P.F.; Hammel, H.; Hemmingsen, E.; Bradstreet, E. Hydrostatic pressure and osmotic potential in leaves of mangroves and some other plants. Proc. Natl. Acad. Sci. USA 1964, 52, 119–125. [Google Scholar] [CrossRef]
- Scholander, P.; Hammel, H.T.; Bradstreet, E.D.; Henningson, E.A. Sap Pressure in Vascular Plants. Science 1965, 148, 339–346. [Google Scholar] [CrossRef] [PubMed]
- Turner, N.C. Measurement of plant water status by the pressure chamber technique. Irrig. Sci. 1988, 9, 289–308. [Google Scholar] [CrossRef]
- Barillot, R.; Frak, E.; Combes, D.; Durand, J.-L.; Escobar-Gutiérrez, A.J. What determines the complex kinetics of stomatal conductance under blueless PAR in Festuca arundinacea? Subsequent effects on leaf transpiration. J. Exp. Bot. 2010, 61, 2795–2806. [Google Scholar] [CrossRef]
- Chadha, A.; Florentine, S.K.; Chauhan, B.S.; Long, B.; Jayasundera, M. Influence of soil moisture regimes on growth, photosynthetic capacity, leaf biochemistry and reproductive capabilities of the invasive agronomic weed; Lactuca serriola. PLoS ONE 2019, 14, e0218191. [Google Scholar] [CrossRef]
- Yu, C.-L.; Hui, D.; Deng, Q.; Wang, J.; Reddy, K.C.; Dennis, S. Responses of corn physiology and yield to six agricultural practices over three years in middle Tennessee. Sci. Rep. 2016, 6, 1–9. [Google Scholar] [CrossRef]
- Alcaras, L.M.A.; Rousseaux, M.C.; Searles, P.S. Responses of several soil and plant indicators to post-harvest regulated deficit irrigation in olive trees and their potential for irrigation scheduling. Agric. Water Manag. 2016, 171, 10–20. [Google Scholar] [CrossRef]
- Ahumada-Orellana, L.; Ortega-Farías, S.; Poblete-Echeverría, C.; Searles, P.S. Estimation of stomatal conductance and stem water potential threshold values for water stress in olive trees (cv. Arbequina). Irrig. Sci. 2019, 37, 461–467. [Google Scholar] [CrossRef]
- Papafilippaki, A.; Paranychianakis, N.; Nikolaidis, N.P. Effects of soil type and municipal solid waste compost as soil amendment on Cichorium spinosum (spiny chicory) growth. Sci. Hortic. 2015, 195, 195–205. [Google Scholar] [CrossRef]
- Nair, A.; Ngouajio, M. Integrating rowcovers and soil amendments for organic cucumber production: Implications on crop growth, yield, and microclimate. HortScience 2010, 45, 566–574. [Google Scholar] [CrossRef]







| Parameter | Average | ±sd |
|---|---|---|
| Sand (g 100 g−1) | 21 | 0.6 |
| Silt (g 100 g−1) | 37 | 2.9 |
| Clay (g 100 g−1) | 42 | 3.6 |
| E.C. (dS m−1) | 0.6 | 0.05 |
| Field Capacity (m3 m−3) | 0.36 | 0.03 |
| Wilting Point (m3 m−3) | 0.22 | 0.02 |
| SOC (g kg−1) | 14 | 1.1 |
| Total N (g kg−1) | 1.5 | 0.2 |
| Available P (mg kg−1) | 71 | 3.1 |
| Exchangeable K (mg kg−1) | 540 | 61 |
| Type of Amendment | Component Preparation Method | Requirements and Minimum Titer in Useful Elements and/or Substances | Other Requirements and Useful Substances to Clarify | Notes |
|---|---|---|---|---|
| ACM | Product obtained through a controlled process of transformation and stabilization of organic waste which may consist of the organic fraction of municipal solid waste from separate collection from animal waste including livestock slurry, waste from agro-industrial activities and untreated wood and natural textile processing, sewage and sludge, as well as the matrices provided for green composted soil amendment. | Maximum moisture: 50% pH: 6.5 to 8.5 Organic C on dry matter minimum: 20% C humic and fulvic on dry matter minimum: 7%. Organic nitrogen on dry matter: >80% of total nitrogen C/N maximum: 25 | Moisture pH Organic C on dry C humic and fulvic on dry Organic nitrogen on dry C/N Salt content | The following parameters of biological nature are also set: − Salmonella: absence in 25g is sample as is; − Escherichia coli in 1g of sample as is; Germination index (30% dilution) must be ≥ 60%; − Thallium: less than 2 mg kg−l on dry weight (only for soil conditioners with algae). Maximum heavy metal contents (expressed as mg/kg dry matter): Cd 0.7; Cu 70; Ni 25; Pb 45; Zn 200; Hg 0.4; Cr (total) 70; Cr (VI) 0. Recommendations for the use of ACM in arboriculture is on average from maximum 25 t ha−1 to minimum 1.5 t ha−1 |
| Source-Determined Values: Product Complying with the D.Lgs n. 75/2010 | |
|---|---|
| Moisture (%) | 31.80 |
| pH (unit) | 7.66 |
| Organic carbon [C] (% DM) | 35.90 |
| Humic and fulvic carbon (% DM) | 12.40 |
| Organic nitrogen [N] (% DM) | 2.60 |
| Carbon/Nitrogen ratio [C/N] | 13 |
| Copper [Cu] (mg/kg DM) | 57.8 |
| Zinc [Zn] (mg/kg DM) | 142 |
| Salt content (meq/100 g) | 22.40 |
Disclaimer/Publisher’s Note: The statements, opinions and data contained in all publications are solely those of the individual author(s) and contributor(s) and not of MDPI and/or the editor(s). MDPI and/or the editor(s) disclaim responsibility for any injury to people or property resulting from any ideas, methods, instructions or products referred to in the content. |
© 2023 by the authors. Licensee MDPI, Basel, Switzerland. This article is an open access article distributed under the terms and conditions of the Creative Commons Attribution (CC BY) license (https://creativecommons.org/licenses/by/4.0/).
Share and Cite
Cappelluti, O.; Bruno, M.R.; Modugno, A.F.; Ferrara, R.M.; Gaeta, L.; De Carolis, G.; Campi, P. The Use of Mixed Composed Amendments to Improve Soil Water Content and Peach Growth (Prunus persica (L.) Batsch) in a Mediterranean Environment. Water 2023, 15, 1708. https://doi.org/10.3390/w15091708
Cappelluti O, Bruno MR, Modugno AF, Ferrara RM, Gaeta L, De Carolis G, Campi P. The Use of Mixed Composed Amendments to Improve Soil Water Content and Peach Growth (Prunus persica (L.) Batsch) in a Mediterranean Environment. Water. 2023; 15(9):1708. https://doi.org/10.3390/w15091708
Chicago/Turabian StyleCappelluti, Onofrio, Maria Roberta Bruno, Anna Francesca Modugno, Rossana Monica Ferrara, Liliana Gaeta, Gabriele De Carolis, and Pasquale Campi. 2023. "The Use of Mixed Composed Amendments to Improve Soil Water Content and Peach Growth (Prunus persica (L.) Batsch) in a Mediterranean Environment" Water 15, no. 9: 1708. https://doi.org/10.3390/w15091708
APA StyleCappelluti, O., Bruno, M. R., Modugno, A. F., Ferrara, R. M., Gaeta, L., De Carolis, G., & Campi, P. (2023). The Use of Mixed Composed Amendments to Improve Soil Water Content and Peach Growth (Prunus persica (L.) Batsch) in a Mediterranean Environment. Water, 15(9), 1708. https://doi.org/10.3390/w15091708

