Characterization and Disinfection by Product Formation of Dissolved Organic Matter in Anaerobic–Anoxic–Oxic Membrane Bioreactor (AAO-MBR) Process
Abstract
1. Introduction
2. Materials and Methods
2.1. Wastewater Samples
2.2. Analytical Methods
2.3. Characterization Methods
2.3.1. Three-Dimensional EEM and FRI Analyses
2.3.2. FT-IR and 1H-NMR Analyses
2.3.3. Molecular Weight (MW) Distribution
2.3.4. Polarity Fraction
2.4. DBPs Formation of DOM
3. Results and Discussion
3.1. Changes in the Characteristics of DOM
3.1.1. Water Quality
3.1.2. Three-Dimensional EEM Analysis of DOM
3.1.3. FT-IR Analysis of DOM
3.1.4. 1H-NMR Analysis of DOM
3.1.5. Molecular Weight Fractions
3.1.6. Polarity Fractions
3.2. Formation of DBPs during Chlorination
3.2.1. Changes in C-DBPFP
3.2.2. Changes in N-DBPFP
3.3. Contributions of DBP Formation Potential from MW Fractions and Polarity Fractions
3.3.1. C-DBPFP of MW Fractions and Polarity Fractions
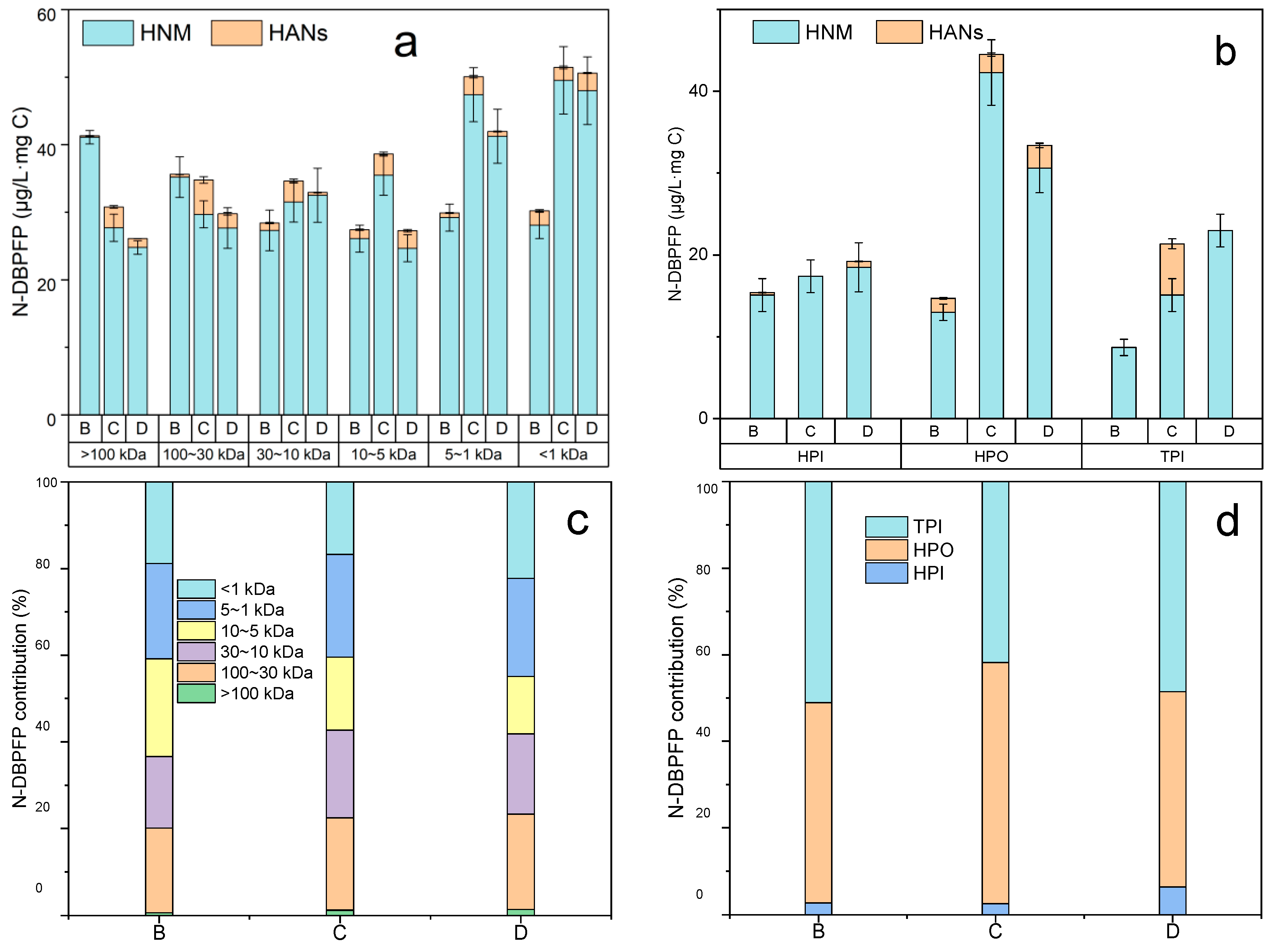
3.3.2. N-DBPFP of MW Fractions and Polarity Fractions
3.4. Changes in C-DBP and N-DBP Yields
4. Conclusions
Author Contributions
Funding
Institutional Review Board Statement
Informed Consent Statement
Data Availability Statement
Conflicts of Interest
References
- Wang, Z.; Yang, Y.; Xiang, W.; Wu, B.; Cui, X.; Zhou, Y. Performance and mechanisms of greywater treatment in a bio-enhanced granular-activated carbon dynamic biofilm reactor. Npj Clean Water 2022, 5, 56. [Google Scholar] [CrossRef]
- Zhou, Y.; Li, R.; Guo, B.; Zhang, L.; Zou, X.; Xia, S.; Liu, Y. Greywater treatment using an oxygen-based membrane biofilm reactor: Formation of dynamic multifunctional biofilm for organics and nitrogen removal. Chem. Eng. J. 2020, 386, 123989. [Google Scholar] [CrossRef]
- Zhou, Y.; Anwar, M.N.; Guo, B.; Huang, W.; Liu, Y. Response of antibiotic resistance genes and microbial niches to dissolved oxygen in an oxygen-based membrane biofilm reactor during greywater treatment. Sci. Total Environ. 2022, 833, 155062. [Google Scholar] [CrossRef]
- Richardson, S.D.; Kimura, S.Y. Water analysis: Emerging contaminants and current issues. Anal. Chem. 2020, 92, 473–505. [Google Scholar] [CrossRef] [PubMed]
- Yang, M.; Zhang, X.; Liang, Q.; Yang, B. Application of (LC/) MS/MS precursor ion scan for evaluating the occurrence, formation and control of polar halogenated DBPs in disinfected waters: A review. Water Res. 2019, 158, 322–337. [Google Scholar] [CrossRef] [PubMed]
- Zhou, H.; Tian, L.; Ni, M.; Zhu, S.; Zhang, R.; Wang, L.; Wang, M.; Wang, Z. Effect of dissolved organic matter and its fractions on disinfection by-products formation upon karst surface water. Chemosphere 2022, 308, 136324. [Google Scholar] [CrossRef] [PubMed]
- Wu, M.; Liang, Y.; Peng, H.; Ye, J.; Wu, J.; Shi, W.; Liu, W. Bioavailability of soluble microbial products as the autochthonous precursors of disinfection by-products in aerobic and anoxic surface water. Sci. Total Environ. 2019, 649, 960–968. [Google Scholar] [CrossRef] [PubMed]
- Xu, X.; Kang, J.; Shen, J.; Zhao, S.; Wang, B.; Zhang, X.; Chen, Z. EEM–PARAFAC characterization of dissolved organic matter and its relationship with disinfection by-products formation potential in drinking water sources of northeastern China. Sci. Total Environ. 2021, 774, 1–9. [Google Scholar] [CrossRef]
- Chang, H.; Chen, C.Y.; Wang, G. Characteristics of C-, N-DBPs formation from nitrogen-enriched dissolved organic matter in raw water and treated wastewater effluent. Water Res. 2013, 47, 2729–2741. [Google Scholar] [CrossRef]
- Fan, Z.; Gong, S.; Xu, X.; Zhang, X.; Zhang, Y.; Yu, X. Characterization, DBPs formation, and mutagenicity of different organic matter fractions in two source waters. Int. J. Hyg. Environ. Health 2014, 217, 300–306. [Google Scholar] [CrossRef]
- Jin, P.; Jin, X.; Bjerkelund, V.A.; Østerhus, S.W.; Wang, X.C.; Yang, L. A study on the reactivity characteristics of dissolved effluent organic matter (EfOM) from municipal wastewater treatment plant during ozonation. Water Res. 2016, 88, 643–652. [Google Scholar] [CrossRef]
- Oh, J.H.; Jang, A. Application of chlorine dioxide (ClO2) to reverse osmosis (RO) membrane for seawater desalination. J. Taiwan Inst. Chem. Eng. 2016, 68, 281–288. [Google Scholar] [CrossRef]
- Ma, D.; Xia, C.; Gao, B.; Yue, Q.; Wang, Y. C-, N-DBP formation and quantification by differential spectra in MBR treated municipal wastewater exposed to chlorine and chloramine. Chem. Eng. J. 2016, 291, 55–63. [Google Scholar] [CrossRef]
- Song, Q.; Graham, N.; Tang, Y.; Siddique, M.S.; Kimura, K.; Yu, W. The role of medium molecular weight organics on reducing disinfection by-products and fouling prevention in nanofiltration. Water Res. 2022, 215, 118263. [Google Scholar] [CrossRef] [PubMed]
- Jiang, J.Y.; Han, J.R.; Zhang, X.R. Nonhalogenated aromatic DBPs in drinking water chlorination: A gap between NOM and halogenated aromatic DBPs. Environ. Sci. Technol. 2020, 54, 1646–1656. [Google Scholar] [CrossRef] [PubMed]
- Zheng, L.; Song, Z.; Meng, P.; Fang, Z. Seasonal characterization and identification of dissolved organic matter (DOM) in the Pearl River, China. Environ. Sci. Pollut. Res. 2016, 23, 7462–7469. [Google Scholar] [CrossRef]
- Deng, L.; Ngo, H.H.; Guo, W.; Zhang, H. Pre-coagulation coupled with sponge-membrane filtration for organic matter removal and membrane fouling control during drinking water treatment. Water Res. 2019, 157, 155–166. [Google Scholar] [CrossRef]
- Zhang, B.; Xian, Q.; Gong, T.; Li, Y.; Li, A.; Feng, J. DBPs formation and genotoxicity during chlorination of pyrimidines and purines bases. Chem. Eng. J. 2017, 307, 884–890. [Google Scholar] [CrossRef]
- Zhong, X.; Cui, C.W.; Yu, S.L. Formation of aldehydes and carboxylic acids in humic acid ozonation. Water Air Soil Pollut. 2017, 228, 1–7. [Google Scholar] [CrossRef]
- Wen, L.; Yang, F.; Li, X. Composition of dissolved organic matter (DOM) in wastewater treatment plants influent affects the efficiency of carbon and nitrogen removal. Sci. Total Environ. 2023, 857, 159541. [Google Scholar] [CrossRef]
- Arshad, Z.; Maqbool, T.; Shin, K.H.; Kim, S.H.; Hur, J. Using stable isotope probing and fluorescence spectroscopy to examine the roles of substrate and soluble microbial products in extracellular polymeric substance formation in activated sludge process. Sci. Total Environ. 2021, 788, 147875. [Google Scholar] [CrossRef] [PubMed]
- Meng, Y.; Wang, M.; Guo, B.; Zhu, F.; Wang, Y.; Lu, J.; Ma, D.; Sun, Y.; Gao, B. Characterization and C-, N-disinfection byproduct formation of dissolved organic matter in MBR and anaerobic-anoxic-oxic (AAO) processes. Chem. Eng. J. 2017, 315, 243–250. [Google Scholar] [CrossRef]
- Wang, M.; Chen, Y.G. Generation and characterization of DOM in wastewater treatment processes. Chemosphere 2018, 201, 96–109. [Google Scholar] [CrossRef] [PubMed]
- Han, H.; Miao, H.; Zhang, Y.; Lu, M.; Huang, Z.; Ruan, W. Carbonaceous and nitrogenous disinfection byproduct precursor variation during the reversed anaerobic-anoxic-oxic process of a sewage treatment plant. J. Environ. Sci. 2018, 65, 335–346. [Google Scholar] [CrossRef] [PubMed]
- Zhang, B.; Xian, Q.; Zhu, J.; Li, A.; Gong, T. Characterization, DBPs formation, and mutagenicity of soluble microbial products (SMPs) in wastewater under simulated stressful conditions. Chem. Eng. J. 2015, 279, 258–263. [Google Scholar] [CrossRef]
- Jacquin, C.; Lesage, G.; Traber, J.; Pronk, W.; Heran, M. Three-dimensional excitation and emission matrix fluorescence (3DEEM) for quick and pseudo-quantitative determination of protein- and humic-like substances in full-scale membrane bioreactor (MBR). Water Res. 2017, 118, 82–92. [Google Scholar] [CrossRef]
- Goletz, C.; Wagner, M.; Grübel, A.; Schmidt, W.; Korf, N.; Werner, P. Standardization of fluorescence excitation–emission-matrices in aquatic milieu. Talanta 2011, 85, 650–656. [Google Scholar] [CrossRef]
- Yu, J.; Xiao, K.; Xue, W.; Shen, Y.X.; Tan, J.; Liang, S.; Wang, Y.; Huang, X. Excitation-emission matrix (EEM) fluorescence spectroscopy for characterization of organic matter in membrane bioreactors: Principles, methods and applications. Front. Environ. Sci. Eng. 2020, 14, 2095–2201. [Google Scholar] [CrossRef]
- Wang, H.; Zhu, Y.; Hu, C.; Hu, X. Treatment of NOM fractions of reservoir sediments: Effect of UV and chlorination on formation of DBPs. Sep. Purif. Technol. 2015, 154, 228–235. [Google Scholar] [CrossRef]
- Li, Z.; Chen, T.; Cui, F.; Xie, Y.; Xu, W. Impact of chitosan and polyacrylamide on formation of carbonaceous and nitrogenous disinfection by-products. Chemosphere 2017, 178, 26–33. [Google Scholar] [CrossRef]
- Rodriguez, F.J.; Schlenger, P.; Garcia-Valverde, G. Monitoring changes in the structure and properties of humic substances following ozonation using UV-Vis, FTIR and (1)H NMR techniques. Sci. Total Environ. 2016, 541, 623–637. [Google Scholar] [CrossRef]
- Liang, J.K.; Lu, Y.; Song, Z.M.; Ye, B.; Wu, Q.Y.; Hu, H.Y. Effects of chlorine dose on the composition and characteristics of chlorinated disinfection byproducts in reclaimed water. Sci. Total Environ. 2022, 824, 153739. [Google Scholar] [CrossRef] [PubMed]
- Golea, D.M.; Upton, A.; Jarvis, P.; Moore, G.; Sutherland, S.; Parsons, S.A.; Judd, S.J. THM and HAA formation from NOM in raw and treated surface waters. Water Res. 2017, 112, 226–235. [Google Scholar] [CrossRef] [PubMed]
- Cui, X.; Wu, B.; Liu, Y.; Ren, Q.; Ren, T.; Zhou, Y. Simultaneous and efficient removal of linear alkylbenzenesulfonate and nitrogen in a membrane biofilm reactor under low dissolved oxygen conditions. ACS EST Eng. 2022, 2, 2234–2244. [Google Scholar] [CrossRef]
- Yin, W.; Yu, Z.; Gao, M.; Liu, Q.; Wu, B.; Ren, T.; Zhou, Y. Aeration-free greywater treatment in a self-sustaining oxygenic photobiofilm: Performance and mechanisms. Chem. Eng. J. 2023, 454, 140336. [Google Scholar] [CrossRef]
- Xia, C.; Ma, D.; Gao, B.; Hu, X.; Yue, Q.; Meng, Y.; Kang, S.; Zhang, B.; Qi, Y. Characteristics and trihalomethane formation reactivity of dissolved organic matter in effluents from membrane bioreactors with and without filamentous bulking. Bioresour. Technol. 2016, 211, 183–189. [Google Scholar] [CrossRef] [PubMed]
- Ma, D.; Gao, B.; Sun, S.; Wang, Y.; Yue, Q.; Li, Q. Effects of dissolved organic matter size fractions on trihalomethanes formation in MBR effluents during chlorine disinfection. Bioresour. Technol. 2013, 136, 535–541. [Google Scholar] [CrossRef]
- Liang, S.; Zhao, Y.; Liu, C.; Song, L. Effect of solution chemistry on the fouling potential of dissolved organic matter in membrane bioreactor systems. J. Membr. Sci. 2008, 310, 503–511. [Google Scholar] [CrossRef]
- Azami, H.; Sarrafzadeh, M.H.; Mehrnia, M.R. Soluble microbial products (SMPs) release in activated sludge systems: A review. Iran. J. Environ. Health Sci. Eng. 2012, 9, 1–10. [Google Scholar] [CrossRef]
- Wang, Z.; Li, M.; Liao, Y.; Pan, L.; Shuang, C.; Li, J.; Zhou, Q.; Li, A. Formation of disinfection byproducts from chlorinated soluble microbial products: Effect of carbon sources in wastewater denitrification processes. Chem. Eng. J. 2022, 432, 134237. [Google Scholar] [CrossRef]
- Shen, Y.C. Formation of nitrogenous disinfection by-products (N-DBPs) in drinking water: Emerging concerns and current issue. In IOP Conference Series: Earth and Environmental Science; IOP Publishing: Bristol, UK, 2015; p. 801. [Google Scholar]
- Fan, Z.; Yang, H.; Li, S.; Yu, X. Tracking and analysis of DBP precursors’ properties by fluorescence spectrometry of dissolved organic matter. Chemosphere 2020, 239, 124790. [Google Scholar] [CrossRef] [PubMed]
- Shen, H.; Chen, X.; Zhang, D.; Chen, H.B. Generation of soluble microbial products by bio-activated carbon filter during drinking water advanced treatment and its influence on spectral characteristics. Sci. Total Environ. 2016, 569, 1289–1298. [Google Scholar] [CrossRef] [PubMed]









| Parameter | Influent | Primary Sedimentation Tank Effluent | Biological Treatment Process Effluent | MBR Effluent |
|---|---|---|---|---|
| DOC (mg L−1) | 112.90 | 64.13 | 47.78 | 12.21 |
| DTN (mg L−1) | 31.54 | 25.00 | 7.95 | 13.95 |
| NH4+-N (mg L−1) | 21.32 | 17.90 | 1.92 | 0.30 |
| NO3-N (mg L−1) | 1.46 | 1.08 | 5.88 | 9.82 |
| NO2-N (mg L−1) | 0.01 | 0.01 | 0.06 | 0.01 |
| DON (mg L−1) | 8.74 | 6.02 | 0.09 | 3.83 |
| UV254 (cm−1) | 0.28 | 0.17 | 0.25 | 0.15 |
| SUVA (L (m·mg)−1) | 0.25 | 0.26 | 0.52 | 1.24 |
| DON/DOC | 0.08 | 0.09 | 0.01 | 0.29 |
| FRI Parameters | EEM Analysis | |||||||||
|---|---|---|---|---|---|---|---|---|---|---|
| EEM Region | Projected Excitation-Emission Area (nm2) | Mfi | Influent | Primary Sedimentation Tank Effluent | Biological Treatment Process Effluent | MBR Effluent | ||||
(×105) | Pi,n (%) | (×105) | Pi,n (%) | (×105) | Pi,n (%) | (×105) | Pi,n (%) | |||
| I | 5000 | 0.16 | 28.93 | 67.67 | 36.58 | 67.32 | 31.22 | 65.46 | 87.26 | 47.97 |
| II | 6250 | 0.21 | 2.71 | 6.34 | 3.07 | 5.65 | 2.84 | 5.96 | 8.96 | 5.95 |
| III | 2500 | 0.08 | 10.39 | 24.30 | 13.68 | 25.17 | 12.53 | 26.29 | 49.72 | 33.03 |
| IV | 16,675 | 0.55 | 0.72 | 1.68 | 1.02 | 1.87 | 1.09 | 2.30 | 4.60 | 3.05 |
| Sum | 30,175 | 1.00 | 42.75 | 100.00 | 54.34 | 100.00 | 47.68 | 100.00 | 150.53 | 100.00 |
Disclaimer/Publisher’s Note: The statements, opinions and data contained in all publications are solely those of the individual author(s) and contributor(s) and not of MDPI and/or the editor(s). MDPI and/or the editor(s) disclaim responsibility for any injury to people or property resulting from any ideas, methods, instructions or products referred to in the content. |
© 2023 by the authors. Licensee MDPI, Basel, Switzerland. This article is an open access article distributed under the terms and conditions of the Creative Commons Attribution (CC BY) license (https://creativecommons.org/licenses/by/4.0/).
Share and Cite
Ren, X.; Wang, F.; Zhang, Y.; Wang, J.; Miao, H. Characterization and Disinfection by Product Formation of Dissolved Organic Matter in Anaerobic–Anoxic–Oxic Membrane Bioreactor (AAO-MBR) Process. Water 2023, 15, 1076. https://doi.org/10.3390/w15061076
Ren X, Wang F, Zhang Y, Wang J, Miao H. Characterization and Disinfection by Product Formation of Dissolved Organic Matter in Anaerobic–Anoxic–Oxic Membrane Bioreactor (AAO-MBR) Process. Water. 2023; 15(6):1076. https://doi.org/10.3390/w15061076
Chicago/Turabian StyleRen, Xueli, Feng Wang, Yajing Zhang, Jiali Wang, and Hengfeng Miao. 2023. "Characterization and Disinfection by Product Formation of Dissolved Organic Matter in Anaerobic–Anoxic–Oxic Membrane Bioreactor (AAO-MBR) Process" Water 15, no. 6: 1076. https://doi.org/10.3390/w15061076
APA StyleRen, X., Wang, F., Zhang, Y., Wang, J., & Miao, H. (2023). Characterization and Disinfection by Product Formation of Dissolved Organic Matter in Anaerobic–Anoxic–Oxic Membrane Bioreactor (AAO-MBR) Process. Water, 15(6), 1076. https://doi.org/10.3390/w15061076
