Dissolved Methane Transport in the Tatar Strait and the Deepest Basin of the Japan (East) Sea from Its Possible Sources
Abstract
1. Introduction
2. Materials and Methods
3. Oceanographic Features of the Research Area
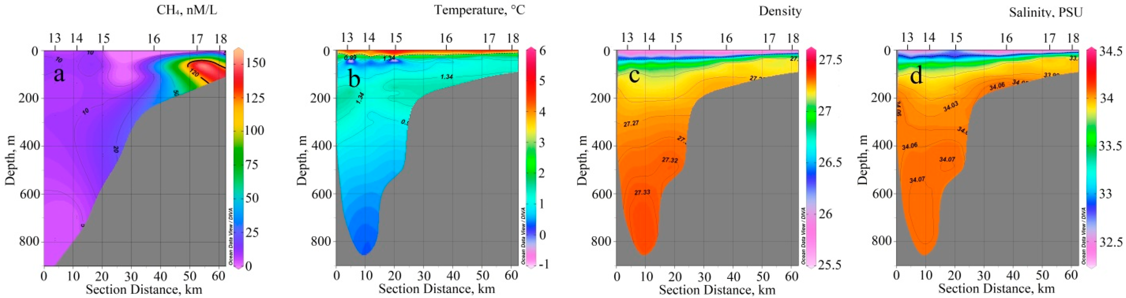
4. Results and Discussion
5. Conclusions
Author Contributions
Funding
Data Availability Statement
Conflicts of Interest
References
- Obzhirov, A.I.; Astakhova, N.V.; Lipkina, M.I.; Vereschagina, O.F.; Mishukova, G.I.; Sorochinskaya, A.V.; Ugay, L.G. Gasgeochemical Zoning and Floor Mineral Associations of the Sea of Okhotsk; Dalnauka: Vladivostok, Russia, 1999; 184p. [Google Scholar]
- Burov, B.A.; Maltseva, E.V.; Lazaryuk, A.Y.; Salomatin, A.S.; Telegin, Y.A.; Chernykh, D.V. Methane content in bottom sediments and water layer under tectonic faults in the Amur bay of the Sea of Japan. Bull. FEB RAS 2014, 4, 66–74. (In Russian) [Google Scholar]
- Poletaev, A.V.; Poletaeva, E.V. Study of hydrocarbon gas outputs distribution depending on geological structure of the southern Caspian by gas survey. Bull. Tomsk. Polytech. Univ. Geo Assets Eng. 2018, 329, 136–152. Available online: https://earchive.tpu.ru/bitstream/11683/51956/1/bulletin_tpu-2018-v329-i11-14.pdf (accessed on 18 June 2022).
- Shakirov, R.B. Gasgeochemical Fields of the Eastern Asia Marginal Seas; GEOS: Moscow, Russia, 2018; 341p. [Google Scholar]
- Syrbu, N.S.; Kyong, D.H.; Yakimov, T.S.; Kholmogorov, A.O.; Telegin, Y.A.; Tsunogai, U. Geological features for the formation of gas-geochemical fields, including helium and hydrogen, in the water and sediments at the Vietnamese part of the South-China Sea. Georesursy 2021, 23, 132–142. [Google Scholar] [CrossRef]
- Shakirov, R.B.; Valitov, M.G.; Obzhirov, A.I.; Mishukov, V.F.; Yatsuk, A.V.; Syrbu, N.S.; Mishukova, O.V. Methane anomalies, its flux on the sea–atmosphere interface and their relations to the geological structure of the South-Tatar sedimentary basin (Tatar Strait, the Sea of Japan). Mar. Geophys. Res. 2019, 40, 581–600. [Google Scholar] [CrossRef]
- Ponomareva, A.L.; Eskova, A.I.; Shakirov, R.B.; Syrbu, N.S.; Legkodimov, A.A.; Grigorov, R.A. Groups of Geomicrobiological Indicators Are Spread across Gas-Hydrate and Non-Gas-Hydrate Areas in the Northern Part of the Sea of Japan. Biology 2022, 11, 1802. [Google Scholar] [CrossRef]
- Vinogradova, E.; Damm, E.; Pnyushkov, A.V.; Krumpen, T.; Ivanov, V.V. Shelf-Sourced Methane in Surface Seawater at the Eurasian Continental Slope (Arctic Ocean). Front. Environ. Sci. 2022, 10, 811375. [Google Scholar] [CrossRef]
- Judd, A.; Hovland, M. Seabed fluid flow. In The impact on Geology, Biology and the Marine Environment; Cambridge University Press: Cambridge, UK, 2007; 475p. [Google Scholar]
- Max, M.D. (Ed.) Natural Gas Hydrate in Oceanic and Permafrost Environments; Kluwer Academic Publishers: Alphen aan den Rijn, The Netherlands, 2000; 414p. [Google Scholar]
- Max, M.D.; Dillon, W.P.; Nishimura, C.; Hurdle, B.G. Sea-floor methane blow-out and global firestorm at the K–T boundary. Geo-Mar. Lett. 1999, 18, 285–291. [Google Scholar] [CrossRef]
- Milkov, A. Worldwide distribution of submarine mud volcanoes and associated gas hydrates. Mar. Geol. 2000, 167, 29–42. [Google Scholar] [CrossRef]
- Reeburgh, W.S. Oceanic methane biogeochemistry. Chem. Rev. 2007, 107, 486–513. [Google Scholar] [CrossRef]
- Sloan, E.D.; Dendy, J.E.; Koh, C. Clathrate Hydrates of Natural Gases; CRC Press: Boca Raton, FL, USA, 2007; 856p. [Google Scholar]
- Snyder, G.T.; Yatsuk, A.; Takahata, N.; Shakirov, R.; Tomaru, H.; Tanaka, K.; Obzhirov, A.; Salomatin, A.; Aoki, S.; Khazanova, E.; et al. Ocean Dynamics and Methane Plume Activity in Tatar Strait, Far Eastern Federal District, Russia as Revealed by Seawater Chemistry, Hydroacoustics, and Noble Gas Isotopes. Front. Earth Sci. 2021, 10, 825679. [Google Scholar] [CrossRef]
- Sano, Y.; Kinoshita, N.; Kagoshima, T.; Takahata, N.; Sakata, S.; Toki, T.; Kawagucci, S.; Waseda, A.; Lan, T.; Wen, H.; et al. Origin of methane-rich natural gas at the West Pacific convergent plate boundary. Sci. Rep. 2017, 7, 15646. [Google Scholar] [CrossRef]
- Yang, J.; Lu, M.; Yao, Z.; Wang, M.; Lu, S.; Qi, N.; Xia, Y. A Geophysical Review of the Seabed Methane Seepage Features and Their Relationship with Gas Hydrate Systems. Geofluids 2021, 2021, 9953026. [Google Scholar] [CrossRef]
- Weidner, E.; Weber, T.C.; Mayer, L.; Jakobsson, M.; Chernykh, D.; Semiletov, I. A wideband acoustic method for direct assessment of bubble-mediated methane flux. Cont. Shelf Res. 2018, 173, 104–115. [Google Scholar] [CrossRef]
- Ginsburg, G.D.; Soloviev, V.A. Submarine Gas Hydrates; VNIIOkeangeologiya: Leningrad, Russia, 1994; 194p. (In Russian) [Google Scholar]
- Suess, E. Marine cold seeps and their manifestations: Geological control, biogeochemical criteria and environmental conditions. Int. J. Earth Sci. 2014, 103, 1889–1916. [Google Scholar] [CrossRef]
- Vogt, P.R.; Gardner, J.; Crane, K. The Norwegian Barents Svalbard (NBS) continental margin: Introducing a natural laboratory of mass wasting, hydrates, and ascent of sediment, pore water and methane. Geo-Mar. Lett. 1999, 19, 2–21. [Google Scholar] [CrossRef]
- Lein, A.Y.; Ivanov, M.V. Biogeochemical Cycle of Methane in the Ocean; Lisitsyn, A.P., Ed.; Nauka: Moscow, Russia, 2009; 576p. (In Russian) [Google Scholar]
- Obzhirov, A.I. Gas-Geochemical Fields of the Bottom Layer of Seas and Oceans; Nauka: Moscow, Russia, 1993; 139p. (In Russian) [Google Scholar]
- Duddridge, G.A.; Grainger, P. Temporal variation in soil gas composition in relation to seismicity in south-west England. Geosci. South-West Engl. 1998, 9, 224–230. [Google Scholar]
- Tsunogai, U.; Kosaka, A.; Nakayama, N.; Komatsu, D.; Konno, U.; Kameyama, S.; Nakagawa, F.; Sumino, H.; Nagao, K.; Fujikura, K.; et al. Origin and fate of deep sea seeping methane bubbles at Kuroshima Knoll, Ryukyu forearc region, Japan. Geochem. J. 2010, 44, 461–476. [Google Scholar] [CrossRef]
- Jiang, G.-J.; Angelier, J.; Lee, J.-C.; Chu, H.-T.; Hu, J.-C.; Mu, C.-H. Faulting and Mud Volcano Eruptions Inside of the Coastal Range During the 2003 Mw = 6.8 Chengkung Earthquake in Eastern Taiwan. Terr. Atmos. Ocean. Sci. 2011, 22, 463. [Google Scholar] [CrossRef]
- Yang, T.F.; Fu, C.-C.; Walia, V.; Chen, C.-H.; Chyi, L.L.; Liu, T.-K.; Song, S.-R.; Lee, M.; Lin, C.-W. Seismo-Geochemical Variations in SW Taiwan: Multi-Parameter Automatic Gas Monitoring Results. Pure Appl. Geophys. 2006, 163, 693–709. [Google Scholar] [CrossRef]
- Kopf, A.; Delisle, G.; Faber, E.; Panahi, B.; Aliyev, C.S.; Guliyev, I. Long term in situ monitoring at Dashgil mud volcano, Azerbaijan: A link between seismicity, pore pressure transients and methane emission. Int. J. Earth Sci. 2010, 99, 227–240. [Google Scholar] [CrossRef]
- Kulm, L.D.; Suess, E.; Moore, J.C.; Carson, B.; Lewis, B.T.; Ritger, S.D.; Kadko, D.C.; Thornburg, T.M.; Embley, R.W.; Rugh, W.D.; et al. Oregon Subduction Zone: Venting, Fauna, and Carbonates. Science 1986, 231, 561–566. [Google Scholar] [CrossRef] [PubMed]
- Yun, J.W.; Orange, D.L.; Field, M.E. Subsurface gas offshore of northern California and its link to submarine geomorphology. Mar. Geol. 1997, 154, 357–368. [Google Scholar] [CrossRef]
- Lein, A.Y.; Sagalevich, A.M. Smokers of the Rainbow field—The area of large-scale abiogenic synthesis of methane. Priroda 2000, 8, 44–53. (In Russian) [Google Scholar]
- Baraza, J.; Ercilla, G.; Nelson, C.H. Potential geologic hazards on the eastern Gulf of Cadiz slope (SW Spain). Mar. Geol. 1999, 155, 191–215. [Google Scholar] [CrossRef]
- Xu, S.; Sun, Z.; Geng, W.; Cao, H.; Zhang, X.; Zhai, B.; Wu, Z. Advance in Numerical Simulation Research of Marine Methane Processes. Front. Earth Sci. 2022, 10, 891393. [Google Scholar] [CrossRef]
- Zubova, M.A. Hydrates of Natural Gases in the Bowels of the World Ocean; VEMS: Moscow, Russia, 1988; 61p. (In Russian) [Google Scholar]
- Callender, W.R.; Powell, E.N. Why did ancient chemosynthetic seep and vent assemblages occurs in shallower water than they today? Int. J. Earth Sci. 1999, 88, 377–391. [Google Scholar] [CrossRef]
- Kvenvolden, K.A. Methane hydrate—A major reservoir of carbon in the shallow geosphere? Chem. Geol. 1988, 71, 41–51. [Google Scholar] [CrossRef]
- Trehu, A.M.; Torres, M.E.; Moore, G.F.; Suess, E.; Bohrmann, G. Temporal and spatial evolution of a gas hydrate–bearing accretionary ridge on the Oregon continental margin. Geology 1999, 27, 939–942. [Google Scholar] [CrossRef]
- Hovland, M.; Croker, P.F.; Martin, M. Fault-associated seabed mounds (carbonate knolls?) off western Ireland and north-west Australia. Mar. Pet. Geol. 1994, 11, 232–246. [Google Scholar] [CrossRef]
- Zlobin, T.K. Okhotsk lithospheric plate and the scheme of evolution of the system “edge sea–circling arc–deep-water trough”. Bull. FEB RAS 2006, 1, 26–32. (In Russian) [Google Scholar]
- Gnibidenko, G.S. Tectonics of the Bottom of the Marginal Seas of the Far East; Nauka: Moscow, Russia, 1979; 163p. (In Russian) [Google Scholar]
- Kharakhinov, V.V. Oil and Gas Geology of the Sakhalin Region; Scientific World: Moscow, Russia, 2010; 276p. (In Russian) [Google Scholar]
- Karp, B.; Khirata, N. Soviet-Japanese seismic experiment in the Sea of Japan. Preliminary results. Pac. Geol. 1992, 16, 138–147. (In Russian) [Google Scholar]
- Ingle, J.C.; Suyehiro, K.; von Breymann, M.T.; Bristow, J.S.; Burkle, L.H.; Charvet, J.; Cragg, A.B.; Demenocal, P.B.; Dunbar, R.B.; Föllmi, K.B. Proceedings of the Ocean Drilling Program, Initial Reports. Introd. Backgr. Princ. Results Leg 128 Ocean. Drill. Program Jpn. Sea 1990, 128, 1–34. [Google Scholar]
- Jolivet, L.; Tamaki, K.; Fournier, M. Japan Sea, opening history and mechanism: A synthesis. J. Geophys. Res. Solid Earth 1994, 99, 22237–22259. [Google Scholar] [CrossRef]
- Tamaki, K. Opening tectonics of the Japan Sea. In Backarc Basins: Tectonics and Magmatism; Taylor, B., Ed.; Plenum Press: New York, NY, USA, 1995; pp. 407–420. [Google Scholar]
- Kholmogorov, A.; Syrbu, N.; Shakirov, R. Influence of Hydrological Factors on the Distribution of Methane Fields in the Water Column of the Bransfield Strait: Cruise 87 of the R/V “Academik Mstislav Keldysh”, 7 December 2021–5 April 2022. Water 2022, 14, 3311. [Google Scholar] [CrossRef]
- Morozov, E.G.; Frey, D.I.; Krechik, V.A.; Latushkin, A.A.; Salyuk, P.A.; Seliverstova, A.M.; Mosharov, S.A.; Orlov, A.M.; Murzina, S.A.; Mishin, A.V.; et al. Multidisciplinary Observations across an Eddy Dipole in the Interaction Zone between Subtropical and Subantarctic Waters in the Southwest Atlantic. Water 2022, 14, 2701. [Google Scholar] [CrossRef]
- Koudryashova, Y.; Chizhova, T.; Inoue, M.; Hayakawa, K.; Nagao, S.; Marina, E.; Mundo, R. Deep Water PAH Cycling in the Japan Basin (the Sea of Japan). J. Mar. Sci. Eng. 2022, 10, 2015. [Google Scholar] [CrossRef]
- Valitov, M.G.; Shakirov, R.B.; Yatsuk, A.V.; Aksentov, K.I.; Proshkina, Z.N.; Belous, O.V.; Mishukova, G.I. Integrated Geological and Geophysical Expedition aboard the R/V Akademik Oparin to the Tatar Strait, Sea of Japan (Cruise 54, 2017). Oceanology 2019, 59, 283–286. [Google Scholar] [CrossRef]
- Valitov, M.G.; Lee, N.S.; Sergeev, A.F.; Sagalaev, S.G.; Legkodimov, A.A.; Zakharkov, S.P.; Permyakov, P.A.; Ryazanov, S.D.; Lobanov, V.B.; Shakirov, R.B.; et al. Integrated Expeditionary Research in the Sea of Japan and the Sea of Okhotsk on Cruise No. 55 of the R/V Akademik Oparin. Oceanology 2020, 60, 145–147. [Google Scholar] [CrossRef]
- Vereshchagina, O.F.; Korovitskaya, E.V.; Mishukova, G.I. Methane in water columns and sediments of the north western Sea of Japan. Deep. Sea Res. Part II Top. Stud. Oceanogr. 2013, 86–87, 25–33. [Google Scholar] [CrossRef]
- Yamamoto, S.; Alcauskas, J.B.; Crozier, T.E. Solubility of methane in distilled water and sea water. J. Chem. Eng. Data 1976, 21, 78–80. [Google Scholar] [CrossRef]
- Wiesenburg, D.A.; Guinasso, N.L. Equilibrium solubility of methane, carbon monooxide, and hydrogen in water and sea water. J. Chem. Eng. Data 1979, 24, 356–360. [Google Scholar] [CrossRef]
- Uda, M. The results of simultaneous oceanographical investigations in the Japan Sea and its adjacent waters in May and June, 1993. Ipm. Exp. Sta. 1993, 5, 57–190, (In Japanese with English Abstract). [Google Scholar]
- Sizova, Y.V. Circulation of the Waters of the Sea of Japan. The Main Features of the Geology and Hydrology of the Sea of Japan; USSR Acad. Sci.: Moscow, Russia, 1961; 224p. (In Russian) [Google Scholar]
- Yarichin, V.G. Steady state of the Japan Sea circulation. In Leningrad: Problems of Oceanography; Pokudov, V., Ed.; Hydrometeoizdat: Moscow, Russia, 1980; pp. 46–61. (In Russian) [Google Scholar]
- Senjyu, T. The Japan Sea Intermediate Water; Its Characteristics and Circulation. J. Oceanogr. 1999, 55, 111–122. [Google Scholar] [CrossRef]
- Yoon, J.-H.; Kim, Y.-J. Review on the seasonal variation of the surface circulation in the Japan/East Sea. J. Mar. Syst. 2009, 78, 226–236. [Google Scholar] [CrossRef]
- Ponomarev, V.; Fayman, P.; Prants, S.; Budyansky, M.; Uleysky, M. Simulation of mesoscale circulation in the Tatar Strait of the Japan Sea. Ocean Model. 2018, 126, 43–55. [Google Scholar] [CrossRef]
- Martin, S.; Wakatsuchi, M.; Ono, N. Ice and ocean processes in the Tatarskiy Strait, Japan Sea, as revealed by ERS-t SAR. Int. J. Remote Sens. 1995, 16, 3227–3243. [Google Scholar] [CrossRef]
- Biebow, N.; Huetten, E. (Eds.) Cruise Reports I & II RV “Professor Gagarinsky”, Cruise 22, RV “Akademik M.A. Lavrentyev”, Cruise 28; GEOMAR Report 82 INESSA; Christian Albrechts University: Kiel, Germany, 1999; 188p. [Google Scholar]
- Biebow, N.; Ludmann, T.; Karp, B.; Kulinich, R. (Eds.) Cruise Report 88: KOMEX V and KOMEX VI, RV “Professor Gagarinsky” Cruise 26 and M/V “Marshal Gelovany” Cruise 1; Christian Albrechts University: Kiel, Germany, 2000; 296p. [Google Scholar]
- Cruise Report: CHAOS Project, RV “Akademik M.A. Lavrentyev”, Cruise 31 and 32; VNIIOkeangeologia: St. Petersburg, Russia, 2005; 164p.
- Cruise Report: CHAOS Project, RV “Akademik M.A. Lavrentyev”, Cruise 36; Vladivostok: St. Petersburg, Russia, 2006; 127p.
- Cruise Report: CHAOS Project, RV “Akademik M.A. Lavrentyev”, Cruise 39; KOPRI: Incheon, Republic of Korea, 2007; 133p.
- Shoji, H.; Jin, Y.K.; Obzhirov, A. (Eds.) Operation Report of Sakhalin Slope Gas Hydrate Project 2007, RV “Akademik M.A. Lavrentyev” Cruise 43; Korea Polar Research Institute: Kitami, Japan, 2008; 39p, ISBN 978-4-903845-03-6. [Google Scholar]
- Shoji, H.; Jin, Y.K.; Obzhirov, A.; Baranov, B. (Eds.) Operation Report of Sakhalin Slope Gas Hydrate Project 2011, RV “Akademik M.A. Lavrentyev” Cruise 56; New Energy Resources Research Center, Kitami Institute of Technology: Kitami, Japan, 2012; 140p. [Google Scholar]
- Jin, Y.K.; Shoji, H.; Obzhirov, A.; Baranov, B. (Eds.) Operation Report of Sakhalin Slope Gas Hydrate Project 2012, RV “Akademik M.A. Lavrentyev” Cruise 59; Korea Polar Research Institute: Incheon, Republic of Korea, 2013; 163p. [Google Scholar]
- Shoji, H.; Jin, Y.K.; Baranov, B.; Nikolaeva, N.A.; Obzhirov, A. (Eds.) Operation Report of Sakhalin Slope Gas Hydrate Project II 2013, RV “Akademik M.A. Lavrentyev” Cruise 62; New Energy Resources Research Center, Kitami Institute of Technology: Kitami, Japan, 2014; 111p. [Google Scholar]
- Jin, Y.K.; Minami, H.; Baranov, B.; Obzhirov, A. (Eds.) Operation Report of Sakhalin Slope Gas Hydrate Project II, 2014, RV “Akademik M.A. Lavrentyev” Cruise 67; Korea Polar Research Institute: Incheon, Republic of Korea, 2015; 121p. [Google Scholar]
- Salomatin, A.S.; Yusupov, V.I. Acoustic Investigations of Gas “Flares” in the Sea of Okhotsk. Oceanology 2011, 51, 857–865. [Google Scholar] [CrossRef]
- Salomatin, A.S.; Yusupov, V.I.; Vereshchagina, O.F.; Chernykh, D.V. Acoustic estimation of methane concentration in the water column in the areas of its bubble discharge. Acoust. J. 2014, 60, 638–644. (In Russian) [Google Scholar]
- Leifer, I.; Chernykh, D.; Shakhova, N.; Semiletov, I. Sonar gas flux estimation by bubble insonification: Application to methane bubble flux from seep areas in the outer Laptev Sea. Cryosphere 2017, 11, 1333–1350. [Google Scholar] [CrossRef]
- Burov, B.A.; Luchin, V.A.; Obzhirov, A.I.; Karnaukhov, A.A. Estimation of methane flux from bottom sediments to water as a result of methane hydrate degradation caused by water warming in the Strait of Tartary. Geoecol. Eng. Geol. Hydrogeol. 2018, 2, 3–14. (In Russian) [Google Scholar]
- Obzhirov, A.I. Gasgeochemical manifestation of gas hydrates in the sea of Okhotsk. Alsk. Geol. 1992, 21, 1–7. [Google Scholar]
- Obzhirov, A.; Shakirov, R.; Salyuk, A.; Suess, E.; Biebow, N.; Salomatin, A. Relations between methane venting, geological structure and seismo-tectonics in the Okhotsk Sea. Geo-Mar. Lett. 2004, 24, 135–139. [Google Scholar] [CrossRef]
- Mishukova, G.; Yatsuk, A.; Shakirov, R.; Syrbu, N.; Valitov, M.; Ponomareva, A.; Mishukova, O. Methane Fluxes at the Water–Atmosphere Interface and Gas-Geochemical Anomalies in the Bottom Sediments in the Northwestern Part of the Sea of Japan. Russ. Geol. Geophys. 2021, 62, 1385–1400. [Google Scholar] [CrossRef]
- Yatsuk, A.; Shakirov, R.; Gresov, A.; Obzhirov, A. Hydrocarbon gases in seafloor sediments of the TATAR strait, the northern sea of Japan. Geo-Mar. Lett. 2019, 40, 481–490. [Google Scholar] [CrossRef]
- Gardner, J.; Shor, A.; Jung, W. Acoustic imagery evidence for methane hydrates in the Ulleung Basin. Mar. Geophys. Res. 1998, 20, 495–503. [Google Scholar] [CrossRef]
- Lee, S.H.; Chough, S.K. Distribution and origin of shallow gas in deep-sea sediments of the Ulleung Basin, East Sea (Sea of Japan). Geo-Mar. Lett. 2003, 22, 204–209. [Google Scholar] [CrossRef]
- Yoo, D.G.; Kang, N.K.; Yi, B.Y.; Kim, G.Y.; Ryu, B.J.; Lee, K.; Lee, G.H.; Riedel, M. Occurrence and seismic characteristics of gas hydrate in the Ulleung Basin, East Sea. Mar. Pet. Geol. 2013, 47, 236–247. [Google Scholar] [CrossRef]
- Ryu, B.-J.; Collett, T.S.; Riedel, M.; Kim, G.Y.; Chun, J.-H.; Bahk, J.-J.; Lee, J.Y.; Kim, J.-H.; Yoo, D.-G. Scientific results of the Second Gas Hydrate Drilling Expedition in the Ulleung Basin (UBGH2). Mar. Pet. Geol. 2013, 47, 1–20. [Google Scholar] [CrossRef]
- Jeong, I.S.; Cho, J.C.; Bahk, J.J.; Hyun, S.M.; Kwon, K.K.; Lee, J.H.; Kang, S.G.; Lee, S.H.; Lee, J.H. Vertical profi le of bacterial community in the sediment of Ulleung Basin: Implication of the presence of methanedriven community. Microorg. Ind. Environ. 2010, 219–226. [Google Scholar] [CrossRef]
- Berner, U.; Faber, E. Light hydrocarbons in sediments of the Nankaiaccretionary prism (Leg 131, Site 808). Proc. Ocean. Drill. Program Sci. Results 1993, 131, 185–195. [Google Scholar]
- Zhang, X.; Sun, Z.; Wang, L.; Zhang, X.; Zhai, B.; Xu, C.; Geng, W.; Cao, H.; Yin, X.; Wu, N. Distribution and Discharge of Dissolved Methane in the Middle Okinawa Trough, East China Sea. Front. Earth Sci. 2020, 8, 333. [Google Scholar] [CrossRef]
- Takematsu, M.; Ostrovskii, A.; Nagano, Z. Observations of Eddies in the Japan Basin Interior. J. Oceanogr. 1999, 55, 237–246. [Google Scholar] [CrossRef]
- Prants, S.; Ponomarev, V.; Budyansky, M.; Uleysky, M.; Fayman, P. Lagrangian analysis of the vertical structure of eddies simulated in the Japan Basin of the Japan/East Sea. Ocean Model. 2015, 86, 128–140. [Google Scholar] [CrossRef]
- Ponomarev, V.I.; Fayman, P.A.; Mashkina, I.V.; Dubina, V.A. Simulation of multiple scale circulation in the Northwestern Japan Sea (Modelirovalie raznomasshtabnoi cirkulyacii v ceverozapadnoi chaste Yaponskogo moray). Russ. J. Monit. Syst. Environ. 2015, 2, 65–73. Available online: https://elibrary.ru/download/elibrary_25733087_93590524.pdf (accessed on 3 September 2022). (In Russian).
- Shapiro, N.B. Formation of a circulation in the quasiisopycnic model of the Black Sea taking into account the stochastic nature of the wind stress. Phys. Oceanogr. 2000, 10, 513–531. [Google Scholar] [CrossRef]
- Mikhailova, E.N.; Shapiro, N.B. Quasi-isopycnic layer model for large-scale ocean circulation. Phys. Oceanogr. 1993, 4, 251–261. [Google Scholar] [CrossRef]
- Talley, L.D.; Lobanov, V.B.; Tishchenko PYa Ponomarev, V.I.; Sherbinin, A.F.; Luchin, V.A. Hydrographic observations in the Japan/East sea in winter, 2000, with some results from summer, 1999. In Oceanography of the Japan Sea Proceedings of CREAMS-2000 International Symposium; Dalnauka: Vladivostok, Russia, 2001; pp. 25–32. [Google Scholar]
- Talley, L.; Min, D.H.; Lobanov, V.; Luchin, V.B.; Ponomarev, V.I.; Salyuk, A.N.; Shcherbina, A.; Tishchenko, P.; Zhabin, I. Japan/East Sea Water Masses and their Relation to the Sea’s Circulation. Oceanography 2006, 19, 33–49. [Google Scholar] [CrossRef]
- Yurasov, G.I. Thermohaline parameters, fronts, water masses, and water structure in the deep-water areas of the Japan Sea. Izv. TINRO 2009, 156, 265–281. [Google Scholar]
- Ponomarev, V.I.; Trusenkova, O.O. Circulation patterns of the Japan Sea. La Mer. V 2000, 38, 189–198. [Google Scholar]
- Frey, D.I.; Krechik, V.A.; Morozov, E.G.; Drozd, I.D.; Gordey, A.S.; Latushkin, A.A.; Mekhova, O.S.; Mukhametianov, R.Z.; Murzina, S.A.; Ostroumova, S.A.; et al. Water Exchange between Deep Basins of the Bransfield Strait. Water 2022, 14, 3193. [Google Scholar] [CrossRef]












| Cruise | Study Area | Water Samples from Flow-Through Intake Unit, pcs | Water Samples from Bathometers, pcs | Analyst | CTD Stations, pcs |
|---|---|---|---|---|---|
| LV85 | Tatar Strait, Japan Sea 22 May–19 June 2019 | 123 | Yatsuk A.V. | 17 | |
| OP54 | Tatar Strait, Japan Sea 29 September–29 October 2017 | 407 | 251 | Yatsuk A.V., Lifanskiy E.V. | 20 |
Disclaimer/Publisher’s Note: The statements, opinions and data contained in all publications are solely those of the individual author(s) and contributor(s) and not of MDPI and/or the editor(s). MDPI and/or the editor(s) disclaim responsibility for any injury to people or property resulting from any ideas, methods, instructions or products referred to in the content. |
© 2023 by the authors. Licensee MDPI, Basel, Switzerland. This article is an open access article distributed under the terms and conditions of the Creative Commons Attribution (CC BY) license (https://creativecommons.org/licenses/by/4.0/).
Share and Cite
Kholmogorov, A.; Ponomarev, V.; Syrbu, N.; Shkorba, S. Dissolved Methane Transport in the Tatar Strait and the Deepest Basin of the Japan (East) Sea from Its Possible Sources. Water 2023, 15, 821. https://doi.org/10.3390/w15040821
Kholmogorov A, Ponomarev V, Syrbu N, Shkorba S. Dissolved Methane Transport in the Tatar Strait and the Deepest Basin of the Japan (East) Sea from Its Possible Sources. Water. 2023; 15(4):821. https://doi.org/10.3390/w15040821
Chicago/Turabian StyleKholmogorov, Andrei, Vladimir Ponomarev, Nadezhda Syrbu, and Svetlana Shkorba. 2023. "Dissolved Methane Transport in the Tatar Strait and the Deepest Basin of the Japan (East) Sea from Its Possible Sources" Water 15, no. 4: 821. https://doi.org/10.3390/w15040821
APA StyleKholmogorov, A., Ponomarev, V., Syrbu, N., & Shkorba, S. (2023). Dissolved Methane Transport in the Tatar Strait and the Deepest Basin of the Japan (East) Sea from Its Possible Sources. Water, 15(4), 821. https://doi.org/10.3390/w15040821

