The Water–Energy Nexus of Leakages in Water Distribution Systems
Abstract
:1. Introduction
2. General Overview of Leakage Water-Nexus in Brazil
2.1. Multiple Uses of Water: Hydroelectric x Water Supply
2.2. Estimation of Energy Wasted by Leakages
- IL [L/conn.day]—leakage rate by connection indicator;
- VP [Mm3]—the total volume of water produced in a year;
- VI [Mm3]—the total volume of water imported in a year;
- VC [Mm3]—the total volume of water consumed in a year;
- VS [Mm3]—the total volume of water used for internal services in a year;
- Nconn [conn]—the total number of connections;
- IE [kWh/m3]—the specific energy consumption indicator;
- Etotal [GWh]—the total energy consumed in the water supply in a year;
- Vleak [m3]—the total volume of water lost through leakages in a year;
- Eleak [kWh]—the total energy wasted due to leakages in a year.
2.3. Results and Discussion
3. Case Study
3.1. Hydraulic Modelling
3.2. Hydrologic Modelling
3.3. Results and Discussion
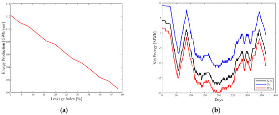
3.3.1. Leakage Impact
3.3.2. Climate Change Impact
4. Conclusions
Author Contributions
Funding
Data Availability Statement
Conflicts of Interest
References
- Ackerman, F.; Fisher, J. Is there a water–energy nexus in electricity generation? Long-term scenarios for the western United States. Energy Policy 2013, 59, 235–241. [Google Scholar] [CrossRef]
- Nepal, S.; Neupane, N.; Belbase, D.; Pandey, V.P.; Mukherji, A. Achieving water security in Nepal through unravelling the water-energy-agriculture nexus. Int. J. Water Resour. Dev. 2021, 37, 67–93. [Google Scholar] [CrossRef]
- Nguyen, M.T.; Vink, S.; Ziemski, M.; Barrett, D.J. Water and energy synergy and trade-off potentials in mine water management. J. Clean. Prod. 2014, 84, 629–638. [Google Scholar] [CrossRef]
- McIntosh, J.C.; Ferguson, G. Conventional oil—The forgotten part of the water-energy nexus. Groundwater 2019, 57, 669–677. [Google Scholar] [CrossRef]
- Wang, S.; Wang, S.; Dawson, R. Energy-water nexus at the building level. Energy Build. 2022, 257, 111778. [Google Scholar] [CrossRef]
- HHamidov, A.; Daedlow, K.; Webber, H.; Hussein, H.; Abdurahmanov, I.; Dolidudko, A.; Seerat, A.Y.; Solieva, U.; Woldeyohanes, T.; Helming, K. Operationalizing water-energy-food nexus research for sustainable development in social-ecological systems: An interdisciplinary learning case in Central Asia. Ecol. Soc. 2022, 27, 12. [Google Scholar] [CrossRef]
- Al-Saidi, M.; Hussein, H. The water-energy-food nexus and COVID-19: Towards a systematization of impacts and responses. Sci. Total Environ. 2021, 779, 146529. [Google Scholar] [CrossRef]
- Millington, N. Producing water scarcity in São Paulo, Brazil: The 2014–2015 water crisis and the binding politics of infrastructure. Political Geogr. 2018, 65, 26–34. [Google Scholar] [CrossRef]
- Cuartas, L.A.; Cunha, A.P.M.D.A.; Alves, J.A.; Parra, L.M.P.; Deusdará-Leal, K.; Costa, L.C.O.; Molina, R.D.; Amore, D.; Broedel, E.; Seluchi, M.E.; et al. Recent hydrological droughts in Brazil and their impact on hydropower generation. Water 2022, 14, 601. [Google Scholar] [CrossRef]
- Siqueira, F.B.; dos Santos, M.A. Solutions proposed for socio-environmental conflicts and concerning multiple-use hydroelectric reservoirs in Brazil. Environ. Prog. Sustain. Energy 2021, 40, e13645. [Google Scholar] [CrossRef]
- Antipova, E.; Zyryanov, A.; McKinney, D.; Savitsky, A. Optimization of Syr Darya water and energy uses. Water Int. 2002, 27, 504–516. [Google Scholar] [CrossRef]
- Chang, L.C.; Chang, F.J.; Wang, K.W.; Dai, S.Y. Constrained genetic algorithms for optimizing multi-use reservoir operation. J. Hydrol. 2010, 390, 66–74. [Google Scholar] [CrossRef]
- Ngoc, T.A.; Hiramatsu, K.; Harada, M. Optimizing the rule curves of multi-use reservoir operation using a genetic algorithm with a penalty strategy. Paddy Water Environ. 2014, 12, 125–137. [Google Scholar] [CrossRef]
- Willis, R.M.; Stewart, R.A.; Panuwatwanich, K.; Jones, S.; Kyriakides, A. Alarming visual display monitors affecting shower end use water and energy conservation in Australian residential households. Resour. Conserv. Recycl. 2010, 54, 1117–1127. [Google Scholar] [CrossRef]
- Chini, C.M.; Schreiber, K.L.; Barker, Z.A.; Stillwell, A.S. Quantifying energy and water savings in the US residential sector. Environ. Sci. Technol. 2016, 50, 9003–9012. [Google Scholar] [CrossRef] [PubMed]
- Shao, S.; Yang, Z.; Yang, L.; Zhang, X.; Geng, Y. Synergetic conservation of water and energy in China’s industrial sector: From the perspectives of output and substitution elasticities. J. Environ. Manag. 2020, 259, 110045. [Google Scholar] [CrossRef] [PubMed]
- Xu, Q.; Liu, R.; Chen, Q.; Li, R. Review on water leakage control in distribution networks and the associated environmental benefits. J. Environ. Sci. 2014, 26, 955–961. [Google Scholar] [CrossRef]
- Osorio, D.A.J.; Meirelles, G.; Brentan, B.M. Hydraulic and economic analysis for rehabilitation of water distribution networks using pipes cleaning and replacement and leakage fixing. Braz. J. Water Resour. 2023, 28, 6. [Google Scholar] [CrossRef]
- Helerea, E.; Calin, M.D.; Musuroi, C. Water energy nexus and energy transition—A review. Energies 2023, 16, 1879. [Google Scholar] [CrossRef]
- Brêda, J.P.L.F.; de Paiva, R.C.D.; Collischon, W.; Bravo, J.M.; Siqueira, V.A.; Steinke, E.B. Climate change impacts on South American water balance from a continental-scale hydrological model driven by CMIP5 projections. Clim. Chang. 2020, 159, 503–522. [Google Scholar] [CrossRef]
- De Jong, P.; Barreto, T.B.; Tanajura, C.A.; Oliveira-Esquerre, K.P.; Kiperstok, A.; Torres, E.A. The impact of regional climate change on hydroelectric resources in South America. Renew. Energy 2021, 173, 76–91. [Google Scholar] [CrossRef]
- Neto, A.R.; da Paz, A.R.; Marengo, J.A.; Chou, S.C. Hydrological processes and climate change in hydrographic regions of Brazil. J. Water Resour. Prot. 2016, 8, 1103–1127. [Google Scholar] [CrossRef]
- Tundisi, J.G. Reservoirs: New challenges for ecosystem studies and environmental management. Water Secur. 2018, 4, 1–7. [Google Scholar] [CrossRef]
- EPE—Empresa de Pesquisa Energética (Balanço de Energia Nacional). 2022. Available online: https://www.epe.gov.br/pt (accessed on 10 January 2023).
- Ministério do Desenvolvimento Regional. SNIS—Sistema Nacional de Informações sobre Saneamento (Diagnóstico Temático—Gestão Técnica de Esgoto). 2022. Available online: http://antigo.snis.gov.br/diagnosticos (accessed on 10 January 2023).
- Liemberger, R. Real Losses and Apparent Losses and the new W392 Guidelines from Germany. In Proceedings of the International Water Association Specialist Workshop, Radisson Resort, Gold Coast, Australia, 24 February 2005; Volume 24. [Google Scholar]
- Brazil MDR—Ministério do Desenvolvimento Regional; SNS—Secretaria Nacional de Saneamento. PLANSAB—Plano Nacional de Saneamento Básico: Relatório de Avaliação Anual—2018; SNS/MDR: Brasília, Brazil, 2020; 131p. [Google Scholar]
- Roberto, A.N.; Mello, A.V., Jr.; Porto, R.L. Estudo de impacto na geração de energia no Reservatório frança: Uma aplicação do módulo de energia do SSDAcquaNet. In Proceedings of the XIX SBRH—Simpósio Brasileiro De Recursos Hídricos, Maceió, Brazil, 27 November–1 December 2011. [Google Scholar]
- Barbosa, A.D.G.; Celeste, A.B.; Mendes, L.A. Influence of Inflow nonstationarity on the multipurpose optimal operation of hydropower plants using nonlinear programming. Water Resour. Manag. 2021, 35, 2343–2367. [Google Scholar] [CrossRef]
- Naghettini, M. Fundamentals of Statistical Hydrology; Springer International Publishing: Cham, Switzerland, 2017. [Google Scholar]









| Distribution | Jan. | Feb. | Mar. | Apr. | Mya | Jun. | Jul. | Aug. | Sep. | Oct. | Nov. | Dec. |
|---|---|---|---|---|---|---|---|---|---|---|---|---|
| Weibull | 282.2 | 217.1 | 255.8 | 236.2 | 182.9 | 155.9 | 80.3 | 156.0 | 223.5 | 208.6 | 262.5 | 245.2 |
| Gamma | 280.1 | 208.8 | 248.4 | 231.9 | 172.1 | 150.5 | 68.5 | 147.1 | 212.3 | 203.0 | 260.4 | 241.2 |
| Log-Normal | 276.5 | 198.5 | 241.4 | 227.7 | 168.0 | 149.3 | 67.6 | 144.9 | 203.6 | 202.3 | 255.6 | 238.2 |
Disclaimer/Publisher’s Note: The statements, opinions and data contained in all publications are solely those of the individual author(s) and contributor(s) and not of MDPI and/or the editor(s). MDPI and/or the editor(s) disclaim responsibility for any injury to people or property resulting from any ideas, methods, instructions or products referred to in the content. |
© 2023 by the authors. Licensee MDPI, Basel, Switzerland. This article is an open access article distributed under the terms and conditions of the Creative Commons Attribution (CC BY) license (https://creativecommons.org/licenses/by/4.0/).
Share and Cite
Souza, R.G.; Barbosa, A.; Meirelles, G. The Water–Energy Nexus of Leakages in Water Distribution Systems. Water 2023, 15, 3950. https://doi.org/10.3390/w15223950
Souza RG, Barbosa A, Meirelles G. The Water–Energy Nexus of Leakages in Water Distribution Systems. Water. 2023; 15(22):3950. https://doi.org/10.3390/w15223950
Chicago/Turabian StyleSouza, Rui Gabriel, Alan Barbosa, and Gustavo Meirelles. 2023. "The Water–Energy Nexus of Leakages in Water Distribution Systems" Water 15, no. 22: 3950. https://doi.org/10.3390/w15223950
APA StyleSouza, R. G., Barbosa, A., & Meirelles, G. (2023). The Water–Energy Nexus of Leakages in Water Distribution Systems. Water, 15(22), 3950. https://doi.org/10.3390/w15223950

