Effective Adsorption of Chlorinated Polyfluoroalkyl Ether Sulfonates from Wastewater by Nano-Activated Carbon: Performance and Mechanisms
Abstract
:1. Introduction
2. Materials and Methods
2.1. Materials
2.2. Preparation of Coconut Shell Active Carbon
2.3. Characterization of Coconut Shell Active Carbon
2.4. Adsorption Experiments
2.5. Analysis of Adsorption Kinetics and Isotherms
2.6. Theoretical Calculations
3. Results and Discussion
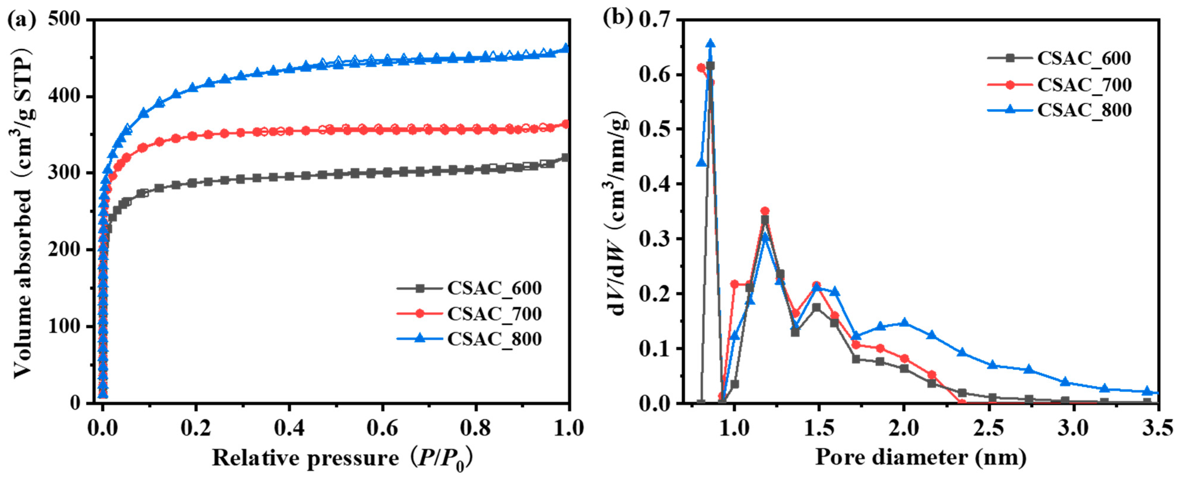
3.1. Characterization of Coconut Shell Activated Carbon
3.2. Adsorption Kinetics
3.3. Adsorption Isotherm
3.4. Theoretical Calculations
4. Conclusions
Author Contributions
Funding
Data Availability Statement
Conflicts of Interest
Nomenclature
| F-53B | chlorinated polyfluoroalkyl ether sulfonates |
| CSAC_600 | coconut shell activated carbon prepared at 600 °C |
| CSAC_700 | coconut shell activated carbon prepared at 700 °C |
| CSAC_800 | coconut shell activated carbon prepared at 800 °C |
| qt | adsorption capacities at time t |
| qe | adsorption capacities at equilibrium |
| qm | the maximum adsorption capacity |
| C0 | concentrations of F-53B at the adsorption times at zero |
| Ct | concentrations of F-53B at the adsorption times at t |
| Ce | concentrations of F-53B at the adsorption times at equilibrium |
References
- Hu, Y.; Guo, M.; Zhang, S.; Jiang, W.; Xiu, T.; Yang, S.; Kang, M.; Dongye, Z.; Li, Z.; Wang, L. Microwave synthesis of metal-organic frameworks absorbents (DUT-5-2) for the removal of PFOS and PFOA from aqueous solutions. Microporous Mesoporous Mater. 2022, 333, 111740. [Google Scholar] [CrossRef]
- Leung, S.C.E.; Shukla, P.; Chen, D.; Eftekhari, E.; An, H.; Zare, F.; Ghasemi, N.; Zhang, D.; Nguyen, N.-T.; Li, Q. Emerging technologies for PFOS/PFOA degradation and removal: A review. Sci. Total Environ. 2022, 827, 153669. [Google Scholar] [CrossRef] [PubMed]
- Zhang, R.; Hu, Z.; Wei, H.; Zhang, S.; Meng, X. Adsorption of perfluorooctane sulfonate on carbonized poly-melamine-formaldehyde sponge. Sci. Total Environ. 2020, 727, 138626. [Google Scholar] [CrossRef] [PubMed]
- Jane, L.; Espartero, L.; Yamada, M.; Ford, J.; Owens, G.; Prow, T.; Juhasz, A. Health-related toxicity of emerging per- and polyfluoroalkyl substances: Comparison to legacy PFOS and PFOA. Environ. Res. 2022, 212, 113431. [Google Scholar] [CrossRef] [PubMed]
- Lu, Y.; Liang, Y.; Zhou, Z.; Wang, Y.; Jiang, G. Possible fluorinated alternatives of PFOS and PFOA: Ready to go? Environ. Sci. Technol. 2019, 53, 14091–14092. [Google Scholar] [CrossRef]
- Wang, Q.; Huang, J.; Liu, S.; Wang, C.; Jin, Y.; Lai, H.; Tu, W. Aberrant hepatic lipid metabolism associated with gut microbiota dysbiosis triggers hepatotoxicity of novel PFOS alternatives in adult zebrafish. Environ. Int. 2022, 166, 107351. [Google Scholar] [CrossRef]
- Wang, S.; Huang, J.; Yang, Y.; Hui, Y.; Ge, Y.; Larssen, T.; Yu, G.; Deng, S.; Wang, B.; Harman, C. First report of a Chinese PFOS alternative overlooked for 30 years: Its toxicity, persistence, and presence in the environment. Environ. Sci. Technol. 2013, 47, 10163–10170. [Google Scholar] [CrossRef]
- Liu, S.; Lai, H.; Wang, Q.; Martínez, R.; Zhang, M.; Liu, Y.; Huang, J.; Deng, M.; Tu, W. Immunotoxicity of F53B, an alternative to PFOS, on zebrafish (Danio rerio) at different early life stages. Sci. Total Environ. 2021, 790, 148165. [Google Scholar] [CrossRef]
- He, Y.; Lv, D.; Li, C.; Liu, X.; Liu, W.; Han, W. Human exposure to F-53B in China and the evaluation of its potential toxicity: An overview. Environ. Int. 2022, 161, 107108. [Google Scholar] [CrossRef]
- Militao, I.M.; Roddick, F.A.; Bergamasco, R.; Fan, L. Removing PFAS from aquatic systems using natural and renewable material-based adsorbents: A review. J. Environ. Chem. Eng. 2021, 9, 105271. [Google Scholar] [CrossRef]
- Saeidi, N.; Kopinke, F.-D.; Georgi, A. What is specific in adsorption of perfluoroalkyl acids on carbon materials? Chemosphere 2021, 273, 128520. [Google Scholar] [CrossRef] [PubMed]
- Mohd Azmi, L.H.; Williams, D.R.; Ladewig, B.P. Polymer-assisted modification of metal-organic framework MIL-96 (Al): Influence of HPAM concentration on particle size, crystal morphology and removal of harmful environmental pollutant PFOA. Chemosphere 2021, 262, 128072. [Google Scholar] [CrossRef]
- Albert, K.; Hsieh, P.-Y.; Chen, T.-H.; Hou, C.-H.; Hsu, H.-Y. Diatom-assisted biomicroreactor targeting the complete removal of perfluorinated compounds. J. Hazard. Mater. 2020, 384, 121491. [Google Scholar] [CrossRef] [PubMed]
- D’Agostino, L.A.; Mabury, S.A. Aerobic biodegradation of 2 fluorotelomer sulfonamide–based aqueous film–forming foam components produces perfluoroalkyl carboxylates. Environ. Toxicol. Chem. 2017, 36, 2012–2021. [Google Scholar] [CrossRef] [PubMed]
- Wu, Y.; Hu, Y.; Han, M.; Ouyang, Y.; Xia, L.; Huang, X.; Hu, Z.; Li, C. Mechanism insights into the facet-dependent photocatalytic degradation of perfluorooctanoic acid on BiOCl nanosheets. Chem. Eng. J. 2021, 425, 130672. [Google Scholar] [CrossRef]
- Liu, F.; Guan, X.; Xiao, F. Photodegradation of per- and polyfluoroalkyl substances in water: A review of fundamentals and applications. J. Hazard. Mater. 2022, 439, 129580. [Google Scholar] [CrossRef]
- Wen, Y.; Rentería-Gómez, Á.; Day, G.S.; Smith, M.F.; Yan, T.-H.; Ozdemir, R.O.K.; Gutierrez, O.; Sharma, V.K.; Ma, X.; Zhou, H.-C. Integrated photocatalytic reduction and oxidation of perfluorooctanoic acid by metal–organic frameworks: Key insights into the degradation mechanisms. J. Am. Chem. Soc. 2022, 144, 11840–11850. [Google Scholar] [CrossRef]
- Duan, X.; Wang, W.; Wang, Q.; Sui, X.; Li, N.; Chang, L. Electrocatalytic degradation of perfluoroocatane sulfonate (PFOS) on a 3D graphene-lead dioxide (3DG-PbO2) composite anode: Electrode characterization, degradation mechanism and toxicity. Chemosphere 2020, 260, 127587. [Google Scholar] [CrossRef]
- Soriano, A.; Schaefer, C.; Urtiaga, A. Enhanced treatment of perfluoroalkyl acids in groundwater by membrane separation and electrochemical oxidation. Chem. Eng. J. Adv. 2020, 4, 100042. [Google Scholar] [CrossRef]
- Pierpaoli, M.; Szopińska, M.; Wilk, B.K.; Sobaszek, M.; Łuczkiewicz, A.; Bogdanowicz, R.; Fudala-Książek, S. Electrochemical oxidation of PFOA and PFOS in landfill leachates at low and highly boron-doped diamond electrodes. J. Hazard. Mater. 2021, 403, 123606. [Google Scholar] [CrossRef]
- Pauletto, P.S.; Bandosz, T.J. Activated carbon versus metal-organic frameworks: A review of their PFAS adsorption performance. J. Hazard. Mater. 2022, 425, 127810. [Google Scholar] [CrossRef]
- Uddin, M.K. A review on the adsorption of heavy metals by clay minerals, with special focus on the past decade. Chem. Eng. J. 2017, 308, 438–462. [Google Scholar] [CrossRef]
- Gao, Y.; Deng, S.; Du, Z.; Liu, K.; Yu, G. Adsorptive removal of emerging polyfluoroalky substances F-53B and PFOS by anion-exchange resin: A comparative study. J. Hazard. Mater. 2017, 323, 550–557. [Google Scholar] [CrossRef] [PubMed]
- Hassan, M.; Liu, Y.; Naidu, R.; Du, J.; Qi, F. Adsorption of perfluorooctane sulfonate (PFOS) onto metal oxides modified biochar. Environ. Technol. Innov. 2020, 19, 100816. [Google Scholar] [CrossRef]
- Liu, K.; Zhang, S.; Hu, X.; Zhang, K.; Roy, A.; Yu, G. Understanding the adsorption of PFOA on MIL-101(Cr)-based anionic-exchange metal–organic frameworks: Comparing DFT calculations with aqueous sorption experiments. Environ. Sci. Technol. 2015, 49, 8657–8665. [Google Scholar] [CrossRef]
- Park, M.; Wu, S.; Lopez, I.J.; Chang, J.Y.; Karanfil, T.; Snyder, S.A. Adsorption of perfluoroalkyl substances (PFAS) in groundwater by granular activated carbons: Roles of hydrophobicity of PFAS and carbon characteristics. Water Res. 2020, 170, 115364. [Google Scholar] [CrossRef]
- Barker, J.A.; Henderson, D. What is “liquid”? Understanding the states of matter. Rev. Modern Phys. 1976, 48, 587–671. [Google Scholar] [CrossRef]
- Rappe, A.K.; Casewit, C.J.; Colwell, K.S.; Goddard, W.A., III; Skiff, W.M. UFF, a full periodic table force field for molecular mechanics and molecular dynamics simulations. J. Am. Chem. Soc. 1992, 114, 10024–10035. [Google Scholar] [CrossRef]
- Ekramipooya, A.; Valadi, F.M.; Latifi Pour, M.; Rashtchian, D.; Gholami, M.R. Effect of the pyrrolic nitrogen functional group in the selective adsorption of CO2: GCMC, MD, and DFT studies. Energy Fuels 2021, 35, 15918–15934. [Google Scholar] [CrossRef]
- Long, H.; Lin, H.-F.; Yan, M.; Bai, Y.; Tong, X.; Kong, X.-G.; Li, S.-G. Adsorption and diffusion characteristics of CH4, CO2, and N2 in micropores and mesopores of bituminous coal: Molecular dynamics. Fuel 2021, 292, 120268. [Google Scholar] [CrossRef]
- Ning, H.; Yang, Z.; Yin, Z.; Wang, D.; Meng, Z.; Wang, C.; Zhang, Y.; Chen, Z. A novel strategy to enhance the performance of CO2 adsorption separation: Grafting hyper-cross-linked polyimide onto composites of UiO-66-NH2 and GO. ACS Appl. Mater. Interfaces 2021, 13, 17781–17790. [Google Scholar] [CrossRef] [PubMed]
- Cheng, Z.; Shang, C.; Westerhoff, P.; Ling, L. Novel polymer optical fibers with high mass-loading g-C3N4 embedded metamaterial porous structures achieve rapid micropollutant degradation in water. Water Res. 2023, 242, 120234. [Google Scholar] [CrossRef]
- Hidayu, A.R.; Mohamad, N.F.; Matali, S.; Sharifah, A.S.A.K. Characterization of activated carbon prepared from oil palm empty fruit bunch using BET and FT-IR techniques. Procedia Eng. 2013, 68, 379–384. [Google Scholar] [CrossRef]
- Saka, C. BET, TG–DTG, FT-IR, SEM, iodine number analysis and preparation of activated carbon from acorn shell by chemical activation with ZnCl2. J. Anal. Appl. Pyrolysis 2012, 95, 21–24. [Google Scholar] [CrossRef]
- Lua, A.C.; Yang, T. Effect of activation temperature on the textural and chemical properties of potassium hydroxide activated carbon prepared from pistachio-nut shell. J. Colloid Interface Sci. 2004, 274, 594–601. [Google Scholar] [CrossRef] [PubMed]
- Tseng, R.L.; Tseng, S.K.; Wu, F.C.; Hu, C.C.; Wang, C.C. Effects of micropore development on the physicochemical properties of KOH-activated carbons. J. Chin. Inst. Chem. Eng. 2008, 39, 37–47. [Google Scholar] [CrossRef]
- Romanos, J.; Beckner, M.; Rash, T.; Firlej, L.; Kuchta, B.; Yu, P.; Suppes, G.; Wexler, C.; Pfeifer, P. Nanospace engineering of KOH activated carbon. Nanotechnology 2012, 23, 015401. [Google Scholar] [CrossRef]
- Yu, Q.; Zhang, R.; Deng, S.; Huang, J.; Yu, G. Sorption of perfluorooctane sulfonate and perfluorooctanoate on activated carbons and resin: Kinetic and isotherm study. Water Res. 2009, 43, 1150–1158. [Google Scholar] [CrossRef]
- Dai, Y.; Zhao, J.; Sun, C.; Li, D.; Liu, X.; Wang, Z.; Yue, T.; Xing, B. Interaction and combined toxicity of microplastics and perand polyfluoroalkyl substances in aquatic environment. Front. Environ. Sci. Eng. 2022, 16, 136. [Google Scholar] [CrossRef]
- Wang, W.; Mi, X.; Shi, H.; Zhang, X.; Zhou, Z.; Li, C.; Zhu, D. Adsorption behaviour and mechanism of the PFOS substitute OBS (sodium p-perfluorous nonenoxybenzene sulfonate) on activated carbon. R. Soc. Open Sci. 2019, 6, 191069. [Google Scholar] [CrossRef]
- Gong, Y.; Wang, L.; Liu, J.; Tang, J.; Zhao, D. Removal of aqueous perfluorooctanoic acid (PFOA) using starch-stabilized magnetite nanoparticles. Sci. Total Environ. 2016, 562, 191–200. [Google Scholar] [CrossRef] [PubMed]
- Xu, J.; Liu, Z.; Zhao, D.; Gao, N.; Fu, X. Enhanced adsorption of perfluorooctanoic acid (PFOA) from water by granular activated carbon supported magnetite nanoparticles. Sci. Total Environ. 2020, 723, 137757. [Google Scholar] [CrossRef] [PubMed]
- Zhao, S.; Liu, S.; Wang, F.; Lu, X.; Li, Z. Sorption behavior of 6:2 chlorinated polyfluorinated ether sulfonate (F-53B) on four kinds of nano-materials. Sci. Total Environ. 2021, 757, 144064. [Google Scholar] [CrossRef] [PubMed]
- Ding, D.; Song, X.; Wei, C.; Hu, Z.; Liu, Z. Efficient sorptive removal of F-53B from water by layered double hydroxides: Performance and mechanisms. Chemosphere 2020, 252, 126443. [Google Scholar] [CrossRef] [PubMed]








| Samples | SBET/(m2/g−1) | Vtol/(cm3/g) |
|---|---|---|
| CSAC_600 | 1117 | 0.49 |
| CSAC-700 | 1355 | 0.56 |
| CSAC-800 | 1509 | 0.71 |
| Samples | C (%) | H (%) | O (%) |
|---|---|---|---|
| CSAC_600 | 73.83 | 1.21 | 24.96 |
| CSAC_700 | 77.59 | 1.00 | 21.41 |
| CSAC_800 | 84.75 | 0.26 | 14.99 |
| Kinetic Models | Kinetic Parameters | CSAC_600 | CSAC_700 | CSAC_800 |
|---|---|---|---|---|
| Pseudo-first-order | qe/(mg·g−1) | 81.43 | 76.38 | 43.36 |
| k1/(min−1) | 0.005 | 0.007 | 0.010 | |
| R2 | 0.8222 | 0.8573 | 0.7119 | |
| Pseudo-second-order | qe/(mg·g−1) | 219.30 | 250.63 | 250.63 |
| k2/(g·mg−1·min−1) | 8.6 × 10−4 | 1.19 × 10−3 | 2.4 × 10−3 | |
| R2 | 0.9999 | 0.9999 | 0.9999 |
| Isotherm Models | Isotherm Parameters | CSAC_600 | CSAC_700 | CSAC_800 |
|---|---|---|---|---|
| Langmuir | qm/(mg·g−1) | 396.83 | 476.19 | 537.63 |
| KL/(L·mg−1) | 0.41 | 1.44 | 4.56 | |
| R2 | 0.9664 | 0.9923 | 0.9963 | |
| Freundlich | n | 6.02 | 7.01 | 5.10 |
| KF/(mg·g−1)·(L·mg−1)1/n | 185.22 | 278.98 | 372.97 | |
| R2 | 0.8733 | 0.6619 | 0.8329 |
| Adsorbents | Adsorption Capacity (mg·g−1) | Reference |
|---|---|---|
| CSAC_600 | 396.83 | This work |
| CSAC_700 | 476.19 | This work |
| CSAC_800 | 537.63 | This work |
| Alumina nanopowder | 0.87 | [43] |
| Alumina nanowires | 0.09 | [43] |
| Hydrophilic bentonite nanoclay | 0.01 | [43] |
| Surface modified nanoclay | 2.47 | [43] |
| Anion-exchange resin IRA67 | 2232.3 | [23] |
| Layered double hydroxides | >860 | [44] |
| Pore Sizes | CSAC_600 | CSAC_700 | CSAC_800 |
|---|---|---|---|
| 0.8 nm | 7.08 | 10.07 | 9.82 |
| 1.2 nm | 9.20 | 9.38 | 8.90 |
| 1.5 nm | 13.92 | 14.50 | 13.70 |
Disclaimer/Publisher’s Note: The statements, opinions and data contained in all publications are solely those of the individual author(s) and contributor(s) and not of MDPI and/or the editor(s). MDPI and/or the editor(s) disclaim responsibility for any injury to people or property resulting from any ideas, methods, instructions or products referred to in the content. |
© 2023 by the authors. Licensee MDPI, Basel, Switzerland. This article is an open access article distributed under the terms and conditions of the Creative Commons Attribution (CC BY) license (https://creativecommons.org/licenses/by/4.0/).
Share and Cite
Yi, H.; Chen, X.; Liu, Z.; Xi, H.; Ding, Z.; Cui, K.; Hu, Y. Effective Adsorption of Chlorinated Polyfluoroalkyl Ether Sulfonates from Wastewater by Nano-Activated Carbon: Performance and Mechanisms. Water 2023, 15, 4013. https://doi.org/10.3390/w15224013
Yi H, Chen X, Liu Z, Xi H, Ding Z, Cui K, Hu Y. Effective Adsorption of Chlorinated Polyfluoroalkyl Ether Sulfonates from Wastewater by Nano-Activated Carbon: Performance and Mechanisms. Water. 2023; 15(22):4013. https://doi.org/10.3390/w15224013
Chicago/Turabian StyleYi, Hao, Xiaolin Chen, Zewei Liu, Hongxia Xi, Zecong Ding, Kai Cui, and Yongyou Hu. 2023. "Effective Adsorption of Chlorinated Polyfluoroalkyl Ether Sulfonates from Wastewater by Nano-Activated Carbon: Performance and Mechanisms" Water 15, no. 22: 4013. https://doi.org/10.3390/w15224013
APA StyleYi, H., Chen, X., Liu, Z., Xi, H., Ding, Z., Cui, K., & Hu, Y. (2023). Effective Adsorption of Chlorinated Polyfluoroalkyl Ether Sulfonates from Wastewater by Nano-Activated Carbon: Performance and Mechanisms. Water, 15(22), 4013. https://doi.org/10.3390/w15224013

