Abstract
Water wells used as drinking sources, located in a Romanian urban area, were characterized from four novel points of view: typology, chemical parameters, heavy metal pollution and human health risk assessment. Physico-chemical parameters and trace metals were analyzed and compared to regulatory reference values related to drinking water quality. Piper, TIS and Gibbs diagrams were used for determining the typology of waters. The pollution index was calculated with the aim of determining the pollution levels. Human health risk indices were used for determining the potential non-carcinogenic risks type of heavy metals and nitrogen compounds. The results indicated that water samples were characterized by contamination with nitrogen compounds and Cd, Mn and Pb. Pollution scores indicated both low and high pollution degrees. Based on the health risk assessment, waters were classified as safe for drinking related to the heavy metal content, for both adults and children. Nonetheless, non-carcinogenic risks in NO2− and NO3− can occur if waters are consumed.
1. Introduction
Groundwater is a primary resource for the population all around the world and it is highly influenced by both natural (rock weathering, evaporation, precipitations) and anthropogenic (industrial, urban, agricultural, waste discharge) activities [1,2]. Water contamination by heavy metals represents a major issue, particularly in industrialized areas, leading to the deterioration of water quality and affecting the population who depend on it for drinking, irrigation and various domestic practices [3,4]. Heavy metals have a high persistence and bioaccumulation potential and some of them are harmful even at low concentrations, such as chromium (Cr), lead (Pb) and cadmium (Cd) [5,6,7]. Studies have demonstrated that heavy metal contamination of water may cause cancer, brain inflammation, cardiovascular problems, kidney damage and other disorders [8,9,10,11,12,13,14].
The chemistry of water is an important factor in determining its usage, thus, the analysis of hydrochemistry plays an important role in assessing water quality and in identifying various pollutants pathways. In this regard, there are several methods used in literature such as pollution indices, water evaluation indices and multivariate statistical analysis [15,16,17,18]. The heavy metal pollution index (PI) is one of the widely used techniques for the assessment of water quality and it indicates the concentrations of elements [19,20]. Among the methods used for the estimation of human health risk, the chronic daily intake (CDI) and the hazard quotient (HQ) can indicate the risk of cancerous and non-cancerous diseases in adults and children [21,22]. In order to determine the water typology, the Piper diagram and the Gibbs plot are employed in several studies to analyze the hydrochemical facies and the correlation among groundwater chemistry and geomorphological processes, respectively [2,23].
Water quality assessment is among the most essential aspects of water resources management, safe drinking water being a fundamental necessity for human health, particularly where water wells are directly used as sources of drinking water. Therefore, the aim of the current preliminary study is to investigate the quality of water utilized as a drinking water source, as well as the chemistry of water based on specific analytical methods, heavy metal pollution indices and water typology, by using diverse plots. Furthermore, the heavy metals pollution potential and risk assessment of toxins is evaluated by the human health risk assessment of heavy metals toxicity through water ingestion on two categories of population (adults and children). Its significance is given by the fact that the location of the study area is near an industrial plant and imposes the determination of chemical composition of water sources used as drinking water and the potential pollution status and risk on human health. The novelty of study is provided by the previously specified objectives, as well as by the upgradation of the data base related to water quality in this specific area.
2. Materials and Methods
2.1. Study Area and Sampling
The current preliminary study was carried out in an urban area (Medias, a small town with approx. 44,000 inhabitants, in 2011), situated in the central part of Romania, nearby a metallurgical industrial plant (Figure 1). Placed at an altitude of approx. 300 m, with a surface area of 62 km2, it is split by the Tarnava River.
Figure 1.
Location of the study area at European and national levels.
The area is characterized by a temperate continental climate, with four seasons. The dominant direction of the wind is NE, “coming” directly from the industrial area. The main sources of drinking water are represented by the distribution system, surface waters and groundwater (water wells and springs). The population living at private residences relies on water wells for drinking, household activities and agricultural practices; therefore, the quality of groundwater is important [24]. Natural weathering and proximity to industrial areas alters the quality of soil and water. Groundwater sources are influenced by atmospheric pollution followed by precipitation and water loss through soil. In order to prevent health risks, water monitoring is highly recommended.
In this consideration, 15 samples were collected from water wells during the dry season, which usually occurs from June to August. They were chosen randomly, covering the entire urban area of a locality, situated at approximatively 15 km from an industrial area, the water being used as drinking sources. Pre-washed polyethylene bottles were used to collect samples which were then rinsed with the obtained samples. A clean polyethylene bucket was used to collect the sample from the water well, which was submerged beneath the water mirror for at least one meter. Samples were codified from 1–15 and stored at a controlled temperature until the chemical analyses.
2.2. Sample Preparation and Chemical Analysis
Samples were filtered through 0.45 µm cellulose acetate membrane filters. For the metal determinations (Ca, Mg, Na, K, Fe, Zn, Pb, Mn, Cu, Cd, Cr, Ni, As), 65% HNO3 (Merck, Darmstadt, Germany) was added and extracted at the controlled temperature and pressure. After cooling, samples were filtered, diluted with ultrapure water and analyzed by spectrometry, using an Optima 5300 DV inductively coupled plasma atomic emission spectrometer (ICP–OES, Perkin Elmer, Waltham, MA, USA) for Ca, Mg, Na, K, Fe and Zn, and an ELAN DRC II inductively coupled mass spectrometer (ICP–MS, Perkin Elmer SCIEX, Ontario, Canada) for Zn, Pb, Mn, Cu, Cd, Cr, Ni, and As concentrations. Anions (NO2−, NO3−, SO42−, Cl−) were analyzed through a 761 IC compact ion chromatograph (Metrohm, Herisau, Switzerland). Spectrophotometry was used for the NH4+ determination, using a Spectrum BX II UV-Vis Spectrophotometer (Perkin Elmer, Waltham, Massachusetts, USA). pH and electrical conductivity were measured using a multiparameter device (WTW, Weilheim, Germany). The total dissolved solids (TDS) were determined by a gravimetric method, and the total hardness (tH) and HCO3− were analyzed titrimetrically against NaOH and EDTA in the presence of bromocresol green and Eriochrome black T, respectively. Standard procedures were followed for each determination. The quality assurance was performed by analyzing blank, duplicates and standard solutions (traceable from NIST Certipur®, Darmstadt, Germany). Duplicates fit into the established limits. All the reagents were analytical grade and did not need any additional processing to be purified further. The spectroscopy instruments were calibrated using the following standard materials: ICP multi-element standard solution IV, which contains Ca, Fe, K, Mg and Na of 1000 mg L−1 in 5% HNO3; and Multielement Calibration Standard 3, which contains Zn, Pb, Mn, Cu, Cd, Cr, Ni, and As elements of 10 µg mL−1 in 5% HNO3 from Perkin-Elmer, Waltham, MA, USA. The calibration standard solutions were prepared by dilution with ultrapure water (Elga Veolia, High Wycombe, UK). The accuracy of the measurements was tested using a certified standard material, 1643f NIST-Trace in water (National Institute of Standards and Technology, Gaithersburg, MD, USA) with a recovery of 91–104%. The limits of detection (LOD) were calculated as a three times ratio between the standard deviation of a mean signal of the measurement of 10 blank samples and the slope of the calibration curve. The obtained LOD are presented in the supplementary material Table S1. For the calibration of the ion chromatograph, the following standard materials were used: IC Multi-element standard I, (Certipur Merck, Darmstadt, Germany), containing NO3−, SO42− (500 mg/L), Cl− (250 mg/L) and NO2− standard containing 1000 mg/L (Certipur Merck, Darmstadt, Germany), which were diluted using ultrapure water. For the accuracy determination, a certified reference material was used (SPS-NUTR WW1, Spectrapure standards). The accuracy was lower than 10% and recovery ranged between 96–105%. For the quality control of the NH4+ determination, an Ammonium standard solution (1000 mg/L NH4+) was used, traceable from NIST Certipur® supplied by Merck; and certified reference material Ammonium standard solution 0.97 mg/L NH4+-N (NIST Certipur®, Merck, Darmstadt, Germany). The accuracy was 4% and the recovery between 96–106%. The obtained LODs for anions and NH4+ are presented in the supplementary material Table S2.
2.3. Statistics and Water Typology
Statistics (average, minim, maxim, standard deviation, uncertainty), TIS-total Ionic Salinity and Gibbs plots were obtained using the XLStat Microsoft Excel software, version 2020.5.1. The TIS diagram indicates the salinity of waters, based on the TIS isolines of Cl− + HCO3− against SO42−. This diagram is generally used in determining the variety of water-rock interaction typology [25]. Applying the Gibbs diagram, the hydrogeochemical evolution and dominant processes of waters are evaluated. The main processes that are identified according to the Gibbs plot are evaporation, rock weathering and precipitation. This plot is based on the ratio of TDS and ions (Cl−, HCO3− and Ca, Na, K) [26,27]. The typology of water samples was determined by applying the Piper diagram, obtained with the GW_Chart (free version, 1.29) software.
The Piper diagram also assesses the geochemical evolution employing specific ions (HCO3−, Cl−, SO42−, CO32−, K, Mg, Ca and Na). Based on the ions content and interactions, the typology of water is established. The diagram has three components: central diamond plot- reflexing of all ions and two trilinear plots, one for cations and one for anions [28].
2.4. Pollution Assessment
If the water from the sampling points is used as drinking water sources, the potential pollution with heavy metals needs to be assessed and analyzed. Different tools are used in this assessment. The most common and effective methods imply the use of pollution indices. The heavy metal pollution index (PI) is widely and efficiently used in the literature. It is based on the metal concentrations determined in water samples, standard values established by guidelines and specific factors. PI was initially applied by Horton in 1965, and it is calculated through the following Equations (1) and (2):
Wi and Qi represent the unit weightage and the sub-index of the ith indicator; HMi is the amount of the studied heavy metal (mg/L), while Ii and MACi are the ideal value and maximum admissible concentration of heavy metal. In the present study, Ii is considered zero, due to the fact that the Romanian legislation has no recommendation for the heavy metal content in water. The used MACs for each heavy metal were the ones established by the Romanian Regulation and WHO guideline related to the quality of water used for drinking purposes [29,30]. The final score obtained after the PI calculation characterizes the pollution level of waters. According to the PI, there are three pollution levels: low, medium and high. A PI score lower than 50 indicates a low pollution, 50 < PI < 100 shows a moderate pollution, while PI > 100 indicates a high pollution with heavy metals [31].
2.5. Human Health Risk Evaluation
Intake of heavy metals, metalloids and other contaminants through water ingestion might increase carcinogenic and non-carcinogenic human health risks types [32]. Diverse diseases and negative effects may appear especially in infants, if the consumed water is contaminated. Thus, in this study, the human health risk assessment at heavy metals contamination (Cu, Fe, Mn, Zn, Cr, Ni, Pb, Cd) and NO3− was studied and evaluated. Risk assessment was applied for the intake of water through ingestion for two categories of consumers, namely children and adults. Two indices were applied for this purpose, CDI—Chronic Daily Intake and HQ—Hazard Quotient. CDI is usually used in exposure assessment, while HQ in determining the non-carcinogenic risks type. These tools are mathematical expressions defined by the following Equations (3) and (4) [33]:
where, C represents the concentration of contaminants in water (mg/L), DI is the average daily intake (1 L/day for children and 2 L/day for adults), EF and EP are the exposure frequency (365 days/year) and exposure duration (6 years for children and 70 years for adults). BW and AT represent the body weight (10 kg for children and 70 kg for adults) and the averaging time (2190 days for children and 25,550 days for adults) [34,35]. CDI is expressed in mg kg−1 day−1.
For the calculation of HQ, the RfD (oral Reference Dose) is required, because it represents the constant exposure to which people are subjected on a daily basis [33]. The RfD was established by the US EPA for each contaminant and is expressed in mg kg−1 day−1 [36]. Hence, the RfD for Cu is 0.0005 mg kg−1day−1, RfDFe = 0.7 mg kg−1day−1, RfDMn = 0.14 mg kg−1day−1, RfDZn = 0.3 mg kg−1day−1, RfDCr = 1.5 mg kg−1day−1, RfDNi = 0.02 mg kg−1day−1, RfDPb = 0.004 mg kg−1day−1, RfDCd = 1.004 mg kg−1day−1, and RfDNO3 = 1.6 mg kg−1day−1 [36]. The obtained scores, after calculation, indicate two situations: if HQ < 1.0, the exposed population is safe from the exposed risks and if HQ > 1.0, there could be unsafety conditions for the exposed population [33].
3. Results and Discussion
3.1. Water Chemistry
3.1.1. Metal Distribution
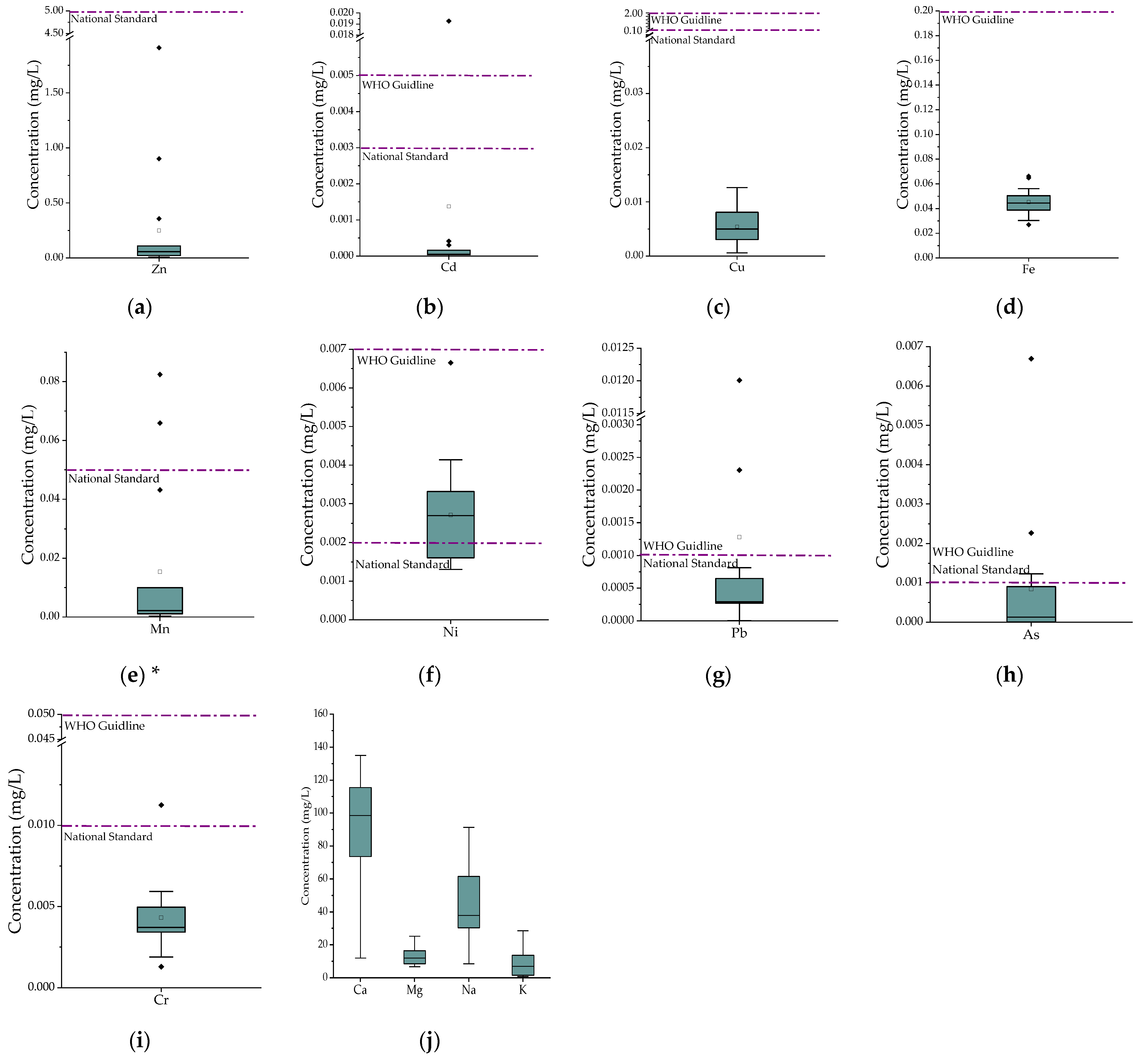
Ca, Mg, Na, K and Fe are essential components of the surface and drinking waters (Figure 2). Almost half of the studied samples had higher Ca concentration, above 90 mg/L, while 50% of the Na concentrations were below 50 mg/L. According to the WHO guidelines for drinking-water quality [33], there are no health-based guideline values for Na content; however, potable water has values of less than 20 mg/L [30].
Figure 2.
The water samples minor element content (Zn (a), Cd (b), Cu (c), Fe (d), Mn (e), Ni (f), Pb (g), As (h) and Cr (i)), in comparison with the WHO guidelines and Romanian national standard values (* guideline values according to Law 458 (2002) and WHO (2011), on drinking water quality) and major element content (Ca, Mg, Na, and K) (j).
More than half (60%) of the studied water samples had Mg contents higher than 10 mg/L. The natural water hardness predominantly originates from the presence of higher Ca and Mg ion. Therefore, drinking water can be a contributor to daily Ca and Mg intake. Thus, the taste-threshold for Ca was estimated to be in the range of 100 and 300 mg/L, which is codependent with the waters Mg content [30]. Therefore, the studied samples according to their Ca, Na and Mg contents can be considered as suitable for consumption.
Seventy percent of the K concentrations (Figure 2) were below 10 mg/L, while 80% of the Fe concentrations (Figure 2d) were below 0.056 mg/L in the studied water samples. The ferric ions can give a reddish-brown color to the waters; however, there is no unpleasant specific taste at a concentration below 0.3 mg/L [30].
The heavy metals and metalloids concentrations ranked as follows in the studied water samples: Zn > Mn > Cu > Cr > Ni > Pb > Cd > As (Figure 2a–i). The highest variation in the obtained results was in the case of Zn, which varied from 0.007 to 1.91 mg/L among the sampling water wells. However, 70% of the studied samples’ Zn concentrations were below 0.100 mg/L. In the case of Cd (Figure 2b), Pb (Figure 2g), As (Figure 2h), Mn (Figure 2e), Ni (Figure 2f) and Cr (Figure 2i), the concentrations exceeded the national standard and/or WHO guideline values only in a few cases; while heavy metals such as Zn (Figure 2a), Cu (Figure 2c), and Fe (Figure 2d) were lower than the national standard and WHO recommendation guideline values [29,30].
The principal component analysis (PCA) showed a total variance of 64.8% with a variance of 38.4% for the PCA1, 26.4% for the PCA2 (Figure 3). The major contributors for PCA1 with a moderate positive loading are Fe, Ni, and Cd and a negative loading in the case of Ca. While, for PCA2, a positive loading was observed on Na, K, Mn, Cu, and Zn. Therefore, the obtained results show two outstanding sampling points (5 and 11) with no correlation with the other sampling points, indicating the differences in the metal concentrations.
Figure 3.
The principal component analysis (PCA) with total metal variables of the water samples in association with the sampling points.
3.1.2. Physico-Chemical Characterization and Water Typology
Several important physico-chemical indicators (pH, EC—electrical conductivity, TDS—total dissolved solids, tH—total hardness, HCO3−, Cl−, SO42−, NH4+, NO3− and NO2−) in drinking water sources were analyzed and they are presented in Table 1.
Table 1.
Statistics of the mean concentrations of physico-chemical indicators in samples 1–15 (with the standard deviation—SD).
All samples had a circumneutral pH, with a mean value of 7.40, ranging between 7.19 and 7.67. EC correlated to the TDS, HCO3−, tH and SO42− concentrations. Sample 14 was characterized by the highest values of the mentioned indicators, probably due to the water-rock interactions and good conditions for the dissolution processes. EC and tH amounts were below the MACs, ranging between 724 and 1674 µS/cm, and 14 and 37 German degree. TDS and HCO3− had means lower than 650 and 440 mg/L, respectively, indicating relatively high amounts of salts in water, influenced by wastewaters, but also by weathering and water-rock interactions. SO42− concentrations were lower than the MAC, but still relatively high. They ranged between 54 and 170 mg/L, and a mean of 110 mg/L. More than half of the samples had SO42− higher than 100. SO42− could be high due to leaching through rocks containing sulphate minerals [37].
The majority of samples were characterized by a Cl− content >80 mg/L, generally having a mean of 74 mg/L. Samples 1, 4 and 5 were rich in Cl−, with sample 4 almost reaching the MAC. Sample 4 was characterized by high TDS and EC, indicating that the source of Cl− could be natural or due to wastewaters leaching.
Nitrogen compounds determined in the water samples generally exceeded the MACs, which is concerning due to the fact that those waters are used as drinking water sources. More than 75% of the samples presented contamination with NO2− and NO3− with values ranging between 0.01 and 2.3 mg/L NO2− and between 31 and 270 mg/L NO3−, while only two samples presented no contamination with NH4+. The mean value for NH4+ was 10.5 mg/L, more than 20 times the MAC. Sources of the nitrogen compounds are related to the use of nitrogen-based fertilizers in agricultural activities. The presence of waste droppings and septic tanks are also sources of nitrogen. It was observed that sample 9 was characterized by the highest amounts of nitrogen compounds and SO42−, and it was the second richest in TDS and high values of EC, tH and HCO3−. Also, the lowest pH was determined in this sample.
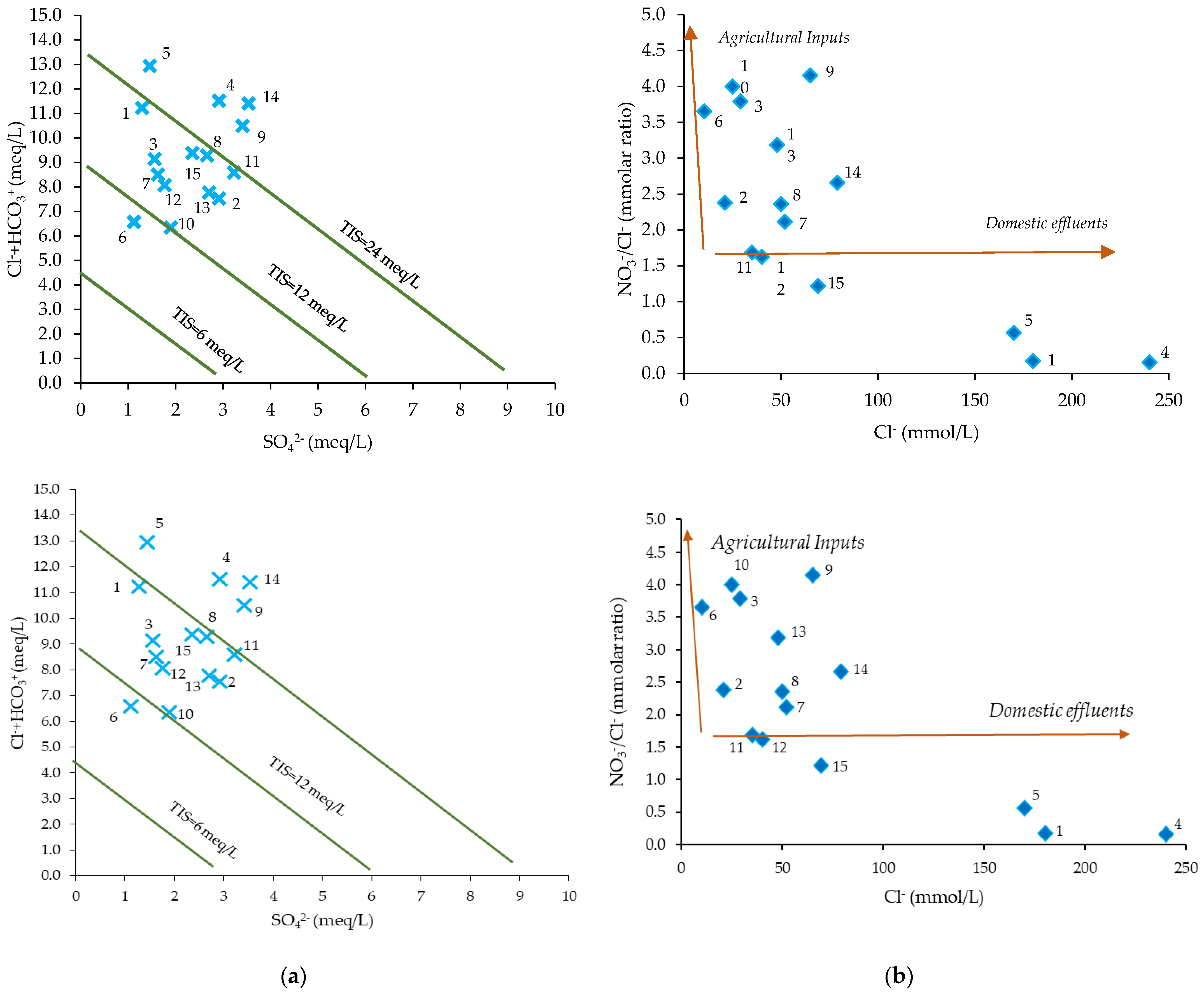
As indicated in Figure 4b, generally, the main sources of Cl− and NO3− are correlated to agricultural inputs. The inhabitants practice agriculture and use fertilizers based on nitrogen. They also raise livestock and the animal waste represents sources of nitrogen compounds. Samples 1, 4 and 5, characterized by the highest Cl− amounts, are influenced by domestic effluents, possibly wastewaters coming from household activities, but also by the soil weathering.
Figure 4.
TISTotal Ionic Salinity plot (a) and sources for Cl− and NO3− (b).
According to the Gibbs diagrams, represented in Figure 5, all chemical processes and the hydrogeochemical evolution of the studied waters have rock dominance. The correlation of high amounts of Cl−, SO42− and HCO3− characterizes the waters with high salinity. Figure 4a indicates the TIS distribution and classification of the studied water samples. The TIS diagram indicates that the majority of samples have a TIS of 12 meq/L, and only one sample (6) has a TIS of 6 meq/L. Less than 30% of the samples have a high TIS (=24 meq/L).
Figure 5.
Gibbs plots applied for water samples 1–15.
The typology of waters was classified using the Piper diagram. Based on the major cations and anions, the Piper plot indicates the water types. The majority of samples are included in the CaMgHCO3− typology. Samples 4 and 5 are classified into the mixed typology. The mixed typology of those two samples is correlated to the highest amounts of nitrogen compounds, SO42−, Cl−, HCO3−, and also the highest values for the EC, TDS and tH. Based on the cations trilinear plot, samples were generally included in the calcium type, except samples 2 and 11, which were not characterized by any dominant type. On the other side, the trilinear anions plot groups two water types, namely sulphate type (samples 2, 3, 5–15) and non-dominant type (samples 1 and 4) (Figure 6).
Figure 6.
Piper plot applied for water samples 1–15.
In different studies, other drinking water sources from Romania are characterized by the presence of diverse contaminations, due to anthropogenic activities and natural factors. Waters from Central-Eastern Romania were characterized by contamination with Na, Cl−, SO42− and NO3−, with concentrations exceeding the MACs, due to the water-rock interactions, rich in sulphate minerals [38]. Na and Cl− ranged between 11 and 486 mg/L and 2.1 and 840 mg/L, respectively, while SO42− and NO3− varied between 28 and 1246 mg/L and 0.1 and 99 mg/L, respectively [38]. In the Apuseni Mountains, Romania, waters had a good quality status; all the studied indicators were below the MACs, although they were influenced by geological characteristics [39]. Concentrations ranged between 8.5 and 91 mg/L Na, 4.7 and 180 mg/L Cl−, 4.0 and 211 mg/L SO42− and 0.15 and 211 mg/L NO3− [39]. In Central and North-Western Romania, a study indicated that the drinking water sources were characterized by NO3− (0.2–50 mg/L) contamination and richness in turbidity (0.1–11 NTU), K (0.3–10 µg/L), Ba (1.9–896 µg/L), Mn (1.1–56 µg/L) and Fe (1.4–293 µg/L). The high amounts exceeding the MACs are correlated with domestic and agricultural practices, such as household, wastewaters, and the use of fertilizers [37]. A low pH and the presence of geogenic sources (granite, manganese and volcanic rocks) influences the water composition [37]. In other studies from different countries (Palestine, Turkey), Na varied between 11 and 51 mg/L, and 21 and 91 mg/L in Turkey and Palestine, respectively; while Cl− varied between 35 and 100 mg/L in Turkey and 33 and 132 mg/L in Palestine. SO42− was lower than 22 mg/L in Turkey and 48 mg/L in Palestine and NO3− lower than 8.9 mg/L in Turkey and 46 mg/L in Palestine [40,41].
3.2. Contaminants Pollution Assessment
Considering the high amounts of heavy metals, a pollution assessment was carried out and analyzed. In order to determine the pollution level, the PI was calculated based on the Cu, Fe, Mn, Zn, Cr, Ni, Pb and Cd measured in the water samples, and on the MACs established by Law 311 and WHO guidelines [29,30]. The obtained results are indicated in Figure 7.
Figure 7.
Pollution level based on PI scores (same samples, two scales 0–15 and 0–250 mg/L).
PI scores ranged between 2.0 and 226, with the highest score being obtained in sample 5, characterized by the highest Cd, Ni and Pb amounts. Cd exceeded the MACs more than two times. Sample 5 also contained high amounts of Cr, Cu, Fe and Zn. Thus, the high amounts of heavy metals were correlated with the PI scores. Sample 5 was likely the most vulnerable to Cd contamination through atmospheric deposition. Two pollution levels were obtained, based on the PI, namely low and high pollution, as presented in Figure 7. Sample 5 had a high pollution degree, while the majority of samples were characterized by a low pollution level. Samples 2 and 11 had the second-highest PI scores, but still under the limit (50 mg/L), obtained by Bhuiyan et al. [31]. These high PI scores were correlated with the high Cu and Mn concentrations, in sample 2, exceeding the MAC for Mn, by almost two times, while the PI score in sample 11 was related to the highest amount of Zn and high Mn concentration, exceeding the MAC at 16 mg/L. Samples 7 and 15 had the lowest PI scores (PI < 3.0), which recommended both samples as being safe for consumption.
Compared to other studies conducted in Romania [37], which also utilized the PI to assess pollution, PI scores obtained in the study conducted in drinking water sources from Central and North-Western Romania were two times higher [37]. PI scores obtained in that study indicated low and high pollution levels with metals, based on PI scores ranging between 2.44 and 100. The high PI scores were associated with high Fe and Li concentrations determined in the drinking water sources from Central and North-Western Romania [37]. Studies from Bangladesh showed PI scores ranging between 5.0–149, classifying drinking waters sources into three pollution levels, namely low, medium and high. Scores were related to the Mn, Fe and Pb concentrations [31]. A different study from South Africa showed that the studied groundwater sources were characterized by heavy metal pollution, with scores higher than 60 [42]. The scores of the pollution index were correlated to the high amounts of Cu, Fe, Mn, Ni and Zn. The potential sources of those heavy metals were mining activities [42].
3.3. Exposure and Risk Assessment at Heavy Metals, and Nitrate, Nitrite
Due to the high levels of several heavy metals and nitrogen compounds determined in the water samples, as well as the pollution levels indicated by the PI, a risk assessment is required, especially if waters are sources of drinking water. The exposure through ingestion was assessed by calculating the CDI-Chronic Daily Intake. The CDI was applied in the case of adults and children. Related to the exposure to heavy metals, CDI varied between 0.00001 and 0.05 mg kg−1 day−1 for adults, and between 0.00001 and 2.53 mg kg−1 day−1 for children. In total, 50% of the samples had a Cu intake higher than 1.0, while the Fe, Mn, Zn, Cr, Ni, Pb and Cd intake was below 1.0. For the CDI of all the studied heavy metals, in the case of adults it was lower than 1.0. The CDIs of each heavy metal for adults and children are indicated in Figure 8.
Figure 8.
Risk assessment of heavy metals through water ingestion expressed as cumulated CDI (1) and HQ (2) scores for adults and children.
Heavy metal exposure can have a variety of negative health effects. For example, a water rich in Cu, if ingested, could lead to heart and kidney disorders, neurobehavioral abnormalities and gastrointestinal stress [37,43].
Mn, Fe and Zn are significant microelements for metabolism functioning, but excessive exposure could lead to health disorders. In comparison to the other heavy metals, Mn is abundant in nature. Long-term exposure to Mn can cause mitochondrial dysfunction, neurological complications (Parkinson and Alzheimer diseases), and apoptotic cell death. High amounts of Fe and Zn affect neurodevelopment [43]. Exposure to Ni, working as a carcinogen, affects the generation of free radical, gene regulation and hepatic functions [43]. Pb and Cd are non-essential metals. Contaminated water with Pb has poisoning effects, causing intellectual abnormalities, especially in children. Pb has the ability to affect all organs, in particular the kidney, triggering renal failure caused by glomerulonephritis, interstitial fibrosis, proximal tubular dysfunction, hyperplasia or atrophy of the tubules [43]. CD causes neurotoxicity, with poisoning effects, such as the itai-itai disease. It inhibits the neuron gene expression, leads to endocrine disruption and epigenetic effects and causes diverse and intense symptoms such as aminoaciduria, Fanconi-like syndrome or glucosuria. It also has an impact on renal and kidney functioning. On the other hand, Cr mainly affects the immune system and induces hypersensitivity reactions, such as anaphylaxis. Exposure to Cr causes allergies in the dermal tissues [43].
Regarding nitrates and nitrites exposure, CDI varied between 0.0003 and 7.17 mg kg−1 day−1 for adults, and between 0.001 and 27 mg kg−1 day−1 for children. Sample 9 had the highest CDINO3 (7.71 and 27 mg kg−1 day−1) and sample 2 the highest CDINO2 (0.07 and 0.23 mg kg−1 day−1, respectively) in adults and children. The average CDINO3 was 2.92 and 10.2 mg kg−1 day−1 for adults and children, respectively, while the average CDINO2 was 0.03 and 0.12 mg kg−1 day−1 for adults and children, respectively. Water sources with increased NO3− levels are harmful, especially for bottled-infants. The occurrence of methaemoglobinaemia and congenital malformations are the most damaging and dangerous diseases related to nitrate contamination. This affection causes cyanosis and asphyxia in higher amounts. Similarly, there are possible effects on the thyroid, such as goiter can ensue [30]. On the other hand, exposure to NO2− can cause gastric cancer, due to the formation of N-nitroso compounds, after NO2− reacts with the nitrosatable compound from the stomach. N-nitroso compounds are carcinogenic in the human body [30].
According to the HQ scores related to the heavy metals, no potential non-carcinogenic risks type occurs in the case of adults. HQ scores were lower than 1.0, indicating that the water is suitable for drinking. The highest score was obtained in sample 11, with HQ = 0.72, and the lowest in samples 3 and 15, with HQ < 0.0001. The trend of exposure to heavy metals is Cu > Zn > Pb > Mn > Ni > Fe > Cd > Cr. In the case of children, 50% of samples were not safe for consumption. The HQ scores were higher than 1.0 in the samples 2–5, 10–12. The exposure trend was similar in both children and adults.
The contamination with NO3− and NO2− is also reflected in the HQ scores. All samples present non-carcinogenic risks type of nitrogen compounds, except for NO2− for adults. HQNO3 ranged between 1.94 and 17 for children and 0.55 and 4.82 for adults. HQNO2 ranged between 0.1 and 2.3 for children and between 0.003 and 0.66 for adults.
These results were correlated to other studies conducted in different areas of Romania [37,39] on groundwaters utilized as drinking water sources. CDI scores related to heavy metals ranged between 3.0 × 10−5 and 5.2 × 10−4 mg kg−1 day−1 for Cu, 2.4 × 10−2 and 2.1 × 10−1 mg kg−1 day−1 for Zn, 3.0 × 10−5 and 1.7 × 10−3 mg kg−1 day−1 for Mn, and 4.0 × 10−5 and 9.0 × 10−3 mg kg−1 day−1 for Fe. CDI of nitrogen compounds ranged between 6.0 × 10−5 and 2.5 × 10−4 mg kg−1 day−1 for NO2− and 4.9 × 10−3 and 1.5 mg kg−1 day−1 for NO3−. HQ scores varied between 8.0 × 10−4 and 1.3 × 10−2 for Cu, 7.9 × 10−2 and 6.9 × 10−1 for Zn, 2.0 × 10−4 and 1.2 × 10−2 for Mn, and 1.0 × 10−4 and 1.3 × 10−2 for Fe. In the case of nitrogen compounds, the HQ varied between 2.1 × 10−2 and 8.2 × 10−2 for NO2−, and 3.1 × 10−3 and 9.6 × 10−1 for NO3− [37]. Generally, water wells used as drinking water sources are contaminated with nitrogen compounds, due to the intense agricultural practices in the areas with wells [37,39]. In other studies conducted at the international level (South Africa, Iran, Brazil), the CDI scores ranged between 7.5 × 10−4 and 6.2 × 10−4 mg kg−1 day−1 for Cu, 5.5 × 10−4 and 1.5 × 10−3 mg kg−1 day−1 for Ni, 6.8 × 10−2 and 2.1 × 10−1 mg kg−1 day−1 for Fe and 5.9 × 10−4 and 2.8 × 10−3 mg kg−1 day−1 for Zn in South Africa. In Iran, the values ranged from 0.002 to 0.047 µg kg−1 day−1 for Pb, 0.003 to 0.814 µg kg−1 day−1 for Cr and 0.001 to 0.11 µg kg−1 day−1 for Ni, while in Brazil from 1.6 × 10−2 to 6.6 × 10−1 mg kg−1 day−1 for Cu, 1.7 × 10−1 to 8.5 mg kg−1 day−1 for Pb and 1.5 × 10−2 to 7.6 × 10−1 for Mn [33,42,44]. The HQ for the studied heavy metals in Iran, Brazil and South Africa were lower than 1.0, indicating no human health risk [33,42,44].
4. Conclusions
The chemistry of water samples collected from an urban area situated near an industrial facility was characterized by high amounts of salts. Waters used as drinking water sources were contaminated with nitrogen compounds, NO2−, NO3− and NH4+, exceeding more than 20 times the MACs related to the quality of drinking water. Intense agricultural practices and household activities represent the main sources of contamination. The samples were characterized by a high TIS with rock dominance related to the hydrogeochemical evolution of waters and their main chemical processes.
Based on the Piper diagram, the studied water samples were grouped into two main types. The majority of the samples had a CaMgHCO3− typology and two samples had a mixed typology. The variations of the major elements content such as Ca, Mg, Na, K and Fe were observed to be ordinary at the sampling points. However, heavy metals such as Cd, Ni, Cr, Pb, and As exceeded the guideline values in a few cases.
Heavy metal pollution was studied and assessed based on the PI-pollution index, the results ranging between 2.0 and 226. The majority of the samples had PI scores lower than 50, indicating a low pollution degree, with the exception of one sample, which was characterized by a significant pollution degree. The sample chemistry is correlated with the PI score, heavy metal composition, and also anions concentration.
Human health risk assessment of heavy metals exposure indicated no non-carcinogenic risks type at Cu, Fe, Mn, Zn, Cr, Ni, Pb and Cd, for adults or children. On the other hand, human risk assessment at NO2− and NO3− indicated health risks and the occurrence of potential negative effects on human health if the water from the studied locations was to be consumed.
The results obtained in this preliminary study sets the basis for future research in the area to more decisively identify the impact of water contamination, and it could help in depolluting and preventing the pollution of drinking water sources. Health risks in heavy metals and nitrogen compounds exposure could be prevented if the data of this study is made available to the inhabitants, authorities and stakeholders.
Supplementary Materials
The following supporting information can be downloaded at: https://www.mdpi.com/article/10.3390/w15061180/s1: Table S1. The metals detection limits (LOD) for the water samples analyzed by spectrometry methods. Table S2. The limits of detection (LOD) for the anion determinations using liquid ion chromatography analysis by ion chromatograph and NH4+ using UV-VIS spectrometer. Table S3. The metallic impurities in the Multielement Calibration Standard 3, from Perkin-Elmer (Waltham, MA, USA). Table S4. The water samples Ca, Mg, K, and Fe contents. Table S5. The water samples Zn, Pb, Mn, Cu, Cd, Cr, Ni, and As contents. Table S6. The calculated Chronic Daily Intake (CDI) for all studied heavy metals, in the case of children. Table S7. The calculated Chronic Daily Intake (CDI) for all studied heavy metals, in the case of adults. Table S8. The calculated Hazard Quotient (HQ) for all studied heavy metals, in the case of children. Table S9. The calculated Hazard Quotient (HQ) for all studied heavy metals, in the case of adults.
Author Contributions
Conceptualization, M.-A.R.; methodology, M.-A.R., E.K. and A.I.T.; formal analysis, M.-A.R., M.S.; investigation, M.-A.R., E.K. and A.I.T.; writing—original draft preparation, M.-A.R., E.K. and A.I.T.; writing—review and editing M.-A.R., E.K., A.I.T. and C.R.; visualization, M.-A.R., E.K. and A.I.T.; supervision, M.-A.R. All authors have read and agreed to the published version of the manuscript.
Funding
This research was funded by the Ministry of Research, Innovation and Digitization through Program 1—Development of the national research & development system, Subprogram 1.2—Institutional performance—Projects that finance RDI excellence, Contract No. 18PFE/30.12.2021 and was carried out through the Core Program within the National Research Development and Innovation Plan 2022–2027, carried out with the support of MCID, project No. PN 23 05.
Data Availability Statement
Data sharing not applicable.
Conflicts of Interest
The authors declare no conflict of interest.
References
- Bouselsal, B.; Saibi, H. Evaluation of groundwater quality and hydrochemical characteristics in the shallow aquifer of El-Oued region (Algerian Sahara). Groundw. Sustain. Dev. 2022, 17, 100747. [Google Scholar] [CrossRef]
- Kom, K.P.; Gurugnanam, B.; Sunitha, V.; Reddy, Y.S.; Kadam, A.K. Hydrogeochemical assessment of groundwater quality for drinking and irrigation purposes in western Coimbatore, South India. Int. J. Energy Water Res. 2022, 6, 475–494. [Google Scholar] [CrossRef]
- Mokarram, M.; Saber, A.; Sheykhi, V. Effects of heavy metal contamination on river water quality due to release of industrial effluents. J. Clean Prod. 2020, 277, 123380. [Google Scholar] [CrossRef]
- Baskaran, P.; Abraham, M. Evaluation of groundwater quality and heavy metal pollution index of the industrial area, Chennai. Phy. Chem. Earth 2022, 128, 103259. [Google Scholar] [CrossRef]
- El-Sorogy, A.S.; Youssef, M.; Al-Hashim, M.H. Water quality assessment and environmental Impact of heavy metals in the red sea coastal seawater of Yanbu, Saudi Arabia. Water 2023, 15, 201. [Google Scholar] [CrossRef]
- Aradpour, S.; Noori, R.; Vesali Naseh, M.R.; Hosseinzadeh, M.; Safavi, S.; Ghahraman-Rozegar, F.; Maghrebi, M. Alarming carcinogenic and non-carcinogenic risk of heavy metals in Sabalan dam reservoir, Northwest of Iran. Environ. Pollut. Bioavail 2021, 33, 278–291. [Google Scholar] [CrossRef]
- Cadar, O.; Miclean, M.; Cadar, S.; Tanaselia, C.; Senila, L.; Senila, M. Assessment of heavy metals in cows milk in Rodnei mountains area, Romania. Environ. Eng. Manag. J. 2015, 14, 2523–2528. [Google Scholar] [CrossRef]
- Vardhan, K.H.; Kumar, P.S.; Panda, R.C. A review on heavy metal pollution, toxicity and remedial measures: Current trends and future perspectives. J. Mol. Liq. 2019, 290, 111197. [Google Scholar] [CrossRef]
- Sankhla, M.S.; Kumari, M.; Nandan, M.; Kumar, R.; Agrawal, P. Heavy metals contamination in water and their hazardous effect on human health-A review. Int. J. Curr. Microbiol. Appl. Sci. 2016, 5, 759–766. [Google Scholar] [CrossRef]
- Jamshaid, M.; Khan, A.A.; Ahmed, K.; Saleem, M. Heavy metal in drinking water its effect on human health and its treatment techniques–a review. Int. J. Biosci. 2018, 12, 223–240. [Google Scholar] [CrossRef]
- Abu-Dief, A.M.; Abdel-Rahman, L.H.; Abd– El Sayed, M.A.; Zikry, M.M. Green synthesis of silver nanoparticles using delonix regia extract, characterization and its application as adsorbent for removal of Cu (II) ions from aqueous solution. Asian J. Appl. Chem. Res. 2021, 9, 1–15. [Google Scholar] [CrossRef]
- Abu-Dief, A.M.; Zikry, M.M. Adsorption of the heavy metal ions onto bio sorbents: A review. Int. J. Nano Chem. 2018, 4, 27–39. [Google Scholar] [CrossRef]
- Abu-Dief, A.M.; Hamdan, S.K. Functionalization of magnetic nano particles: Synthesis, characterization and their application in water purification. Am. J. Nanosci. 2016, 2, 26–40. [Google Scholar] [CrossRef]
- Abdel-Rahman, L.H.; Abu-Dief, A.M.; Abd- El Sayed, M.A.; Zikry, M.M. Nano sized moringa oleifera an effective strategy for Pb(II) ions removal from aqueous Solution. Chem. Mat. Res. 2016, 8, 8–22. [Google Scholar]
- Karaouzas, I.; Kapetanaki, N.; Mentzafou, A.; Kanellopoulos, T.D.; Skoulikidis, N. Heavy metal contamination status in Greek surface waters: A review with application and evaluation of pollution indices. Chemosphere 2021, 263, 128192. [Google Scholar] [CrossRef]
- Bodrud-Doza, M.; Islam, A.R.M.T.; Ahmed, F.; Das, S.; Saha, N.; Rahman, M.S. Characterization of groundwater quality using water evaluation indices, multivariate statistics and geostatistics in central Bangladesh. Water Sci. 2019, 30, 19–40. [Google Scholar] [CrossRef]
- Alexakis, D.E. Meta-evaluation of water quality indices. Application into groundwater resources. Water 2020, 12, 1890. [Google Scholar] [CrossRef]
- Kumar, V.; Parihar, R.D.; Sharma, A.; Bakshi, P.; Singh Sidhu, G.P.; Bali, A.S.; Karaouzas, I.; Bhardwaj, R.; Thukral, A.K.; Gyasi-Agyei, Y.; et al. Global evaluation of heavy metal content in surface water bodies: A meta-analysis using heavy metal pollution indices and multivariate statistical analyses. Chemosphere 2019, 236, 124364. [Google Scholar] [CrossRef] [PubMed]
- Prasad, B.; Sangita, K. Heavy metal pollution index of ground water of an abandoned open cast mine filled with fly ash: A case study. Mine Water Environ. 2008, 27, 265–267. [Google Scholar] [CrossRef]
- Khan, R.; Saxena, A.; Shukla, S.; Sekar, S.; Senapathi, V.; Wu, J. Environmental contamination by heavy metals and associated human health risk assessment: A case study of surface water in Gomti River Basin, India. Environ. Sci. Pollut. Res. Int. 2021, 28, 56105–56116. [Google Scholar] [CrossRef]
- Muhammad, S.; Shah, M.T.; Khan, S. Health risk assessment of heavy metals and their source apportionment in drinking water of Kohistan region, northern Pakistan. Microchem. J. 2011, 98, 334–343. [Google Scholar] [CrossRef]
- Castresana, G.P.; Roldán, E.C.; García Suastegui, W.A.; Morán Perales, J.L.; Cruz Montalvo, A.; Silva, A.H. Evaluation of health risks due to heavy metals in a rural population exposed to atoyac river pollution in Puebla, Mexico. Water 2019, 11, 277. [Google Scholar] [CrossRef]
- Alqarawy, A.; El Osta, M.; Masoud, M.; Elsayed, S.; Gad, M. Use of hyperspectral reflectance and water quality indices to assess groundwater quality for drinking in arid regions, Saudi Arabia. Water 2022, 14, 2311. [Google Scholar] [CrossRef]
- Marculet, V.; Marculet, I. Medias. History, Demography, Personalities. Studies, Communications and Articles; Saint Nicholas Publisher: Braila, Romania, 2011. (In Romanian) [Google Scholar]
- Apollaro, C.; Buccianti, A.; Vespasiano, G.; Vardè, M.; Fuoco, I.; Barca, D.; Bloise, A.; Miriello, D.; Cofone, F.; Servidio, A.; et al. Comparative geochemical study between the tap waters and the bottled mineral waters in Calabria (Southern Italy) by compositional data analysis (CoDA) developments. Appl. Geochem. 2019, 107, 19–33. [Google Scholar] [CrossRef]
- Lyu, M.; Pang, Z.; Yin, L.; Zhang, J.; Huang, T.; Yang, S.; Li, Z.; Wang, X.; Gulbostan, T. The control of groundwater flow systems and geochemical processes on groundwater chemistry: A case study in Wushenzhao basin, NW China. Water 2019, 11, 790. [Google Scholar] [CrossRef]
- Gibbs, R.J. Mechanisms controlling world water chemistry. Science 1970, 170, 1088–1090. [Google Scholar] [CrossRef] [PubMed]
- Piper, A.M. A graphic procedure in the geochemical interpretation of water-analyses. Trans. Am. Geophys. Union 1944, 25, 914–928. [Google Scholar] [CrossRef]
- Law 311 from 6rd June 2004 That Improves and Complements Law 458 from 29 July 2002 Regarding the Quality of Drinking Water. Official Gazette. Part I, no. 582/30.06.2004. Available online: https://www.lege-online.ro/lr-LEGE-311%20-2004-(53106)-(1).html (accessed on 16 January 2023). (In Romanian).
- WHO. Guidelines for Drinking-Water Quality, 4th ed.; Incorporating the 1st Addendum; 2017; Available online: https://www.who.int/publications/i/item/9789241549950 (accessed on 16 January 2023).
- Bhuiyan, M.A.; Islam, M.A.; Dampare, S.B.; Parvez, L.; Suzuki, S. Evaluation of hazardous metal pollution in irrigation and drinking water systems in the vicinity of a coal mine area of northwestern Bangladesh. J. Hazard. Mater. 2010, 179, 1065–1077. [Google Scholar] [CrossRef]
- U.S. Environmental Protection Agency, EPA. Risk Assessment Guidance for Superfund Volume I: Human Health Evaluation Manual (Part E). 2004. Available online: https://www.epa.gov/sites/production/files/2015-09/documents/part_e_final_revision_10-03-07.pdf (accessed on 16 January 2023).
- Alidadi, H.; Tavakoly Sany, S.B.; Zarif Garaati Oftadeh, B.; Mohamad, T.; Shamszade, H.; Fakhari, M. Health risk assessments of arsenic and toxic heavy metal exposure in drinking water in northeast Iran. Environ. Health Prev. Med. 2019, 24, 59. [Google Scholar] [CrossRef]
- U.S. Environmental Protection Agency, EPA. Exposure Assessment Tools by Routes-Ingestion. 1992. Available online: https://www.epa.gov/expobox/exposure-assessment-tools-routes-ingestion (accessed on 16 January 2022).
- Ogarekpe, N.M.; Nnaji, C.C.; Oyebode, O.J.; Ekpenyong, M.G.; Ofem, O.I.; Tenebe, I.T.; Asitok, A.D. Groundwater quality index and potential human health risk assessment of heavy metals in water: A case study of Calabar metropolis, Nigeria. Environ. Nanotechnol. Monit. Manag. 2023, 19, 100780. [Google Scholar] [CrossRef]
- U.S. Environmental Protection Agency, EPA. Integrated Risk Information System, IRIS Assessments. 1987. Available online: https://iris.epa.gov/AtoZ/?list_type=alpha (accessed on 16 January 2023).
- Dippong, T.; Hoaghia, M.-A.; Mihali, C.; Cical, E.; Calugaru, M. Human health risk assessment of some bottled waters from Romania. Environ. Pollut. 2020, 267, 115409. [Google Scholar] [CrossRef] [PubMed]
- Senila, M.; Micu, D.; Hoaghia, A.; Levei, E.; Cadar, O.; Kucsicsa, G.; Balteanu, D. Multivariate statistical analysis of water chemistry in wells from Sub-Carpathians of Curvature, Romania. AES Bioflux 2017, 9, 64–71. [Google Scholar]
- Hoaghia, M.-A.; Cadar, O.; Hognogi, G.-G.; Levei, E.; Moisa, C.; Roman, C. Quality and human health risk assessment of metals and nitrogen compounds in drinking water from an urban area near a former non-ferrous ore smelter. Analyt. Lett. 2019, 52, 1268–1281. [Google Scholar] [CrossRef]
- Mahmoud, N.; Zayed, O.; Petrusevski, B. Groundwater quality of drinking water wells in the West Bank, Palestine. Water 2022, 14, 377. [Google Scholar] [CrossRef]
- Tunc, M.S.; Tepe, O.; Unlu, A.; Dursun, A.Y.; Yaman, M. Assessment of groundwater quality in Uluova, Eazig, Turkey. Fresenius Environ. Bull. 2017, 26, 5092–5102. [Google Scholar]
- Atangana, E.; Oberholster, P.J. Using heavy metal pollution indices to assess water quality of surface and groundwater on catchment levels in South Africa. J. Afr. Earth Sci. 2021, 182, 104254. [Google Scholar] [CrossRef]
- Mitra, S.; Chakraborty, A.J.; Tareq, A.M.; Emran, T.B.; Nainu, F.; Khusro, A.; Idris, A.M.; Khandaker, M.U.; Osman, H.; Alhumaydhi, F.A.; et al. Impact of heavy metals on the environment and human health: Novel therapeutic insights to counter the toxicity. J. King Saud. Univ. Sci. 2022, 34, 101865. [Google Scholar] [CrossRef]
- de Queiroz, T.K.L.; Câmara, V.d.M.; Naka, K.S.; Mendes, L.d.C.d.S.; Chagas, B.R.; de Jesus, I.M.; Meyer, A.; Lima, M.d.O. Human Health Risk Assessment Is Associated with the Consumption of Metal-Contaminated Groundwater around the Marituba Landfill, Amazonia, Brazil. Int. J. Environ. Res. Public Health 2022, 19, 13865. [Google Scholar] [CrossRef]
Disclaimer/Publisher’s Note: The statements, opinions and data contained in all publications are solely those of the individual author(s) and contributor(s) and not of MDPI and/or the editor(s). MDPI and/or the editor(s) disclaim responsibility for any injury to people or property resulting from any ideas, methods, instructions or products referred to in the content. |
© 2023 by the authors. Licensee MDPI, Basel, Switzerland. This article is an open access article distributed under the terms and conditions of the Creative Commons Attribution (CC BY) license (https://creativecommons.org/licenses/by/4.0/).







