Ice Mass Balance in Liaodong Bay: Modeling and Observations
Abstract
1. Introduction
2. Observation Area and Data
2.1. Observation Area
2.2. Sea Ice Thickness and Atmospheric Conditions in the Winter of 2009–2010
2.3. Sea Ice Thickness and Atmospheric Conditions in the Winter of 2020–2021
3. Methods
3.1. Thermodynamic Model of Sea Ice
3.1.1. Stefan’s Law of Ice Growth
3.1.2. High-Resolution Thermodynamic Snow-and-Ice Model (HIGHTSI)
3.2. Statistical Method
3.2.1. Least Squares Method
3.2.2. Coefficient of Determination (R2)
4. Results
4.1. Sea Ice Thickness Analysis Based on Stefan’s Law
4.1.1. Statistical Law of Sea Ice Growth Rate and Temperature
4.1.2. The Sea Ice Freezing Rate
4.1.3. Stefan’s Law of Ice Growth
4.2. High-Resolution Thermodynamic Snow-and-Ice Model (HIGHTSI)
4.2.1. Oceanic Heat Flux
4.2.2. High-Resolution Thermodynamic Snow-and-Ice Model
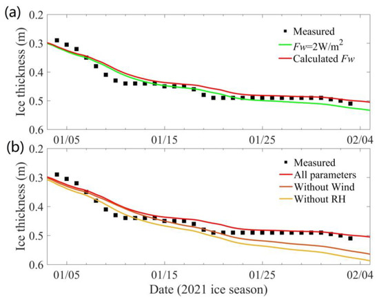
4.2.3. Sensitivity Analysis
5. Discussion
6. Conclusions
Author Contributions
Funding
Data Availability Statement
Conflicts of Interest
References
- Barry, R.G.; Serreze, M.C.; Maslanik, J.A.; Preller, R.H. The arctic sea ice-climate system: Observations and modelling. Rev. Geophys. 1993, 31, 397–422. [Google Scholar] [CrossRef]
- Rind, D.; Healy, R.; Parkinson, C.; Martinson, D. The role of sea ice in 2×CO2 climate model sensitivity: Part I. The total influence of sea ice thickness and extent. J. Clim. 1995, 8, 449–463. [Google Scholar] [CrossRef]
- Yuan, X.J.; Martinson, D.G. Antarctic sea ice extent variability and its global connectivity. J. Clim. 2000, 13, 1697–1717. [Google Scholar] [CrossRef]
- Holland, M.M.; Bitz, C.M. Polar amplification of climate change in coupled models. Clim. Dyn. 2003, 21, 221–232. [Google Scholar] [CrossRef]
- Zheng, J.; Ke, C.; Shao, Z. Winter sea ice albedo variations in the Bohai Sea of China. Acta Oceanol. Sin. 2017, 36, 56–63. [Google Scholar] [CrossRef]
- Ma, Y.; Cheng, B.; Xu, N.; Yuan, S.; Shi, H.; Shi, W. Long-Term Ice Conditions in Yingkou, a Coastal Region Northeast of the Bohai Sea between 1951/1952–2017/2018: Modelling and Observations. Remote Sens. 2022, 14, 182. [Google Scholar] [CrossRef]
- Ouyang, L.; Hui, F.; Zhu, L.; Cheng, X.; Cheng, B.; Shokr, M.; Zhao, J.; Ding, M.; Zeng, T. The spatiotemporal patterns of sea ice in the Bohai Sea during the winter seasons of 2000–2016. Int. J. Digit. Earth 2017, 12, 489–498. [Google Scholar] [CrossRef]
- Yan, Y.; Uotila, P.; Huang, K.; Gu, W. Variability of sea ice area in the Bohai Sea from 1958 to 2015. Sci. Total Environ. 2020, 709, 136164. [Google Scholar] [CrossRef]
- Xue, X.; Ren, G.; Sun, X.; Zhang, P.; Ren, Y.; Zhang, S.; Zhao, C.; Yu, X. Change in mean and extreme temperature at YingKou station in Northeast China from 1904 to 2017. Clim. Chang. 2021, 164, 58. [Google Scholar] [CrossRef]
- Yan, Y.; Shao, D.; Gu, W.; Liu, C.; Li, Q.; Chao, J.; Tao, J.; Xu, Y. Multidecadal anomalies of Bohai Sea ice cover and potential climate driving factors during 1988–2015. Environ. Res. Lett. 2017, 12, 094014. [Google Scholar] [CrossRef]
- Gu, W. Research on the sea-ice disaster risk in Bohai Sea based on the remote sensing. J. Catastrophology 2008, 23, 10–14. [Google Scholar]
- Yan, Y.; Huang, K.; Shao, D.; Xu, Y.; Gu, W. Monitoring the characteristics of the Bohai Sea ice using high-resolution geostationary ocean color imager (GOCI) data. Sustainability 2019, 11, 777. [Google Scholar] [CrossRef]
- Ma, Y.; Guan, P.; Xu, N.; Xu, Y.; Yuan, S.; Liu, Y.; Yu, F. Determination of the sea ice parameters for the reliability design of the marine structures in Liaodong Bay. Ocean Eng. 2019, 3, 136–142. (In Chinese) [Google Scholar]
- Ma, Y.X.; Xu, N.; Yuan, S.; Liu, X.; Shi, W.; Zhou, X.; Liu, Y.; Chen, Y. Basic characteristics of sea ice environment on the east coast of Liaodong Bay based on field observations. J. Glaciol. Geocryol. 2022, 44, 1492–1500. (In Chinese) [Google Scholar]
- Ma, Y.X.; Wang, Y.; Yu, F.; Xu, N.; Yuan, S.; Shi, W.Q. Research on the relationship between air temperatures, seawater temperature and ice regime in winter during 2017–2018 at the adjacent sea of Hongyanhe, Liaodong Bay. J. Glaciol. Geocryol. 2022, 44, 1482–1491. (In Chinese) [Google Scholar]
- Vancoppenolle, M.; Fichefet, T.; Goosse, H.; Bouillon, S.; Madec, G.; Maqueda, M.A.M. Simulating the mass balance and salinity of Arctic and Antarctic sea ice. 1. Model description and validation. Ocean Model. 2009, 27, 33–53. [Google Scholar] [CrossRef]
- Vancoppenolle, M.; Fichefet, T.; Goosse, H. Simulating the mass balance and salinity of Arctic and Antarctic sea ice. 2. Importance of sea ice salinity variations. Ocean Model. 2009, 27, 54–69. [Google Scholar] [CrossRef]
- Angelopoulos, M.; Damm, E.; Pereira, P.S.; Abrahamsson, K.; Bauch, D.; Bowman, J.; Castellani, G.; Creamean, J.; Divine, D.V.; Dumitrascu, A.; et al. Deciphering the properties of different Arctic ice types during the growth phase of MOSAiC: Implications for future studies on gas pathways. Front. Earth Sci. 2022, 10, 864523. [Google Scholar] [CrossRef]
- Li, Z.; Zhao, J.; Su, J.; Li, C.; Cheng, B.; Hui, F.; Yang, Q.; Shi, L. Spatial and temporal variations in the extent and thickness of Arctic landfast ice. Remote Sens. 2019, 12, 64. [Google Scholar] [CrossRef]
- Purdie, C.R.; Langhorne, P.J.; Leonard, G.H.; Haskell, T.G. Growth of first-year landfast Antarctic sea ice determined from winter temperature measurements. Ann. Glaciol. 2006, 44, 170–176. [Google Scholar] [CrossRef]
- Perovich, D.K.; Elder, B. Estimates of ocean heat flux at SHEBA. Geophys. Res. Lett. 2002, 29, 58-1–58-4. [Google Scholar] [CrossRef]
- Stroeve, J.; Notz, D. Changing state of Arctic sea ice across all seasons. Environ. Res. Lett. 2018, 13, 103001. [Google Scholar] [CrossRef]
- Zhang, N.; Wu, Y.; Zhang, Q. Forecasting the evolution of the sea ice in the Liaodong Bay using meteorological data. Cold Reg. Sci. Technol. 2016, 125, 21–30. [Google Scholar] [CrossRef]
- Cheng, B. On the Modelling of Sea Ice Thermodynamics and Air-Ice Coupling in the Bohai Sea and the Baltic Sea. Ph.D. Thesis, Helsingin Yliopisto, Helsinki, Finland, 2002. [Google Scholar]
- Zhao, J.; Cheng, B.; Vihma, T.; Lu, P.; Han, H.; Shu, Q. The internal melting of landfast sea ice in Prydz Bay, East Antarctica. Environ. Res. Lett. 2022, 17, 074012. [Google Scholar] [CrossRef]
- Zhai, M.; Cheng, B.; Leppäranta, M.; Hui, F.; Li, X.; Demchev, D.; Lei, R.; Cheng, X. The seasonal cycle and break-up of landfast sea ice along the northwest coast of Kotelny Island, East Siberian Sea. J. Glaciol. 2022, 68, 153–165. [Google Scholar] [CrossRef]
- Ji, S.Y.; Yue, Q.J. Determination and analysis of oceanic heat flux under sea ice cover in the liaodong bay. Mar. Sci. Bull. 2000, 19, 8–14. (In Chinese) [Google Scholar]
- Li, R.; Lu, Y.; Hu, X.; Guo, D.; Zhao, P.; Wang, N.; Lee, K.; Zhang, B. Space–time variations of sea ice in Bohai Sea in the winter of 2009–2010 simulated with a coupled ocean and ice model. J. Oceanogr. 2021, 77, 243–258. [Google Scholar] [CrossRef]
- Zhang, N.; Wang, J.; Wu, Y.; Wang, K.-H.; Zhang, Q.; Wu, S.; You, Z.-J.; Ma, Y. A modelling study of ice effect on tidal damping in the Bohai Sea. Ocean. Eng. 2019, 173, 748–760. [Google Scholar] [CrossRef]
- Yan, Y.; Gu, W.; Gierisch, A.M.U.; Xu, Y.; Uotila, P. NEMO-Bohai 1.0: A high-resolution ocean and sea ice modelling system for the Bohai Sea, China. Geosci. Model Dev. 2022, 15, 1269–1288. [Google Scholar] [CrossRef]
- Jia, B.; Chen, X. Application of an ice-ocean coupled model to Bohai Sea ice simulation. J. Oceanol. Limnol. 2021, 39, 1–13. [Google Scholar] [CrossRef]
- Ji, S. Numerical models and applications of engineered sea ice. Sci. Press 2011, 35, 210–211. Available online: https://kns.cnki.net/KCMS/detail/detail.aspx?dbname=CDFD9908&filename=2001009151.nh (accessed on 1 February 2023). (In Chinese).
- Cheng, B.; Launiainen, J. A one-dimensional thermodynamic air-ice-water model: Technical and algorithm description report. In Meri-Report Series of the Finnish Institute of Marine Research; Finnish Institute of Marine Research: Helsinki, Finland, 1998; Volume 37, pp. 15–35. [Google Scholar]
- Yuan, S.; Liu, C.; Liu, X.; Chen, Y.; Zhang, Y. Research advances in remote sensing monitoring of sea ice in the Bohai sea. Earth Sci. Inform. 2021, 14, 1729–1743. [Google Scholar] [CrossRef]
- Lei, R.; Li, Z.; Cheng, B.; Zhang, Z.; Heil, P. Annual cycle of landfast sea ice in Prydz Bay, east Antarctica. J. Geophys. Res. 2010, 115, C02006. [Google Scholar] [CrossRef]
- Lu, P.; Cao, X.; Li, G.; Huang, W.; Leppäranta, M.; Arvola, L.; Huotari, J.; Li, Z. Mass and heat balance of a lake ice cover in the Central Asian arid climate zone. Water 2020, 12, 2888. [Google Scholar] [CrossRef]
- Yang, Y.; Leppäranta, M.; Cheng, B.; Li, Z. Numerical modelling of snow and ice thicknesses in Lake Vanajavesi, Finland. Tellus A Dyn. Meteorol. Oceanogr. 2012, 64, 17202. [Google Scholar] [CrossRef]
- Launiainen, J.; Cheng, B. Modelling of ice thermodynamics in natural water bodies. Cold Reg. Sci. Technol. 1998, 27, 153–178. [Google Scholar] [CrossRef]
- Pirazzini, R.; Vihma, T.; Granskog, M.A.; Cheng, B. Surface albedo measurements over sea ice in the Baltic Sea during the spring snowmelt period. Ann. Glaciol. 2006, 44, 7–14. [Google Scholar] [CrossRef]
- Cheng, B.; Vihma, T.; Pirazzini, R.; Granskog, M.A. modelling of superimposed ice formation during the spring snowmelt period in the Baltic Sea. Ann. Glaciol. 2006, 44, 139–146. [Google Scholar] [CrossRef]
- Cheng, B.; Zhang, Z.; Vihma, T.; Johansson, M.; Bian, L.; Li, Z.; Wu, H. Model experiments on snow and ice thermodynamics in the Arctic Ocean with Chinese 2003 data. J. Geophys. Res. Ocean. 2008, 113, C09020. [Google Scholar] [CrossRef]
- Cheng, B.; Vihma, T.; Launiainen, J. Modelling of the superimposed ice formation and sub-surface melting in the Baltic Sea. Geophysica 2003, 39, 31–50. [Google Scholar]
- Cheng, B.; Vihma, T.; Rontu, L.; Kontu, A.; Pour, H.K.; Duguay, C.; Pulliainen, J. Evolution of snow and ice temperature, thickness and energy balance in Lake Orajärvi, northern Finland. Tellus A Dyn. Meteorol. Oceanogr. 2014, 66, 21564. [Google Scholar] [CrossRef]
- Maykut, G.A.; Untersteiner, N. Some results from a time-dependent thermodynamic model of sea ice. J. Geophys. Res. 1971, 76, 1550–1575. [Google Scholar] [CrossRef]
- McPhee, M.G.; Untersteiner, N. Using sea ice to measure vertical heat flux in the ocean. J. Geophys. Res. 1982, 87, 2071–2074. [Google Scholar] [CrossRef]
- Tang, S.; Qin, D.; Ren, J.; Kang, J.; Li, Z. Structure, salinity and isotopic composition of multi-year landfast sea ice in Nella Fjord, Antarctica. Cold Reg. Sci. Technol. 2007, 49, 170–177. [Google Scholar] [CrossRef]
- Heil, P.; Allison, I.; Lytle, V.I. Seasonal and interannual variations of the oceanic heat flux under a landfast Antarctic sea ice cover. J. Geophys. Res. Ocean. 1996, 101, 25741–25752. [Google Scholar] [CrossRef]
- Wettlaufer, J.S. Heat flux at the ice-ocean interface. J. Geophys. Res. Ocean. 1991, 96, 7215–7236. [Google Scholar] [CrossRef]
- Lytle, V.I.; Massom, R.; Bindoff, N.; Worby, A.; Allison, I. Wintertime heat flux to the underside of East Antarctic pack ice. J. Geophys. Res. Ocean. 2000, 105, 28759–28770. [Google Scholar] [CrossRef]
- Yen, Y.C. Review of Thermal Properties of Snow, Ice and Sea Ice; US Army, Corps of Engineers, Cold Regions Research and Engineering Laboratory: Hanover, NH, USA, 1981; Volume 81, pp. 1–27. [Google Scholar]
- Sturm, M. Thermal conductivity and heat transfer through the snow on the ice of the Beaufort Sea. J. Geophys. Res. 2002, 107, 8043. [Google Scholar] [CrossRef]
- Notz, D. In situ measurements of the evolution of young sea ice. J. Geophys. Res. 2008, 113, C03001. [Google Scholar] [CrossRef]
- Notz, D. Desalination processes of sea ice revisited. J. Geophys. Res. 2009, 114, C05006. [Google Scholar] [CrossRef]
- Notz, D. A non-destructive method for measuring the salinity and solid fraction of growing sea ice in situ. J. Glaciol. 2005, 51, 159–166. [Google Scholar] [CrossRef]












| a = 1.71 | a = 1.8 | a = 2.3 | a = 2.7 | a = 3.3 | ||||||
|---|---|---|---|---|---|---|---|---|---|---|
| Difference | Error | Difference | Error | Difference | Error | Difference | Error | Difference | Error | |
| SD1 *-15 January | −2.56 | 18.1% | −1.88 | 13.4% | 1.51 | 10.7% | 4.22 | 30.0% | 8.30 | 58.8% |
| SD1-19 January | −4.37 | 25.1% | −3.61 | 20.7% | 0.22 | 1.3% | 3.29 | 18.9% | 7.89 | 45.3% |
| SD2-27 January | −2.11 | 26.7% | −1.77 | 22.4% | −0.07 | 0.8% | 1.30 | 16.4% | 3.34 | 42.3% |
| SD2 *-6 February | −3.19 | 18.9% | −2.38 | 14.1% | 1.65 | 9.7% | 4.87 | 28.8% | 9.71 | 57.5% |
| SD2-11 February | −4.93 | 24.7% | −4.05 | 20.2% | 0.38 | 1.9% | 3.93 | 19.6% | 9.24 | 46.2% |
| SD2-15 February | −5.52 | 24.0% | −4.50 | 19.5% | 0.65 | 2.8% | 4.76 | 20.7% | 10.92 | 47.5% |
| 19 January (2010 Ice Season) | 15 February (2010 Ice Season) | 4 February (2021 Ice Season) | ||||
|---|---|---|---|---|---|---|
| Difference | Error | Difference | Error | Difference | Error | |
| Fw = 2 | 4.7 cm | 26.1% | 13.8 cm | 60% | 1.9 cm | 3.7% |
| Section 3.2 Fw | 0.76 cm | 4.2% | 0.2 cm | 0.8% | 0.8 cm | 1.5% |
| Interval Number | 1 | 2 | 3 | 4 | 5 |
|---|---|---|---|---|---|
| Temperature (°C) | −6~−4 | −8~−6 | −10~−8 | −12~−10 | −14~−12 |
| Average Fw (W·m−2) | 35.8 | 41.6 | 38.2 | 78.4 | 104.8 |
Disclaimer/Publisher’s Note: The statements, opinions and data contained in all publications are solely those of the individual author(s) and contributor(s) and not of MDPI and/or the editor(s). MDPI and/or the editor(s) disclaim responsibility for any injury to people or property resulting from any ideas, methods, instructions or products referred to in the content. |
© 2023 by the authors. Licensee MDPI, Basel, Switzerland. This article is an open access article distributed under the terms and conditions of the Creative Commons Attribution (CC BY) license (https://creativecommons.org/licenses/by/4.0/).
Share and Cite
Ma, Y.; Ding, D.; Xu, N.; Yuan, S.; Shi, W. Ice Mass Balance in Liaodong Bay: Modeling and Observations. Water 2023, 15, 943. https://doi.org/10.3390/w15050943
Ma Y, Ding D, Xu N, Yuan S, Shi W. Ice Mass Balance in Liaodong Bay: Modeling and Observations. Water. 2023; 15(5):943. https://doi.org/10.3390/w15050943
Chicago/Turabian StyleMa, Yuxian, Dewen Ding, Ning Xu, Shuai Yuan, and Wenqi Shi. 2023. "Ice Mass Balance in Liaodong Bay: Modeling and Observations" Water 15, no. 5: 943. https://doi.org/10.3390/w15050943
APA StyleMa, Y., Ding, D., Xu, N., Yuan, S., & Shi, W. (2023). Ice Mass Balance in Liaodong Bay: Modeling and Observations. Water, 15(5), 943. https://doi.org/10.3390/w15050943
