Risk Assessment of Dissolved Trace Elements and Heavy Metals in the Upper Reaches of the Yangtze River, China
Abstract
1. Introduction
2. Materials and Methods
2.1. Study Area
2.2. Sample Collection
2.3. Analytical Methods
2.4. Water Quality Index
2.5. Health Risk Assessment
2.6. Statistical Analysis
3. Results and Discussion
3.1. Physical and Chemical Properties and Distribution of Water Samples
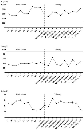
3.2. Major Trace Metals in the Yangtze River
3.3. Correlation Analysis
3.4. Water Quality and Health Risk Assessment
4. Conclusions
Supplementary Materials
Author Contributions
Funding
Data Availability Statement
Conflicts of Interest
References
- Cheng, S. Heavy metal pollution in China: Origin, pattern and control. Environ. Sci. Pollut. Res. 2003, 10, 192–198. [Google Scholar] [CrossRef] [PubMed]
- Wai, K.M.; Wu, S.; Li, X.; Jaffe, D.A.; Perry, K.D. Global atmospheric transport and source-receptor relationships for arsenic. Environ. Sci. Technol. 2016, 50, 3714–3720. [Google Scholar] [CrossRef]
- Szatyłowicz, E.; Krasowska, M. Assessment of heavy metals leaching from fly ashes as an indicator of their agricultural use. Desalin. Water Treat. 2020, 199, 288–296. [Google Scholar] [CrossRef]
- Łapińśki, D.; Wiater, J.; Szatyłowicz, E. The Content of Heavy Metals in Waste as an Indicator Determining the Possibilities of their Agricultural Use. J. Ecol. Eng. 2019, 20, 225–230. [Google Scholar] [CrossRef]
- Amos, H.M.; Jacob, D.J.; Kocman, D. Global biogeochemical implications of mercury discharges from rivers and sediment burial. Environ. Sci. Technol. 2014, 48, 9514–9522. [Google Scholar] [CrossRef] [PubMed]
- Outridge, P.M.; Mason, R.P.; Wang, F.; Guerrero, S. Updated global and oceanic mercury budgets for the United Nations Global Mercury Assessment 2018. Environ. Sci. Technol. 2018, 52, 11466–11477. [Google Scholar] [CrossRef] [PubMed]
- Regnier, P.; Friedlingstein, P.; Ciais, P.; Mackenzie, F.T.; Gruber, N.; Janssens, I.A.; Laruelle, G.G.; Lauerwald, R.; Luyssaert, S.; Andersson, A.J.; et al. Anthropogenic perturbation of the carbon fluxes from land to ocean. Nat. Geosci. 2013, 6, 597–607. [Google Scholar] [CrossRef]
- Liu, H. China’s Long March to Safe Drinking Water: China Water Risk & China dialogue. China Water Risk 2015, 44, 1–44. [Google Scholar]
- Jiang, Y. China’s water security: Current status, emerging challenges and future prospects. Environ. Sci. Policy 2015, 54, 106–125. [Google Scholar] [CrossRef]
- Ali, I. The quest for active carbon adsorbent substitutes: Inexpensive adsorbents for toxic metal ions removal from wastewater. Sep. Purif. Rev. 2010, 39, 95–171. [Google Scholar] [CrossRef]
- Khan, S.; Shahnaz, M.; Jehan, N.; Rehman, S.; Shah, M.T.; Din, I. Drinking water quality and human health risk in Charsadda district, Pakistan. J. Clean Prod. 2013, 60, 93–101. [Google Scholar] [CrossRef]
- Qu, F.; Kuyvenhoven, A.; Shi, X. Sustainable natural resource use in rural China: Recent trends and policies. China Econ. Rev. 2011, 22, 444–460. [Google Scholar] [CrossRef]
- Xiao, J.; Wang, L.; Deng, L.; Jin, Z. Characteristics, sources, water quality and health risk assessment of trace elements in river water and well water in the Chinese Loess Plateau. Sci. Total Environ. 2019, 650, 2004–2012. [Google Scholar] [CrossRef]
- Cao, S.; Duan, X.; Ma, Y.; Zhao, X.; Qin, Y.; Liu, Y.; Li, S.; Zheng, B.; Wei, F. Health benefit from decreasing exposure to heavy metals and metalloid after strict pollution control measures near a typical river basin area in China. Chemosphere 2017, 184, 866–878. [Google Scholar] [CrossRef]
- Qu, C.; Li, B.; Wu, H.; Wang, S.; Li, F. Probabilistic ecological risk assessment of heavy metals in sediments from China’s major aquatic bodies. Stoch. Environ. Res. Risk Assess. 2016, 30, 271–282. [Google Scholar] [CrossRef]
- Chen, X.; Luo, Q.; Wang, D.; Gao, J.; Wei, Z.; Wang, Z.; Zhou, H.; Mazumder, A. Simultaneous assessments of occurrence, ecological, human health, and organoleptic hazards for 77 VOCs in typical drinking water sources from 5 major river basins, China. Environ. Pollut. 2015, 206, 64–72. [Google Scholar] [CrossRef] [PubMed]
- Liu, M.; Zhang, Q.; Luo, Y.; Mason, R.P.; Ge, S.; He, Y.; Yu, C.; Rina, S.; Cao, H.; Wang, X.; et al. Impact of water-induced soil erosion on the terrestrial transport and atmospheric emission of mercury in China. Environ. Sci. Technol. 2018, 52, 6945–6956. [Google Scholar] [CrossRef] [PubMed]
- Buck, C.S.; Hammerschmidt, C.R.; Bowman, K.L.; Gill, G.A.; Landing, W.M. Flux of total mercury and methylmercury to the northern Gulf of Mexico from US estuaries. Environ. Sci. Technol. 2015, 49, 13992–13999. [Google Scholar] [CrossRef]
- Liu, M.; Du, P.; Yu, C.; He, Y.; Zhang, H.; Sun, X.; Lin, H.; Luo, Y.; Xie, H.; Guo, J.; et al. Increases of total mercury and methylmercury releases from municipal sewage into environment in China and implications. Environ. Sci. Technol. 2018, 52, 124–134. [Google Scholar] [CrossRef]
- Chen, Y.; Zang, L.; Liu, M.; Zhang, C.; Zhao, M. Ecological risk assessment of the increasing use of the neonicotinoid insecticides along the east coast of China. Environ. Int. 2019, 127, 550–557. [Google Scholar] [CrossRef]
- Patil, A.K.; Shrivastava, V. Analysis of metals and organics in river water by ICP-AES and GUMS techniques. Asian J. Chem. 2007, 19, 3645–3651. [Google Scholar]
- Harris, A.; Xanthos, S.J.; Galiotos, J.K.; Douvris, C. Investigation of the metal content of sediments around the historically polluted Potomac River basin in Washington DC, United States by inductively coupled plasma-optical emission spectroscopy (ICP-OES). Microchem. J. 2018, 142, 140–143. [Google Scholar] [CrossRef]
- Şener, Ş.; Şener, E.; Davraz, A. Evaluation of water quality using water quality index (WQI) method and GIS in Aksu River (SW-Turkey). Sci. Total Environ. 2017, 584, 131–144. [Google Scholar] [CrossRef] [PubMed]
- He, X.H.; Ma, S.H.; Li, A.D.; Pan, X.C.; Chen, Q.; Wang, J.F. Exposure assessment of various reclaimed water uses. Huan Jing Ke Xue 2006, 27, 1912–1915. [Google Scholar]
- Wang, J.; Liu, G.; Liu, H.; Lam, P.K.S. Multivariate statistical evaluation of dissolved trace elements and a water quality assessment in the middle reaches of Huaihe River, Anhui, China. Sci. Total Environ. 2017, 583, 421–431. [Google Scholar] [CrossRef]
- Yang, L.; Song, X.; Zhang, Y.; Han, D.; Zhang, B.; Long, D. Characterizing interactions between surface water and groundwater in the Jialu River basin using major ion chemistry and stable isotopes. Hydrol. Earth Syst. Sci. 2012, 16, 4265–4277. [Google Scholar] [CrossRef]
- Zhao, P.; Tang, X.; Tang, J.; Wang, C. Assessing water quality of Three Gorges Reservoir, China, over a five-year period from 2006 to 2011. Water Resour. Manag. 2013, 27, 4545–4558. [Google Scholar] [CrossRef]
- Yi, Y.; Yang, Z.; Zhang, S. Ecological risk assessment of heavy metals in sediment and human health risk assessment of heavy metals in fishes in the middle and lower reaches of the Yangtze River basin. Environ. Pollut. 2011, 159, 2575–2585. [Google Scholar] [CrossRef]
- Wang, L.; Wang, Y.; Xu, C.; An, Z.; Wang, S. Analysis and evaluation of the source of heavy metals in water of the River Changjiang. Environ. Monit. Assess 2011, 173, 301–313. [Google Scholar] [CrossRef]
- Osibanjo, O.; Daso, A.P.; Gbadebo, A.M. The impact of industries on surface water quality of River Ona and River Alaro in Oluyole Industrial Estate, Ibadan, Nigeria. Afr. J. Biotechnol. 2011, 10, 696–702. [Google Scholar]
- Kumar, V.I.D.; Singh, S.; Krishan, G.P.A. Assessment of groundwater quality of Agra District for the irrigation purpose. Curr. World Environ. 2017, 12, 61. [Google Scholar] [CrossRef]
- Singh, V.K.; Bikundia, D.S.; Sarswat, A.; Mohan, D. Groundwater quality assessment in the village of Lutfullapur Nawada, Loni, District Ghaziabad, Uttar Pradesh, India. Environ. Monit. Assess. 2012, 184, 4473–4488. [Google Scholar] [CrossRef] [PubMed]
- Tiwari, A.K.; Singh, A.K.; Mahato, M.K. Assessment of groundwater quality of Pratapgarh district in India for suitability of drinking purpose using water quality index (WQI) and GIS technique. Sustain. Water Resour. Manag. 2018, 4, 601–616. [Google Scholar] [CrossRef]
- Ikem, A.; Adisa, S. Runoff effect on eutrophic lake water quality and heavy metal distribution in recent littoral sediment. Chemosphere 2011, 82, 259–267. [Google Scholar] [CrossRef]
- Licheng, Z.; Kezhun, Z. Background values of trace elements in the source area of the Yangtze River. Sci. Total Environ. 1992, 125, 391–404. [Google Scholar] [CrossRef]
- Kaur, J.; Kaur, V.; Pakade, Y.B. A study on water quality monitoring of Buddha Nullah, Ludhiana, Punjab (India). Environ. Geochem. Health 2021, 43, 2699–2722. [Google Scholar] [CrossRef] [PubMed]
- Zhang, W.; Jin, X.; Di, Z. Heavy metals in surface sediments of the shallow lakes in eastern China: Their relations with environmental factors and anthropogenic activities. Environ. Sci. Pollut. Res. 2016, 23, 25364–25373. [Google Scholar] [CrossRef]
- Feng, L.; Hu, C.; Chen, X.; Zhao, X. Dramatic inundation changes of China’s two largest freshwater lakes linked to the Three Gorges Dam. Environ. Sci. Technol. 2013, 47, 9628–9634. [Google Scholar] [CrossRef]
- Fralick, P.W.; Kronberg, B.I. Geochemical discrimination of clastic sedimentary rock sources. Sediment. Geol. 1997, 113, 111–124. [Google Scholar] [CrossRef]
- World Health Organization. Guidelines for Drinking-Water Quality Incorporating 1st and 2nd Addenda, Volume 1, Recommendations. Available online: https://apps.who.int/iris/handle/10665/204411 (accessed on 23 November 2022).
- GB5749-2006; Standards for Drinking Water Quality. Ministry of Health: Beijing, China, 2007.
- Hakanson, L.; Jansson, M. Principles of Lake Sedimentology; Springer: Berlin, Germany, 1983. [Google Scholar]
- Bibi, M.H.; Ahmed, F.; Ishiga, H. Assessment of metal concentrations in lake sediments of southwest Japan based on sediment quality guidelines. Environ. Geol. 2007, 52, 625–639. [Google Scholar] [CrossRef]
- Fu, Y.T. Occurrence Forms, Source Characteristics and Ecological Risk Assessment of Heavy Metals in Sediments along the Yangtze River Estuary and Adjacent Waters; Shanghai Ocean University: Shanghai, China, 2022. [Google Scholar]
- Guo, J.; Wang, K.; Yu, Q. Analysis of heavy metal pollution characteristics and risk assessment of near-shore surface sediments in the middle reaches of the Yangtze River. J. Environ. Sci. 2021, 41, 4625–4636. [Google Scholar]







| Sample Number | Na (mg/L) | Mg, Ca (mg/L) | Li (μg/L) | Sr (mg/L) | Ba, Co, Cu, Fe, Mn (μg/L) | Sc (μg/L) | Hg (ng/L) |
|---|---|---|---|---|---|---|---|
| STD1 | 0 | 0 | 0 | 0 | 0 | 0 | 0 |
| STD2 | 0.1 | 1 | 1 | 0.1 | 5 | 0.1 | 0.1 |
| STD3 | 0.5 | 5 | 5 | 0.5 | 10 | 0.2 | 0.5 |
| STD4 | 1 | 10 | 10 | 1 | 20 | 0.5 | 1 |
| STD5 | 2 | 20 | 20 | 2 | 50 | 1 | 2 |
| STD6 | 5 | 50 | 50 | 5 | 100 | 2 | 5 |
| Elements | Wavelength | Detection Limit (mg/L) | % Recovery | %RSD |
|---|---|---|---|---|
| Na | 589.6 | 0.22 | 99.3 | 4.32 |
| Mg | 285.2 | 0.96 | 88.6 | 3.27 |
| Ca | 184 | 0.26 | 88.6 | 3.56 |
| Sr | 407.8 | 0.007 | 91.2 | 2.63 |
| Ba | 493.4 | 0.01 | 86.5 | 2.64 |
| Li | 670.8 | 0.028 | 113.8 | 4.11 |
| Co | 240.7 | 0.0001 | 84.3 | 3.89 |
| Cu | 324.8 | 0.006 | 96.2 | 1.56 |
| Fe | 259.9 | 0.14 | 90.3 | 3.62 |
| Mn | 257.6 | 0.003 | 85.4 | 2.58 |
| Sc | 357.2 | 0.0006 | 108.2 | 1.32 |
| Hg | 184.9 | 0.0012 | 96.5 | 2.73 |
| Parameters | Minimum | Maximm | Mean | Standard Deviation | Drinking Water Guidenes | Historical Value of the Yangtze River | |
|---|---|---|---|---|---|---|---|
| China a | WHO b | ||||||
| EC (µS/cm) | 349.40 | 671.00 | 427.08 | 70.65 | |||
| PH | 7.83 | 9.24 | 8.22 | 0.31 | 6.5–8.5 | ||
| Temperatmre (°C) | 14.70 | 21.00 | 17.69 | 1.53 | |||
| DO (mg/L) | 5.07 | 13.67 | 7.78 | 1.72 | |||
| SAL (ppt) | 0.17 | 0.33 | 0.21 | 0.04 | |||
| ORP | 143.80 | 294.60 | 188.63 | 33.19 | |||
| Turbidity (NTU) | 0.34 | 4.12 | 1.64 | 1.06 | |||
| Na (mg/L) | 2.56 | 7.63 | 4.50 | 1.22 | 200 | 7.6 [28] | |
| Mg (mg/L) | 8.78 | 17.68 | 12.52 | 2.68 | 30 | 8.5 [28] | |
| Ca (mg/L) | 41.13 | 71.17 | 52.13 | 7.92 | 75 | 300 | 27.9 [28] |
| Ba (µg/L) | 26.89 | 64.48 | 40.86 | 9.95 | 700 | 92.57 [15] | |
| Co (µg/L) | 0.69 | 3.40 | 1.41 | 0.69 | 50 | 0.24 [29] | |
| Cu (µg/L) | 2.08 | 4.81 | 3.20 | 0.79 | 1000 | 2000 | 0.63 [29] |
| Fe (µg/L) | 38.51 | 122.33 | 53.82 | 18.37 | 300 | 300 | 10 [29] |
| Mn (µg/L) | 0.31 | 89.52 | 14.86 | 24.20 | 100 | 400 | 2.53 [29] |
| Hg (ng/L) | 0.30 | 5.55 | 0.92 | 1.17 | 50 | 6 | 2 [29] |
| Sc (µg/L) | 2.55 | 6.65 | 4.62 | 1.21 | 2.23 [29] | ||
| Li (µg/L) | 1.42 | 1.92 | 1.62 | 0.16 | 14.1 [15] | ||
| Sr (µg/L) | 489.81 | 910.04 | 687.67 | 123.90 | 290 [15] | ||
| S. No. | Class of Groundwater | Range of TH (mg/L) | Samples | |
|---|---|---|---|---|
| No. | % | |||
| 1 | Soft | <75 | Nil | Nil |
| 2 | Moderately hard | 75–150 | 1 | 5.26% |
| 3 | Hard | 150–300 | 18 | 94.74% |
| 4 | Very hard | >300 | Nil | Nil |
| T | DO | pH | Turbidity | SAL | Na | Mg | Li | Sr | Ba | Co | Cu | Fe | Mn | Sc | Ca | Hg | |
|---|---|---|---|---|---|---|---|---|---|---|---|---|---|---|---|---|---|
| T | 1.0000 | ||||||||||||||||
| DO | 0.1262 | 1.0000 | |||||||||||||||
| pH | 0.4455 * | 0.8279 | 1.0000 | ||||||||||||||
| Turbidity | −0.0324 | 0.2815 | 0.2577 | 1.0000 | |||||||||||||
| SAL | 0.1474 | −0.2042 | 0.1106 | 0.2227 | 1.0000 | ||||||||||||
| Na | 0.4390 * | −0.0156 | 0.2542 | 0.3083 | 0.7855 ** | 1.0000 | |||||||||||
| Mg | 0.0053 | −0.2491 | −0.0013 | 0.2661 | 0.8688 | 0.7019 ** | 1.0000 | ||||||||||
| Li | −0.0854 | 0.0437 | 0.1381 | 0.4623 * | 0.5374 ** | 0.4086 | 0.4216 | 1.0000 | |||||||||
| Sr | −0.0151 | 0.1997 | 0.3084 | 0.4066 | 0.6972 ** | 0.3802 | 0.5813 ** | 0.5637 ** | 1.0000 | ||||||||
| Ba | 0.3153 | 0.3315 | 0.4194 | −0.3680 | 0.0601 | 0.0573 | 0.0375 | 0.0210 | 0.0880 | 1.0000 | |||||||
| Co | −0.0315 | 0.1344 | 0.1044 | 0.2654 | 0.1276 | −0.0606 | −0.0501 | 0.4793 * | 0.2697 | 0.1284 | 1.0000 | ||||||
| Cu | −0.1490 | 0.1912 | 0.1540 | 0.1457 | 0.1137 | −0.1164 | 0.0445 | 0.3925 | 0.2455 | 0.3123 | 0.7306 ** | 1.0000 | |||||
| Fe | 0.0472 | −0.0152 | −0.0659 | −0.5320 ** | −0.4703 * | −0.4133 | −0.4648 * | −0.4274 * | −0.6447 ** | 0.2882 | −0.1617 | −0.0028 | 1.0000 | ||||
| Mn | 0.1667 | 0.0260 | 0.1970 | −0.4270 | −0.2207 | −0.1594 | −0.5009 | −0.3253 | −0.4100 | 0.2223 | −0.2448 | −0.1565 | 0.5883 ** | 1.0000 | |||
| Sc | 0.1691 | −0.1755 | 0.0720 | 0.0691 | 0.7744 ** | 0.5909 ** | 0.7154 ** | −0.0408 | 0.5792 ** | −0.0327 | −0.1203 | −0.1226 | −0.3896 | −0.1636 | 1.0000 | ||
| Ca | 0.0362 | −0.2668 | −0.0119 | 0.0825 | 0.9066 | 0.5446 ** | 0.7765 ** | 0.3433 | 0.7602 ** | 0.0813 | 0.1345 | 0.1022 | −0.4680 * | −0.2004 | 0.8655 | 1.0000 | |
| Hg | 0.2867 | 0.2321 | 0.2510 | 0.7011 ** | 0.0475 | 0.0707 | −0.0564 | 0.2089 | 0.3119 | −0.1359 | 0.3397 | 0.1807 | −0.2488 | −0.2213 | 0.0002 | 0.0089 | 1.0000 |
| Location | The Main Stream of the Yangtze River | Tributaries of the Yangtze River | |||||||||||||||||
|---|---|---|---|---|---|---|---|---|---|---|---|---|---|---|---|---|---|---|---|
| JA | HJ | BN | MD | FD | YY | WS | TPX | YC | XZ | XJ | HS | CS | BN | HC | WL | GY | DC | XK | |
| Child | |||||||||||||||||||
| Ba(HQing) | 0.02 | 0.02 | 0.02 | 0.02 | 0.02 | 0.02 | 0.02 | 0.02 | 0.02 | 0.02 | 0.02 | 0.04 | 0.02 | 0.02 | 0.03 | 0.02 | 0.03 | 0.02 | 0.03 |
| Co(HQing) | 0.13 | 0.14 | 0.15 | 0.20 | 0.23 | 0.33 | 0.09 | 0.17 | 0.35 | 0.12 | 0.13 | 0.14 | 0.14 | 0.15 | 0.13 | 0.21 | 0.26 | 0.46 | 0.13 |
| Cu(HQing) | 0.00 | 0.00 | 0.00 | 0.00 | 0.00 | 0.00 | 0.00 | 0.00 | 0.00 | 0.00 | 0.00 | 0.00 | 0.00 | 0.00 | 0.00 | 0.00 | 0.00 | 0.00 | 0.00 |
| Fe(HQing) | 0.01 | 0.01 | 0.02 | 0.01 | 0.01 | 0.01 | 0.01 | 0.01 | 0.01 | 0.01 | 0.01 | 0.01 | 0.01 | 0.02 | 0.01 | 0.01 | 0.01 | 0.01 | 0.01 |
| Mn(HQing) | 0.02 | 0.00 | 0.07 | 0.04 | 0.00 | 0.00 | 0.00 | 0.00 | 0.00 | 0.00 | 0.01 | 0.03 | 0.01 | 0.07 | 0.01 | 0.00 | 0.00 | 0.00 | 0.00 |
| Hg(HQing) | 0.00 | 0.00 | 0.00 | 0.00 | 0.00 | 0.00 | 0.00 | 0.00 | 0.00 | 0.00 | 0.00 | 0.00 | 0.00 | 0.00 | 0.00 | 0.00 | 0.00 | 0.00 | 0.00 |
| Ba(HQderm) | 0.00 | 0.00 | 0.00 | 0.00 | 0.00 | 0.00 | 0.00 | 0.00 | 0.00 | 0.00 | 0.00 | 0.00 | 0.00 | 0.00 | 0.00 | 0.00 | 0.00 | 0.00 | 0.00 |
| Co(HQderm) | 0.00 | 0.00 | 0.00 | 0.00 | 0.00 | 0.01 | 0.00 | 0.00 | 0.01 | 0.00 | 0.00 | 0.00 | 0.00 | 0.00 | 0.00 | 0.00 | 0.01 | 0.01 | 0.00 |
| Cu(HQderm) | 0.00 | 0.00 | 0.00 | 0.00 | 0.00 | 0.00 | 0.00 | 0.00 | 0.00 | 0.00 | 0.00 | 0.00 | 0.00 | 0.00 | 0.00 | 0.00 | 0.00 | 0.00 | 0.00 |
| Fe(HQderm) | 0.00 | 0.00 | 0.00 | 0.00 | 0.00 | 0.00 | 0.00 | 0.00 | 0.00 | 0.00 | 0.00 | 0.00 | 0.00 | 0.00 | 0.00 | 0.00 | 0.00 | 0.00 | 0.00 |
| Mn(HQderm) | 0.00 | 0.00 | 0.02 | 0.01 | 0.00 | 0.00 | 0.00 | 0.00 | 0.00 | 0.00 | 0.00 | 0.01 | 0.00 | 0.02 | 0.00 | 0.00 | 0.00 | 0.00 | 0.00 |
| Hg(HQderm) | 0.01 | 0.01 | 0.01 | 0.01 | 0.01 | 0.01 | 0.02 | 0.02 | 0.02 | 0.01 | 0.01 | 0.02 | 0.01 | 0.01 | 0.00 | 0.01 | 0.01 | 0.11 | 0.04 |
| HI | 0.20 | 0.18 | 0.28 | 0.29 | 0.28 | 0.38 | 0.15 | 0.22 | 0.41 | 0.16 | 0.18 | 0.24 | 0.20 | 0.28 | 0.18 | 0.25 | 0.33 | 0.62 | 0.21 |
| Adult | |||||||||||||||||||
| Ba(HQing) | 0.01 | 0.01 | 0.01 | 0.02 | 0.02 | 0.02 | 0.02 | 0.02 | 0.02 | 0.01 | 0.01 | 0.03 | 0.01 | 0.01 | 0.02 | 0.01 | 0.02 | 0.01 | 0.02 |
| Co(HQing) | 0.08 | 0.09 | 0.10 | 0.13 | 0.16 | 0.22 | 0.06 | 0.11 | 0.23 | 0.08 | 0.08 | 0.09 | 0.09 | 0.10 | 0.08 | 0.14 | 0.18 | 0.31 | 0.08 |
| Cu(HQing) | 0.00 | 0.00 | 0.00 | 0.00 | 0.00 | 0.00 | 0.00 | 0.00 | 0.00 | 0.00 | 0.00 | 0.00 | 0.00 | 0.00 | 0.00 | 0.00 | 0.00 | 0.00 | 0.00 |
| Fe(HQing) | 0.01 | 0.00 | 0.01 | 0.00 | 0.00 | 0.00 | 0.00 | 0.00 | 0.00 | 0.00 | 0.00 | 0.00 | 0.01 | 0.01 | 0.01 | 0.00 | 0.01 | 0.00 | 0.00 |
| Mn(HQing) | 0.01 | 0.00 | 0.04 | 0.03 | 0.00 | 0.00 | 0.00 | 0.00 | 0.00 | 0.00 | 0.01 | 0.02 | 0.01 | 0.04 | 0.00 | 0.00 | 0.00 | 0.00 | 0.00 |
| Hg(HQing) | 0.00 | 0.00 | 0.00 | 0.00 | 0.00 | 0.00 | 0.00 | 0.00 | 0.00 | 0.00 | 0.00 | 0.00 | 0.00 | 0.00 | 0.00 | 0.00 | 0.00 | 0.00 | 0.00 |
| Ba(HQderm) | 0.00 | 0.00 | 0.00 | 0.00 | 0.00 | 0.00 | 0.00 | 0.00 | 0.00 | 0.00 | 0.00 | 0.00 | 0.00 | 0.00 | 0.00 | 0.00 | 0.00 | 0.00 | 0.00 |
| Co(HQderm) | 0.00 | 0.00 | 0.00 | 0.00 | 0.00 | 0.00 | 0.00 | 0.00 | 0.00 | 0.00 | 0.00 | 0.00 | 0.00 | 0.00 | 0.00 | 0.00 | 0.00 | 0.00 | 0.00 |
| Cu(HQderm) | 0.00 | 0.00 | 0.00 | 0.00 | 0.00 | 0.00 | 0.00 | 0.00 | 0.00 | 0.00 | 0.00 | 0.00 | 0.00 | 0.00 | 0.00 | 0.00 | 0.00 | 0.00 | 0.00 |
| Fe(HQderm) | 0.00 | 0.00 | 0.00 | 0.00 | 0.00 | 0.00 | 0.00 | 0.00 | 0.00 | 0.00 | 0.00 | 0.00 | 0.00 | 0.00 | 0.00 | 0.00 | 0.00 | 0.00 | 0.00 |
| Mn(HQderm) | 0.00 | 0.00 | 0.01 | 0.00 | 0.00 | 0.00 | 0.00 | 0.00 | 0.00 | 0.00 | 0.00 | 0.00 | 0.00 | 0.01 | 0.00 | 0.00 | 0.00 | 0.00 | 0.00 |
| Hg(HQderm) | 0.00 | 0.00 | 0.00 | 0.00 | 0.00 | 0.00 | 0.01 | 0.01 | 0.01 | 0.00 | 0.00 | 0.01 | 0.00 | 0.00 | 0.00 | 0.00 | 0.00 | 0.04 | 0.01 |
| HI | 0.12 | 0.12 | 0.18 | 0.19 | 0.18 | 0.25 | 0.09 | 0.14 | 0.27 | 0.10 | 0.11 | 0.15 | 0.13 | 0.18 | 0.12 | 0.16 | 0.21 | 0.37 | 0.13 |
Disclaimer/Publisher’s Note: The statements, opinions and data contained in all publications are solely those of the individual author(s) and contributor(s) and not of MDPI and/or the editor(s). MDPI and/or the editor(s) disclaim responsibility for any injury to people or property resulting from any ideas, methods, instructions or products referred to in the content. |
© 2023 by the authors. Licensee MDPI, Basel, Switzerland. This article is an open access article distributed under the terms and conditions of the Creative Commons Attribution (CC BY) license (https://creativecommons.org/licenses/by/4.0/).
Share and Cite
Chen, Y.; Xiong, F.; Zhai, D.; Liu, H.; Duan, X.; Chen, D.; Jiang, W.; Li, B. Risk Assessment of Dissolved Trace Elements and Heavy Metals in the Upper Reaches of the Yangtze River, China. Water 2023, 15, 1330. https://doi.org/10.3390/w15071330
Chen Y, Xiong F, Zhai D, Liu H, Duan X, Chen D, Jiang W, Li B. Risk Assessment of Dissolved Trace Elements and Heavy Metals in the Upper Reaches of the Yangtze River, China. Water. 2023; 15(7):1330. https://doi.org/10.3390/w15071330
Chicago/Turabian StyleChen, Yuanyuan, Fei Xiong, Dongdong Zhai, Hongyan Liu, Xinbin Duan, Daqing Chen, Wei Jiang, and Bo Li. 2023. "Risk Assessment of Dissolved Trace Elements and Heavy Metals in the Upper Reaches of the Yangtze River, China" Water 15, no. 7: 1330. https://doi.org/10.3390/w15071330
APA StyleChen, Y., Xiong, F., Zhai, D., Liu, H., Duan, X., Chen, D., Jiang, W., & Li, B. (2023). Risk Assessment of Dissolved Trace Elements and Heavy Metals in the Upper Reaches of the Yangtze River, China. Water, 15(7), 1330. https://doi.org/10.3390/w15071330

