Next Article in Journal
The Pretare-Piedilama Clastic Deposit: New Evidence of a Quaternary Rock Avalanche Event in Central Apennines (Italy)
Next Article in Special Issue
A Review of Advances in Groundwater Evapotranspiration Research
Previous Article in Journal
Assessing the Influence of a Bias Correction Method on Future Climate Scenarios Using SWAT as an Impact Model Indicator
Previous Article in Special Issue
Effect of Ecological Water Supplement on Groundwater Restoration in the Yongding River Based on Multi-Model Linkage
 
 
Font Type:
Arial Georgia Verdana
Font Size:
Aa Aa Aa
Line Spacing:
Column Width:
Background:
Article

A Multi-Dimensional Comprehensive Assessment (MDCA) Method for the Prioritization of Water Pollution Treatment Technologies in China

1
Technical Centre for Soil, Agricultural and Rural Ecology and Environment, Ministry of Ecology and Environment, Beijing 100012, China
2
Engineering Research Center of Groundwater Pollution Control and Remediation, Ministry of Education, Beijing Normal University, Beijing 100012, China
3
Chinese Research Academy of Environmental Sciences, Beijing 100012, China
4
College of Architecture and Civil Engineering, Beijing University of Technology, Beijing 100124, China
*
Authors to whom correspondence should be addressed.
Water 2023, 15(4), 751; https://doi.org/10.3390/w15040751
Submission received: 8 January 2023 / Revised: 8 February 2023 / Accepted: 10 February 2023 / Published: 14 February 2023
(This article belongs to the Special Issue River Ecological Restoration and Groundwater Artificial Recharge II)

Abstract

:
Water pollution treatment technology assessment methods can be used to guide the selection of scientific and reasonable water pollution treatment technologies. At present, China has not yet established a standardized methodological system to scientifically evaluate these technologies, which makes it difficult to effectively screen water pollution treatment technologies suitable for specific watersheds or regions and restricts the sustainable development of local economy and society. In this study, an MDCA framework for water pollution treatment technologies was developed using a sustainable assessment approach. The framework begins with the definition of water pollution treatment technologies’ decision-making problems and then proceeds through the following: select potential water pollution treatment technologies; identify indicators; decision making; indicator scoring; indicator weighting; select appropriate assessment model; uncertainty analysis; and other steps to ultimately determine preferred options. To demonstrate the validity and applicability of the framework, typical urban wastewater treatment technologies were selected for case validation. The results showed that the comprehensive assessment results obtained by the multidimensional assessment model based on the ideal point method and weighted method were basically consistent. SBR and TAS can be used as recommended technologies for urban sewage treatment in the study area. However, these two technologies also have shortcomings, such as the unsatisfactory economic benefit of SBR, and the high sludge production and poor resistance to hydraulic shock loading of TAS. Among the six alternative technologies, CWS had the worst environmental benefit, mainly due to the low ammonia removal rate. A2/O has the worst economic and technical performance, mainly due to high investment and operation cost, relatively complex operation management, and poor resistance to hydraulic shock load. The method established in this study can not only select the technology, but also identify the shortcomings of the technology, therefore realizing the systematization and standardization.

1. Introduction

According to the ‘China Ecological Environment Bulletin’ [1], in the 2018 state-controlled sections of the ten major river basins, the proportion of sections with water quality of Class IV-V and inferior to Class V is 18.9 % and 6.8 %, respectively; eutrophicated lakes (reservoirs) accounted for 29.0 % of the 111 monitored lakes (reservoirs). With rapid economic growth and a significant increase in resource and energy consumption, China is still facing a prominent conflict between social development and water environmental protection [2,3,4,5]. Since the 1970s, China has been committed to water pollution prevention and control, and especially since the Ninth Five-Year Plan, water pollution control has received unprecedented attention from the state and the government. According to the “National Medium and Long-term Science and Technology Development Plan (2006–2020)” [6], the “Water Pollution Control and Treatment” special project has been set as one of the 16 major national science and technology projects. It is the largest investment in water pollution control science and technology projects since the founding of the People’s Republic of China, with a total investment of more than 30 billion yuan, focusing on removing major scientific and technological bottlenecks in water pollution that restrict economic and social development. According to incomplete statistics, more than a thousand key technologies of water pollution control have been developed based on this special project, involving point and surface source pollution control, toxic and harmful pollutants control, ecological restoration of water bodies, drinking water purification, etc. Meanwhile, Chinese scholars have also conducted a lot of research on water pollution control technologies [7,8,9,10,11], which has provided strong technical support for water pollution control projects in Chinese watersheds.
However, although a large number of water pollution control technologies have been developed, it is still a major challenge in China’s watershed water pollution treatment to identify green and low-carbon water pollution treatment technologies that are suitable for specific watersheds or regions in practical applications. Water pollution treatment technology involves many types and large quantities, and different types of water pollution treatment technologies have their own characteristics. Thus, how to establish a unified standard to realize the systematization and standardization of technology assessment is a difficult point in the field of water pollution treatment technology assessment. At present, there have been some studies on environmental technology at home and abroad. Decision making regarding the pollution source assessment in the USA have typically been driven by practical factors such as time and money, which rarely considers technology [12]. In the EU, the direct costs, time, and technology are the assessment criteria involved in the decision making [13]. Research on technology assessment in China started late. Scholars such as Huang Qingming first proposed a technology assessment system around 1980 and conducted detailed research on the methodology and practice of technology assessment [14,15]. After entering the 21st century, technology assessment began to be carried out on a larger scale in the field of water pollution prevention and treatment in China, and many scholars adopted different assessment methods to evaluate various water pollution treatment technologies from multiple perspectives. For example, Li Cong [16] selected six typical water pollution treatment technologies used in the heavy chemical industry as research objects and gave preference to water treatment technologies based on the environmental cost-benefit approach. Liang Jingfang [17] constructed a water pollution prevention and treatment technology assessment model for the pharmaceutical industry based on hierarchical analysis and the fuzzy comprehensive assessment method and conducted a technical assessment of wastewater treatment technologies of 16 pharmaceutical enterprises.
In general, there are relatively few studies on the assessment of water pollution treatment technologies in China, and the existing studies have many problems. For example, a majority of studies lack a systematic assessment system, most of the assessment objects are only for a certain industry, and the assessment methods and evaluation criteria are relatively chaotic. These problems make the assessment results more subjective, it is difficult to make horizontal comparisons between technologies, and we are not able to derive practical guidance for water pollution control and management in a specific river basin or region. Therefore, how to comprehensively assess these water pollution treatment technologies from the perspective of sustainable development is an urgent need. Multi-criteria decision analysis (MCDA) is a technique commonly used to facilitate decision-making when processing and aggregating numerous and sometimes conflicting attributes [18,19]. The main advantages come from the robustness, consistency, transparency, and repeatability of the decision-making process [20]. The method considers not only direct costs and time, but also other factors such as overall environmental impact and social impact [21] and is suitable for systematic and comprehensive assessment of a large number of water pollution treatment technologies. Currently, there are no cases in China where they have been applied to the screening of water pollution treatment technologies in specific watersheds or regions. Additionally, many of the available assessment methods lack uncertainty analysis.
Therefore, the main objective of this study is to develop a green and sustainable assessment method to realize the assessment of existing water pollution treatment technologies in China under a unified framework. The detailed objectives are to (1) propose an MDCA framework method for the prioritization of water pollution treatment technologies, considering key attributes in environmental, economic, and technical fields; (2) determine the indicator screening method, assessment model, uncertainty analysis method, etc.; (3) verify the validity and applicability of this proposed method, taking typical urban sewage treatment technology assessment our focus.

2. Materials and Methods

2.1. Framework of MDCA

With the existing water pollution treatment technologies in China as the assessment object, and screening the technologies suitable for the specific river basin or region as the assessment purpose, a framework for comprehensive assessment of water pollution treatment technologies is proposed by multi-attributes decision making technique (Figure 1). The framework involves eight steps: (1) define decision problem; (2) select potential water pollution treatment technologies; (3) identify indicators for decision making; (4) indicator scoring; (5) indicator weighting; (6) select appropriate assessment model; (7) uncertainty analysis; (8) determine preferred options. The framework only provides principles for each step and is not absolutely specific or definitive. In practical application, it is necessary to carry out technology assessment and selection in accordance with the relevant provisions of the framework according to the specific water environment problems and water pollution control objectives faced by a particular river basin or region.

2.2. Define Decision Problem

The first step was to define the decision problem. Due to the different treatment effects of different water pollution treatment technologies, the water purified by different technologies will have varying degrees of impact on the water environment of the basin after being discharged into the river and have different impacts on related social and economic values. In order to select the technologies to better protect the water environment of the river basin or region, comprehensive decision making and evaluation of water pollution treatment technologies are required.

2.3. Select Potential Water Pollution Treatment Technologies

The second step was to select the potential water pollution treatment technologies suitable for a specific pollution type in the river basin or region for the final decision. The types of pollution sources can be roughly divided into point source pollution, non-point source pollution, and endogenous pollution. For one pollution type, there are usually multiple water pollution treatment technologies that can be applied. For example, urban sewage point source pollution requires treatment technologies such as physical treatment, chemical coagulation and sedimentation, biofilm, activated sludge, and constructed wetland [22,23]. Non-point source treatment of rural domestic pollution involves treatment technologies such as constructed wetland, biogas purification tank, septic tank, land law, and stabilization pond [24,25]. The treatment of river sediment pollution (endogenous) includes treatment technologies such as excavation and dredging, sediment oxygenation, biological treatment, and ecological restoration [26]. It should be noted that if the water pollution control goal in the study area cannot be achieved by a single technology type, the control goal should be decomposed into several sub-goals, and each sub-goal should be screened according to the proposed MDCA framework.

2.4. Identify Indicators for Decision Making

The next step was to identify the indicators to be used for technology assessment. There is a broad consensus in favor of tiered approaches to sustainability assessment as it can minimize the cost and complexity of decision making [27]. The MDCA indicator system of water pollution control technology is constructed by using the four levels of “target layer—criteria layer—element layer—indicator layer”. The target layer is the comprehensive assessment of water pollution treatment technology. The criteria layer covers three dimensions: environmental, economic, and technical performance. The element layer includes environmental benefits, secondary pollution, costs, benefits, technical reliability, and technical applicability. Due to the many types and large number of the technologies involved, it is not possible to construct a unified indicator set to cover all types of water pollution treatment technologies. The indicator layer selection can be completed by considering the demand of stakeholders and following the principles of scientificity and objectivity.
After establishing a library of alternative indicators, the collected data for these indicators is subjected to frequency analysis, importance judgment, measurability judgment, comparability test, and independence test. Those that meet a series of tests can be used as the final selected indicators. While ensuring that the assessment indicator system comprehensively covers the characteristics of the evaluated technologies, the number of indicators should be selected as concisely as possible. Therefore, this study focuses mainly on the top ranked indicators in terms of frequency, while the low frequency indicators are judged by experts to determine their importance with only those of “high” importance are considered. The selected indicators provided a holistic assessment of treatment technology for a certain pollution type in the river basin or region, encompassing environmental, economic, and technological attributes. It should be noted that the indicators are screened in the same way, while the selected indicators of the indicator layer depend on the characteristics of different pollution types.
Here, frequency analysis refers to the collection and sorting of indicators related to water pollution treatment technology assessment and indicator data in practical application cases to form a library of alternative indicators, so as to conduct statistical analysis of the frequency of indicators in all cases. Importance judgment is to determine the importance level of an indicator by expert consultation, so as to avoid missing the less frequent but valuable indicators. The importance of an indicator is divided into three levels: high, medium, and low, denoted by “+++”, “++” and, “+”, respectively. Measurability judgment is to analyze whether a single indicator can be obtained accurately and in a timely manner, and to discard indicators that are not available based on the current level and not important. Comparability test is to test the discrimination degree of the values taken by a single indicator. For the indicators lacking data support, the comparability test is conducted by the expert research method. For the indicators supported by basic data, the comparability test is conducted by the coefficient of variation method. The coefficient of variation ≤ 0.1 indicates that the indicator is not comparable. Independence test is to quantitatively analyze the degree of cross-over between the composite indicators to avoid the duplicate assessments caused by the correlation between indicators. The correlation coefficient test is used to indicate the degree of strength of linear correlation between the two composite indicators. The closer the absolute value of the correlation coefficient is to 1, the higher the correlation between the variables; the closer the absolute value of the correlation coefficient is to 0, the lower the correlation between the variables; when the correlation coefficient is 0, it indicates that there is no correlation between the variables. In this study, Spearman’s correlation coefficient method was used to assess the correlation between indices at 0.05 and 0.01 levels, respectively.

2.5. Indicator Scoring

Indicators were divided into qualitative and quantitative indicators. For qualitative indicators, the expert judgment method was used to score according to the characteristics of each water pollution treatment technology on a scale of 0 to 100, and the qualitative indicators were converted into quantitative indicators to facilitate the subsequent model calculation [28]. Quantitative indicators are assigned values by using measured data collected from surveys. Indicator values were normalized to provide a common numerical scale that would enable comparison of indicator attributes.

2.6. Indicator Weighting

Weights were assigned to each indicator attribute to indicate the degree of importance [29]. The simplest way is the equal method, which distributes weights equally among all selected indicators. The unequal weight method that considers the relative importance of indicators can be roughly divided into two categories: objective methods and subjective methods. The objective method is to perform mathematical analysis to assign weights based only on the initial measured data; the subjective method determines the weights based on stakeholder preferences taken from previous stakeholder engagement studies and from the literature. The sum of the weights of all indicators is usually equal to 1.

2.7. Select Appropriate Assessment Model

It is the task of this step to calculate the attribute values for each decision criterion by analyzing the multidimensional indicator data above mentioned and then calculating the total preference score for each alternative water pollution treatment technology. The multi-criteria decision analysis is a technique commonly applied to handle multidimensional information and enable decision makers to evaluate options. Assessment model selection is arbitrary, depending primarily on purpose, needs, and stakeholder preferences. The solution methods include sequential optimization, simple additive weight, distance-based method, domination method, ε-control method, etc.

2.8. Uncertainty Analysis

The process of assigning indicator values is usually accompanied by uncertainty [30]. The measured data of the quantitative indicators for the same technology would vary due to the influence of various factors such as region and operating period, while the score values of the qualitative indicators will also be different subject to the subjectivity of different experts, indicating that the indicator value for a certain technology is not a fixed value. In addition, different weighting methods would cause great differences in weight assignment, which would directly affect the evaluation results. The uncertainty of decision making is mainly controlled by indicator scores and weight assignment. Therefore, it is necessary to conduct uncertainty analysis to assess the impact that different indicator scores and weightings may have on the final output. Some commonly used uncertainty analysis methods include stochastic simulation, sensitivity analysis, and scenario analysis. The aim of this analysis is to identify crossover points where the priority of water pollution control technologies in the river basin or region may change.

2.9. Determine Preferred Options

The preferred option of water pollution treatment technologies in a river basin or region is guided by the total score derived by the assessment process. The final output is not a certain result, but a suggestion; the uncertainty evaluation of indicator scoring and weighting is considered in this study. A comprehensive assessment of water pollution treatment technologies is conducted based on three dimensions: environmental, economic and technological, which can find out the strengths and weaknesses of each technology in each dimension and select the suitable water pollution treatment technology according to the actual technological needs of a specific river basin or region. This study proposes to use the three-dimensional coordinate method to represent the assessment results; that is, the values of each technology calculated in the three dimensions of environment, economy, and technology are expressed in the form of (x,y,z) coordinates to realize the visualization of the assessment results of each dimension in three-dimensional space.

3. Case Study

3.1. Study Area

Liaohe river basin is located in the southwest of Northeast China, with a river length of 1340 km and a basin area of 221,400 km2 (Figure S1). It is composed of two major river systems: Liaohe river and Daliaohe river. This region belongs to the temperate and warm temperate semi-humid continental monsoon climate, with an average annual temperature of 4–9 °C and an average annual precipitation of 350–1000 mm. The topography in the basin is complex, dominated by low mountains, hills, and plains. It spans the four provinces of Hebei, Inner Mongolia, Jilin, and Liaoning. With the rapid expansion of cities, the natural and original Liaohe river basin has gradually transformed into an urban inland river. The main body of the basin is the central city cluster of Liaoning Province. Liaoning province is located in the lower reaches of the Liaohe river basin, which mainly includes the main stream of Liaohe river, Hun river, and Taizi river. The main streams and their tributaries are faced with the dual effects of the original agricultural non-point source pollution and the surging urban point source pollution. Urban domestic sewage discharge was one of the most important sources of urban point pollution in the Liaohe river basin in Liaoning Province. The proposed MDCA method for water pollution treatment technology is applied to the urban sewage treatment in Liaoning Province as a typical case in this study.

3.2. Potential Options

According to the survey, the main technologies for urban domestic sewage treatment in the region included Anoxic-Oxic biological treatment technology (A/O), Anaerobic-Anoxic-Oxic biological treatment technology (A2/O), sequencing batch reactor activated sludge wastewater treatment technology (SBR), traditional activated sludge treatment technology (TAS), sewage treatment technology of constructed wetland system (CWS), biofilm sewage treatment technology (BT), and other technologies. The first six urban domestic sewage treatment technologies were selected as potential options. A total of 77 urban sewage treatment plants involving these six technologies in the region were collected as a case set. The number of cases for each technique and a brief description of the corresponding techniques are shown in Table S1.

3.3. MDCA Indicators of Urban Sewage Treatment Technology

The indicators screening method above was applied to identify the indicators for the comprehensive assessment of urban sewage treatment technologies. Twelve indicators were finally obtained from fifty-five alternative indicators according to the indicator selection criteria, including chemical oxygen demand (COD) removal rate (H1), biological oxygen demand (BOD) removal rate (H2), suspended solid (SS) removal rate (H3), ammonia nitrogen removal rate (H4), total nitrogen (TN) removal rate (H5), total phosphorus (TP) removal rate (H6), sludge production (H7), investment cost (E1), operating cost (E2), resistance to hydraulic shock load (J1), operational stability (J2), ease of operation management (J3), etc. Thus, the urban sewage treatment technology assessment indicator system based on “target layer—criterion layer—element layer—indicator layer” was constructed. The assessment indicator system and the calculation formula of each indicator in the indicator layer are shown in Table S2.

3.4. Assessment Model

(1)
MDCA model based on ideal point method
One of the methods to solve discrete multi-criteria decision analysis problems is based on the distance method. The method can be divided into two types [31]: (a) an ideal point is set, which is an N-dimensional vector (when the distance between the alternative and the ideal point reaches the minimum, this is the best scheme); (b) a lowest value is set, which is also an N-dimensional vector. The scheme with the greatest distance from the alternative is identified as the best. To avoid the trouble caused by dimensional differences, all indicators need to be standardized. The distance between the alternative and the ideal point is expressed by Equation (1), and the distance between the alternative and the lowest point is expressed by Equation (2). Indicators are divided into positive and negative indicators. A positive indicator means that the larger the indicator value, the better; a negative indicator means that the smaller the indicator value, the better. After calculation by Equations (1) and (2), all indicators become positive indicators.
S i = a i m a x a i a i m a x a i m i n   1 b i m a x b i b i m a x b i m i n
s i = a i a i m i n a i m a x a i m i n   1 b i b i m i n b i m a x b i m i n
where S i is the distance between indicator i and the ideal point after normalization; s i is the distance between indicator i and the lowest point after normalization; a i m a x and a i m i n are the ideal point value and the lowest point value for the positive indicator i, respectively; b i m a x and b i m i n are the ideal point value and the lowest point value for the negative indicator i, respectively; a i and b i are the original data values for positive and negative indicators, respectively.
The ideal point method is the most commonly used and effective method based on distance method. This method synthesizes the ideal distance and the lowest distance to construct a comprehensive equilibrium formula. This study not only considers the distance between the comprehensive assessment results and the ideal point, but also considers the distance between the assessment results and the ideal point from the three dimensions of environmental, economic, and technical performance, respectively, so as to construct the assessment model based on the multi-dimension ideal point method. The constructed equilibrium formulae are showed below.
F en = i = 1 n ( w i , e n × s i , e n ) i = 1 n ( w i , e n × S i , en ) + i = 1 n ( w i , en × s i , en )
F ec = i = 1 n ( w i , ec × s i , ec ) i = 1 n ( w i , ec × S i , e c ) + i = 1 n ( w i , ec × s i , ec )
F te = i = 1 n ( w i , te × s i , te ) i = 1 n ( w i , te × S i , te ) + i = 1 n ( w i , te × s i , te )
F c = i = 1 n ( w i , c × s i , c ) i = 1 n ( w i , c × S i , c ) + i = 1 n ( w i , c × s i , c )
where F en , F ec , F te , F c are the results of the evaluated water pollution treatment technologies in the three dimensions of environment, economy, technical performance, and comprehensive assessment, respectively; w i , e n , w i , e c , w i , t e , w i , c are the weights of indicator i in the three dimensions of environmental, economic, and technical performance as well as the comprehensive situation, respectively; s i , e n , s i , e c , s i , t e , s i , c are the distances from the lowest point value after normalization of indicator i in the three dimensions of environmental, economic, and technical performance as well as the comprehensive situation; S i , e n , S i , e c , S i , t e , S i , c are the distances from the ideal point value after normalization of indicator i in the three dimensions of environmental, economic, and technical performance as well as the comprehensive situation; n indicates the number of indicators. The larger the value of Fen, Fec, Fte, and Fc, the better the alternative scheme, and the maximum scheme is the best choice.
(2)
MDCA model based on weighted method
Another commonly used method for discrete multi-criteria decision analysis is simple weighting method. The weighting method is similar to the ideal point method in that the data are first normalized. The calculation formulae are shown in Equation (7):
V i = a i a i m i n a i m a x a i m i n   1 b i b i m i n b i m a x b i m i n
where V i is the indicator value after normalization; a i m a x and a i m i n are the maximum value and the minimum for the positive indicator i, respectively; b i m a x and b i m i n are the maximum value and the minimum value for the negative indicator i, respectively; a i and b i are the original data values for positive and negative indicators, respectively. The calculation formula for multi-dimensional assessment model based on weighting method is shown as follows.
F c = F e n + F e c + F t e = i = 1 n ( w i , e n × V i , e n ) + i = 1 n ( w i , e c × V i , e c ) + i = 1 n ( w i , t e × V i , t e )
where V e n , V e c , V t e are the normalized values after indicators in the three dimensions of environmental, economic, and technical performance. Others have the same meaning as above.

3.5. Uncertainty Analysis

3.5.1. Indicator Score Uncertainty

The assignment of indicator is accompanied by many uncertainties. The assessment of water pollution treatment technology involves a variety of environmental, economic, and technical indicators, the value of which is subject to uncertainty due to various factors. For quantitative indicators, the indicator data obtained by a certain water pollution treatment technology in different engineering cases, different regions, and different operating periods are different, so the indicator value is not a fixed value. For qualitative indicators, the scores given by different stakeholders also vary.
In this study, mathematical statistics is used to investigate the influence of indicator assignment uncertainty on the assessment results of water pollution treatment technologies. The specific steps are: (1) assigning values to the indicators; (2) conducting descriptive statistics on the indicators and analyzing the distribution, mean, and standard deviation of the indicator data; (3) determining the uncertainty level of the indicators, which is divided into three levels: high, medium, and low; (4) obtaining the assessment scores under the three dimensions of environmental, economic, and technical performance and the comprehensive assessment score based on the multi-dimensional weighting method assessment model; (5) analyzing the distribution of the assessment results and studying the influence of the indicator assignment uncertainty on the assessment results.

3.5.2. Weight Sensitivity

The different weights of indicators directly affect the assessment results. From the perspective of sustainable development, the assessment of water pollution treatment technology is carried out by considering the three influencing factors of environmental, economic, and technical performance. Different stakeholders hold two views on the importance of environmental, economic, and technological influences in the comprehensive assessment of water pollution treatment technologies: (1) environmental, economic, and technological factors are equally important, i.e., equal weigh mode; (2) environmental factors are the most important while economic factors are the least important, i.e., unequal weight mode [32].These two weighting scenarios are set to analyze the variability of the assessment results. Under the equal weight scenario, the weights of environmental, economic, and technical factors are each 1/3. The weight coefficient of 0.5 is set for environmental factor, followed by the technical factor with the weight coefficient set at 0.3, then the weight coefficient of 0.2 is set for the economic factor in the non-equal weight scenario.
In order to further study the influence of indicator weights on the assessment results, the scenario analysis method is used to carry out the weight sensitivity of different indicators. Firstly, one of the indicators is set as the variable indicator A, and the weights of other indicators B and C are set to be equal. Then, the weight of the variable indicator A is changed in turn, and the weights of other indicators are changed accordingly. Eight scenario modes are set [32]. The weight of variable indicator A in scenario 1 is set to 1, and the weight of indicators B and C are both 0. The weights of variable indicator A in scenario 2–7 are set to 3/4, 3/5, 2/5, 1/2, 1/3, 2/5, and 1/4, respectively, and indicators B and C share the remaining weights equally. The weight of variable indicator A in scenario 8 is set to 0, and the weights of indicators B and C are 0.5, respectively. Here, variable indicator A can be environmental, economic, or technical performance, and indicators B and C are the remaining two indicators besides the variable indicator.

4. Results

4.1. MDCA Based on Ideal Point Method

The score distribution of environmental, economic, and technical dimensions based on the uncertainty of indicator assignment is shown in Figure 2. The uncertainty between the scores of the six alternative technologies on the environmental and technological dimensions did not differ significantly, but the uncertainty of the BT score on the economic dimension differed significantly from the other five technologies. Comparing the indicators in the economic dimension of the six alternative technologies, it was found that the operating cost assignment interval of BT was significantly larger than that of the other five technologies. The confidence intervals for scores on the environmental, economic, and technical dimensions differed significantly. In general, the confidence interval for the scores on the technical dimension was the smallest, while the uncertainty is the largest for the environmental dimension. The variability of confidence intervals across dimensions is determined by a combination of the number and the uncertainty for indicators.
The three-dimensional assessment results of environmental, economic, and technical performance did not change regardless of equal weight or unequal weight mode. The value of Fen is lower than that of Fec and Fte. The technical performance discrimination of the six alternative technologies was the most obvious, and the Fte values were SBR > TAS ≈ BT > T1 ≈ A/O > A2/O. The assessment results of environmental, economic, and technological dimensions were graded according to 0–0.6, 0.6–0.7, 0.7–0.8, 0.8–0.9, 0.9–1. It was found that A2/O and TAS had relatively good environmental benefits, while CWS had the worst environmental benefits. The assessment results differentiation of economic dimension is not very high. All the Fec values of A/O, SBR, and CWS were above 0.9, and A2O was less economical than other technologies. The highest Fte value is SBR, and the worst is A2/O. The comprehensive effects of the six technologies in environmental, economic, and technological aspects were also evaluated from the total score. Table 1 showed the proportion of comprehensive scores classification of the six alternative techniques in equal weight and unequal weight modes. It can be found that whether it is an equal or an unequal weight mode, the water pollution treatment technology with the best comprehensive assessment effect was SBR, followed by TAS and BT for urban domestic sewage treatment in the study area.

4.2. MDCA Based on Weighted Method

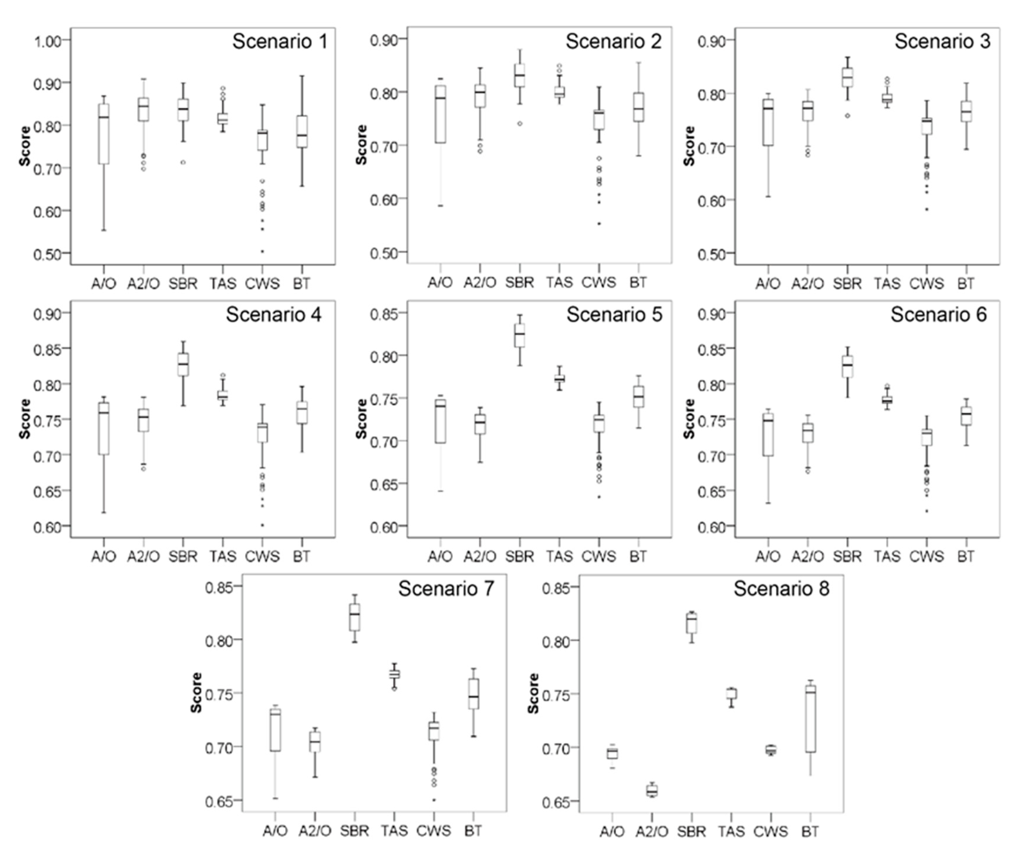
The impact of indicator assignment uncertainty by using the weighted assessment model on the scores of environmental, economic, and technical dimensions was consistent with that of the ideal point assessment model, which was not be repeated here. Three-dimensional assessment results of environmental, economic, and technical performance indicated that the degree of differentiation for Fen and Fec values were far less than the Fte values for the six alternative techniques under eight weighted scenarios (Figure 3). Clearly, the best technology in the technical dimension was SBR, and the worst was TAS. Figure 4 showed the comprehensive score distribution of the six alternative technologies under eight weighted scenarios by multi-dimensional assessment model based on th weighted method. It can be seen that the selection of weights directly affected the assessment result and then the final decision-making. Special attention should be paid to soliciting the views of various stakeholders to determine the weights in the comprehensive assessment of water pollution treatment technology. In this case, with the decrease in the weight of environmental factors, the comprehensive scores discrimination of the six alternative technologies became more and more obvious. Compared with environmental factors, economic and technical factors are more sensitive to the impact of comprehensive assessment results. When only environmental factors were considered (scenario 1), the differences in the comprehensive scores of the six alternative technologies were not particularly obvious. The highest comprehensive score went to SBR, followed by TAS, with the decrease in the weights of environmental factor and the increase in the weights of economic and technical factors.

4.3. Comparison Results of Two MDCA Models

The three-dimensional score distribution and evaluation results of environmental, economic, and technical performance calculated by the two assessment models based on the ideal point method and the weighted method showed that although the scores of each dimension obtained by the two models were different, the uncertainty law of the evaluation results was similar. The reason is that the uncertainty of the evaluation results depends on the uncertainty of the indicator assignment. From the evaluation results of the three dimensions of environmental, economic, and technical performance, the assessment model based on the multi-dimensional ideal point method was not affected by the weight change of the criterion layer, and the three-dimensional evaluation results were unique. However, the multi-dimensional assessment model based on the weighted method changed with the change of the weighted scenario mode of the criterion layer, and the three-dimensional evaluation results change accordingly. The three-dimensional assessment results of the two models were consistent except that the technologies with the worst technical performance were A2O by the ideal point method and TAS by the weighted method respectively, primarily affected by weight sensitivity. The ranking of comprehensive assessment results of alternative technologies by the two models was basically the same, and the higher Fc values was SBR, followed by TAS.

4.4. Influencing Factors for MDCA Results

The three-dimensional assessment results showed that TAS and A2O had the better environmental benefits, while CWS had the worst environmental benefits. A/O, SBR, and CWS had high economic benefits, and A2O had the worst economic and technical performance. In order to identify the shortcomings of alternative technologies, comparative analysis of the indicators in environmental, economic, and technological dimensions was carried out with the results shown in Figure 5. It indicated that the poor assessment result of environmental dimension for CWS was mainly due to the low ammonia removal rate. A2/O had high investment cost and operation cost, relatively complex operation management, and poor resistance to hydraulic shock load, resulting in low Fec value and Fte value. The Fc values of SBR and TAS were relatively high, which can be used as the recommended technologies for urban sewage treatment in the study area. However, it can be seen from Figure 5 that the economic benefit for SBR was not advantageous, and TAS had a high sludge production quantity and poor resistance to hydraulic shock load. Therefore, the assessment results can not only select the technology, but also identify the shortcomings of the technology, thus providing guidance for improving the shortcomings of the technology and improving the applicability of the technology in the future.

5. Discussion

On the basis of fully considering the general and individual characteristics of different types of water pollution treatment technologies, the comprehensive assessment indicator system of water pollution treatment technologies is constructed based on the three dimensions of environmental, economic, and technical performance, and the assessment model and the expression form of evaluation results are proposed in this study. The assessment methodology established has the advantages and characteristics as follows:
(1) A new method of indicator screening for the indicator layer is proposed. It is found that the final indicators are very different due to scholars’ different understanding of the characteristics of assessment objects and the meaning of the indicators. On the premise of following the construction principle of the assessment system, this study establishes a library of alternative indicators and selects the indicators after a series of screenings, such as frequency analysis, importance judgment, measurability judgment, and comparability and independence tests, to ensure the scientificity, objectivity, and representativeness of the selected indicators as much as possible;
(2) The expression of the assessment results can objectively reflect the advantages and shortcomings of the water pollution treatment technology. In practical applications, according to the characteristics of water environmental pollution and the demand targets, the technology with a high score is not necessarily the most suitable water pollution treatment technology for a specific river basin or region. Therefore, this study proposes to visually reflect the score of each assessment indicator in a certain dimension through a radar chart, to express the assessment results of environmental, economic, and technical performance through three-dimensional coordinates, and to calculate the comprehensive assessment score so that the technology suitable for the region can be selected more accurately according to actual needs. In addition, based on the assessment results, the shortcomings of a potential technology can be identified and further improved.
(3) The assessment system is systematic and standardized. A four-level framework structure is adopted in the design of the comprehensive assessment indicator system framework of water pollution treatment technology. The common characteristics of the technologies are reflected at the criterion layer and the element layer; that is, the criterion layer and the element layer are unified when different types of water pollution treatment technologies are evaluated, while the indicator layer needs to put forward specific assessment indicators according to the characteristics of different types of technology. In this way, the comprehensive assessment can not only be unified in the overall framework; the respective characteristics of different technologies can also be reflected. The determination of assessment models and indicator weights is also defined in the study as a unified methodology and principle.

6. Conclusions

In this study, an MDCA framework of water pollution treatment technologies was developed by using the sustainable assessment method. The framework begins with the definition of water pollution treatment technologies’ decision making problems, then proceeds through the following: selecting potential water pollution treatment technologies; identifying indicators for decision making; indicator scoring; indicator weighting; selecting appropriate assessment model; uncertainty analysis; and other steps to ultimately determine preferred options. The established comprehensive assessment indicator system for water pollution treatment technologies unifies the indicators of the criterion layer and the element layer; while for the indicators of the indicator layer, new indicator screening methods that meet the characteristics of different technology types are proposed. This indicator system realizes the integration of common and individual characteristics of water pollution treatment technologies under the same framework. The representation of assessment results based on radar charts and the three-dimensional coordinate method is helpful in selecting suitable water pollution treatment technologies and identifying their potential shortcomings.
The applicability of the MDCA method is verified by combination with typical cases. Taking urban wastewater treatment technology as an example, a comprehensive assessment indicator system for urban wastewater treatment technology was established and a multi-dimensional assessment model combined with uncertainty analysis was adopted to screen technologies applicable to urban wastewater treatment in the Liaohe river basin in Liaoning Province. The results showed that SBR had the highest comprehensive assessment score, followed by TAS, which can be used as recommended technologies. However, these two technologies also have shortcomings, such as the unsatisfactory economic benefit of SBR, and the high sludge production and poor resistance to hydraulic shock loading of TAS. The assessment results not only select the technology but also identify the shortcomings. It is noted that indicator assignment and weighting are key factors affecting uncertainty in assessment results.

Supplementary Materials

The following supporting information can be downloaded at: https://www.mdpi.com/article/10.3390/w15040751/s1, Figure S1: Location of study area; Table S1: Number of cases and brief description of potential urban sewage treatment technologies; Table S2: Indicator system of urban sewage treatment technology assessment and the calculation formula of each indicator in the indicator layer; Table S3: Descriptive statistics of environmental, economic and technical indicator data for the assessment o six alternative wastewater treatment technologies.

Author Contributions

J.L.: Conceptualization, methodology, software, writing the manuscript and manuscript revision; Y.W.: data validation, statistical analysis; J.J.: supervision, funding acquisition; W.T.: literature screening, review, and revision of the manuscript; T.Z.: data curation, visualization. All authors have read and agreed to the published version of the manuscript.

Funding

The study was supported by the National Major Science and Technology Project for Water Pollution Control and Treatment (funder: J.J.; No. 2017ZX07401), the Open Project Program of Engineering Research Center of Groundwater Pollution Control and Remediation, Ministry of Education of China (funder: J.L.; No.GW202205), and Joint Research Project on Ecological Protection and Quality Development in the Yellow River Basin (funder: J.J.; No. 2022-YRUC-01-0203).

Data Availability Statement

Not applicable.

Conflicts of Interest

The authors declare that they have no known competing financial interest or personal relationships that could have appeared to influence the work reported in this paper.

References

  1. China Ecological Environment Bulletin in 2018; Ministry of Ecology and Environment of the People’s Republic of China: Beijing, China, 2019. Available online: https://www.mee.gov.cn/hjzl/sthjzk/zghjzkgb/201905/P020190619587632630618.pdf (accessed on 7 January 2023). (In Chinese)
  2. Han, D.M.; Matthew, J.C.; Cao, G.L. Deep challenges for China’s war on water pollution. Environ. Pollut. 2016, 218, 1222–1233. [Google Scholar] [CrossRef]
  3. Wang, Q.; Yang, Z.M. Industrial water pollution, water environment treatment, and health risks in China. Environ. Pollut. 2016, 218, 358–365. [Google Scholar] [CrossRef]
  4. Li, J.L.; Yang, J.X.; Liu, M.M.; Ma, Z.W.; Fang, W.; Bi, J. Quality matters: Pollution exacerbates water scarcity and sectoral output risks in China. Water Res. 2022, 224, 119059. [Google Scholar] [CrossRef]
  5. Tang, W.Z.; Pei, Y.S.; Zheng, H.; Zhao, Y.; Shu, L.M.; Zhang, H. Twenty years of China’s water pollution control: Experiences and challenges. Chemosphere 2022, 295, 133875. [Google Scholar] [CrossRef]
  6. State Council of the People’s Republic of the China. National Medium and Long-Term Science and Technology Development Plan (2006–2020). 2016. Available online: http://www.gov.cn/gongbao/content/2006/content_240244.htm (accessed on 7 January 2023). (In Chinese)
  7. Zhou, L.; Wu, Y.L.; Zhang, S.Q.; Li, Y.F.; Gao, Y.; Zhang, W.; Tian, L.; Li, T.; Du, Q.; Sun, S.Q. Recent development in microbial electrochemical technologies: Biofilm formation, regulation, and application in water pollution prevention and control. J. Water Process Eng. 2022, 49, 103135. [Google Scholar] [CrossRef]
  8. Wang, H.H.; Xiong, J.X. Governance on water pollution: Evidence from a new river regulatory system of China. Econ. Model. 2022, 113, 105878. [Google Scholar] [CrossRef]
  9. Ding, M.; Zeng, H. A bibliometric analysis of research progress in sulfate-rich wastewater pollution control technology. Ecotox. Environ. Safe. 2022, 238, 113626. [Google Scholar] [CrossRef]
  10. Wang, X.; Zhang, M.; Liu, L.L.; Wang, Z.P.; Lin, K.F. Using EEM-PARAFAC to identify and trace the pollution sources of surface water with receptor models in Taihu Lake Basin, China. J. Environ. Manag. 2022, 321, 115925. [Google Scholar] [CrossRef]
  11. Li, M.Y.; Li, L.; Sun, Y.; Ma, H.Y.; Zhang, H.; Li, F. Facile synthesis of dual-hydrolase encapsulated magnetic ZIF-8 composite for efficient removal of multi-pesticides induced pollution in water. Chemosphere 2023, 314, 137673. [Google Scholar] [CrossRef]
  12. Lu, Y. Experience of American environmental technology management. Environ. Edu. 2007, 5, 59. (In Chinese) [Google Scholar]
  13. Wang, K.J. The enlightenment of foreign environmental technology management to China. Environ. Prot. 2007, 8, 32. (In Chinese) [Google Scholar]
  14. Huang, Q.M.; Xiang Wang, X. Technology selection and evaluation in technology transfer. J. Mang. Eng. 1986, 2, 41. (In Chinese) [Google Scholar]
  15. Huang, Q.M. Theory and method of comprehensive evaluation of technical economy. Tech. Eco. 1989, Z1, 33–38. (In Chinese) [Google Scholar]
  16. Li, C. Evaluation and Optimization of Water Pollution Control Technology in Liaohe River Basin. Master’s Thesis, Northeastern University, Liaoning, China, 2011. (In Chinese). [Google Scholar]
  17. Liang, J.F. Study on Evaluation Method of Water Pollution Control Technology in Pharmaceutical Industry. Master’s Thesis, Hebei University of Science and Technology, Shijiazhuang, China, 2010. (In Chinese). [Google Scholar]
  18. Abrishamchi, A.; Ebrahimian, A.; Tajrishi, M.; Marino, M.A. Case study: Application of multicriteria decision making to urban water supply. J. Water Resour. Plann. Manag. 2005, 131, 326–335. [Google Scholar] [CrossRef]
  19. Hajkowicz, S.; Collins, K. A review of multiple criteria analysis for water resources planning and management. Water Resour. Manag. 2007, 21, 1553–1566. [Google Scholar] [CrossRef]
  20. Chen, S.J.; Hwang, C.L. Fuzzy Multiple Attribute Decision-Making: Methods and Applications; Springer-Verlag: Berlin, Germany, 1992. [Google Scholar]
  21. Kiker, G.A.; Bridges, T.S.; Varghese, A.; Seager, T.P.; Linkov, I. Application of multicriteria decision analysis in environmental decision making. Integr. Environ. Assess. Manag. 2005, 1, 95–108. [Google Scholar] [CrossRef]
  22. Hyrycz, M.; Ochowiak, M.; Krupińska, A.; Włodarczak, S.; Matuszak, M. A review of flocculants as an efficient method for increasing the efficiency of municipal sludge dewatering: Mechanisms, performances, influencing factors and perspectives. Sci. Total Environ. 2022, 820, 153328. [Google Scholar] [CrossRef]
  23. Zhao, Q.; Peng, Y.; Li, J.; Gao, R.; Jia, T.; Deng, L.; Du, R. Sustainable upgrading of biological municipal wastewater treatment based on anammox: From microbial understanding to engineering application. Sci. Total Environ. 2022, 813, 152468. [Google Scholar] [CrossRef]
  24. Xue, J.; Wang, Q.; Zhang, M. A review of non-point source water pollution modeling for the urban–rural transitional areas of China: Research status and prospect. Sci. Total Environ. 2022, 826, 154146. [Google Scholar] [CrossRef]
  25. Shen, Z.; Liao, Q.; Hong, Q.; Gong, Y. An overview of research on agricultural non-point source pollution modelling in China. Sep. Purif. Technol. 2012, 84, 104–111. [Google Scholar] [CrossRef]
  26. Yin, Z. The sustainable management of microplastics pollution in sediments from China: Promulgating relevant laws and implementing targeted management. Sci. Total Environ. 2022, 856, 159262. [Google Scholar] [CrossRef] [PubMed]
  27. Saaty, T.L. The Analytical Hierarchy Process: Planning, Priority Setting, Resource Allocation; McGraw Hill: New York, NY, USA, 1980. [Google Scholar]
  28. Sorvari, J.; Antikainen, R.; Pyy, O. Environmental contamination at Finnish shooting ranges—The scope of the problem and management options. Sci. Total Environ. 2006, 366, 21–31. [Google Scholar] [CrossRef]
  29. Sam, K.; Coulo, F.; George, P. A multi-attribute methodology for the prioritisation of oil contaminated sites in the Niger Delta. Sci. Total Environ. 2017, 579, 1323–1332. [Google Scholar] [CrossRef]
  30. Butler, J.; Jia, J.; Dyer, J. Simulation techniques for the sensitivity analysis of multi-criteria decision models. Eur. J. Oper. Res. 1997, 103, 531–546. [Google Scholar] [CrossRef]
  31. Zarghami, M.; Szidarovszky, F. Multicriteria Analysis: Applications to Water and Environment Management; Springer Berlin Heid: Berlin, Germany, 2014. [Google Scholar]
  32. Wu, J.; Xiong, Y.N.; Ge, Y.X.; Yuan, W.C. A sustainability assessment-based methodology for the prioritization of contaminated site risk management options. Environ. Sci. Pollut. Res. 2022, 29, 7503–7513. [Google Scholar] [CrossRef]
Figure 1. Framework for MDCA of water pollution treatment technologies.
Figure 1. Framework for MDCA of water pollution treatment technologies.
Water 15 00751 g001
Figure 2. Score distribution of environmental, economic, and technical dimensions based on the uncertainty of indicator assignment.
Figure 2. Score distribution of environmental, economic, and technical dimensions based on the uncertainty of indicator assignment.
Water 15 00751 g002
Figure 3. Three-dimensional assessment results of environmental, economic, and technical performance for six alternative techniques under eight weighted scenarios.
Figure 3. Three-dimensional assessment results of environmental, economic, and technical performance for six alternative techniques under eight weighted scenarios.
Water 15 00751 g003
Figure 4. Comprehensive score distribution of six alternative technologies under eight weighted scenarios.
Figure 4. Comprehensive score distribution of six alternative technologies under eight weighted scenarios.
Water 15 00751 g004
Figure 5. Comparison of indicators in environmental, economic, and technical dimensions for six alternative technologies.
Figure 5. Comparison of indicators in environmental, economic, and technical dimensions for six alternative technologies.
Water 15 00751 g005
Table 1. Proportion of comprehensive scores classification of six alternative techniques in equal weight and unequal weight modes.
Table 1. Proportion of comprehensive scores classification of six alternative techniques in equal weight and unequal weight modes.
Alternative TechnologiesModesProportion (%)
[0.8–1][0.7–0.8)[0.6–0.7)[0.5–0.6)[0–0.5)
A/OEqual1.088.210.80.00.0
Non-equal0.067.730.91.40.0
A2/OEqual0.071.426.81.80.0
Non-equal0.047.649.72.60.1
SBREqual92.22.00.01.54.4
Non-equal55.438.73.42.50.0
TASEqual5.994.10.00.00.0
Non-equal0.099.50.50.00.0
CWSEqual0.075.025.00.00.0
Non-equal0.022.970.86.30.0
BTEqual0.094.65.40.00.0
Non-equal0.074.824.50.70.0
Disclaimer/Publisher’s Note: The statements, opinions and data contained in all publications are solely those of the individual author(s) and contributor(s) and not of MDPI and/or the editor(s). MDPI and/or the editor(s) disclaim responsibility for any injury to people or property resulting from any ideas, methods, instructions or products referred to in the content.

Share and Cite

MDPI and ACS Style

Li, J.; Wen, Y.; Jiang, J.; Tan, W.; Zhang, T. A Multi-Dimensional Comprehensive Assessment (MDCA) Method for the Prioritization of Water Pollution Treatment Technologies in China. Water 2023, 15, 751. https://doi.org/10.3390/w15040751

AMA Style

Li J, Wen Y, Jiang J, Tan W, Zhang T. A Multi-Dimensional Comprehensive Assessment (MDCA) Method for the Prioritization of Water Pollution Treatment Technologies in China. Water. 2023; 15(4):751. https://doi.org/10.3390/w15040751

Chicago/Turabian Style

Li, Jiao, Yujiao Wen, Jinyuan Jiang, Wei Tan, and Tianyi Zhang. 2023. "A Multi-Dimensional Comprehensive Assessment (MDCA) Method for the Prioritization of Water Pollution Treatment Technologies in China" Water 15, no. 4: 751. https://doi.org/10.3390/w15040751

APA Style

Li, J., Wen, Y., Jiang, J., Tan, W., & Zhang, T. (2023). A Multi-Dimensional Comprehensive Assessment (MDCA) Method for the Prioritization of Water Pollution Treatment Technologies in China. Water, 15(4), 751. https://doi.org/10.3390/w15040751

Note that from the first issue of 2016, this journal uses article numbers instead of page numbers. See further details here.

Article Metrics

Back to TopTop