Accumulation and Origin of Phosphorus and Heavy Metals in Citrus Orchard Soils in Jeju Island, South Korea: Potential Ecological Risks and Bioavailability
Abstract
1. Introduction
2. Materials and Methods
2.1. Study Area
2.2. Sampling and Pretreatment
2.3. Phosphorus and Heavy Metal Analysis
2.4. Pollution Assessment of Heavy Metals
2.5. Heavy Metal Bioavailability Using Single Extraction
2.6. Statistical Analysis
3. Results and Discussion
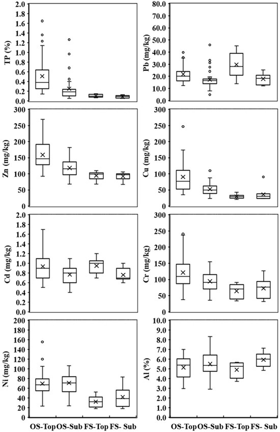
3.1. Total Concentrations of Phosphorus and Heavy Metals
3.2. Source Origin of Phosphorus and Heavy Metals
3.3. Pollution Assessment of Heavy Metals
3.4. Bioavailability of Heavy Metals
4. Conclusions
Supplementary Materials
Author Contributions
Funding
Data Availability Statement
Conflicts of Interest
References
- Guo, T.; Lou, C.; Zhai, W.; Tang, X.; Hashmi, M.Z.; Murtaza, R.; Li, Y.; Liu, X.; Xu, J. Increased occurrence of heavy metals, antibiotics and resistance genes in surface soil after long-term application of manure. Sci. Total Environ. 2018, 635, 995–1003. [Google Scholar] [CrossRef] [PubMed]
- Hua, C.; Zhuo, H.; Kang, A.; Fang, Z.; Zhu, M.; Dong, M.; Wang, J.; Ren, L. Contamination, risk assessment and source apportionment of the heavy metals in the soils of apple orchard in Qixia City, Shandong Province, China. Stoch. Environ. Res. Risk Assess. 2022, 36, 2581–2595. [Google Scholar] [CrossRef]
- Kelepertzis, E. Accumulation of heavy metals in agricultural soils of Mediterranean: Insights from Argolida basin, Peloponnese, Greece. Geoderma 2014, 221–222, 82–90. [Google Scholar] [CrossRef]
- Nicholson, F.A.; Smith, S.R.; Alloway, B.J.; Carlton-Smith, C.; Chambers, B.J. An inventory of heavy metals inputs to agricultural soils in England and Wales. Sci. Total Environ. 2003, 311, 205–219. [Google Scholar] [CrossRef] [PubMed]
- Rubæk, G.H.; Kristensen, K.; Olesen, S.E.; Østergaard, H.S.; Heckrath, G. Phosphorus accumulation and spatial distribution in agricultural soils in Denmark. Geoderma 2013, 209, 241–250. [Google Scholar] [CrossRef]
- Zhang, M.K.; He, Z.L.; Calvert, D.V.; Stoffella, P.J.; Yang, X.E.; Lamb, E.M. Accumulation and partitioning of phosphorus and heavy metals in a sandy soil under long-term vegetable crop production. J. Environ. Sci. Health A Tox. Hazard. Subst. Environ. Eng. 2003, 38, 1981–1995. [Google Scholar] [CrossRef]
- Li, H.; Yang, Z.; Dai, M.; Diao, X.; Dai, S.; Fang, T.; Dong, X. Input of Cd from agriculture phosphate fertilizer application in China during 2006–2016. Sci. Total Environ. 2020, 698, 134149. [Google Scholar] [CrossRef]
- Liang, H.; Wang, C.; Lu, X.; Sai, C.; Liang, Y. Dynamic changes in soil phosphorus accumulation and bioavailability in phosphorus-contaminated protected fields. Int. J. Environ. Res. Public Health 2022, 19, 12262. [Google Scholar] [CrossRef]
- Liu, Z.; Hou, L.; Zhu, Y.; Xu, X. Vertical distribution and regulation of Olsen-phosphorus in 6-m soil profiles after farmland-to-apple orchard conversion on the Chinese Loess Plateau. Catena 2021, 202, 105254. [Google Scholar] [CrossRef]
- Nziguheba, G.; Smolders, E. Inputs of trace elements in agricultural soils via phosphate fertilizers in European countries. Sci. Total Environ. 2008, 390, 53–57. [Google Scholar] [CrossRef]
- Wu, L.; Tan, C.; Liu, L.; Zhu, P.; Peng, C.; Luo, Y.; Christie, P. Cadmium bioavailability in surface soils receiving long-term applications of inorganic fertilizers and pig manure. Geoderma 2012, 173–174, 224–230. [Google Scholar] [CrossRef]
- Molina-Roco, M.; Escudey, M.; Antilén, M.; Arancibia-Miranda, N.; Manquián-Cerda, K. Distribution of contaminant trace metals inadvertently provided by phosphorus fertilisers: Movement, chemical fractions and mass balances in contrasting acidic soils. Environ. Geochem. Health 2018, 40, 2491–2509. [Google Scholar] [CrossRef] [PubMed]
- Yang, H.; Wang, P.; Chen, A.; Ye, Y.; Chen, Q.; Cui, R.; Zhang, D. Prediction of phosphorus concentrations in shallow groundwater in intensive agricultural regions based on machine learning. Chemosphere 2023, 313, 137623. [Google Scholar] [CrossRef] [PubMed]
- Kronvang, B.; Rubæk, G.H.; Heckrath, G. International phosphorus workshop: Diffuse phosphorus loss to surface water bodies—Risk assessment, mitigation options, and ecological effects in river basins. J. Environ. Qual. 2009, 38, 1924–1929. [Google Scholar] [CrossRef] [PubMed]
- Hosokawa, N.; Ozawa, Y.; Hayakawa, A.; Ishikawa, Y.; Takahashi, T. Effect of active aluminum on soil phosphorus forms in a forested watershed in Akita, Japan. Geoderma 2022, 416, 115800. [Google Scholar] [CrossRef]
- Joa, J.H.; Lim, H.C.; Han, S.G.; Chun, S.J.; Suh, J.S. Characteristics of Bacillus sphaericus PSB-13 as phosphate solublizing bacterium isolated from citrus orchard soil. Korean J. Soil Sci. Fertil. 2007, 40, 405–411. (In Korean) [Google Scholar]
- Gunkel-Grillon, P.; Roth, E.; Laporte-Magoni, C.; Le Mestre, M. Effects of long term raw pig slurry inputs on nutrient and metal contamination of tropical volcanogenic soils, Uvéa Island (South Pacific). Sci. Total Environ. 2015, 533, 339–346. [Google Scholar] [CrossRef]
- Tian, K.; Xing, Z.; Kalkhajeh, Y.K.; Zhao, T.; Hu, W.; Huang, B.; Zhao, Y. Excessive phosphorus inputs dominate soil legacy phosphorus accumulation and its potential loss under intensive greenhouse vegetable production system. J. Environ. Manag. 2022, 303, 114149. [Google Scholar] [CrossRef]
- Franco-Uría, A.; López-Mateo, C.; Roca, E.; Fernández-Marcos, M.L. Source identification of heavy metals in pastureland by multivariate analysis in NW Spain. J. Hazard. Mater. 2009, 165, 1008–1015. [Google Scholar] [CrossRef]
- Maas, S.; Scheifler, R.; Benslama, M.; Crini, N.; Lucot, E.; Brahmia, Z.; Benyacoub, S.; Giraudoux, P. Spatial distribution of heavy metal concentrations in urban, suburban and agricultural soils in a Mediterranean city of Algeria. Environ. Pollut. 2010, 158, 2294–2301. [Google Scholar] [CrossRef]
- Peris, M.; Recatalá, L.; Micó, C.; Sánchez, R.; Sánchez, J. Increasing the knowledge of heavy metal contents and sources in agricultural soils of the European Mediterranean region. Water Air Soil Pollut. 2008, 192, 25–37. [Google Scholar] [CrossRef]
- Capri, E. Does vineyard cultivation affect copper accumulation in soil. In Proceedings of the 5th International Conference on the Biogeochemistry of Trace Elements, Vienna, Austria, 11–15 July 1999; pp. 11–15. [Google Scholar]
- Epstein, L.; Bassein, S. Pesticide applications of copper on perennial crops in California, 1993 to 1998. J. Environ. Qual. 2001, 30, 1844–1847. [Google Scholar] [CrossRef] [PubMed]
- Jung, W.K.; Ahn, D.J.; Choi, J.K.; Ryu, T.S.; Jang, M.H.; Kwon, T.R.; Park, J.H.; Park, S.J. Effects of repetitive using lime bordeaux mixture in the copper concentration of the soil and ginseng root. Korean J. Pestic. Sci. 2014, 18, 404–408. [Google Scholar] [CrossRef][Green Version]
- Li, L.; Wu, H.; van Gestel, C.A.M.; Peijnenburg, W.J.G.M.; Allen, H.E. Soil acidification increases metal extractability and bioavailability in old orchard soils of Northeast Jiaodong Peninsula in China. Environ. Pollut. 2014, 188, 144–152. [Google Scholar] [CrossRef] [PubMed]
- Lim, H.C.; Moon, K.H.; Jeon, S.J.; Chang, K.M.; Hyun, H.N. Characteristics of natural pedo-geochemical background for Ni, Cu and Zn in volcanic soils of Jeju. Korean J. Soil Sci. Fertil. 2008, 41, 199–205. (In Korean) [Google Scholar]
- Sun, C.; Liu, J.; Wang, Y.; Sun, L.; Yu, H. Multivariate and geostatistical analyses of the spatial distribution and sources of heavy metals in agricultural soil in Dehui, Northeast China. Chemosphere 2013, 92, 517–523. [Google Scholar] [CrossRef]
- Dong, H.; Zhao, J.; Xie, M. Heavy metal concentrations in orchard soils with different cultivation durations and their potential ecological risks in Shaanxi province, northwest China. Sustainability 2021, 13, 4741. [Google Scholar] [CrossRef]
- Liang, Q.; Xue, Z.J.; Wang, F.; Sun, Z.M.; Yang, Z.X.; Liu, S.Q. Contamination and health risks from heavy metals in cultivated soil in Zhangjiakou City of Hebei Province, China. Environ. Monit. Assess. 2015, 187, 754. [Google Scholar] [CrossRef]
- Tran, T.S.; Dinh, V.C.; Nguyen, T.A.H.; Kim, K.-W. Soil contamination and health risk assessment from heavy metals exposure near mining area in Bac Kan province, Vietnam. Environ. Geochem. Health 2022, 44, 1189–1202. [Google Scholar] [CrossRef]
- Xu, D.; Zhou, P.; Zhan, J.; Gao, Y.; Dou, C.; Sun, Q. Assessment of trace metal bioavailability in garden soils and health risks via consumption of vegetables in the vicinity of Tongling mining area, China. Ecotoxicol. Environ. Saf. 2013, 90, 103–111. [Google Scholar] [CrossRef]
- Xu, L.; Dai, H.; Skuza, L.; Xu, J.; Shi, J.; Wang, Y.; Shentu, J.; Wei, S. Integrated survey on the heavy metal distribution, sources and risk assessment of soil in a commonly developed industrial area. Ecotoxicol. Environ. Saf. 2022, 236, 113462. [Google Scholar] [CrossRef] [PubMed]
- Marrugo-Negrete, J.; Pinedo-Hernández, J.; Díez, S. Assessment of heavy metal pollution, spatial distribution and origin in agricultural soils along the Sinú River Basin, Colombia. Environ. Res. 2017, 154, 380–388. [Google Scholar] [CrossRef] [PubMed]
- Kelepertzis, E.; Botsou, F.; Patinha, C.; Argyraki, A.; Massas, I. Agricultural geochemistry in viticulture: An example of Cu accumulation and geochemical fractionation in Mediterranean calcareous soils (Nemea region, Greece). Appl. Geochem. 2018, 88, 23–39. [Google Scholar] [CrossRef]
- Brun, L.A.; Maillet, J.; Richarte, J.; Herrmann, P.; Remy, J.C. Relationships between extractable copper, soil properties and copper uptake by wild plants in vineyard soils. Environ. Pollut. 1998, 102, 151–161. [Google Scholar] [CrossRef]
- McLaughlin, M.J.; Zarcinas, B.A.; Stevens, D.P.; Cook, N. Soil testing for heavy metals. Commun. Soil Sci. Plant Anal. 2000, 31, 1661–1700. [Google Scholar] [CrossRef]
- Menzies, N.W.; Donn, M.J.; Kopittke, P.M. Evaluation of extractants for estimation of the phytoavailable trace metals in soils. Environ. Pollut. 2007, 145, 121–130. [Google Scholar] [CrossRef]
- Du Laing, G.; Rinklebe, J.; Vandecasteele, B.; Meers, E.; Tack, F.M. Trace metal behaviour in estuarine and riverine floodplain soils and sediments: A review. Sci. Total Environ. 2009, 407, 3972–3985. [Google Scholar] [CrossRef]
- Mühlbachová, G.; Šimon, T.; Pechová, M. The availability of Cd, Pb and Zn and their relationships with soil pH and microbial biomass in soils amended by natural clinoptilolite. Plant Soil Environ. 2005, 51, 26–33. [Google Scholar] [CrossRef]
- Zeng, F.R.; Ali, S.; Zhang, H.T.; Ouyang, Y.N.; Qiu, B.Y.; Wu, F.B.; Zhang, G.P. The influence of pH and organic matter content in paddy soil on heavy metal availability and their uptake by rice plants. Environ. Pollut. 2011, 159, 84–91. [Google Scholar] [CrossRef]
- Song, K.C.; Yoo, S.H. Andic properties of major soils in Cheju Island 1. Characterization of volcanic ash soils by selective dissolution analysis. Korean J. Soil Sci. Fertil. 1991, 24, 86–94. (In Korean) [Google Scholar]
- Song, K.C.; Kang, H.J. Taxonomical classification and genesis of Hoesu series, new series in Jeju Island. Korean J. Soil Sci. Fertil. 2019, 52, 40–50. [Google Scholar] [CrossRef]
- MAFRA (Ministry of Agriculture, Food and Rural Affairs). Statistical Yearbook of Agriculture, Food and Rural Affairs; Ministry of Agriculture, Food and Rural Affairs: Sejong-si, Republic of Korea, 2022; pp. 42–78. (In Korean)
- Kang, S.B.; Jwa, S.M.; Moon, D.K.; Han, H.R.; Chung, J.B. Effects of source and application rate of phosphorus on growth and arbuscular mycorrhizae formation of trifoliate orange in volcanic ash soil. Korean J. Environ. Agric. 2000, 19, 206–212. (In Korean) [Google Scholar]
- Park, W.P.; Chang, K.M.; Hyun, H.N.; Boo, K.H.; Koo, B.J. Sorption and leaching characteristics of pesticides in volcanic ash soils of Jeju Island, Korea. Appl. Biol. Chem. 2020, 63, 71. [Google Scholar] [CrossRef]
- Bong, K.M.; Yang, H.J.; Kang, T.W.; Han, J.H.; Jeong, H.J.; Yang, W.J.; Jung, H.; Hwang, S.H.; Kim, K. Assessment of riverbed sediments originated from volcanic ash soils in Jeju Island. J. Environ. Anal. Health Toxicol. 2019, 22, 303–311. (In Korean) [Google Scholar] [CrossRef]
- Koh, D.C.; Ko, K.S.; Kim, Y.; Lee, S.G.; Chang, H.W. Effect of agricultural land use on the chemistry of groundwater from basaltic aquifers, Jeju Island, South Korea. Hydrogeol. J. 2007, 15, 727–743. [Google Scholar] [CrossRef]
- Kang, H.J. Soil chemical properties of citrus orchards in Jeju. Korean J. Soil Sci. Fertil. 2020, 53, 95–100. [Google Scholar] [CrossRef]
- Lee, K.S. A survey of pesticide residues of citrus fruits and citrus orchard soil in Jeju Island-Part 2. On the pesticide residue of citrus orchard soil. Appl. Biol. Chem. 1980, 23, 184–188. [Google Scholar]
- KMA (Korea Meteorological Administration). Jeju Island Climate Characteristics. Available online: https://www.kma.go.kr/jeju/html/main/index.jsp (accessed on 11 October 2022). (In Korean)
- Park, W.P.; Hyun, H.N.; Koo, B.J. Silicon fractionation of soluble silicon in volcanic ash soils that may affect groundwater silicon content on Jeju Island, Korea. Water 2020, 12, 2686. [Google Scholar] [CrossRef]
- NAAS (National Institute Academy of Agricultural Sciences). Taxonomical Classification of Korean Soils; Rural Development Administration: Wanju, Republic of Korea, 2014. (In Korean)
- NIAST (National Institute of Agricultural Science and Technology). Taxonomical Classification of Korean Soils; National Institute of Agricultural Science and Technology: Suwon, Republic of Korea, 2000. (In Korean) [Google Scholar]
- NAAS (National Institute Academy of Agricultural Sciences). Methods of Soil Chemical Analysis; Rural Development Administration: Wanju, Republic of Korea, 2010. (In Korean)
- MOE (Ministry of Environment). Standard Analytical Methods for Soil Pollution; Ministry of Environment: Sejong, Republic of Korea, 2013. (In Korean)
- Muller, G. Index of geoaccumulation in sediments of the Rhine River. GeoJournal 1969, 2, 108–118. [Google Scholar]
- Muller, G. The heavy metal pollution of the sediments of Neckars and its tributary: A stocktaking. Chem. Zeit. 1981, 105, 157–164. [Google Scholar]
- Barbieri, M. The importance of enrichment factor (EF) and geoaccumulation index (Igeo) to evaluate the soil contamination. J. Geol. Geophys. 2016, 5, 1–4. [Google Scholar] [CrossRef]
- Loska, K.; Wiechuła, D.; Korus, I. Metal contamination of farming soils affected by industry. Environ. Int. 2004, 30, 159–165. [Google Scholar] [CrossRef] [PubMed]
- Machender, G.; Dhakate, R.; Prasanna, L.; Govil, P.K. Assessment of heavy metal contamination in soils around Balanagar industrial area, Hyderabad, India. Environ. Earth Sci. 2011, 63, 945–953. [Google Scholar] [CrossRef]
- Anjos, C.; Magalhães, M.C.F.; Abreu, M.M. Metal (Al, Mn, Pb and Zn) soils extractable reagents for available fraction assessment: Comparison using plants, and dry and moist soils from the Braçal abandoned lead mine area, Portugal. J. Geochem. Explor. 2012, 113, 45–55. [Google Scholar] [CrossRef]
- Gupta, A.K.; Sinha, S. Assessment of single extraction methods for the prediction of bioavailability of metals to Brassica juncea L. Czern. (var. Vaibhav) grown on tannery waste contaminated soil. J. Hazard. Mater. 2007, 149, 144–150. [Google Scholar] [CrossRef]
- Ciaralli, L.; Giordano, R.; Lombardi, G.; Beccaloni, E.; Sepe, A.; Costantini, S. Antarctic marine sediments: Distribution of elements and textural characters. Microchem. J. 1998, 59, 77–88. [Google Scholar] [CrossRef]
- Hammer, D.; Keller, C. Changes in the rhizosphere of metal-accumulating plants evidenced by chemical extractants. J. Environ. Qual. 2002, 31, 1561–1569. [Google Scholar] [CrossRef]
- Lindsay, W.L.; Norvell, W.A. Development of a DTPA soil test for zinc, iron, manganese, and copper. Soil Sci. Soc. Am. J. 1978, 42, 421–428. [Google Scholar] [CrossRef]
- Ure, A.M. Single extraction schemes for soil analysis and related applications. Sci. Total Environ. 1996, 178, 3–10. [Google Scholar] [CrossRef]
- Pearson, K. VII. Note on regression and inheritance in the case of two parents. Proc. Royal Soc. Lond. 1895, 58, 347–352. [Google Scholar]
- Rodgers, J.L.; Nicewander, W.A. Thirteen ways to look at the correlation coefficient. Am. Stat. 1988, 42, 59–66. [Google Scholar] [CrossRef]
- Pearson, K. LIII. On lines and planes of closest fit to systems of points in space. Lond. Edinburgh Dublin Philos. Mag. J. Sci. 1901, 2, 559–572. [Google Scholar] [CrossRef]
- Reid, M.K.; Spencer, K.L. Use of principal components analysis (PCA) on estuarine sediment datasets: The effect of data pre-treatment. Environ. Pollut. 2009, 157, 2275–2281. [Google Scholar] [CrossRef] [PubMed]
- Abdi, H.; Williams, L.J. Principal component analysis. Wiley Interdiscip. Rev. Comput. Stat. 2010, 2, 433–459. [Google Scholar] [CrossRef]
- Kaiser, H.F. The varimax criterion for analytic rotation in factor analysis. Psychometrika 1958, 23, 187–200. [Google Scholar] [CrossRef]
- Holmgren, G.G.S.; Meyer, M.W.; Chaney, R.L.; Daniels, R.B. Cadmium, lead, zinc, copper, and nickel in agricultural soils of the United States of America. J. Environ. Qual. 1993, 22, 335–348. [Google Scholar] [CrossRef]
- Takeda, A.; Kimura, K.; Yamasaki, S. Analysis of 57 elements in Japanese soils, with special reference to soil group and agricultural use. Geoderma 2004, 119, 291–307. [Google Scholar] [CrossRef]
- Wan, L.; Lv, H.; Qasim, W.; Xia, L.; Yao, Z.; Hu, J.; Zhao, Y.; Ding, X.; Zheng, X.; Li, G. Heavy metal and nutrient concentrations in top-and sub-soils of greenhouses and arable fields in East China–Effects of cultivation years, management, and shelter. Environ. Pollut. 2022, 307, 119494. [Google Scholar] [CrossRef]
- MOE (Ministry of Environment). Enforcement Rules for Soil Environment Conservation Act; Ministry of Environment: Sejong, Republic of Korea, 2019. (In Korean)
- Kim, H.J.; Kim, S.K.; Kim, S.W.; Kwak, K.J.; Do Kwon, O. Changes in chemical properties of orchard soils in Jeonnam province between 2002 and 2018. Korean J. Soil Sci. Fertil. 2021, 54, 1–9. (In Korean) [Google Scholar] [CrossRef]
- Ahn, J.S.; Chon, C.M. Geochemical distributions of heavy metals and Cr behavior in natural and cultivated soils of volcanic Jeju Island, Korea. Geosystem Eng. 2010, 13, 9–20. [Google Scholar] [CrossRef]
- Adamo, P.; Denaix, L.; Terribile, F.; Zampella, M. Characterization of heavy metals in contaminated volcanic soils of the Solofrana river valley (southern Italy). Geoderma 2003, 117, 347–366. [Google Scholar] [CrossRef]
- Parelho, C.; Rodrigues, A.S.; Cruz, J.V.; Garcia, P. Linking trace metals and agricultural land use in volcanic soils—A multivariate approach. Sci. Total Environ. 2014, 496, 241–247. [Google Scholar] [CrossRef] [PubMed]
- Dinter, T.C.; Gerzabek, M.H.; Puschenreiter, M.; Strobel, B.W.; Couenberg, P.M.; Zehetner, F. Heavy metal contents, mobility and origin in agricultural topsoils of the Galápagos Islands. Chemosphere 2021, 272, 129821. [Google Scholar] [CrossRef] [PubMed]
- Yoon, J.K.; Kim, D.H.; Kim, T.S.; Park, J.G.; Chung, I.R.; Kim, J.H.; Kim, H. Evaluation on natural background of the soil heavy metals in Korea. J. Soil Groundw. Environ. 2009, 14, 32–39. (In Korean) [Google Scholar]
- Kabata-Pendias, A. Trace Elements in Soils and Plants, 4th ed.; CRC Press: Boca Raton, FL, USA, 2010. [Google Scholar] [CrossRef]
- Xu, D.; Shen, Z.; Dou, C.; Dou, Z.; Li, Y.; Gao, Y.; Sun, Q. Effects of soil properties on heavy metal bioavailability and accumulation in crop grains under different farmland use patterns. Sci. Rep. 2022, 12, 9211. [Google Scholar] [CrossRef]
- Dragović, S.; Mihailović, N.; Gajić, B. Heavy metals in soils: Distribution, relationship with soil characteristics and radionuclides and multivariate assessment of contamination sources. Chemosphere 2008, 72, 491–495. [Google Scholar] [CrossRef]
- Luo, L.; Ma, Y.; Zhang, S.; Wei, D.; Zhu, Y.G. An inventory of trace element inputs to agricultural soils in China. J. Environ. Manag. 2009, 90, 2524–2530. [Google Scholar] [CrossRef]
- Spurgeon, D.J.; Rowland, P.; Ainsworth, G.; Rothery, P.; Long, S.; Black, H.I. Geographical and pedological drivers of distribution and risks to soil fauna of seven metals (Cd, Cu, Cr, Ni, Pb, V and Zn) in British soils. Environ. Pollut. 2008, 153, 273–283. [Google Scholar] [CrossRef]
- Hochmuth, G.J. Soil and fertilizer management for vegetable production in Florida. In Vegetable: Production Guide for Florida; Maynard, D.N., Olsen, S.M., Eds.; University of Florida; Cooperation Extension Service: Gainesville, FL, USA, 2000; pp. 3–14. [Google Scholar]
- Ma, J.; He, P.; Xu, X.; He, W.; Liu, Y.; Yang, F.; Chen, F.; Li, S.; Tu, S.; Jin, J. Temporal and spatial changes in soil available phosphorus in China (1990–2012). Field Crops Res. 2016, 192, 13–20. [Google Scholar] [CrossRef]
- Wang, X.Y.; Tong, Y.A.; Liu, F.; Zhao, Z.P. Evaluation of the situation of fertilization in apple fields in Shaanxi province. Plant Nutri. Fert. Sci. 2013, 19, 206–213. [Google Scholar]
- Salmanzadeh, M.; Hartland, A.; Stirling, C.H.; Balks, M.R.; Schipper, L.A.; Joshi, C.; George, E. Isotope tracing of long-term cadmium fluxes in an agricultural soil. Environ. Sci. Technol. 2017, 51, 7369–7377. [Google Scholar] [CrossRef] [PubMed]
- Jiao, W.; Chen, W.; Chang, A.C.; Page, A.L. Environmental risks of trace elements associated with long-term phosphate fertilizers applications: A review. Environ. Pollut. 2012, 168, 44–53. [Google Scholar] [CrossRef] [PubMed]
- Qin, G.; Niu, Z.; Yu, J.; Li, Z.; Ma, J.; Xiang, P. Soil heavy metal pollution and food safety in China: Effects, sources and removing technology. Chemosphere 2021, 267, 129205. [Google Scholar] [CrossRef]
- Micó, C.; Recatalá, L.; Peris, M.; Sánchez, J. Assessing heavy metal sources in agricultural soils of an European Mediterranean area by multivariate analysis. Chemosphere 2006, 65, 863–872. [Google Scholar] [CrossRef] [PubMed]
- Acosta, J.A.; Faz, A.; Martínez-Martínez, S.; Arocena, J.M. Enrichment of metals in soils subjected to different land uses in a typical Mediterranean environment (Murcia City, southeast Spain). Appl. Geochem. 2011, 26, 405–414. [Google Scholar] [CrossRef]
- Facchinelli, A.; Sacchi, E.; Mallen, L. Multivariate statistical and GIS-based approach to identify heavy metal sources in soils. Environ. Pollut. 2001, 114, 313–324. [Google Scholar] [CrossRef] [PubMed]
- Kulikova, T.; Hiller, E.; Jurkovič, Ľ.; Filová, L.; Šottník, P.; Lacina, P. Total mercury, chromium, nickel and other trace chemical element contents in soils at an old cinnabar mine site (Merník, Slovakia): Anthropogenic versus natural sources of soil contamination. Environ. Monit. Assess. 2019, 191, 263. [Google Scholar] [CrossRef]
- Loska, K.; Cebula, J.; Pelczar, J.; Wiechuła, D.; Kwapuliński, J. Use of enrichment, and contamination factors together with geoaccumulation indexes to evaluate the content of Cd, Cu, and Ni in the Rybnik water reservoir in Poland. Water Air Soil Pollut. 1997, 93, 347–365. [Google Scholar] [CrossRef]
- Uduma, A.U.; Jimoh, W.L.O. Aluminum as a reference element for the elucidation of Pb enrichment/depletion in selected arable soils of Nigeria. IOSR J. Eng. 2014, 4, 15–22. [Google Scholar]
- Saaltink, R.; Griffioen, J.; Mol, G.; Birke, M.; Team, G.P. Geogenic and agricultural controls on the geochemical composition of European agricultural soils. J. Soils Sediments 2014, 14, 121–137. [Google Scholar] [CrossRef]
- Kelepertzis, E.; Paraskevopoulou, V.; Argyraki, A.; Fligos, G.; Chalkiadaki, O. Evaluation of single extraction procedures for the assessment of heavy metal extractability in citrus agricultural soil of a typical Mediterranean environment (Argolida, Greece). J. Soils Sediments 2015, 15, 2265–2275. [Google Scholar] [CrossRef]
- Jung, G.B.; Kim, W.I.; Lee, J.S.; Shin, J.D.; Kim, J.H.; Yun, S.G. Assessment on the content of heavy metal in orchard soils in middle part of Korea. Korean J. Environ. Agric. 2004, 23, 15–21. (In Korean) [Google Scholar] [CrossRef]
- Burt, R. Soil Survey Laboratory Methods Manual; Soil Survey Investigations Report No. 42, Ver. 4.0; US Department of Agriculture, Natural Resource Conservation Service: Washington, DC, USA, 2004.






| Country | Region | TP a | Pb | Zn | Cu | Cd | Cr | Ni | Reference |
|---|---|---|---|---|---|---|---|---|---|
| Korea | Jeonnam | - b | 13.5 c (5.0–95.1) d | 86.8 (17.8–275) | 21.1 (2.8–106) | 0.31 (0.06–0.69) | 29.3 (2.6–139) | 13.8 (1.3–43.2) | [77] |
| Jeju Island | 14,000 e (9000–25,000) | 45 (32–72) | 168 (136–198) | 62 (46–98) | 0.3 (0.2–0.6) | 222 (155–352) | 142 (110–186) | [78] | |
| Jeju Island | 5117 ± 3667 (1441–16,500) | 21.8 ± 6.9 (12.5–39.8) | 159 ± 44 (92.0–269) | 90.5 ± 47.8 (35.2–247) | 0.94 ± 0.27 (0.50–1.70) | 122 ± 51 (37.4–245) | 69.5 ± 25.2 (23.1–156) | This study | |
| Greece | Peloponnese, Argolida | 1270 ± 1500 (180–15,150) | 19.7 ± 7.4 (3.17–48.5) | 74.9 ± 32.8 (23–288) | 74.7 ± 63.9 (11.9–653) | 0.54 ± 0.69 (0.07–6.1) | 83.1 ± 48.2 (28.1–354) | 147 ± 120 (43.8–1258) | [3] |
| Italy | Solofrana | - | - (21–98) | - (92–135) | - (77–565) | - | - (137–335) | - (56–84) | [79] |
| Azores archipelago | São Miguel Island | 1816 | 40.0 | 214 | 156 | 0.39 | 37.4 | 58.6 | [80] |
| Japan | All | 1500 ± 1300 (87–11,000) | 24 ± 50 (1.0–1100) | 89 ± 42 (2.5–330) | 48 ± 48 (0.88–230) | 0.33 ± 0.28 (0.021–3.4) | 58 ± 38 (1.4–230) | 26 ± 21 (0.20–110) | [74] |
| Ecuador | Galápagos Island | - | 5.92 (0.855–11.6) | 190 (64.7–430) | 112 (26.3–170) | 1.17 (0.078–4.11) | 219 (45.3–648) | 152 (15.5–524) | [81] |
| Korean background level | - | 18.43 | 54.27 | 15.26 | 0.29 | 222.6 | 17.68 | [82] | |
| Korean warning criteria guideline | - | 200 | 300 | 150 | 4 | 200 | 100 | [76] | |
| World soil average | - | 27 | 70 | 38.9 | 0.41 | 59.5 | 29 | [83] | |
Disclaimer/Publisher’s Note: The statements, opinions and data contained in all publications are solely those of the individual author(s) and contributor(s) and not of MDPI and/or the editor(s). MDPI and/or the editor(s) disclaim responsibility for any injury to people or property resulting from any ideas, methods, instructions or products referred to in the content. |
© 2023 by the authors. Licensee MDPI, Basel, Switzerland. This article is an open access article distributed under the terms and conditions of the Creative Commons Attribution (CC BY) license (https://creativecommons.org/licenses/by/4.0/).
Share and Cite
Kang, T.-W.; Yang, H.J.; Lee, W.-S.; Koo, B.-J.; Park, W.-P. Accumulation and Origin of Phosphorus and Heavy Metals in Citrus Orchard Soils in Jeju Island, South Korea: Potential Ecological Risks and Bioavailability. Water 2023, 15, 3951. https://doi.org/10.3390/w15223951
Kang T-W, Yang HJ, Lee W-S, Koo B-J, Park W-P. Accumulation and Origin of Phosphorus and Heavy Metals in Citrus Orchard Soils in Jeju Island, South Korea: Potential Ecological Risks and Bioavailability. Water. 2023; 15(22):3951. https://doi.org/10.3390/w15223951
Chicago/Turabian StyleKang, Tae-Woo, Hae Jong Yang, Won-Seok Lee, Bon-Jun Koo, and Won-Pyo Park. 2023. "Accumulation and Origin of Phosphorus and Heavy Metals in Citrus Orchard Soils in Jeju Island, South Korea: Potential Ecological Risks and Bioavailability" Water 15, no. 22: 3951. https://doi.org/10.3390/w15223951
APA StyleKang, T.-W., Yang, H. J., Lee, W.-S., Koo, B.-J., & Park, W.-P. (2023). Accumulation and Origin of Phosphorus and Heavy Metals in Citrus Orchard Soils in Jeju Island, South Korea: Potential Ecological Risks and Bioavailability. Water, 15(22), 3951. https://doi.org/10.3390/w15223951

