Urban Drainage: The Challenges and Failure Assessment Using AHP, Addis Ababa, Ethiopia
Abstract
1. Introduction
2. Materials and Methods
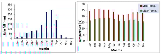
2.1. Study Area
2.2. Hydrologic Analysis
2.2.1. Rational Formula
2.2.2. SCS-CN Method
2.3. Cross-Drainage Assessment
2.3.1. HEC-RAS Model
2.3.2. HY Model
2.4. Longitudinal Drainage Assessment
FHWA Hydraulic Toolbox
2.5. Failure Mode Indices
2.6. Analytical Hierarchy Process (AHP)
3. Results
3.1. Drainage Failure
3.1.1. Longitudinal Drainage Survey Result
3.1.2. AHP Model Correlation Results
3.1.3. Drainage Failure Causes
3.1.4. Cross-Drainage Failure Mode Indices
3.1.5. The Impact of Number of Barrels on Cross-Drainage Failure
3.2. Drainage Failure Impacts
4. Discussion
4.1. Drainage Failure Causes and Challenges
4.2. Drainage Failure Mitigation
4.3. Gutters and Local Depressions
5. Conclusions
Author Contributions
Funding
Data Availability Statement
Acknowledgments
Conflicts of Interest
References
- Birhanu, D.; Kim, H.; Jang, C.; Park, S. Flood Risk and Vulnerability of Addis Ababa City Due to Climate Change and Urbanization. Procedia Eng. 2016, 154, 696–702. [Google Scholar] [CrossRef]
- De Risi, R.; Jalayer, F.; De Paola, F.; Carozza, S.; Yonas, N.; Giugni, M.; Gasparini, P. From Flood Risk Mapping toward Reducing Vulnerability: The Case of Addis Ababa. Nat. Hazards 2020, 100, 387–415. [Google Scholar] [CrossRef]
- Miceli, L.B. Effects of Climate Change on the Urban Drainage System of Palermo. 2017, p. 177. Available online: https://iris.unipa.it/bitstream/10447/220724/1/Effects%20of%20climate%20change%20on%20the%20urban%20drainage%20system%20of%20Palermo_Bidera%20Miceli.pdf (accessed on 3 November 2022).
- Yin, J.; Yu, D.; Yin, Z.; Liu, M.; He, Q. Evaluating the Impact and Risk of Pluvial Flash Flood on Intra-Urban Road Network: A Case Study in the City Center of Shanghai, China. J. Hydrol. 2016, 537, 138–145. [Google Scholar] [CrossRef]
- Teshome, M. A Review of Recent Studies on Urban Stormwater Drainage System for Urban Flood Management. Preprints 2020, 100, 295. [Google Scholar] [CrossRef]
- Huong, H.T.L.; Pathirana, A. Urbanization and Climate Change Impacts on Future Urban Flooding in Can Tho City, Vietnam. Hydrol. Earth Syst. Sci. 2013, 17, 379–394. [Google Scholar] [CrossRef]
- Alaneme, G.U.; Dimonyeka, M.U.; Ezeokpube, G.C.; Uzoma, I.I.; Udousoro, I.M. Failure Assessment of Dysfunctional Flexible Pavement Drainage Facility Using Fuzzy Analytical Hierarchical Process. Innov. Infrastruct. Solut. 2021, 6, 122. [Google Scholar] [CrossRef]
- Miller, J.D.; Hutchins, M. The Impacts of Urbanisation and Climate Change on Urban Flooding and Urban Water Quality: A Review of the Evidence Concerning the United Kingdom. J. Hydrol. Reg. Stud. 2017, 12, 345–362. [Google Scholar] [CrossRef]
- Maksimovic, C. General Overview of Urban Drainage Principles and Practice. Urban Drain. Humids Trop. 2002, 40, 226. [Google Scholar]
- Jedwab, R.; Christiaensen, L.; Gindelsky, M. Demography, Urbanization and Development: Rural Push, Urban Pull and…Urban Push? J. Urban Econ. 2017, 98, 6–16. [Google Scholar] [CrossRef]
- Nithila Devi, N.; Sridharan, B.; Kuiry, S.N. Impact of Urban Sprawl on Future Flooding in Chennai City, India. J. Hydrol. 2019, 574, 486–496. [Google Scholar] [CrossRef]
- Armitage, N.P. The Challenges of Sustainable Urban Drainage in Developing Countries. SWITCH Conf. Proceeding Paris 2011, 132–144, 24–26. [Google Scholar]
- Diakakis, M.; Deligiannakis, G.; Andreadakis, E.; Katsetsiadou, K.N.; Spyrou, N.I.; Gogou, M.E. How Different Surrounding Environments Influence the Characteristics of Flash Flood-Mortality: The Case of the 2017 Extreme Flood in Mandra, Greece. J. Flood Risk Manag. 2020, 13, e12613. [Google Scholar] [CrossRef]
- Mukherjee, M.D. Highway Surface Drainage System & Problems of Water Logging In Road Section. Int. J. Eng. Sci. 2014, 3, 44–51. [Google Scholar]
- Abdul Ghani, A.N.; Roslan, N.I.; Abdul Hamid, A.H. Road Submergence during Flooding and Its Effect on Subgrade Strength. Int. J. Geomate 2016, 10, 1848–1853. [Google Scholar] [CrossRef]
- Schmocker, L.; Hager, W.H. Probability of Drift Blockage at Bridge Decks. J. Hydraul. Eng. 2011, 137, 470–479. [Google Scholar] [CrossRef]
- Diehl, T.H. Potential Drift Accumulation at Bridges; U.S. Department of Transportation Federal Highway Administration Research and Development Turner-Fairbank Highway Research Center: Georgetown Pike, VA, USA, 1997; p. 45.
- Lane, K.; Charles-Guzman, K.; Wheeler, K.; Abid, Z.; Graber, N.; Matte, T. Health Effects of Coastal Storms and Flooding in Urban Areas: A Review and Vulnerability Assessment. J. Environ. Public Health 2013, 2013, 913064. [Google Scholar] [CrossRef]
- Jemberie, M.A.; Melesse, A.M. Urban Flood Management through Urban Land Use Optimization Using Lid Techniques, City of Addis Ababa, Ethiopia. Water 2021, 13, 1721. [Google Scholar] [CrossRef]
- Chow, V.T.; Maidment, D.R.; Mays, L.W. Applied Hydrology; McGraw-Hill, Inc.: Austin, TX, USA, 1987; ISBN 0070108102. [Google Scholar]
- Brunner, G.W. HEC-RAS River Analysis System User’s Manual; US Army Corps of Engineers: Washington, DC, USA, 2016. [Google Scholar]
- Burke, C.; Burke, T. Stormwater Drainage Manual 2018; Drainage Services Department, Government of the Hong Kong Special Administrative Region: Hong Kong, 2018.
- Schall, J.D. Hydraulic Design of Highway Culverts, 3rd ed.; United States. Federal Highway Administration: Washington, DC, USA, 2012.
- Basílio, M.P.; Pereira, V.; Costa, H.G.; Santos, M.; Ghosh, A. A Systematic Review of the Applications of Multi-Criteria Decision Aid Methods (1977–2022). Electronics 2022, 11, 1720. [Google Scholar] [CrossRef]
- Widianta, M.M.D.; Rizaldi, T.; Setyohadi, D.P.S.; Riskiawan, H.Y. Comparison of Multi-Criteria Decision Support Methods (AHP, TOPSIS, SAW & PROMENTHEE) for Employee Placement. J. Phys. Conf. Ser. 2018, 953, 012116. [Google Scholar] [CrossRef]
- Zandebasiri, M.; Pourhashemi, M. The Place of AHP Method among the Multi-Criteria Decision Making Methods in Forest Management. Int. J. Appl. Oper. Res. 2016, 6, 75–89. [Google Scholar]
- Daud, N.M.; Hassan, S.H.; Akbar, N.A.; Bakar, A.A.A.; Mohamad, N.A.S.; Manan, E.A.; Hamzah, A.F. Dam Failure Risk Factor Analysis Using AHP Method. In Proceedings of the IOP Conference Series: Earth and Environmental Science, Surakarta, India, 24–25 August 2021; IOP Publishing Ltd.: Bristo, England, 2021; Volume 646. [Google Scholar]
- Dandachi, E.; El Osman, Y. Application of AHP Method for Failure Modes and Effect Analysis (FMEA) in Aerospace Industry for Aircraft Landing System. Master’s Thesis, Eastern Mediterranean University (EMU)-Doğu Akdeniz Üniversitesi (DAÜ), Famagusta, Turkey, 2017. [Google Scholar]
- Abay, A.; Barbieri, G.; Woldearegay, K. GIS-Based Landslide Susceptibility Evaluation Using Analytical Hierarchy Process (AHP) Approach: The Case of Tarmaber District, Ethiopia. Momona Ethiop. J. Sci. 2019, 11, 14. [Google Scholar] [CrossRef]
- Chabuk, A.J.; Al-Ansari, N.; Hussain, H.M.; Knutsson, S.; Pusch, R. GIS-Based Assessment of Combined AHP and SAW Methods for Selecting Suitable Sites for Landfill in Al-Musayiab Qadhaa, Babylon, Iraq. Environ. Earth Sci. 2017, 76, 209. [Google Scholar] [CrossRef]
- Leonardi, G.; Palamara, R.; Manti, F.; Tufano, A. GIS-Multicriteria Analysis Using AHP to Evaluate the Landslide Risk in Road Lifelines. Appl. Sci. 2022, 12, 4707. [Google Scholar] [CrossRef]
- Yahaya, S. Multicriteria Analysis for Flood Vulnerable Areas in Hadejia-Jama’are River Basin, Nigeria. In Proceedings of the American Society for Photogrammetry and Remote Sensing—ASPRS Annual Conference 2008–Bridging the Horizons: New Frontiers in Geospatial Collaboration, Porland, OR, USA, 28 April–2 May 2008; Volume 2, pp. 777–785. [Google Scholar]
- Piratla, K.R.; Jin, H.; Yazdekhasti, S. A Failure Risk-Based Culvert Renewal Prioritization Framework. Infrastructures 2019, 4, 43. [Google Scholar] [CrossRef]
- Toryila, T.M.; Terpase, I.V.; Terlumun, I.E. The Effects of Poor Drainage System on Road Pavement: A Review. Int. J. Innov. Res. Multidiscip. Field 2016, 2, 218–225. [Google Scholar]
- Tucci, C.E.C. Urban Drainage Issues in Developing Countries. Urban Drain. Humid Trop. 2001, 40, 23–40. [Google Scholar]
- Fathy, I.; Abdel-Aal, G.M.; Fahmy, M.R.; Fathy, A.; Zeleňáková, M. The Negative Impact of Blockage on Storm Water Drainage Network. Water 2020, 12, 1974. [Google Scholar] [CrossRef]
- Adugna, D.; Lemma, B.; Jensen, M.B.; Gebrie, G.S. Evaluating the Hydraulic Capacity of Existing Drain Systems and the Management Challenges of Stormwater in Addis Ababa, Ethiopia. J. Hydrol. Reg. Stud. 2019, 25, 100626. [Google Scholar] [CrossRef]
- Patil Prathisthan’, D.Y.; Jalindar, P. Effects of Bad Drainage on Roads Patil Abhijit. Civ. Environ. Res. 2011, 1, 1–8. [Google Scholar]
- Yousuf Ali, M. The Effect of Poor Drainage on Road Performance in Hargeisa. IJSRD—Int. J. Sci. Res. Dev. 2022, 10, 229–234. [Google Scholar]
- Onoyan-Usina, A.; Godwin, Y.; Daudu, L.; Itomi-Ushi, P.; Building, N. Bad Drainage and Its Effects on Road Pavement Conditions in Nigeria. Civ. Environ. Res. 2013, 3, 7–15. [Google Scholar]
- Zumrawi, M.M.E. The Impacts of Poor Drainage on Road Performance in Khartoum. Int. J. Multidiscip. Sci. Emerg. Res. 2014, 3, 901–907. [Google Scholar]
- Pregnolato, M.; Ford, A.; Wilkinson, S.M.; Dawson, R.J. The Impact of Flooding on Road Transport: A Depth-Disruption Function. Transp. Res. Part D Transp. Environ. 2017, 55, 67–81. [Google Scholar] [CrossRef]
- Tang, Y.; Zhou, T.; Zhong, Y.; Hu, S.; Lin, J.; Lin, Z.; Liu, H.; Liu, B.; Zhao, Y.; Wang, Y.; et al. Risk Assessment for Critical Flood Height of Pedestrian Escape in Subway Station. Water 2022, 14, 3409. [Google Scholar] [CrossRef]
- Russo, B.; Gómez, M.; Macchione, F. Pedestrian Hazard Criteria for Flooded Urban Areas. Nat. Hazards 2013, 69, 251–265. [Google Scholar] [CrossRef]
- Ortiz, A.; Velasco, M.J.; Esbri, O.; Medina, V.; Russo, B. The Economic Impact of Climate Change on Urban Drainage Master Planning in Barcelona. Sustainability 2021, 13, 71. [Google Scholar] [CrossRef]
- Lee, E.H.; Lee, Y.S.; Joo, J.G.; Jung, D.; Kim, J.H. Flood Reduction in Urban Drainage Systems: Cooperative Operation of Centralized and Decentralized Reservoirs. Water 2016, 8, 469. [Google Scholar] [CrossRef]
- Paterne, N. Evaluating Drainage Systems Performance and Infiltration Enhancement Techniques as Flood Mitigation Measures in Nyabugogo Catchment, Rwanda. 2018. Available online: http://ir.jkuat.ac.ke/bitstream/handle/123456789/4940/Niyonkuru%20PaterneMSC%20MATHEMATICS-%202019.pdf?sequence=1&isAllowed=y (accessed on 18 January 2023).
- Mukherjee, M. Highway Surface Drainage System & Problems of Water Logging in Road Section; The International Journal of Engineering And Science: West Bengal, India, 2014. [Google Scholar]
- Aranda, J.Á.; Beneyto, C.; Sánchez-Juny, M.; Bladé, E. Efficient Design of Road Drainage Systems. Water 2021, 13, 1661. [Google Scholar] [CrossRef]













Disclaimer/Publisher’s Note: The statements, opinions and data contained in all publications are solely those of the individual author(s) and contributor(s) and not of MDPI and/or the editor(s). MDPI and/or the editor(s) disclaim responsibility for any injury to people or property resulting from any ideas, methods, instructions or products referred to in the content. |
© 2023 by the authors. Licensee MDPI, Basel, Switzerland. This article is an open access article distributed under the terms and conditions of the Creative Commons Attribution (CC BY) license (https://creativecommons.org/licenses/by/4.0/).
Share and Cite
Jemberie, M.A.; Melesse, A.M.; Abate, B. Urban Drainage: The Challenges and Failure Assessment Using AHP, Addis Ababa, Ethiopia. Water 2023, 15, 957. https://doi.org/10.3390/w15050957
Jemberie MA, Melesse AM, Abate B. Urban Drainage: The Challenges and Failure Assessment Using AHP, Addis Ababa, Ethiopia. Water. 2023; 15(5):957. https://doi.org/10.3390/w15050957
Chicago/Turabian StyleJemberie, Mengistu A., Assefa M. Melesse, and Brook Abate. 2023. "Urban Drainage: The Challenges and Failure Assessment Using AHP, Addis Ababa, Ethiopia" Water 15, no. 5: 957. https://doi.org/10.3390/w15050957
APA StyleJemberie, M. A., Melesse, A. M., & Abate, B. (2023). Urban Drainage: The Challenges and Failure Assessment Using AHP, Addis Ababa, Ethiopia. Water, 15(5), 957. https://doi.org/10.3390/w15050957

