Next Article in Journal
Estimation of Lake Storage Based on the Surrounding Topography around the Lake from the SRTM DEM
Next Article in Special Issue
High-Performance Forecasting of Spring Flood in Mountain River Basins with Complex Landscape Structure
Previous Article in Journal
Study and Neural Network Analysis on Durability of Basalt Fibre Concrete
Previous Article in Special Issue
Geochemical Features of River Runoff and Their Effect on the State of the Aquatic Environment of Lake Onego
 
 
Font Type:
Arial Georgia Verdana
Font Size:
Aa Aa Aa
Line Spacing:
Column Width:
Background:
Article

Contemporary Sedimentation in Lake Onego: Geochemical Features of Water, Suspended Matter, and Accumulation Rate

by
Natalia A. Belkina
1,*,
Natalia V. Kulik
1,
Natalia A. Efremenko
1,
Maxim S. Potakhin
1,
Vyacheslav I. Kukharev
1,
Aleksandr V. Ryabinkin
1,
Roman E. Zdorovennov
1,
Andrey P. Georgiev
1,
Vera D. Strakhovenko
2,
Ekaterina V. Gatalskaya
1,
Irina Yu. Kravchenko
1,
Anna V. Ludikova
3 and
Dmitry A. Subetto
4
1
Northern Water Problems Institute of the Karelian Research Centre of the Russian Academy of Sciences, 185030 Petrozavodsk, Russia
2
Sobolev Institute of Geology and Mineralogy Siberian Branch Russian Academy of Sciences, 630090 Novosibirsk, Russia
3
Institute of Limnology of the Russian Academy of Sciences, St. Petersburg Federal Research Center of the Russian Academy of Sciences, 196105 St. Petersburg, Russia
4
Herzen State Pedagogical, University of Russia, 191186 St. Petersburg, Russia
*
Author to whom correspondence should be addressed.
Water 2023, 15(6), 1014; https://doi.org/10.3390/w15061014
Submission received: 19 January 2023 / Revised: 1 March 2023 / Accepted: 4 March 2023 / Published: 7 March 2023

Abstract

The spatio-temporal variability of the modern sedimentation process in Lake Onego, the second largest lake in Europe, was evaluated. The chemical composition of the lake water was studied. Sedimentation takes place in the oxidation conditions of low TDS water of the calcium bicarbonate type, where the ratio between terrigenous clastic material and lacustrine biochemical suspended matter in the material deposited to the bottom is close to one. We demonstrate that the sedimentation process in the lake is non-uniform. Sedimentation rates in different regions of the lake were estimated (0.1 to 2 kg per sq. m of bottom surface per year) through in situ surveys with sediment traps. Annual sediment input was estimated on the basis of the lake’s chemical balance. Analysis of the qualitative characteristics of the material deposited to the bottom shows its composition corresponds to the humus-Fe-Si type of sedimentation. The uniform texture and mineral composition and the similar multielement spectra of the sediments suggest that active water dynamics cause fine-grained suspended load to remain in the water column for prolonged time periods. Variations in the sediment chemical composition across the lake are due to natural causesand to unevenly distributed anthropogenic pressure.

1. Introduction

It would be impossible to understand the processes taking place in lake ecosystems and predict their alteration in the future under the impact of climate fluctuations and human pressure without studying continental sedimentation. The sedimentary material generated during the weathering stage in humid climates is transported mostly by rivers and accumulated in the terminal basins, including lakes, as a result of physical, physicochemical, chemical, and biological processes. Lake sediments have a diverse material composition and a highly uneven distribution. Although academic papers on sediments in the lakes situated in the Valdai ice marginal zone are plentiful, they mostly deal with the history of the transition from glacial-type to humid-type lithogenesis [1,2,3,4,5,6,7,8,9,10]. Studies of the modern sedimentation process in lakes of the northern humid zone of Russia have been rather sporadic in the past 30 years.
The close attention to large lakes, where most of freshwater reserves are concentrated, dictates the need for in-depth study of their functioning in modern time. Lake Onego, the second largest oligotrophic cold-water lake in Europe, is situated in Northwest Russia at the boundary of two geological structures (Baltic (Fennoscandian) Shield and Russian Platform). Its water surface area is 9720 km2, water volume is 295 km3, average depth is 33 m, catchment surface area is 53,100 km2, and relative residence time is 15.6 years. The lake contains reserves of high-quality water [11]. Lake Onego catchment is located in the southeastern part of the Baltic (Fennoscandian) Shield. A distinctive geological feature of the region is the omnipresent deposits of the last ice-sheet glaciation and, as a consequence, the heavily dissected topography. Excessive moisture and the numerosity of topographic lows generate abundant surface runoff, promoting erosion, formation of a dense hydrographic network (0.44 km/km2), and a high spatial cover of lakes (8%) and swamps (18%) in the catchment. Most of the catchment area is forested (71%). Agricultural land occupies less than 2% and settlement land occupies less than 1% of the lake basin area. The pulp and paper and forestry industries are dominant in the economic complex. The anthropogenic effect of the forest industry on the lake may be characterized as low. Cities exercise the highest anthropogenic load on Lake Onego. The main water user in the basin is the Kondopoga Pulp and Paper Mill [11,12,13].
Lake Onego has been the object of research by scientists of various specialties for more than 100 years. A lot of factual material was collected about the lake history and the ecological state of the water and bottom sediments [3,4,5,6,7,9,10,11,14,15,16,17,18,19]. Research on modern sedimentogenesis in Lake Onego has recently begun [20,21,22,23,24,25,26,27].
This study is urged by the need to identify the defining natural, and now also technogenic, factors for the formation of freshwater ecosystems in a situation of constant transformation of the catchments, which shape the element migration fluxes and the modern geochemical background for Lake Onego. Therefore, in-depth study of sediment formation processes, including features of the sedimentation environment and material composition of the suspended load, is essential for understanding the mechanisms driving matter and energy flows in the lake.
While the dispersed form of sedimentary material is widespread in nature, it has not been studied extensively, especially in lakes. The published literature contains information on the composition of suspended matter in oceans, seas, and rivers [28,29,30,31,32,33,34]. In the scientific literature, lake sedimentary matter generally refers to the substance of the surface layer of bottom sediments, which is partially true [35,36,37,38]. In lakes with low sedimentation rates, this thin layer of sediment is very difficult to take away. In addition, the freshly deposited substance is immediately included in diagenetic transformations involving benthic organisms.
The rate of accumulation of matter in the bottom sediments is an important characteristic of the lake. Methods of its evaluation include both computational and experimental methods. The most common method is to estimate the lower limit of the sedimentation rate according to the basic equation [39], in which the sedimentation rate is equal to the ratio of the particle flux of their concentration. These values are measured in the reservoir by various methods (gravimetric, optical, fluorimetric, photography, etc.) using different designs and techniques for fixing particles [40]. The observation time is usually limited to several days, which increases the determination error, especially for reservoirs with low sedimentation rates.
The gravitational rate of descent of spherical particles (with the Reynolds number Re < 0.5) in the laminar mode is calculated by the Stokes equation or its modifications [41,42]. The method has limited application, since it does not take into account the turbulent movement of water and does not describe the deposition of irregularly shaped particles (for example, large dead lake zooplacters or corpses with an open carapace and spread antennae [42,43]).
The most accessible laboratory method for determining the sedimentation rate is the settling column method. In vitro deposition (in a cylinder at constant temperature, viscosity, and absence of water movement) makes it possible to obtain an upper limit of the deposition rate [41,44,45,46,47,48,49]. It is obvious that the movement of water, especially vertical turbulence in the lake, significantly reduces the settling rate and redistributes particles in the water column, contributing to a decrease in spatial gradients of the concentration of suspended particles [39,50,51,52].
One of the methods of collecting sedimentary matter is the use of sedimentation traps. The trap ensures the collection of not only predominant but also rare and rapidly descending particles [53]. The material accumulated in the trap most accurately reflects the sedimentation rate in situ [52,54]. However, when using the method, it is necessary to take into account that the suspended matter deposited in the trap undergoes quantitative and qualitative changes during exposure as a result of mineralization by bacteria, zooplankton eating and excretion, wall growth of periphyton, leaching of easily soluble compounds from particles into solution, and other processes [55].
The aim of the study was to investigate the contemporary sedimentation process in Lake Onego. The tasks included the study of the sedimentary environment (geochemistry of water and suspended solid), quantitative and qualitative composition of the suspended load being deposited in the sediment (grain size, geochemistry, mineralogy, and diatoms), and estimation of sedimentation rate through in situ surveys with sediment traps. Using the example of Lake Onego, we decided to show that (1) the accumulation of sedimentary matter in a large lake is a really complex, uneven process controlled by a combination of different factors and (2) a significant proportion of mineral suspended matter entering the bottom of a large lake has an autochthonous genesis.

2. Material and Methods

A network of monitoring stations was created based on the analysis of background information from previous studies of Lake Onego (regarding the catchment and the different sources of matter input to the lake, the basin morphology and hydrographic structure of the lake, water dynamics, characteristics of the chemical and biological regimes, distribution and material composition of sediments, etc.). The reservoir falls into 11 larger (Central (Tsentralnoe) Onego, Greater (Bolshoe) Onego, Southern (Yuzhnoe) Onego, Little (Maloe) Onego, Petrozavodsk Bay, Kondopoga Bay, Lizhma Bay, Gorskaya Bay, Unitskaya Bay, Gulf of Povenets, Bolshaya Bay of the Gulf of Povenets, ZaonezhyeOnego, PyalmaOnego, Kizhi Archipelago) and over 30 smaller (small bays and bights sheltered from the main body of water, receiving discharge from small rivers, and having local-scale bottom depressions) sedimentation basins [14,15,16]. We deployed sediment traps for a 1 year exposure time in 23 sites in sediment accumulation zones across Lake Onego (Figure 1).
Cylindrical sediment traps (STs) were used: (1) small sediment traps (STS) designed by staff of the Shirshov Institute of Oceanology RAS [56] and simplified sediment traps (SST) designed by the authors of this paper (Figure 2). The latter consisted of two PET bottles with 2 L volume and 100 mm diameter. With their bottom parts removed, the bottles were fastened together to form a double-coned cylinder, with the bottom cone for collecting the sample and the top cone preventing sample loss when lifting and moving the trap. Bent rectangular 4 mm thick plates cut out of Ø 100 mm plastic pipe were fastened to the traps for coupling. Rustproof fasteners (Figure 2, designation 5) were used for joining parts together; two loops of stainless steel wire between the plates served to fasten the traps to the buoy rope.
The systems, being light-weight, can be used with small anchors and buoys, small-diameter halyards, and even cords, reducing the cost of a station. Anchored traps with subsurface buoys are set up as follows: A buoy rope with instruments and a halyard running along the bottom to the auxiliary anchor with a small buoy are fastened to the main anchor. The coordinates of the anchors are recorded. The distance between them is several tens of meters at around 20 m depth and decreases with decreasing depth. When the station is being lifted, temporary auxiliary buoys are deployed at the specified coordinates to guide the process of grappling and lifting the horizontal halyard from the bottom and then the station itself.
In most cases, for depths within 20–30 m, this method of deploying, finding, and lifting the stations can be performed with just one watercraft and does not require extra equipment except for a geopositioning device. The performance of the bottom grapple decreases with depth, and its applicability at depths greater than 50 m is questionable. Moreover, lifting the horizontal halyard fastened to two anchors from the bottom in such cases is associated with difficulties growing with deployment depth due to high tension of the halyard.
The depths of most of the sites in Lake Onego are within the 30–100 m interval. That is why, when setting up the traps, the horizontal halyard was positioned not by the bottom but in the water column, making it much easier to spot and lift it when removing the devices. The halyard was fastened to the main and the auxiliary anchors, which were located at 7–10 m depth (Figure 2). The choice of the depth was based on the possible current velocities, which during the ice-free period are 1–3 cm/s in this depth interval, whereas the velocities closer to the surface can be up to tens of cm/s [11], causing buoy ropes to deviate notably from the vertical orientation, thus affecting the performance of the trap.
Rough water, wind, and surface currents common in large bodies of water generate extra challenges, making it difficult to keep the watercraft at the given point. To avoid the undesirable drift, we used an auxiliary halyard fastened to the stern of the anchored research vessel. The halyard was paid out to the necessary distance (15–20 m) and fixed on the workboat, from which the auxiliary anchor and buoy were deployed. Buoy rope length corresponded to the depth in the given point minus 7–10 m. After the coordinates were recorded, the auxiliary halyard was paid out until the workboat reached the position of the trap.
The results of the above methods of setting up, spotting, and removing the traps can be regarded as satisfactory: to wit, in 2019, after a year of exposure, 17 of the 20 traps were retrieved during suitable weather conditions and in three cases the search for the traps had to be postponed because of high wind and waves. In 2020, traps were lifted at 12 stations and in 2021 at 19 stations.
After STS-type traps had been lifted up, the bottles containing the sediment were unscrewed. The content of SST traps was transferred through a funnel into bottles after unplugging (Figure 2). Bottles with water and sediment were taken to the laboratory. Then, their content was transferred to a graduated cylinder and the sediment was stirred up and left to settle for 24 h, after which the sediment column height was measured (with correction to the trap diameter) and liquid was siphoned out, then the sediments weredried for analyses. The sedimentation rate was calculated using the formulas:
τ = h · k t
where τ: sedimentation rate, mm/year; h: height of the wet sediment after deposition in the cylinder for 24 h, mm; k: compaction coefficient of wet bottom sediments at a depth of 5 and 20 cm (NWPI KarRC RAS collection data); t: exposure time, year;
τ = M t · s
where τ: sedimentation rate, g/(m2·year); M: mass of dry sediment accumulated in the trap, g; t: exposure time, year; s: area of trap, m2.
The material composition of sediments from the STs was studied by the following methods. Particle size analysis was conducted at the Core Facility Karelian Research Centre RAS using a Beckman Coulter LS 13 320XR laser diffraction analyzer with an ALM module and PIDS assembly. Laboratories of the Northern Water Problems Institute KarRC RAS offered the facilities for the study of sediment physical characteristics by classical methods: density (p), solid phase density (pm), porosity (por), natural wetness (Wet20), absolute wetness (Wet105), loss on ignition (LOI) (T = 550 °C), and ash content (Ash) (T = 900 °C) were determined gravimetrically; pH and Eh were determined potentiometrically. Phosphorus was measured spectrophotometrically: labile (Pmin) after extraction by 1N H2SO4 solution and total (Ptot) after acid digestion of air-dry sediment according to Kjeldahl. Determinations of organic nitrogen (Norg) after acid digestion according to Kjeldahl and ammonium nitrogen ( N NH 4 + ) followed the method of Conway. Organic carbon (Corg) was determined by Tyurin’s method. The mineralogical (scanning electron microscope MIRA 3 TESCAN) and geochemical (Ca, Mg, Na, Al, K: X-ray fluoroscopy; Fe, Mn, Cd, Pb, Cu, Zn, Mn, Cr, Ni, Co, V, Be, Ba, Sr, Li Mo Sb: atomic absorption) analyses of the solids were performed at the Analytical Center for Multielemental and Isotope Analysis, Siberian Branch RAS.
Chemical analysis of water samples consisted of three stages: (1) sample preservation in situ (CO2, O2, Ptot, Fetot, Mn, microelements); (2) first-day analyses (electrical conductivity (ӕ), CO2, O2, pH, Pmin, NH4+, NO2, suspended solids filtration); (3) analysis with equipment at the Chemical Laboratory of the Northern Water Problems Institute KarRC RAS, including determination of total dissolved solids (Σi) and ion composition (Ca2+, Mg2+, Na+, K+, HCO3, SO42−, Cl), organic matter (color, permanganate index (PI), COD, BOD), nutrients (Ptot, NO3, Norg), lithophile elements (Fe, Si, Al, Mn), and microelements (Cd, Pb, Cu, Zn, Mn, Cr, Ni, Co, V, Be, Ba, Sr, Li) [57].
It should be noted that the data on the chemical composition and particle size analysis of sediments from STs were distorted by aquatic organisms: mineralization by bacteria continues in the suspended matter; part of the material is eaten by zooplankton and then excreted with its excrement. The presence of 3–6 glacial relicts of Cammaracanthuslacustris (Crustacea, Amphipoda) was constantly recorded in traps from the Kondopoga Bay (the most productive bay). Single individuals were rarely found in other areas of the lake. Algae fouling of traps was not observed. In our opinion, the mineral character of the suspended matter from the sedimentation traps of Lake Onego indicates that the processes of its biological destruction do not play such a significant role as it occurs in small highly productive lakes [55], and there are also processes of mechanical and physico-chemical destruction of matter.

3. Results

The results on the chemical composition of water from different regions of Lake Onego are given in Table 1. The results on the sedimentary material from SPs are given in Table 2, Table 3, Table 4, Table 5 and Table 6: details on sediment thickness and duration of exposure are in Table 2, particle size composition is in Table 3 (in particular, cumulative curves plotted based on the quartile method suggested by P.D. Trask [58] were used to calculate the sorting coefficient (So), skewness (Sk), and coefficient K describing the coarse-grained fractions), and the chemical composition of the sediments is in Table 4, Table 5 and Table 6.

4. Discussion

Sedimentation in Lake Onego takes place in the oxidation conditions of low TDS water of the calcium bicarbonate type (Table 1). Water TDS content during the period of observations varied within 29.4–42.4 mg/L. Water pH fluctuated within a narrow range (6.77–7.72), which corresponded to the neutral, weakly alkaline water class. The average content of hydrocarbonates, which contributed 42–68% equiv. to the ion composition, was 21 mg/L. The prevalent cations were calcium (up to 45% equiv.) and magnesium (up to 39% equiv.). Dissolved oxygen content in the lake water was quite high, ranging from 8.3 to 12.1 mg O2/L, which corresponded to 80–99% saturation in the water column and 73–90% in near-bottom water. The range of CO2 concentrations was 1.87–8.58 mg/L. A significantly different content of dissolved oxygen and CO2 was detected in the near-bottom horizon at the top of Kondopoga Bay, where the oxygen concentration was 5.3 mg/L (47% saturation) and the carbon dioxide concentration was 12.4 mg/L.
The distribution of mineral forms of nitrogen in lake water formed the following sequence: NO2 < NH4+ < NO3. The content of nitrate nitrogen (0.08–0.27mgN/L) increased with depth. Organic nitrogen concentration (0.07–0.91 mgN/L), on the contrary, decreased with depth at almost all stations, except for S1 and K6. Phosphorus content averaged over the lake (5 µg/L mineral phosphorus and 21 µg/L total phosphorus) also increased depthwise. The highest concentrations of nitrogen and phosphorus (2–10-fold higher than the average) were detected in Kondopoga Bay and Petrozavodsk Bay as a consequence of human impact on the bays.
Dissolved silicon concentration in the water ranged within 0.17–1.17 mg/L, growing with depth.
In terms of organic matter content, Lake Onego is classified as oligohumic. Water color varied within the 26–76 degree interval. The permanganate index varied within 5.5–15.1 mgO/L. Its values were elevated in the Gulf of Zaonezhye, Unitskaya Bay, and some small inlets as a consequence of humus-rich water input from rivers and more favorable temperature conditions during the growing season, as well as in Kondopoga Bay and Petrozavodsk Bay, which are exposed to heavy anthropogenic pressure. Organic matter content and BOD5 values throughout the lake declined from surface to bottom, indicating active destruction processes taking place in the water column.
The geological and geomorphological inhomogeneity of the Lake Onego catchment, variations in its hydrography, and uneven distribution of the anthropogenic pressure influence the distribution of suspended solids in the lake. The concentration of suspended solids in the water column in open lake regions varied during the period of observations from 0.2 to 1.4 mg/L (0.6 mg/L on average), as a rule increasing with depth. Bays usually contained greater amounts of suspended solids. The highest concentrations were detected in the near-bottom horizons of Kondopoga Bay and Petrozavodsk Bay (up to 4.9 and 9.8 mg/L, respectively).
The range of Fetot concentrations in lake water was quite wide—from 0.04 to 0.47 mg/L. Manganese content in the water column varied from several µg/L to 0.06 mg/L. Iron and manganese concentrations were comparatively higher in Petrozavodsk Bay and Kondopoga Bay, which is explained by characteristics of the catchments of the northwestern rivers that empty into these bays. Our observations as well as previous studies point to a spatially heterogeneous distribution of metals over the lake water area. Thus, there are studies [20,21,22,23] demonstrating that Fe and Mn content in Lake Onego is lower than the regional background and that their concentrations at the bottom are usually higher than in the epi- and hypolimnion. A similar pattern was observed also for other elements: Al (6–43µg/L), Zn (1–13µg/L), Cu (0.6–3.4 µg/L), Ni (0.3–2.1 µg/L), Cr (0.2–1.1 µg/L), Co (0.00–0.05 µg/L), Cd (0.01–0.06 µg/L), Pb (0.02–0.44 µg/L), and As (0.1–1.2 µg/L), with Cu, Pb, and Ni concentrations corresponding to their levels in river water and precipitation. The ratio between suspended and dissolved forms was shown to vary among regions of the lake (the suspended form mostly prevailed in bays exposed to high anthropogenic pressure). Moreover, Mn and Al were mainly present in the suspended form, while в Cu and Ni were mainly present in the dissolved form. Thus, summing up the available information on the distribution and migrations of metals in Lake Onego, we can conclude that the catchment geology has a notable effect on the formation of the suspended material settling to the bottom.
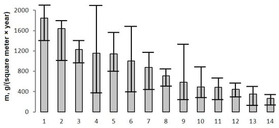
Unevenness of sediment accumulation in Lake Onego manifested itself also during “direct observation” of the sedimentation process by means of traps. The amounts of solids caught in the traps over the period of exposure varied from 0.5 g (st. C4 in Central Onego) to 18.6 g (st. L18 in Little Onego) air-dry weight, which corresponds to the input of 70 and 1900 g·m−2 year−1, respectively (Table 2). Average inputs of sediment to the bottom in different regions of Lake Onego over the 2018–2021 period are shown in Figure 3.
Noteworthy are the very high rates of sedimentation in the periphery of the open lake area (1600 g·m−2 year−1 in Little Onego and 1100 g·m−2 year−1 in Southern Onego) as compared to Central Onego (590 g·m−2 year−1) and Greater Onego (490 g·m−2 year−1). The most probable explanation is the more active abrasion process in these regions. The highest mean annual input of material to the bottom was recorded for the Kondopoga bay head (2050 g·m−2 year−1, estimated using data for four traps deployed in 2018 at st. K3). Yet, since the input at other stations (K50 and K6) in this bay was considerably lower, the average over the bay was 1100 g·m−2 year−1, with the widest range of variation among all the regions surveyed. The lowest values of mean annual sediment input to the bottom were found in the Gulf of Povenets (350 g·m−2 year−1, with variations from 140 to 500) and in Gorskaya Bay entrance area (270 g·m−2 year−1, with variations from 160 to 370).
The rate of suspended matter accumulation on the bottom expressed in units of length (thickness of the layer accumulated over a year) varied between stations by more than an order of magnitude: from 1 mm year−1 (C4) to 3 cm·year−1 (K3) (7 mm on average) of freshly deposited, unconsolidated material (Table 2). Variations in depth as well as in the qualitative and quantitative composition of the sedimentary material are responsible for the different degrees of compaction of the bedded material in the process of diagenesis. Mean annual rates of sediment accumulation in Lake Onego estimated from the inputs of material to STs during the surveys carried out from 2018 to 2021 and recalculated to take into account compaction in ST locations are given in Table 7. Sedimentation rates were estimated for the sediment layer bedded at a 5 cm depth (lower boundary of the zoobenthos-inhabited layer) and 20 cm depth (burial layer, where organic matter decomposition in the early diagenesis no longer plays the key role in the sediment transformation). The lowest estimated sedimentation rates (fractions of mm) were found for deep-water regions: Greater Onego, Gulf of Povenets, and Lizhma Bay. The highest sedimentation rate was observed in the shallow-water Kondopoga bay head, where sediments are formed under the impact of wastewater from the pulp-and-paper mill (PPM).
Another important note is that the sedimentation rates at stations L18 and S3 estimated for the compacted sediment based on the weight of the material trapped during a year (2018–2019) were compared against the sedimentation rates determined by 137Cs and 210Pb isotope dating of the sediment columns from these stations. The values proved to be similar: for Little Onego (L18), they were0.23 and 0.16 mm/year, and for Southern Onego (S3), they were 0.43 and 0.47 mm/year, respectively [24].
Analysis of the particle size composition of the material from STs installed in the accumulation zones in different regions of the lake revealed the following patterns. The grain size distributions of the suspended sediment were similar in most of the studied samples (Table 3, Figure 4).
The sediments were aleuritic silts with bimodal grain size distribution—with predominance of the fine-aleuritic silt fraction (0.01 < ∅ < 0.05 mm, with maximum ∅ ~ 0.03 mm, 57 vol. % on average) and a minor maximum in the medium sand region (0.25 < ∅ < 1 mm, with maximum ∅ ~ 0.4 mm). The exception is the material from the ST in Velikaya Bay (st. GG1), where it is difficult to mark the predominant fraction. The grain size distribution of the sediment trapped at this station was polymodal. The sediment was poorly sorted (Figure 4, Table 3), which is a natural consequence of the specific sediment formation process in this small, shallow, enclosed bay of the Kizhi Archipelago, having no capacity for large-scale dynamical processes promoting sedimentary material differentiation as compared to open, deep-water regions of Lake Onego. According to the sorting coefficients (1.8 to 2.1) calculated for other stations, the material deposited to Lake Onego’s bottom is a moderately sorted sediment (Table 3).
Uniformity of the particle size composition of the trapped suspended material is due to the fact that the sedimentation of silt- and clay-sized solids in large bodies of water is significantly influenced by thermo-hydrodynamic processes, e.g., the thermal regime in the central, open areas of Lake Onego is characterized by slow warm-up of the water column and, consequentially, by prolonged isolation of hypolimnion water within the thermally inert region. As a result, coarse-grained material is deposited near the shore. The minor horizontal transport of water masses from the lake periphery towards the center and the cyclic nature of density flows facilitate the dispersal of fine-grained suspended solids over large distances along the shore. The conditions during the thermal bar period, on the contrary, are favorable for rapid transport of suspended load from the littoral zone to the bottom, which certainly lowers the degree of sediment sorting. The thermal stratification developing after the dissipation of the thermal bar precludes the transport of silt- and clay-sized suspensions down the water column. The conditions for the settling of fine-grained material are the most favorable in winter, during the ice-covered period.
In bays, the scope of hydrodynamic effects on the sedimentation of suspended load largely depends on the basin dimensions and morphology, as well as on the location of the sources of solid particles. In Kondopoga Bay, for example, the current directed into the bay generated in the lower horizons by regulated discharge from the Suna River (most of the flow is diverted via the Kondopoga Canal in the bayhead) promotes the dispersal of fine-grained suspended load throughout the water area and its migration from the bay into the open Onego [59], including the dispersal of technogenic substances (Kondopoga PPM wastewater outlet is situated in the bayhead). One of the consequences of this process is the significant variation of sedimentation rates among regions of the bay, as remarked by a number of researchers. Thus, surveys of sediment input to the bottom in this bay were carried out in the 1970s. A paper by Belkina [17] demonstrates differences in the sedimentation rates among regions of the bay: from a hundredth of a millimeter (at bay entrance) to 18 mm per year (bay head). As mentioned above, the deposition of suspended sediment to the bottom estimated using data from ST surveys in 2018–2021 and the results regarding the sedimentation rate in Kondopoga Bay also exhibit substantial variation within the bay (Table 2). Estimation of the change in the sedimentation rate 10 km away from the PPM wastewater discharge point based on Pb210 isotope distribution in the sediment column shows that the sedimentation rate has grown from thePPM launch from fractions of a millimeter to 3 mm per year [15].
The contributions of the processes taking place in the lake to sediment formation were estimated from the lake’s chemical balance. According to the literature, Lake Onego annually receives over 1 million tons of substances, where solid flow accounts for less than 10% of the balance inputs [20,22]. Chemically, the bulk of this matter is principle ions (49%, sum of Ca2+, Mg2+, Na+, K+, HCO3, SO42−, and Cl), organic matter (40%), and silicon (8%). The chemical balance outputs amount to approx. 900,000 tons [18]. The balance mismatch is usually attributed to the burial of matter in sediments (from 200 to 300 t in different years). In the process of intra-basin transformation, part of the matter arriving in the lake in dissolved form becomes insoluble and settles to the bottom. Lake Onego retention capacity indexes for dissolved Fe, Si, Al, and Mn have been determined in papers [21,22] (Table 8). Using these indexes, we estimated that over 80% of the total input of Si, Fe, Al, and Mn to the lake is deposited to sediments (approx. 50,000 tons, based on the chemical balance for 2015) (Table 8). Organic matter input (ca. 40,000 tons) to the sediments was estimated from its average content (19%) in the suspended material in STs. Considering that metals in the lake are chiefly deposited in the form of hydroxo compounds and silicon, in oxide form, we obtainthat intra-basin processes contribute over 50% to the total pool of the matter deposited to Lake Onego bottom sediments. It is noteworthy that a major share of the material (70% of 143,000 tons) produced to some extent through intra-basin biogeochemical processes is mineral (inorganic) substances. The ratio of mineral substances formed within the lake to fragmental matter from the catchment is 13:10. The estimate of matter input to the sediments based on the lake’s chemical balance does not contradict the results of in situ observations of suspended material accumulation in traps. It is also in agreement with data on the chemical composition of the surface layer of bottom sediments. Reportedly [16,60], sedimentation in Lake Onego is of the humus-Fe-Si type, and contemporary sediments in the lake are oxidized mineral sediments chiefly composed of Si, Fe, and Al compounds.
As regards its physical characteristics, suspended sediment from STs was a colloidal system with the average density of unconsolidated sediment at 1.07 g/mL and a specific weight ofpm = 2.4 g/cm3. Natural wetness varied from 85% to 99%, absolute wetness varied from 3.5% to 9.1%, and porosity varied from 0.89 to 0.96 (Table 4). The sediments were in an oxidized or weakly oxidized state (Eh varies from 270 to 376 mV) and had near neutral pH (6.3 to 7.3), which is characteristic of the suspended solids settling to the bottom in a cold-water reservoir in oxygen presence at a pH around 7. The mineral component prevailed in the chemical composition of the sediment, as indicated by the mean (78%) and median (78%) ash content, which ranged from 49% (PPM wastewater outlet area in Kondopoga Bay) to 85% (in the Gulf of Povenets). The levels of Fe (5.5% mean, 6.0% median, variations from 1% (Southern Onego) to 7% (Gorskaya Bay)) and Al (5.3% mean, 5.5% median, from 3% (Southern Onego) to 6.6% (Pyalma Onego, Gulf of Zaonezhye)) were similar. The concentrations of K, Na, Ca, and Mg were around 1% (Table 4 and Table 5). A notable fact is the high Mn concentrations (0.5% mean, 0.5% median, from 0.1% (Southern Onego) to 1.7% (Kondopoga Bay)), which were 10–100 times that of the Clarke number. Active leaching of this element from the catchment and its accumulation in Lake Onego sediments is a distinctive feature of the sediment genesis in waterbodies lying on the eastern slope of the Baltic Shield [19].
First reports on the geochemical composition of suspended material from STs deployed in Lake Onego were published by Strahovenko et al. [24]. Our further surveys corroborate the conclusions made in this paper. Thus, comparison of the geochemical composition of the trapped material with the composition of suspended load from Lake Onego water and with bedded sediment composition showed that the material from STs was more uniform (averaged) (Figure 5, Table 5). Normalization of the average content of elements in the sediment trapped in different regions of the lake to PAAS (Post-Archean Australian Shale [61]) showed that the spectra were similar [24]. The exceptions were positive anomalies for Na and Mn and a negative anomaly for Li among macro components. Among micro components, we detected positive anomalies for Cd, Mo, and Hg and a negative anomaly for Sb and Sr. The features of the multielement spectra for the suspended material accumulated in STs over a year coincide with the elemental spectra for Lake Onego bedded sediments published by Strahovenko et al. [24,62,63]. Thus, the lake’s sediments are richer in Mn, Fe, Ba, Na, Mo, Hg, Fe, Zn, and Ba and poorer in Sb, K, Be, Th, and Li relative to PAAS. Meanwhile, the comparison of Lake Onego sediment geochemical composition with that of rocks in the catchment area (dolerite-basalt, basic tuffs, shungite rocks, granite gneiss, and TTG of the Baltic Shield, sedimentary rocks of the Russian Platform, etc.) revealed no significant correlations. It was only after averaging the concentrations that the question of the concentrations of many metals in sediments being inherited from rocks in the catchment could be discussed. Another interesting fact is that the distribution of rare-earth elements (REE) in the sedimentary material from STs and in bedded sediments covering the entire lake history (except for the lowest layers of varved clay) coincided, indicating minor spatiotemporal variability of REE migration fluxes in the humid climate settings during all stages of sediment genesis (weathering, transportation, and deposition), as well as constancy of the composition of the sedimentary material forming the REE spectrum in Lake Onego sediments. Strahovenko et al. [24] demonstrated that individual variations of REE concentrations, the levels of Eu and Ce anomalies in the water, in the suspended load in the water, in the suspended load deposited to the bottom, and in bedded sediments were closely related to the region of the lake and the settings for early diagenesis of the sediments.
Examination of the sedimentary material from STs under optical microscope (Olympus BX50, 20–60× magnification) and scanning electron microscope (MIRA 3 TESCAN), i.e., the texture and structure of the material, the morphology, and composition and structure of the minerals in the form of separate grains and aggregates, showed that the mineral composition in different regions of Lake Onego was also quite uniform. The suspended matter is fine-grained clayey (pelitic) material composed of quartz, feldspar, illite, muscovite, chlorite, iron hydroxides, and biogenic detritus. It contains large angular grains and separate crystals of the said minerals, large diatom valves, as well as dark-colored and accessory minerals (actinolite, hornblende, diopside, epidote, titanite, magnetite, ilmenite, zircon, rutile, apatite, monazite, and others) (Figure 6 and Figure 7). The dominant large particles are quartz, albite, and aggregates of illite with scaly, felted microstructure (K, Ca)<1(Fe, Mg)(Fe, Al)3[Si4O10](OH)4.
Traps from Kondopoga Bay contained aggregates of industrial origin. The composition of these hollow porous globular particles is that of potassium feldspar. There were also oolitic nodules of Fe-chlorite composition and globular quartz aggregates with Fe-chlorite skeletal crystal inclusions. These particles may originate from pellets used in the water treatment process at the Kondopoga pulp-and-paper mill or from fly ash from the Kondopoga Cogeneration Plant (Figure 8).
A substantial part of the suspended material from STs was composed of the siliceous valves of diatoms, unicellular microscopic algae (Figure 6 and Figure 7b) that contribute to 75–96% of the phytoplankton biomass in Lake Onego [64]. The small area of the littoral zone and large depths of the lake expectedly favor the thriving of planktonic diatoms that predominate in the STs’ diatom assemblages (62–92%). Aulacoseiraislandica (15–44%) and A. subarctica (13–41%) are the most abundant [25]. This reflects their contribution to the living diatom communities in Lake Onego, where Aulacoseira species make up to 98% of the spring phytoplankton biomass [65]. Benthic diatoms that colonize the lake bottom and various submerged substrata are less subject to the transportation by currents, which explains their lower contribution to the STs’ diatom assemblages (8–39%). Periphytic species prevail (up to 33%) with Tabellariafenestrata being the most numerous (up to 13%). While this taxon is widespread in the littoral algal communities where it grows on macrophytes, it also commonly occurs in summer and autumn phytoplankton of Lake Onego as its long-chain colonies are detached from the substratum and transported from the shallow-water areas across the lake [26]. The lowest abundances of benthic diatoms were recorded in Kondopoga Bay, where benthic communities are suppressed due to anthropogenic impact. Oligo-mesotrophic species and those tolerating a wide range of trophic environments (the so-called oligo-eutrophic species) prevail in the STs’ diatom assemblages (16–53% and 21–47%, respectively). Eutrophic species are generally less abundant (5–14%) except for in Kondopoga Bay, where their proportions increase to 27–32%. Abundances of hypereutrophic diatoms characteristic of highly eutrophic waters do not exceed 1.5%. Concentrations of diatom valves in ST samples are very high (74–259 million in g−1 of dry sediment) [26].
Organic matter content in the suspended materials from STs was usually within 20%. The only exception was the suspension collected in the PPM wastewater outlet area in Kondopoga Bay (st. K3), where organic matter constituted half of the sediment. The means, medians, and ranges were19%, 19%, and 12% (Southern Onego) to 50% (Kondopoga Bay) for loss on ignition; 6.6%, 5.6%, and 3.6% (Southern Onego) to 24.7% (Kondopoga Bay)for concentrations of Corg; 0.14%, 0.13%, and 0.08% (Southern Onego) to 0.33% (Kondopoga and Gorskaya Bays) for Pmin; 0.22%, 0.20%, and 0.13% (Southern Onego) to 0.68% (Kondopoga Bay) for Ptot; 0.009%, 0.007%, and 0.001% (Central Onego) to 0.074% (Kondopoga Bay) for N N H 4 + ; and 0.55%, 0.48%, and 0.25% (Gulf of Zaonezhye) to 1.78% (Kondopoga Bay) for Norg. The minor difference between mean and median values is another indication of the homogeneity of the suspended material deposited to Lake Onego sediments. The pigment composition of the sediments shown in Table 6 reflects the differences in production processes among regions of the lake. The main factor here is the morphogenetic characteristics of the lake basin, which influence the water thermal regime and dynamics. The highest levels (such asin the case of Corg, LOI, Norg, N N H 4 + N,Pmin and Ptot (Table 4)) were observed in sediments from the anthropogenically affected Kondopoga Bay (Table 6). The lowest values were recorded in sediments from Petrozavodsk Bay, which has the shortest residence time (3 months) among all the bays. It is also worth noting that the specified chemical parameters referring to organic matter were 20–30% higher in the suspended material from traps than in the sediment bedded in the sites where the traps were located. This is evidence that freshly deposited organic matter is actively consumed by benthic communities at the water–bottom interface. Our findings agree with the rates of organic matter decomposition in the surface layer of Lake Onego sediments estimated through experiments on O2 consumption at the water–bottom interface or on Corg distribution in the sediment surface layer. In these experiments, the rate of organic matter decomposition varied from 0.1 mg to 1 g carbon per square meter of the bottom depending on the type of sediment, sedimentation rate, and quantitative and qualitative composition of organic matter [66].
Thus, our study showed that the accumulation of sedimentary matter in Lake Onego is a complex, uneven process, which is controlled by a combination of different factors (climate, geological features of the catchment area, morphology of the lake basin, uneven distribution of river runoff and anthropogenic load, chemical composition and dynamics of waters, etc.). An assessment of the total sedimentation based on the chemical balance of Lake Onego, as well as the quantitative and qualitative composition of sedimentary material entering the bottom, revealed that a significant proportion of it has an autochthonous genesis. Organic substances, biogenic elements, and heavy metals entering as part of suspended substances and in dissolved form, including those of anthropogenic origin, are actively involved in biogeochemical processes occurring in the water column of the lake. The accumulation of mineral particles of anthropogenic nature was found only in STs installed in the upper part of the Kondopoga Bay.

5. Conclusions

The differences in water and sediment formation processes among Lake Onego regions driven both by natural factors (basin morphology, runoff from rivers, geological and geomorphological characteristics of the catchment) and by uneven distribution of anthropogenic pressure are responsible for the differentiation of the water chemical composition and the quantitative and qualitative composition of the suspended material deposited to the bottom.
Sedimentation in Lake Onego takes place in the oxidation conditions of low-TDS water of the calcium bicarbonate type. Water in northwestern bays features higher concentrations of organic matter, suspended solids, iron, manganese, and some micro elements compared to central regions of the lake. The sedimentation environment in Kondopoga Bay differs the most due to heavy pollution by wastewater from the pulp-and-paper mill.
Unevenness of sedimentary material accumulation over Lake Onego is manifest in the quantitative distribution of the sediment deposited to the bottom. The input rate varies from 0.1 to 2 kg per sq. m per year, which corresponds to 0.3–15 mm of compacted sediment per year. The annual input of matter to the sediment estimated from the lake’s chemical balance is over 200,000 tons. Intra-basin processes contribute to over 50% ofthis input, and two-thirds of the solids originating within the lake are mineral substances (biogenic silicon, goethite, and illite).
The chemical composition of the suspended material deposited to the Lake Onego bottom corresponds to the humus-Fe-Si type of sedimentation. The thermo-hydrodynamic processes in the lake determine the general characteristics of the sediments caught in the traps: uniformity of the particle size and mineral composition and similar multielement spectra. Variations in the material composition, i.e., the content of organic matter, nutrients, and some metals, are associated with local-scope sedimentation environments in specific regions of the lake.
The results of the study of sedimentogenesis processes in Lake Onego can be used in predictive models describing the response of the lake ecosystem to climatic and anthropogenic impacts, as well as for detailing the monitoring program.

Author Contributions

N.A.B. conceived and managed the research and wrote the first version of the manuscript. N.V.K. and N.A.E. assisted in these tasks. M.S.P., R.E.Z., A.P.G. and A.V.R. invented a method of setting traps and realized expedition work. V.I.K. invented and made sedimentation traps. V.D.S. conductedanalysis of mineralogy and geochemistry date, E.V.G. and I.Y.K.—chemical analysis of water and suspended matter, A.V.L.—diatom analysis. D.A.S.—conceptualization of scientific problem and funding acquisition. All authors have read and agreed to the published version of the manuscript.

Funding

The study was supported within RSF project #18-17-00176, RFBR grant #19-05-50014, state assignment to the Northern Water Problems Institute KarRC RAS # FSZN-2021-0006 and state assigned to the Herzen State Pedagogical University of Russia #VRFY-2023-0010. The work of A. Ludikova (diatom analysis) contributes to the State Research Program of the Institute of Limnology RAS—SPC RAS (No 0154-2019-0001).

Data Availability Statement

The datasets related to this article can be found at https://doi.org/10.17632/6v78yg9p43.2 (accessed on 25 February 2023), https://doi.org/10.17632/5ry8bgfktk.2 (accessed on 25 February 2023), https://doi.org/10.17632/47d4yv26gh.1 and https://doi.org/10.17632/wbs7ztd2sv.1 (accessed on 25 February 2023), an open707 source online data repository hosted at Mendeley Data [67,68,69,70].

Conflicts of Interest

The authors declare no conflict of interest.

References

  1. Strakhov, N.M. Fundamentals of the Theory of Lithogenesis; Publishing House of the USSR Academy of Sciences: Moscow, Russia, 1962; Volume 1–3, 550p. [Google Scholar]
  2. Biske, G.S. Quaternary Deposits and Geomorphology of Karelia; State Publishing House of KASSR: Petrozavodsk, Russia, 1959; 307p. [Google Scholar]
  3. Biske, G.S.; Lak, G.T.; Lukashov, A.D.; Goryunova, N.N.; Ilyin, V.A. The Structure and History of the Onego Lake Basin; Karelia Publishing House: Petrozavodsk, Russia, 1971; 74p. [Google Scholar]
  4. Davydova, N.N. Diatom complexes in the bottom sediments of Lake Onego. In Paleolimnology of Lake Onego; Martinson, G.G., Davydova, N.N., Eds.; Nauka Publishing House: Leningrad, Russia, 1976; pp. 130–191. [Google Scholar]
  5. Saarnisto, M.; Saarinen, T. Deglaciation chronology of the Scandinavian Ice Sheet from the lake Onega basin to the Salpausselkya End Moraine. Glob. Planet. Chang. 2001, 31, 387–405. [Google Scholar] [CrossRef]
  6. Demidov, I.N. On the maximum stage of development of the Onego glacial lake, changes in its level and glacioisostatic uplift of the coasts in the Late Glacial. In Geology and Commercial Minerals of Karelia; Golubev, A.I., Ed.; Karelian Research Centre Russian Academy Of Sciences: Petrozavodsk, Russia, 2006; Issue 9; pp. 171–182. ISBN 5-9274-0265-8. [Google Scholar]
  7. Subetto, D.A. Bottom Sediments of Lakes: Paleolimnological Reconstructions; Publishing House of A.I. Herzen State Pedagogical University: St. Petersburg, Russia, 2009; 339p, ISBN 978-5-8064-1444-2. [Google Scholar]
  8. Lisitzin, A.P. Marine ice-rafting as a new type of sedimentogenesis in the arctic and novel approaches to studying sedimentary processes. Russ. Geol. Geophys. 2010, 51, 12–47. [Google Scholar] [CrossRef]
  9. Subetto, D.; Rybalko, A.; Strakhovenko, V.; Belkina, N.; Tokarev, M.; Potakhin, M.; Aleshin, M.; Belyaev, P.; Dubois, M.; Kuznetzov, V.; et al. Structure of Late Pleistocene and Holocene Sediments in the Petrozavodsk Bay, Lake Onego (NWRussia). Minerals 2020, 10, 964. [Google Scholar] [CrossRef]
  10. Strakhovenko, V.; Subetto, D.; Ovdina, E.; Danilenko, I.; Belkina, N.; Efremenko, N.; Maslov, A. Mineralogical and geochemical composition of Late Holocene bottom sediments of Lake Onego. J. Great Lakes Res. 2020, 46, 443–455. [Google Scholar] [CrossRef]
  11. Filatov, N.N. (Ed.) Onego Lake. In Atlas; KarRC RAS Publishing House: Petrozavodsk, Russia, 2010; 151p, ISBN 978-5-9274-0432-2. [Google Scholar]
  12. Vodogretsky, V.G. (Ed.) Karelia and the North-West. In Surface Water Resources of the USSR. Hydrological Study; Hydrometeoizdat: Leningrad, Russia, 1972; Volume 2, 528p. [Google Scholar]
  13. Filatov, N.N.; Kukharev, V.I. (Eds.) Lakes of Karelia. In Guide; KarRC RAS Publishing House: Petrozavodsk, Russia, 2013; 464p, ISBN 978-5-9274-0450-6. [Google Scholar]
  14. Semenovich, N.I. Bottom Sediments of Lake Onego; Nauka Publishing House: Leningrad, Russia, 1973; 102p. [Google Scholar]
  15. Vasilyeva, E.P.; Davydova, N.N.; Belkina, N.A. Specific patterns of the formation of bottom sediments. In Onega Lake. Ecological Problems; Filatov, N.N., Ed.; KarRC RAS Publishing House: Petrozavodsk, Russia, 1999; pp. 109–145. ISBN 5-88741-016-7. [Google Scholar]
  16. Belkina, N.A. Phosphorus in the sediments of the lake Onega. Izv. Herzen Univ. J. Humanit. Sci. 2015, 173, 97–109. [Google Scholar]
  17. Belkina, N.A. Retrospective Assessment of Bottom Deposits in Kondopoga Bay, Lake Onega. Water Resour. 2005, 32, 629–639. [Google Scholar] [CrossRef]
  18. Sabylina, A.V.; Lozovik, P.A.; Zobkov, M.B. Water chemistry in Onega lake and its tributaries. Water Resour. 2010, 37, 842–853. [Google Scholar] [CrossRef]
  19. Belkina, N.A.; Subetto, D.A.; Efremenko, N.A.; Kulik, N.V. Peculiarities of trace elements distribution in the surface layer of sediments of lake Onega. J. Sci. Educ. 2016, 3, 135–139. [Google Scholar]
  20. Kulik, N.V.; Efremenko, N.A.; Strakhovenko, V.D.; Belkina, N.A. Features of migration of Fe, Mn, Al, Cu and Zn in the Onego Lake. Limnol. Freshw. Biol. 2020, 4, 505–506. [Google Scholar] [CrossRef]
  21. Kulik, N.V.; Belkina, N.A.; Efremenko, N.A. Introduction, transformation and distribution of Manganese in lake Onego. Mosc. Econ. J. 2020, 1, 13. [Google Scholar] [CrossRef]
  22. Lozovik, P.A.; Kulik, N.V.; Efremenko, N.A. Lithophile elements and heavy metals in lake Onego: Sources, concentrations and transformation. Trans. Karelian Res. Cent. Russ. Acad. Sci. 2020, 4, 62–74. [Google Scholar] [CrossRef]
  23. Kulik, N.; Efremenko, N.; Belkina, N.; Strakhovenko, V.; Gatalskaya, E.; Orlov, A. Fe, Mn, Al, Cu, Zn, and Cr in the sedimentary matter of Lake Onego. Quat. Int. 2023, 644–645, 134–144. [Google Scholar] [CrossRef]
  24. Strakhovenko, V.D.; Belkina, N.A.; Efremenko, N.A.; Potakhin, M.S.; Subetto, D.A.; Frolova, L.A.; Nigamatzyanova, G.R.; Ludikova, A.V.; Ovdina, E.A. The First Data on the Mineralogy and Geochemistry of the Suspension of Lake Onego. Russ. Geol. Geophys. 2022, 63, 55–71. [Google Scholar] [CrossRef]
  25. Ludikova, A.V.; Belkina, N.A.; Strakhovenko, V.D.; Subetto, D.A.; Potakhin, M.S. Diatom assemblages from the sediment traps in Lake Onega: Preliminary results. Limnol. Freshw. Biol. 2020, 4, 446–447. [Google Scholar] [CrossRef]
  26. Ludikova, A.V. Diatom assemblages in the sediment traps in Lake Onega. Inland Water Biol. 2023; 3, in press. [Google Scholar]
  27. Belkina, N.A.; Strakhovenko, V.D.; Subetto, D.A.; Efremenko, N.A.; Potakhin, M.S.; Kulik, N.V.; Gatalskaya, E.V.; Ryabinkin, A.V.; Kukharev, V.I.; Rybalko, A.E.; et al. Sedimentary processes in Lake Onego at the present time. Limnol. Freshw. Biol. 2022, 4, 1388–1390. [Google Scholar] [CrossRef]
  28. Gordeev, V.V. Geochemistry of the River–Sea System; Publishing House Matushkina I.I.: Moscow, Russia, 2012; 452p, ISBN 978-5-94101-261-9. [Google Scholar]
  29. Viers, J.; Dupré, B.; Gaillardet, J. Chemical composition of suspended sediments in World Rivers: New insights from a new database. Sci. Total Environ. 2009, 407, 853–868. [Google Scholar] [CrossRef]
  30. Schafer, J.; Blanc, G. Relationship between ore deposits in river catchments and geochemistry of suspended matter from six rivers in southwest France. The Sci. Total Environ. 2002, 298, 103–118. [Google Scholar] [CrossRef]
  31. Shevchenko, V.P.; Pokrovsky, O.S.; Filippov, A.S.; Lisitsyn, A.P.; Bobrov, V.A.; Bogunov, A.Y.; Zavernina, N.N.; Zolotykh, E.O.; Isaeva, A.B.; Kokryatskaya, N.M.; et al. On the elemental composition of suspended matter of the Severnaya Dvina River (White Sea Region). Dokl. Earth Sci. 2010, 430, 228–234. [Google Scholar] [CrossRef]
  32. Kravchishina, M.D.; Lisitsyn, A.P.; Klyuvitkin, A.A.; Novigatsky, A.N.; Politova, N.V.; Shevchenko, V.P. Suspended particulate matter as a main source and proxy of the sedimentation processes. In Sedimentation Processes in the White Sea: The White Sea. The Handbook of Environmental Chemistry; Lisitzin, A.P., Demina, L.L., Eds.; Springer: Cham, Switzerland, 2018; Volume 82, pp. 13–48. [Google Scholar] [CrossRef]
  33. Stein, R. Arctic Ocean Sediments: Processes, Proxies, and Paleoenvironment; Elsevier: Amsterdam, The Netherlands, 2008; Volume 2, 592p, ISBN 978-0-444-52018-0. [Google Scholar]
  34. Levitan, M.A. Sedimentation rates in the Arctic Ocean during the last five marine isotope stages. Oceanology 2015, 55, 425–433. [Google Scholar] [CrossRef]
  35. Marx, S.K.; Rashid, S.; Stromsoe, N. Global-scale patterns in anthropogenic Pb contamination reconstructed from natural archives. Environ. Pollut. 2016, 213, 283–298. [Google Scholar] [CrossRef]
  36. Maslov, A.V.; Ronkin, Y.L.; Lepikhina, O.P.; Shevchenko, V.P.; Novigatsky, A.N.; Filippov, A.S.; Shevchenko, N.V. Peculiarities of the rare-earth element distribution in the modern bottom sediments of the White Sea and the lower reaches of the Severnaya Dvina river. Oceanology 2013, 53, 702–714. [Google Scholar] [CrossRef]
  37. Dauvalter, V.A. Biogeochemical Features of the Distribution of Chalcophilic Elements (Hg, Cd, Pb, As) in the Reservoirs of the North of the European Part of Russia; BaumanPress: Murmansk, Russia, 2015; 136 p, ISBN 978-5-86185-836-6. [Google Scholar]
  38. Maslov, A.V.; Shevchenko, V.P. Ree–Th systematics of the suspended particulate matter and bottom sediments from the mouth zones of the world rivers of different categories/classes and some large Russian Arcticrivers. Geochem. Int. 2019, 57, 56–73. [Google Scholar] [CrossRef]
  39. Bloesch, J.; Burns, N.M. Acritical review of sedimentation trap technique. Schweiz. Z. Hydrol. 1980, 42, 15–55. [Google Scholar] [CrossRef]
  40. McDonnell, A.M.P.; Boyd, P.W.; Buesseler, K.O. Effects of sinking velocities and microbial respiration rates on the attenuation of particulate carbonfluxes through the mesopelagic zone. Glob. Biogeochem. Cycles 2015, 29, 175–193. [Google Scholar] [CrossRef]
  41. Yoon, W.D.; Kim, S.K.; Han, K.N. Morphology and sinking velocities of fecal pellets of copepod, molluscan, euphausiid, and salp taxa in the northeastern tropical Atlantic. Mar. Biol. 2001, 139, 923–928. [Google Scholar] [CrossRef]
  42. Tang, K.W.; Gladyshev, M.I.; Dubovskaya, O.P.; Kirillin, G.; Grossart, H.-P. Zooplankton carcasses and non-predatory mortality in freshwater and inland sea environments. J. Plankton Res. 2014, 36, 597–612. [Google Scholar] [CrossRef]
  43. Kirillin, G.; Grossart, H.-P.; Tang, K.W. Modeling sinking rate of zooplankton carcasses: Effects of stratification and mixing. Limnol. Oceanogr. 2012, 57, 881–894. [Google Scholar] [CrossRef]
  44. Frangoulis, C.; Belkhiria, S.; Goffart, A.; Hecq, J.-H. Dynamics of copepod faecal pellets in relation to a Phaeocystis dominated phytoplankton bloom: Characteristics, production and flux. J. Plankton Res. 2001, 23, 75–88. [Google Scholar] [CrossRef]
  45. Noji, T.T. The influence of macrozooplankton on vertical particulate flux. Sarsia 1991, 76, 1–9. [Google Scholar] [CrossRef]
  46. Ploug, H.; Iversen, M.H.; Koski, M.; Buitenhuis, E.T. Production, oxygen respiration rates, and sinking velocity of copepod fecal pellets: Direct measurements of ballasting by opal and calcite. Limnol. Oceanogr. 2008, 53, 469–476. [Google Scholar] [CrossRef]
  47. Cadée, G.C.; González, H.; Schnack-Schiel, S.B. Krill diet affects faecal string settling. Polar Biol. 1992, 12, 75–80. [Google Scholar] [CrossRef]
  48. Grossart, H.-P.; Simon, M. Limnetic Macroscopic Organic Aggregates (Lake Snow): Abundance, Characteristics, and Bacterial Dynamics in Lake Constance. Limnol. Oceanogr. 1993, 38, 532–546. [Google Scholar] [CrossRef]
  49. Saba, G.K.; Steinberg, D.K. Abundance, composition, and sinking rates of fish fecal pellets in the Santa Barbara channel. Sci. Rep. 2012, 2, 716. [Google Scholar] [CrossRef]
  50. Blomqvist, S.; Kofoed, C. Sediment trapping—A subaquatic in situ experiment. Limnol. Oceanogr. 1981, 26, 585–590. [Google Scholar] [CrossRef]
  51. Parsons, T.R.; Takahashi, M.; Hargrave, B. Biological Oceanographic Processes, 3rd ed.; Pergamon Press: Oxford, UK, 1984; 330p, ISBN 9781483286174. [Google Scholar] [CrossRef]
  52. MacIntyre, S.; Alldredge, A.L.; Gotschalk, C.C. Accumulation of marine snow at density discontinuities in the water column. Limnol. Oceanogr. 1995, 40, 449–468. [Google Scholar] [CrossRef]
  53. Karl, D.M.; Knauer, G.A. Detritus-microbe interactions in the marine pelagic environment: Selected results from the VERTEX experiment. Bull. Mar. Sci. 1984, 35, 550–565. [Google Scholar]
  54. Simon, M.; Grossart, H.-P.; Schweitzer, B.; Ploug, H. Microbial ecology of organic aggregates in aquatic ecosystems. Aquat. Microb. Ecol. 2002, 28, 175–211. [Google Scholar] [CrossRef]
  55. Buesseler, K.O.; Antia, A.N.; Chen, M.; Fowler, S.W.; Gardner, W.D.; Gustafsson, O.; Harada, K.; Michaels, A.F.; van der Loeff, M.R.; Sarin, M.; et al. An assessment of the use of sediment traps for estimating upper ocean particle fluxes. J. Mar. Res. 2007, 65, 345–416. [Google Scholar] [CrossRef]
  56. Lukashin, V.N.; Klyuvitkin, A.A.; Lisitzin, A.P.; Novigatsky, A.N. The MSL-110 small sediment trap. Oceanology 2011, 51, 699–703. [Google Scholar] [CrossRef]
  57. Lozovik, P.A.; Efremenko, N.A. (Eds.) . Analytical, Kinetic and Computational Methods in Hydrochemical Practice; Nestor-History: St. Petersburg, Russia, 2017; 272p, ISBN 978-5-4469-1207-0. [Google Scholar]
  58. Trask, P.D. Effect of Geologic and Geographic Factors Upon Soil Trafficability; University of California, Institute of Engineering Research: Berkeley, CA, USA, 1955; 30p. [Google Scholar]
  59. Boyarinov, P.M.; Efremova, T.V.; Palshin, N.I. Thermics and dynamics of lake waters. In Onega Lake. Ecological Problems; Filatov, N.N., Ed.; KarRC RAS Publishing House: Petrozavodsk, Russia, 1999; pp. 22–48. ISBN 5-88741-016-7. [Google Scholar]
  60. Strakhovenko, V.; Subetto, D.; Hang, T.; Ovdina, E.; Danilenko, I.; Belkina, N.; Potakhin, M.; Zobkov, M.; Gurbich, V. Mineral and geochemical composition of the Onega ice lake sediments. BALTICA 2018, 31, 165–172. [Google Scholar] [CrossRef]
  61. Taylor, S.R.; McLennan, S.M. The continental Crust: Its Composition and Evolution; Mir Publishing House: Moscow, Russia, 1988; 384p, ISBN 5-03-000912-4. [Google Scholar]
  62. Strakhovenko, V.D.; Subetto, D.A.; Ovdina, E.A.; Belkina, N.A.; Efremenko, N.A.; Maslov, A.V. Modern Bottom Sediments of Lake Onega: Structure, Mineralogical Composition, and Systematization of Rare–Earth Elements. Dokl. Earth Sci. 2018, 481, 988–992. [Google Scholar] [CrossRef]
  63. Strakhovenko, V.; Subetto, D.; Ovdina, E.; Belkina, N.; Efremenko, N. Distribution of Elements in Iron-Manganese Formations in Bottom Sediments of Lake Onego (NW Russia) and Small Lakes (Shotozero and Surgubskoe) of Adjacent Territories. Minerals 2020, 10, 440. [Google Scholar] [CrossRef]
  64. Chekryzheva, T.A. Diatoms in the plankton of Lake Onego. Trans. Karelian Res. Cent. Russ. Acad. Sci. 2015, 4, 110–116. [Google Scholar]
  65. Tekanova, E.V.; Syarki, M.T. Peculiarities of phenology of the primary production process in the pelagic zone of Lake Onega. Bull. Russ. Acad. Sci. Biol. 2015, 6, 645–652. [Google Scholar] [CrossRef]
  66. Belkina, N.A. Features of the transformation process of organic substances in sediments lakes of Karelia and its effect on the chemical composition of water. Geopolit. Ecogeodyn. Reg. 2019, 5, 262–275. [Google Scholar]
  67. Belkina, N.; Kulik, N.; Efremenko, N.; Potakhin, M.; Kukharev, V.; Ryabinkin, A.; Zdorovennov, R.; Georgiev, A.; Strakhovenko, V.; Gatalskaya, E.; et al. Contemporary Sedimentation in Lake Onego: Geochemical Features of Water, Suspended Matter, and Accumulation Rate. Mendeley Data 2023, V2. Available online: https://data.mendeley.com/datasets/6v78yg9p43/1 (accessed on 3 March 2023). [CrossRef]
  68. Kulik, N.; Efremenko, N.; Strakhovenko, V.; Belkina, N.; Borodulina, G.; Gatalskaya, E.; Malov, V.; Tokarev, I. Geochemical Features of River Runoff and Their Effect on the State of the Aquatic Environment of Lake Onego. Mendeley Data 2023, V2. Available online: https://data.mendeley.com/datasets/5ry8bgfktk/1 (accessed on 3 March 2023). [CrossRef]
  69. Kulik, N.; Efremenko, N.; Belkina, N.; Strakhovenko, V.; Gatalskaya, E. Sedimentogenesis of Fe, Mn, Al, Cu, Zn and Cr in the lake Onego. Mendeley Data 2021, v1. Available online: https://data.mendeley.com/datasets/47d4yv26gh/1 (accessed on 3 March 2023). [CrossRef]
  70. Strakhovenko, V.; Belkina, N.; Subetto, D.; Rybalko, A.; Efremenko, N.; Kulik, N.; Potakhin, M.; Zobkov, M.; Ovdina, E.; Ludicova, A. Distribution of Rare Earth Elements and Yttrium in Water, Suspended Matter and Bottom Sediments in Lake Onego: Evidence of the Watershed Transformation in the Late Pleistocene. Mendeley Data 2021, 1. Available online: https://data.mendeley.com/datasets/wbs7ztd2sv/1 (accessed on 3 March 2023). [CrossRef]
Figure 1. Sediment traps deployment layout: I—Gulf of Povenets, II—Gulf of Zaonezhye, III—Little Onego, IV—Greater Onego, V—Central Onego, VI—Southern Onego, VII—Velikaya Bay, VIII—Unitskaya Bay, IX—Lizhma Bay, X—Gorskaya Bay, XI—Kondopoga Bay, XII—Petrozavodsk Bay.
Figure 1. Sediment traps deployment layout: I—Gulf of Povenets, II—Gulf of Zaonezhye, III—Little Onego, IV—Greater Onego, V—Central Onego, VI—Southern Onego, VII—Velikaya Bay, VIII—Unitskaya Bay, IX—Lizhma Bay, X—Gorskaya Bay, XI—Kondopoga Bay, XII—Petrozavodsk Bay.
Water 15 01014 g001
Figure 2. Station setup and designs of A—small sediment trap (STS) and B—simplified sediment trap (SST); 1—PVC pipe, 2—PET funnel, 3—thread adapter, 4—PET bottle, 5—bent fastening plate, 6—bottomless PET bottles, 7—screw plug.
Figure 2. Station setup and designs of A—small sediment trap (STS) and B—simplified sediment trap (SST); 1—PVC pipe, 2—PET funnel, 3—thread adapter, 4—PET bottle, 5—bent fastening plate, 6—bottomless PET bottles, 7—screw plug.
Water 15 01014 g002
Figure 3. Mean annual input (g·m−2 year−1) to bottom sediments in different regions of Lake Onego estimated by suspended matter accumulation in sediment traps: 1—Kondopoga Bay (bayhead), 2—Little Onego, 3—PyalmaOnego, 4—Kondopoga Bay, 5—Southern Onego, 6—Petrozavodsk Bay, 7—Gulf of Zaonezhye, 8—Velikaya Bay, 9—Central Onego, 10—Unitskaya Bay, 11—Greater Onego, 12—Lizhma Bay, 13—Gulf of Povenets, 14—Gorskaya Bay entrance area.
Figure 3. Mean annual input (g·m−2 year−1) to bottom sediments in different regions of Lake Onego estimated by suspended matter accumulation in sediment traps: 1—Kondopoga Bay (bayhead), 2—Little Onego, 3—PyalmaOnego, 4—Kondopoga Bay, 5—Southern Onego, 6—Petrozavodsk Bay, 7—Gulf of Zaonezhye, 8—Velikaya Bay, 9—Central Onego, 10—Unitskaya Bay, 11—Greater Onego, 12—Lizhma Bay, 13—Gulf of Povenets, 14—Gorskaya Bay entrance area.
Water 15 01014 g003
Figure 4. Particle size composition of suspended sediment from Lake Onego caught in STs.
Figure 4. Particle size composition of suspended sediment from Lake Onego caught in STs.
Water 15 01014 g004
Figure 5. Multielement spectrum of sedimentary material from STs.
Figure 5. Multielement spectrum of sedimentary material from STs.
Water 15 01014 g005
Figure 6. Minerals from the trapped suspended material. Separate grains, mineral crystals, and their aggregates: (a) Greater Onego 1—albite, 2—muscovite, 3—diatom valves and valve fragments, 4—actinolite (Mg > Fe), 5—manganese oxide aggregates, 6—illite (Mg, Fe); (b) Petrozavodsk Bay 1—albite, 2—quartz,3—diatom valves and valve fragments,4—actinolite (Mg > Fe), 5—iron hydroxide aggregates, 6—illite (Fe, Mg), 7—titanite.
Figure 6. Minerals from the trapped suspended material. Separate grains, mineral crystals, and their aggregates: (a) Greater Onego 1—albite, 2—muscovite, 3—diatom valves and valve fragments, 4—actinolite (Mg > Fe), 5—manganese oxide aggregates, 6—illite (Mg, Fe); (b) Petrozavodsk Bay 1—albite, 2—quartz,3—diatom valves and valve fragments,4—actinolite (Mg > Fe), 5—iron hydroxide aggregates, 6—illite (Fe, Mg), 7—titanite.
Water 15 01014 g006
Figure 7. Photographs of suspension for ST taken by MIRA-3 electron microscope: (a) in Little Onego 1—separate elongated chlorite grains (Mg, Fe), 2—iron hydroxides; (b) in Lizhma Bay 1—large zonal-concentric aggregates of manganese oxides(to the left there is a fragment of the filamentous colony of planktonic diatom Aulacoseiraislandica).
Figure 7. Photographs of suspension for ST taken by MIRA-3 electron microscope: (a) in Little Onego 1—separate elongated chlorite grains (Mg, Fe), 2—iron hydroxides; (b) in Lizhma Bay 1—large zonal-concentric aggregates of manganese oxides(to the left there is a fragment of the filamentous colony of planktonic diatom Aulacoseiraislandica).
Water 15 01014 g007
Figure 8. Spherical-morphology aggregates from suspended material trapped in Kondopoga Bay: (a) 1—hollow, spherical-morphology aggregate with porous texture and potassium feldspar composition, 2—separate chlorite grains (Mg > Fe), 3—pyrite framboid; (b) 1—chlorite (Fe); (c) 1—quartz with skeletal crystals of chlorite (Fe).
Figure 8. Spherical-morphology aggregates from suspended material trapped in Kondopoga Bay: (a) 1—hollow, spherical-morphology aggregate with porous texture and potassium feldspar composition, 2—separate chlorite grains (Mg > Fe), 3—pyrite framboid; (b) 1—chlorite (Fe); (c) 1—quartz with skeletal crystals of chlorite (Fe).
Water 15 01014 g008
Table 1. Chemical composition of Lake Onego water.
Table 1. Chemical composition of Lake Onego water.
Region of the Lake *Station #H, mӕ, µS/cmΣ, mg/LpHO2, mg/LO2, %CO2, mg/LNO2, mgN/LNH4+,mgN/LNO3, mgN/LNorg, mgN/Ntot, mgN/LPmin, µgP/lPtot, µg/LColor, °PI, mgO/LBOD5, mgO2/LSuspended solids, mg/LSi., mg/LFetot, mg/LMn, mg/L
IW20.560.542.47.539.4952.75<0.0010.010.120.190.3214346.61.900.60.300.07<0.01
1959.741.87.679.2883.630.0010.020.130.120.2714265.70.890.20.320.04<0.01
9859.741.87.5911.5913.96<0.001<0.010.200.100.3014335.50.810.20.490.07<0.01
IIN10.553.437.47.629.1953.520.0010.010.150.290.4535388.21.591.20.240.11<0.01
1852.836.97.608.3844.070.0010.010.160.150.32213327.41.251.00.270.10<0.01
IIIL180.552.436.77.419.4953.080.0010.010.180.270.4626447.01.231.00.250.09<0.01
3852.336.67.579.8805.28<0.0010.020.220.270.51311456.60.801.40.420.14<0.01
sup. *51.035.77.569.5782.75<0.0010.010.190.150.351014-6.7--0.280.130.02
IVB20.551.235.87.348.6902.750.0010.020.130.250.40112357.61.280.20.220.100.01
11.051.035.77.478.5892.640.0010.040.120.200.36<19367.61.630.20.210.080.01
40.051.135.87.3512.0934.07<0.0010.020.200.240.46<18347.31.050.20.380.080.01
VC10.550.935.67.399.6992.420.0010.020.120.240.38<111368.31.370.60.240.110.01
6.051.135.87.359.7992.420.0010.030.130.210.37<110357.91.010.60.190.080.01
57.051.035.77.2512.1934.62<0.0010.020.200.180.40<17337.50.800.60.400.110.02
sup.51.135.87.30-**--<0.001<0.010.230.260.49-33-5.9--0.570.470.05
VIS10.551.135.87.429.0951.870.0010.020.120.130.27<120367.10.540.40.170.100.02
32.052.436.76.9711.2884.400.0020.020.180.210.41121367.50.461.00.400.110.02
S 3sup.51.235.87.609.4812.75<0.001<0.010.180.180.3638-6.7--0.250.06<0.01
VIIIGU40.550.035.07.569.4963.08<0.001<0.010.170.220.39110348.20.650.40.420.10<0.01
2959.541.77.729.1855.28<0.001<0.010.160.210.37-8347.80.600.80.420.11<0.01
sup.49.734.87.399.3872.86<0.0010.010.170.180.36112-6.7--0.290.070.02
IXGL30.551.536.17.629.4932.20<0.0010.010.210.290.51111357.41.190.80.260.10<0.01
5651.335.97.3310.2834.18<0.0010.010.190.210.411119326.60.650.80.280.09<0.01
sup.49.934.97.559.9802.86<0.0010.010.190.210.411119-5.9--0.320.190.06
XGgsup.50.135.17.5810.1902.420.001<0.010.170.200.3748-6.7--0.280.080.01
XIK 500.548.934.27.398.6922.480.0020.020.070.360.451375110.31.082.00.430.170.03
34.049.434.67.2010.4845.50<0.0010.010.160.190.36521458.30.571.80.430.180.02
K 30.542.029.46.927.3794.950.0030.040.090.410.5412677615.11.132.31.170.340.03
14.050.235.16.775.34712.40.0110.190.270.0670.545285519.51.151.00.500.310.06
K 60.549.934.97.388.5922.200.0010.040.080.260.38<117428.11.511.60.290.110.01
2.050.435.37.038.3912.200.0020.040.080.540.66120418.71.221.20.300.130.02
79.049.134.47.359.2728.580.0010.010.200.320.53934438.70.644.90.730.340.04
sup.44.931.4-----0.130.240.911.28-132-8.5--1.04-0.80
XIIP 20.547.733.47.129.0873.410.0020.010.140.160.31329488.70.641.40.390.240.04
4.047.933.67.289.0873.410.0020.020.130.260.41330478.30.701.20.380.230.12
26.050.435.37.1611.4904.400.0010.020.200.090.31224376.80.309.80.360.140.02
P 30.549.634.77.258.8911.980.0020.030.120.320.47114437.91.091.00.280.130.03
6.049.334.57.238.8902.090.0020.020.120.080.22112427.90.691.00.280.140.02
28.050.835.67.3211.5923.630.0010.020.190.120.33221447.10.881.20.330.140.02
Note: #—station number, sup. —supernatant, “-”—no date, *—the region of the Onego lake is designated according to the symbols in Figure 1 (here and in the following tables).
Table 2. Sediment accumulation in STs in Lake Onego (Note: #—station number).
Table 2. Sediment accumulation in STs in Lake Onego (Note: #—station number).
Region of the LakeStation #DepthTrap TypeDeployment DateLifting DateLayer ThicknessmAccumulation Rate
mcmgg·m−2·Year−1cm·Year−1
IW2940STS27.09.201928.08.20200.211.21410.23
W2928.08.202012.09.20210.374.94970.35
W29631.08.201827.09.20190.182.22110.17
W29427.09.201928.08.20200.354.04550.38
W29528.08.202012.09.20210.324.54510.30
W52727.09.201929.08.20200.242.83520.26
IIN120SST31.08.201828.09.20191.008.710710.93
STS29.08.202013.09.20211.3113.813911.25
N1930SST28.09.201930.08.20200.726.18770.77
IIIL1840STS07.06.202002.06.20211.0814.215171.10
01.09.201828.09.20191.4118.017611.31
IVB186SST02.09.201826.09.20190.715.16280.66
100STS08.06.202003.06.20210.594.85550.59
B24025.09.201908.06.20200.311.42140.44
4008.06.202003.06.20210.402.93340.40
Be8431.08.202003.06.20210.635.17090.83
VC158STS07.06.202002.06.20210.322.82950.32
29.09.201907.06.20200.342.03050.49
C28025.09.201908.06.20200.787.711531.10
08.06.202003.06.20211.1213.214041.14
C45629.09.201907.06.20200.341.92960.49
52SST07.06.202001.06.20210.130.5710.13
VIS328SST02.09.201820.09.20191.219.612141.15
05.06.202031.05.20210.928.010760.93
VIIGG110STS24.09.201931.08.20201.256.37091.33
VIIIGU21911STS01.09.202004.06.20210.717.510360.93
GU430SST03.09.201819.09.20190.151.21520.14
25STS01.09.202004.06.20210.232.02800.31
IXGL356STS03.09.201819.09.20190.423.02980.40
60SST19.09.201902.09.20200.633.65000.65
56STS02.09.202006.06.20210.443.55380.57
XGg25SST18.09.201902.09.20200.261.21650.27
STS02.09.202014.09.20210.363.73710.34
XIK312SST04.09.201817.09.20192.8814.518472.77
K5035SST04.09.201817.09.20190.473.13920.45
STS03.09.202015.09.20211.3414.314581.30
K680STS03.09.202015.09.20211.4516.216471.40
SST04.09.201817.09.20190.623.44330.60
XIIP225SST30.08.201821.09.20190.835.46720.78
STS04.09.202016.09.20211.4716.716941.42
SST21.09.201904.09.20200.505.37360.52
P328SST30.08.201821.09.20190.803.74610.75
STS04.09.202016.09.20211.1514.915171.11
21.09.201904.09.20201.147.89401.18
Table 3. Grain size composition of sedimentary material from STs and grain size distribution estimate according to Trask: #—station number, Q1—first and Q3—third quartile, Md—median, S0—sorting coefficient, Sk—skewness.
Table 3. Grain size composition of sedimentary material from STs and grain size distribution estimate according to Trask: #—station number, Q1—first and Q3—third quartile, Md—median, S0—sorting coefficient, Sk—skewness.
Region of the LakeStation #Fraction, %Q1MdQ3S0Sk
<0.01 mm0.01–0.05 mm0.05–0.1 mm0.1–0.25 mm0.25–1 mm
IW213.956.017.88.63.70.0160.0310.0541.90.95
W2919.258.714.46.01.60.0120.0250.0441.90.92
IIN114.255.716.28.65.20.0160.0300.0551.90.98
N1938.157.73.01.30.00.0040.0080.0162.00.95
IIIL1822.062.011.84.20.00.0110.0210.0381.80.97
IVB120.660.111.45.12.80.0120.0230.0411.90.97
B218.158.813.26.93.00.0130.0250.0451.90.97
Be20.964.510.93.60.00.0110.0210.0371.80.95
VC222.062.59.34.31.80.0110.0210.0361.80.96
C120.462.39.35.22.80.0120.0210.0371.81.00
C418.151.514.59.06.90.0130.0280.0582.10.99
VIS317.158.514.47.12.80.0130.0230.0471.91.07
VIIGG141.037.812.87.41.00.0050.0140.0413.00.97
VIIIGU419.258.214.16.02.60.0110.0210.0411.91.00
GU21917.252.619.38.52.40.0130.0230.0491.91.09
IXGL316.260.816.25.21.70.0140.0270.0451.80.93
XGg9.448.321.313.47.70.0210.0400.0781.91.01
XIK622.160.813.63.50.00.0100.0210.0361.90.91
K5016.757.617.65.72.50.0140.0280.0491.90.94
XIIP216.756.518.16.52.10.0140.0290.0501.90.93
P315.855.717.97.43.20.0150.0300.0521.90.92
Table 4. Chemical composition of suspended sediment from STs in Lake Onego (averaged over 2018–2021).
Table 4. Chemical composition of suspended sediment from STs in Lake Onego (averaged over 2018–2021).
Region of the LakeStation #HEhpHporpmpWet20Wet105CorgLOI N N H 4 + NorgFeMnAshPminPtot
mmVg·cm3%
IW2942967.10.941.871.0688.55.05.315.30.0080.532.90.2582.10.130.15
W21021427.20.952.421.0988.44.25.113.90.0070.423.50.4083.40.090.16
W5271637.30.901.261.0287.24.43.612.20.0050.372.90.1685.40.140.17
IIN1202077.20.932.001.0887.94.14.413.30.0060.333.30.3884.20.110.16
N1930357.00.962.891.0989.25.23.614.10.0040.423.80.3583.40.110.16
IIIL18401657.30.942.181.0787.25.04.815.60.0070.364.30.4481.60.110.16
IVB11003246.80.972.731.0791.97.16.821.10.0070.594.90.5975.90.140.20
B2401047.10.972.371.0791.87.26.020.80.0060.554.20.4976.10.130.21
Be80697.50.962.161.0690.36.64.518.80.0080.474.80.5778.20.130.18
VC1571127.20.972.511.0691.66.95.419.60.0050.504.60.6277.50.130.20
C280747.40.942.121.0689.36.45.018.10.0060.505.20.6478.70.130.19
C4521496.40.982.731.0693.27.413.530.90.0390.884.80.5366.80.230.38
VIS3273096.50.962.761.1089.74.45.416.00.0060.433.00.2781.70.080.13
VIIGG110847.30.962.681.0789.55.35.116.90.0030.523.10.1580.40.090.21
VIIIGU21914577.70.973.511.0988.85.35.616.00.0080.385.71.0781.40.130.16
GU4251796.90.972.361.0692.55.38.021.30.0090.864.50.4276.50.110.19
IXGL3601877.20.972.371.0692.46.86.620.90.0080.594.70.5376.40.130.21
XGg261616.90.972.421.0692.27.57.522.00.0150.835.50.7974.90.270.27
XIK3131156.40.981.491.0296.96.624.749.60.0241.783.61.6849.00.160.68
K50361956.90.962.271.0691.26.18.222.20.0110.585.00.4175.30.210.28
K6801827.10.962.381.0691.36.36.621.40.0120.595.50.4375.90.180.29
XIIP2262207.10.963.021.0889.45.45.416.70.0060.425.30.9080.70.160.23
P3301267.40.962.361.0690.86.56.117.20.0090.404.50.5679.80.160.24
Note: #—station number.
Table 5. Metals within suspended sediment from STs in Lake Onego (averaged over 2018–2021).
Table 5. Metals within suspended sediment from STs in Lake Onego (averaged over 2018–2021).
Region of the LakeStation #CaMgKNaAlCuZnCoNiPbCrBaSrLiVBeMoSbCd
%µg/g
IW21.201.201.801.605.60311201537246250013020881.400.600.410.63
IIN11.151.251.801.506.55321251536177052013025911.350.940.450.37
N191.101.301.701.206.50351301537247717013028721.700.14--
IIIL180.841.001.701.055.75311301535227343593251011.250.980.520.42
IVB10.690.891.400.734.9036133153429594107321901.351.370.810.45
Be0.410.861.500.725.40381201529215443076261001.801.201.000.36
VC10.811.001.300.635.4041110164167782507425831.400.97--
C20.821.021.450.785.7539130163726833458427851.501.300.950.36
C40.801.001.400.615.5038130164231822507127801.601.80--
VIS30.760.791.700.835.1530110143019663658621810.980.670.600.33
S50.490.171.501.003.005203235124201106250.340.140.350.05
VIIGG11.001.501.601.206.0042150184722822509830961.302.00--
VIIIGU41.051.151.601.455.75371451436176656012021871.151.790.890.48
IXGL30.790.991.250.754.7541135153731722957521841.101.750.710.51
XIK30.760.721.000.693.2046160102716572708013620.331.800.700.47
K501.051.001.501.055.0042145133321654509621861.101.650.820.45
K60.910.921.451.004.6042125123021624508718811.101.750.750.39
XIIP21.271.101.601.335.57361571635277145312720851.191.630.740.59
P31.101.021.501.175.57391501532386744711320871.371.370.700.56
Note: “-”—no data, #—station number.
Table 6. Plant pigments within suspended sediment from STs in Lake Onego (#—station number).
Table 6. Plant pigments within suspended sediment from STs in Lake Onego (#—station number).
Region of the LakeStation #ChlAChlBChlCPheo
IW21353777217
IIN11321322235
IIIL181212649195
IVB12593246441
VIS31102231189
VIIIGU424966158402
IXGL32842650489
XIK334952125644
K501651124282
K62492765423
XIIP2691534112
P366123153
Table 7. Average rate of suspended sediment accumulation on the bottom in different regions of Lake Onego according to ST surveys in 2018–2021: I—unconsolidated suspension after settling for 24 h; II—converted to compacted sediment layer bedded at 5 cm depth; III—converted to compacted sediment layer bedded at 20 cm depth (cm/year).
Table 7. Average rate of suspended sediment accumulation on the bottom in different regions of Lake Onego according to ST surveys in 2018–2021: I—unconsolidated suspension after settling for 24 h; II—converted to compacted sediment layer bedded at 5 cm depth; III—converted to compacted sediment layer bedded at 20 cm depth (cm/year).
Region of the LakeΙΙΙΙΙΙ
IGulf of Povenets0.280.080.04
IIGulf of Zaonezhye0.930.690.34
IIILittle Onego1.200.940.34
IVGreater Onego0.630.040.03
VCentral Onego0.610.260.15
VISouthern Onego1.040.240.20
VIIVelikaya Bay1.330.410.32
VIIIUnitskaya Bay0.460.170.12
IXLizhma Bay0.540.080.06
XIKondopoga Bay0.940.400.28
Kondopoga Bay, head2.772.221.48
XIIPetrozavodsk Bay, center1.010.790.40
Petrozavodsk Bay, head0.900.610.48
Table 8. Inputs of material to bottom sediments in Lake Onego (tons per year) *.
Table 8. Inputs of material to bottom sediments in Lake Onego (tons per year) *.
SourceCatchmentIntra-Basin Processes
ParameterSuspended solidsAlMnFeSiOrganic matter
Input from catchment96,0963646127614,38636,91141,845
Retention capacity10.810.860.920.84
Input to bottom sediments96,0962953 *109713,23531,005
8268175525,14666,350
TOTAL:239,460
Note: * Above the line—element mass, under the line—converted to the mass of Fe, Al, and Mn hydroxide and SiO2.
Disclaimer/Publisher’s Note: The statements, opinions and data contained in all publications are solely those of the individual author(s) and contributor(s) and not of MDPI and/or the editor(s). MDPI and/or the editor(s) disclaim responsibility for any injury to people or property resulting from any ideas, methods, instructions or products referred to in the content.

Share and Cite

MDPI and ACS Style

Belkina, N.A.; Kulik, N.V.; Efremenko, N.A.; Potakhin, M.S.; Kukharev, V.I.; Ryabinkin, A.V.; Zdorovennov, R.E.; Georgiev, A.P.; Strakhovenko, V.D.; Gatalskaya, E.V.; et al. Contemporary Sedimentation in Lake Onego: Geochemical Features of Water, Suspended Matter, and Accumulation Rate. Water 2023, 15, 1014. https://doi.org/10.3390/w15061014

AMA Style

Belkina NA, Kulik NV, Efremenko NA, Potakhin MS, Kukharev VI, Ryabinkin AV, Zdorovennov RE, Georgiev AP, Strakhovenko VD, Gatalskaya EV, et al. Contemporary Sedimentation in Lake Onego: Geochemical Features of Water, Suspended Matter, and Accumulation Rate. Water. 2023; 15(6):1014. https://doi.org/10.3390/w15061014

Chicago/Turabian Style

Belkina, Natalia A., Natalia V. Kulik, Natalia A. Efremenko, Maxim S. Potakhin, Vyacheslav I. Kukharev, Aleksandr V. Ryabinkin, Roman E. Zdorovennov, Andrey P. Georgiev, Vera D. Strakhovenko, Ekaterina V. Gatalskaya, and et al. 2023. "Contemporary Sedimentation in Lake Onego: Geochemical Features of Water, Suspended Matter, and Accumulation Rate" Water 15, no. 6: 1014. https://doi.org/10.3390/w15061014

APA Style

Belkina, N. A., Kulik, N. V., Efremenko, N. A., Potakhin, M. S., Kukharev, V. I., Ryabinkin, A. V., Zdorovennov, R. E., Georgiev, A. P., Strakhovenko, V. D., Gatalskaya, E. V., Kravchenko, I. Y., Ludikova, A. V., & Subetto, D. A. (2023). Contemporary Sedimentation in Lake Onego: Geochemical Features of Water, Suspended Matter, and Accumulation Rate. Water, 15(6), 1014. https://doi.org/10.3390/w15061014

Note that from the first issue of 2016, this journal uses article numbers instead of page numbers. See further details here.

Article Metrics

Back to TopTop