Abstract
The western plain of the Nansihu Lake Basin (NLB) is an important agricultural economic zone in Shandong Province, where there is a high content of fluoride in soils. Studying the content and influencing factors of fluoride in soils is of great significance for the maintenance of regional eco-logical security and human health. This study takes the farmland soils in the west of NLB as the research focus and uses a method based on GIS and geostatistics to quantitatively analyze the spatial variation characteristics of soil total fluoride and water-soluble fluoride contents to draw a map showing their spatial distribution. The effects on the spatial distribution of soil total fluoride and water-soluble fluoride were analyzed from the aspects of geomorphological type, soil parent material (stratigraphic lithology), crop type, and groundwater fluoride concentration, among others, and the correlation between groundwater and soil fluoride contents was also analyzed. Our study results in the following findings: (1) The average content of total fluoride in topsoil in the study area is 652.8 mg/kg, the national background value is exceeded in 99.5% of the sampling sites, and the background value of Shandong Province is exceeded in 98.7% of the sampling sites. The average water-soluble fluoride is 15.2 mg/kg and exceeds 5.0 mg/kg in 94.3% of the sampling sites. Topsoils have high values of total fluoride and water-soluble fluoride. (2) The total fluoride and water-soluble fluoride in topsoils exhibit moderate spatial variability, indicating that their spatial distribution is the result of structural factors such as soil parent materials and man-made random factors such as fluorinated fertilizers. (3) In the 2 m vertical profile of shallow soils, total fluoride and water-soluble fluoride increase with the increase in soil viscosity, and the water-soluble fluoride has the characteristics of surface aggregation due to the influence of soil adsorption. Because fluoride ions as ligands are easily adsorbed and form fluoride complexes with other ions such as aluminum ions, the water-soluble fluoride shows the characteristics of surface aggregation and fractionation. (4) The analysis of influencing factors reveals that the lithology of Quaternary strata, geomorpho-logical types, and planting crop types have significant effects on the distribution of the total fluoride and water-soluble fluoride in the topsoils, and the distribution of the groundwater soluble fluoride in the topsoils is not related to that in groundwater. Our study provides data and technical support for improving both the soil environmental quality and water quality of the eastern route of the South-to-North Water Transfer Project, thus helping to promote the sustainable development of the social economy and ecological environment in the NLB.
1. Introduction
The western plain area of the Nansihu Lake Basin (NLB) is an important agricultural economic zone and energy base in Shandong Province. Nansihu Lake, located at the downstream end of this area and as the largest freshwater lake in Shandong Province, is also an important savings hub for the eastern route of the South-to-North Water Transfer Project [1]. The western part of the Nansihu Basin is the area with the highest incidence and most extensive distribution of endemic fluorosis in Shandong Province [2]. Historical data show that groundwater fluoride in this area generally exceeds the levels indicated in the standard for drinking water [3], and the long-term consumption of high-fluoride groundwater is the main cause of endemic fluorosis [4,5,6,7,8,9,10]. Many studies have shown that the fluoride content in the Quaternary shallow groundwater is closely linked to the surface soils, and the fluoride source intensity and fluoride supply capacity of the soils directly control the migration and enrichment of fluoride in the shallow groundwater. There is a stronger correlation between water-soluble fluoride in various forms of soil fluoride and the fluoride content in groundwater [11,12,13,14,15]. Some studies have also shown that due to the influence of adsorption, the fluoride in the soils has very limited vertical migration distance and therefore has difficulty in leaching vertically into the shallow groundwater [16,17].
At present, most studies of soil fluoride mainly focus on its occurrence form, geochemical characteristics, and impact on the ecological environment [18,19,20,21,22]. The research on the spatial variability of soils is mainly focused on soil nutrients, soil thickness, and soil bulk density, and data on the spatial variability of soil fluoride mainly relate to total fluoride [23,24]. There are a few reports specifically on the spatial variability of soil water-soluble fluoride. The factors affecting the distribution of soil fluoride have been studied using the following two approaches: One involves analyzing the influence on soil total fluoride from the aspects of macroscopic climate, soil parent material, and topography [25,26,27,28,29,30]. The second involves the analysis of the inherent properties of soils (soil texture, pH, organic matter, interaction with other elements) and their correlation with soil total fluoride [31,32,33,34]. There is a lack of research on the factors affecting the spatial distribution of soil water-soluble fluoride.
In this study for this area (the NLB), we are interested in answering the question of what fluoride in the soils under the present conditions is. In particular, what is the level of water-soluble fluoride in the soils? What are the main factors affecting the distribution of fluoride in soils? In addition to soil parent material, topography, and other factors that are known, will the fluoride in the soils and groundwater be affected by agricultural tillage? What is the correlation between fluoride in soil and groundwater? As no specific surveys have been conducted for the study area so far, the above questions remain to be answered. Therefore, in order to determine the spatial distribution characteristics and influencing factors of fluoride in the western soil of the Nansihu Lake basin, and to analyze the correlation between groundwater and soil fluoride, the Soil Pollution Prevention Center of the Shandong Province commissioned the Shandong Geological Survey and Mapping Institute in January 2022 to implement the “investigation project of farmland soil fluoride in the West of the Nansihu Lake Basin”. The data reported in this paper resulted from this project.
Focused on the farmland soils in the west of the Nansihu Lake Basin, this study uses a method based on GIS and geostatistics to analyze the spatial variation characteristics of soil total fluoride and water-soluble fluoride according to a semivariance function to draw a map showing their distribution using the Kriging interpolation method, thereby revealing the characteristics of soil fluoride distribution. The effects on the soil fluoride distribution and water-soluble fluoride were analyzed from the aspects of geomorphological type, soil parent material (stratigraphic lithology), crop type, and groundwater fluoride concentration, among others. The correlation between groundwater and soil fluoride content was also analyzed. The results of this study will provide a scientific basis for a better understanding of the distribution characteristics of fluoride in soils as well as the relationship between the fluoride in soils and groundwater as a basis for taking effective measures to improve the quality of the soil environment.
2. Study Area
The study area is located on the west side of the Beijing–Hangzhou Grand Canal and Nansihu Lake, including the whole of Heze City and Yutai County, Jinxiang County, Jiaxiang County, and Liangshan County of Jining City, with a total area of about 15700 km2. The geographical coordinates are E115°40′~116°08′ and N35°35′~35°52′. The area is located within a warm temperate zone with a mild climate, rain, and heat at the same time, which corresponds to a typical semihumid monsoon climate. The average annual rainfall is 624 mm, and the seasonal variation in precipitation is significant. The rainfall in the flood season accounts for 60~70% of the annual rainfall.
The study area is part of the Luxi uplift area (Ⅱ) of the North China plate (Ⅰ) and the buried uplift of southern and western Shandong (Ⅲ), which belongs to the North China stratigraphic region, bounded by the Liaokao fault; the western part belongs to the North China Plain stratigraphic zone; the eastern part belongs to the Luxi stratigraphic zone. The strata in the area are well developed and include, from old to new, the New Archean Taishan Group, the Paleozoic Cambrian–Ordovician Changqing Group, the Jiulong Group, the Majiagou Group, the Carboniferous-Permian, the Mesozoic Jurassic, the Cenozoic Paleogene, and the Neogene. Around 98% of the strata in the area are covered by unconsolidated Quaternary sediments (Figure 1), with an average sedimentary thickness of about 250 m. The Quaternary strata are mainly composed of fine sand and silty soil of the Shanxian Formation interbedded with silty clay and clay of the Juye Formation, clay, and silty clay of the Yutai Formation, and silty clay of the Huanghe Formation. Fine sand and silty sand of the Yellow River Formation contain a small amount of sandy clay and clay. The surface lithology is mainly silty clay, clayey silt, and silt and fine sand [35,36]. Geomorphologically, the study area is part of the Yellow River alluvial plain, and the main geomorphological types are the Yellow River alluvial fan plain, alluvial plain, denudation, and dissolution hills. The microlandform types mainly include ancient riverbed highlands, gentle slopes, depressions, crevasse fans, and denudation residual hills (Figure 1). The elevation of the area is generally 35~60 m, and the specific slope drop is about 1/5000~1/20,000, which is generally lower from west to east, and the topography around the Nansihu Lake in the southeast of the study area is the lowest.
Figure 1.
Quaternary geological and geomorphology map of the research area.
The study area belongs to the hydrogeological area of the Yellow River flood plain, and the pore water of Quaternary loose rocks is the main source of the water supply. It is divided according to the burial depth into the following: (1) The shallow pore water phreatic water-bearing rock group is the main mining horizon of regional agricultural irrigation, and the buried depth of the floor is generally less than 60 m. The thickness of the water-bearing sand layer is generally 5~20 m, and the thickness of the sand layer decreases gradually from the paleo-channel zone to the periphery and inter-river zone. The main water inflow is 500~3000 m3/d. The groundwater of the shallow pore water aquifer rock group is mainly characterized by vertical movement, shallow burial, easy mining, and easy replenishment, and atmospheric water is the main source of recharge. (2) The middle pore-confined water aquifer rock Formation, in the wide distribution area, is relatively stable, and the aquifer thickness is 54~113 m. The lithology of the aquifer is mainly fine sand, has gushing water of generally less than 500 m3/d, and is rich in water, mostly a saltwater layer of poor water quality and no mining value. (3) An aquifer with deep pore-confined water is the main mining horizon of concentrated water supply for urban life, and the aquifer is generally buried below 250 m, the lithology is mainly fine sand and medium coarse sand, the cumulative thickness of the sand layer is 40~60 m, and the amount of water gushing from a single well is generally greater than 1000 m3/d. The pore water of Quaternary loose rocks generally flows into the NLB from northwest to southeast, and a small-scale falling funnel is formed in the exploitation area of the local water source (Figure 2).
Figure 2.
The groundwater fluoride concentrations of the research area (note: groundwater samples were collected from September to October 2021).
A 1:250,000 multi-target regional geochemical survey was carried out in the study area from 2003 to 2006. The results show that the fluoride content in shallow groundwater is generally 1~3 mg/L. The fluoride content in groundwater in the southeast of Heze City and Jiaxiang County of Jining City exceeds 3 mg/L, and the maximum value is 9.5 mg/L [37]. From September to October 2021, the Soil Pollution Prevention Center of Shandong Province investigated the fluoride content in shallow groundwater in the study area. The results show that the area where the fluoride in shallow groundwater exceeds 1 mg/L is about 7000 km2 (Figure 2).
The soil type in the study area is relatively homogeneous, mainly fluvo-aquic soil, with an area of about 13,200 km2, accounting for 84%; paddy soil is distributed along the lake in the southeast, with an area of about 1600 km2, accounting for 10%; cinnamon soil is distributed in the hills and mountainous areas of Jiaxiang County, with an area of about 200 km2, accounting for 1%; and alluvial soil is developed along the Yellow River in the northwest, with an area of about 700 km2, accounting for 5%. The soil texture of the whole region is mainly loam and clay loam, and sandy soil is developed in Dongming County, Juancheng County, and Shan County. The crops planted in the agricultural land in the area mainly follow wheat–corn rotation, Yutai County follows mainly wheat–rice rotation, and the whole county of Jinxiang County and some areas of Chengwu County, Yutai County, and the adjacent Juye County have garlic as the main crop.
3. Data Acquisition and Research Methods
3.1. Sample Distribution
The collection of soil samples was carried out from February to March 2022, and the samples were tested for total soil fluoride and water-soluble fluoride. In order to find out the plane distribution characteristics of fluoride in soil based on comprehensive consideration of the types of crops, topography, and fluoride concentration in groundwater, the grid method was used to arrange 6 to 10 soil samples per 100 km2 to collect surface soil samples within the depth of 20 cm. In order to determine the vertical distribution characteristics of soil fluoride, six soil profiles were arranged in the same crop-planting area, and the soil samples within a depth of 2 m were collected. The soil profiles were set up in each sampling site according to the depths of 20 cm, 50 cm, 1 m, 1.5 m, and 2 m, with a total of 30 deep soil sampling sites (Figure 3). At the same time, data were also acquired for the fluoride analysis of groundwater samples collected by the Soil Pollution Prevention Center of Shandong Province from September to October 2021 (Figure 2).
Figure 3.
Sample collection sites of the research area (note: the soil samples were collected from February to March 2022).
3.2. Sample Collection, Pre-Treatment, and Test Analysis
Sample collection: Surface soil samples were collected from five sampling points by radiating 50 m around the “X” shape at the sampling points, centering on the GPS location, and five equal parts of the soil sample were mixed into one sample. Upon sampling, 20 cm of deep earthwork was first cut using a shovel, and the contact surface then was removed with a wooden shovel for sampling uniformly up and down; deep soil samples were collected using a hand-held soil sampling rig. The sampling amount for each sample was at least 1500 g. The collected soil samples were first put into plastic bags, and the plastic bags containing the soil samples were then put into cloth bags. The types of planted crops at the sampling sites were recorded at the same time while the soil samples were collected. All sampling points were positioned using a hand-held GPS.
Sample pre-treatment: The soil samples collected from the field were naturally air-dried in the sample rack and crushed with wooden sticks or plastic sticks, and then the plant residues and stones were removed. All the crushed soil samples were passed through a nylon sieve with a 2 mm aperture, and the soil samples were stored in Kraft paper bags after screening. The samples were sent to the laboratory for analysis within 15 days after collection.
Test and analysis of samples: The method used for the fluoride analysis is an ion-selective electrode method. The detection limit is 0.7 mg/kg for water-soluble fluoride and 63 mg/kg for total fluoride.
3.3. Research Methods and Data Processing
A semivariance function is a quantitative parameter describing variables in geostatistics, and it is widely used in the study of spatial variability of soil components and can be used to reveal the randomness and structural characteristics of regionalized variables. In geostatistics, the normality of data distribution is a premise for using the semivariance function, and the Kriging method was used for spatial analysis. If the data do not show a normal distribution, the fitting of the semivariance function will have a proportional effect and reduce the evaluation accuracy. Data should be processed to obtain normal distribution by eliminating abnormal values and performing normal transformation [38,39].
In this study, the standard fraction method was used to identify the outliers of total fluoride and water-soluble fluoride in the topsoils, that is, a single sample was compared with the mean value of all the samples. If the difference is more than three times the standard deviation, it is regarded as an outlier. Using the above method, a total of two abnormal values of total fluoride and eight abnormal values of water-soluble fluoride were recognized. The normal maximum value was used to replace all the abnormal values. The abnormal value of total fluoride was replaced by 868.2 mg/kg, and the abnormal value of water-soluble fluoride was replaced by 6.8 mg/kg. After the removal of the outliers and normalization transformation, the data for total fluoride and water-soluble fluoride were turned to follow the normal distribution, which meets the relevant requirements for geostatistical analysis.
General descriptive statistics and normal distribution testing of the data were carried out using the geostatistics software SPSS22.0 [23]. Based on the theory of geostatistics, the semivariance function was calculated, and the theoretical model was fitted. Using the fitted model, the ordinary Kriging interpolation method was selected, and the Suffer 8.0 software was used for spatial interpolation to draw the distribution map of soil total fluoride and water-soluble fluoride. In order to quantitatively analyze the main factors affecting the spatial distribution of fluoride, the analysis of variance and multiple comparison methods were used to analyze the effects on the spatial distribution of soil total fluoride and water-soluble fluoride from the aspects of geomorphological type, soil parent material (stratum lithology), crop type, and groundwater fluoride concentration, among others. The correlation between groundwater fluoride and water-soluble fluoride was analyzed.
4. Results and Discussion
4.1. Analysis of Statistical Characteristics of Topsoil Fluoride
The statistical characteristics of the test results for total soil fluoride and water-soluble fluoride in 971 topsoil samples were analyzed (Table 1, Figure 4).
Table 1.
Descriptive statistics of total soil fluoride and water-soluble fluoride in the research area.
Figure 4.
Violin plot of topsoil total fluoride and water-soluble fluoride in the area tested for this study.
The total topsoil fluoride for the entire tested area ranges from 440.6 to 868.2 mg/kg, with an average of 652.8 mg/kg, while the water-soluble fluoride ranges from 2.4 to 36.8 mg/kg to 15.3 mg/kg. According to the regional multi-objective geochemical survey conducted from 2003 to 2006, the total fluoride topsoil in the study area ranges from 394 to 920 mg/kg [40], which is generally consistent with the results of this analysis. The average water-soluble fluoride in the study area is about 2.3% of the total fluoride content, which is consistent with the results of the Xingtai Piedmont plain area with similar geological environmental conditions [41]. The national background value (478 mg/kg) was exceeded among 99.5% of the sampling sites in the area, the background value of Shandong Province (506 mg/kg) [40] was exceeded in 98.7% of the sampling sites, and the reference limit of 5.0 mg/kg in the Agricultural Land Soil Environmental Quality Standard (three drafts for solicitation of opinions) [42] was exceeded in 94.3% of the sampling sites. The results show that there are high levels of total fluoride and water-soluble fluoride in the topsoils of the study area.
The original data of total fluoride and water-soluble fluoride did not follow a normal distribution for the entire data and showed right skewness according to a Kmurs test (Kolmogorov–Smirnov test). A normalization treatment resulted in a normal distribution and satisfaction of the semivariance function analysis requirement (Table 2).
Table 2.
K-S test for total fluoride and water -soluble fluoride.
4.2. Spatial Variability of Topsoil Fluoride
Semivariance function fitting models for total fluoride and water-soluble fluoride in the topsoils were obtained based on the semivariance function theory (Table 3, Figure 5 and Figure 6). The total fluoride and water-soluble fluoride in the surface soils of the study area can be fitted using a linear model, the degree of fitting is good, and the determination coefficient R2 is 0.989 and 0.830, respectively, indicating a satisfactory reflection of the characteristics of spatial variation.
Table 3.
The results of the semivariogram model fitting topsoil total fluoride and water-soluble fluoride in the study area.
Figure 5.
Fitting diagram for semivariance model of total fluoride of all topsoil samples. Note: R2-determination coefficient; RSS-residual.
Figure 6.
Fitting diagram for semivariance model of soil water-soluble fluoride of all topsoil samples.
The ratio of nugget value to base value (C0/Sill) represents a spatial correlation, which can indicate the degree of spatial correlation used to analyze the soil property components in addition to the degree of random partial spatial variability in the total spatial variability. A large ratio indicates that random factors (including experimental errors, fertilization, pesticides, irrigation, or other man-made factors such as exogenous pollution) play a major role. The small ratio shows that non-man-made structural factors (including macro climate, soil parent material, topography, etc.) play a major role. Generally, C0/Sill < 25% indicates strong spatial correlation, 25% < C0/Sill < 75% indicates moderate spatial correlation, and C0/Sill > 75% indicates weak spatial correlation [43,44,45]. As shown in Table 3, the ratios of total fluoride and water-soluble fluoride nuggets to platform values in the topsoils of the study area are 58.8% and 69.8%, respectively, which corresponds to medium-intensity spatial variability. This shows that the spatial variation is the result of random factors such as fluorinated fertilizers, fluorinated pesticides, fluoride-containing irrigation water, coal combustion fluoride-containing waste gas, and structural factors such as soil parent material, soil type, geomorphology, and climatic conditions. Structural factors will enhance the spatial correlation of soil salinity, while random factors can weaken the spatial correlation and favor development toward homogenization. The variation range of the total fluoride and water-soluble fluoride exhibits spatial autocorrelation within 88.7 km, which is close to the maximum distance of sampling, indicating that the unbiased estimation of sampling points in this area is credible and can meet the requirements for spatial variation analysis of soil fluoride.
4.3. Spatial Distribution Characteristics of Soil Fluoride
4.3.1. Horizontal Distribution of Fluoride in Topsoil
According to the results of this topsoil fluoride test and in consideration of the classification standard of total fluoride and water-soluble fluoride in the Geochemical Evaluation Code of Land quality (DZ/T 0295-2016) [46], the plane distribution map of total fluoride and water-soluble fluoride in the topsoils of the study area was drawn using the Kriging interpolation (Table 4, Figure 7 and Figure 8). It is known that the total fluoride and water-soluble fluoride have a highly similar distribution for soils, generally showing a trend of being low in the west and south and high in the east and north. The areas with high levels are generally distributed in Yutai County and Rencheng District along the lake and in Jiaxiang County, Jinxiang County, Yuncheng County, Juancheng County, and other places.
Table 4.
The area distributions of the total and water-soluble fluoride in the topsoils for the tested area in this study.
Figure 7.
The spatial distribution of the total fluoride content in the topsoils of the area in this study.
Figure 8.
The spatial distribution of the water-soluble fluoride content in the topsoils of the area in this study.
A marginal zone of the total fluoride content (400~500 mg/kg) is sporadically distributed in Shan County, Cao County, Juancheng County, and Dongming County, with an area of about 20 km2, accounting for only 0.1% of the total area. The area of 500~550 mg/kg is small in Shan County, Cao County, Juancheng County, Dongming County, Heze City District, and Juye County, with an area of about 600 km2, accounting for 3.9% of the total area of the whole region. The sites with high total fluoride contents (550~700 mg/kg) are widely distributed in the region, with an area of about 12,300 km2, accounting for 78.3% of the total area; the sites with very high total fluoride (>700 mg/kg) are distributed in Yutai, Jinxiang, Jiaxiang, Yuncheng, and Juancheng, with an area of about 2780 km2, accounting for 17.7% of the total area of the region.
The sites with water-soluble fluoride <5 mg/kg are mainly distributed in Shan County, followed by a sporadic distribution in Cao County, Dongming County, and Juye County, with an area of about 500 km2, accounting for only 3.2% of the total area of the whole region. The sites with water-soluble fluoride of 5~20 mg/kg are widely distributed in the whole region, with an area of about 12,000 km2, accounting for 76.4% of the total area of the whole region. The sites with the water-soluble fluoride content > 20 mg/kg are distributed in Yutai, Jinxiang, Jiaxiang, Yuncheng, and Juancheng, with an area of about 3200 km2, accounting for 20.4% of the total area of the whole region. Water-soluble fluoride accounts for 0.4–7.7% of the total fluoride content, with an average of 2.3%. The water-soluble fluoride content in the topsoil of the study area is significantly higher than the average 2.5 mg/kg of water-soluble fluoride in the topsoil of the fluorosis area in China and much higher than the common water-soluble fluoride in the unpolluted surface soils globally [19].
The sites with high fluoride contents in the topsoil in the study area are mainly distributed in Yutai County, Jiaxiang County, Juancheng County, and Yuncheng County, which is related to the soil parent material, topography, and crop types in these counties. Taking Yutai County as an example, the strata of the Yutai Formation and the Juye Formation, which are mainly composed of clayey soils, have high clay content and fine soil particles, and the alluvial lake landform is low-lying, and fluoride is easily enriched; at the same time, Yutai County is mainly used for planting rice, there is high application of pesticides, and the long-term use of high-fluoride water sources for flooding irrigation will also lead to the enrichment of fluoride in the soils. This will be discussed in further detail in a later Section 4.4. “Analysis Of Factors Affecting the Spatial Distribution of Soil Fluoride”.
4.3.2. Vertical Distribution of Fluoride in Soil
In order to study the vertical distribution characteristics of fluoride in soils, six vertical soil sample collection profiles were set up, and soil samples were collected at depths of 0–0.2 m, 0.5 m, 1.0 m, 1.5 m, and 2.0 m. The study area has developed a deep soil layer because of the lake basin accumulation of sediments over the years. The analysis results are shown in Table 5. The change in fluoride content in different soil profiles is shown as a linear chart (Figure 9), which directly shows the trend of the vertical soil fluoride distribution.
Table 5.
The statistics results of the total fluoride and water-soluble fluoride in the vertical soil profiles.
Figure 9.
The distribution of the total fluoride and the water-soluble fluoride in the soil profiles.
The study area has a simple soil structure and lithology, which is mainly composed of silty clay, clay, silt, and fine sand. The variation in total fluoride and water-soluble fluoride contents according to the depth in the soil profiles is shown in Figure 9. According to the increase in soil depth, the total fluoride contents in the surface layers (0–0.2 m) were higher (average 655 mg/kg), while those in the lower layers were relatively lower (average 583~608 mg/kg). Except for the samples at the depth of 0.5 m in section P03, 0.5 m in section P05, and 2 m in section P04, the changes in water-soluble fluoride and total fluoride content show high similarity. The average contents of total fluoride in clay, silty clay, silt, and fine sand were 651 mg/kg, 590 mg/kg, and 570 mg/kg, respectively, and the average contents of water-soluble fluoride were 13.24 mg/kg, 12.85 mg/kg, and 9.69 mg/kg, respectively.
The soil fluoride content varies with the change in lithology. The soil with finer lithologic particles and higher clay content has relatively higher total fluoride and water-soluble contents, while the soil with thicker lithologic particles and lower clay content has relatively lower total fluoride and water-soluble fluoride contents. This is due to the fact that the clayey soil has finer particles, a larger specific surface, and a strong adsorption capacity. There are more soluble fluoride and adsorptive fluoride distributed on the surface of clay and colloidal particles in clayey soils, which has higher fluoride source than sandy soils.
Generally speaking, the water-soluble fluoride in shallow soil of 0.5 m is relatively high, showing an obvious trend of decreasing gradually from the surface layer to the buried depth of 2.0 m, indicating that the distribution of soil water-soluble fluoride experiences a certain surface aggregation. This is due to the fact that the soils in this area are mainly silty clay and clay, and fluoride ions are affected by adsorption in the process of downward migration. At the same time, the soil contains iron, aluminum, calcium, and their oxides. In view of the active chemical properties of fluoride ions, it is very easy to form fluoride complexes with other ions, which further weakens the vertical migration capability of fluoride ions. As a result, the water-soluble fluoride in soil is significantly reduced, which makes it difficult for fluoride ions in soil to be directly leached into shallow groundwater [4,16,41]. The high distribution of total fluoride and water-soluble fluoride in surface soil is less consistent with that in shallow groundwater with high fluoride content (Figure 2).
4.4. Analysis of the Factors Affecting Spatial Distribution of Soil Fluoride
The surface of the study area mainly comprises alluvial sediments of the Yellow River, and there is a relatively high fluoride-bearing mineral such as biotite (K(Mg,Fe)3[AlSi3O10](F,OH)2) and fluorite (CaF2) in the sedimentary minerals. This geological condition is the environmental background and material source for the formation of high-fluoride soils. In addition, the distribution of soil fluoride is mainly affected by soil parent material and soil formation processes, with arid climatic conditions and low-lying topography being more conducive to the enrichment of soil fluoride. At the same time, agricultural production activities such as fertilization, irrigation, and pesticide spraying are also some of the factors affecting soil fluoride distribution [47,48]. Our descriptive statistics and geostatistical analysis show that there is moderate spatial variability of soil total fluoride and water-soluble fluoride in the study area, which are affected by structural factors such as soil parent material and geomorphology and random factors such as agricultural production activities. In this paper, soil parent materials (stratigraphic lithology) and geomorphological types are taken as structural factors, and crop types and groundwater fluoride concentration are taken as random factors to explore the effects of exogenous environmental factors other than soil properties on the spatial distribution of soil fluoride.
4.4.1. Soil-Forming Parent Material (Stratigraphic Lithology)
The contents of total fluoride and water-soluble fluoride in soils after normal transformation were analyzed using a single-factor variance analysis (Table 6). The results show that the total fluoride and water-soluble fluoride contents in different stratum groups were 38.943 (p < 0.001) and 42.338 (p < 0.001), respectively, showing that there are significant differences among the different stratum formations. Our multiple comparisons showed that the contents of total fluoride and water-soluble fluoride in the topsoil in the study area are basically the same, and the highest fluoride is found in the Yutai Formation, which has the highest clayey soil formed by alluvial and lacustrine (Figure 10). The next is the Juye Formation and the Dazhan Formation, with slightly higher clayey soil content, while the Shanxian Formation and the Huanghe Formation, dominated by sandy soil, are the lowest.
Table 6.
ANOVA and multiple comparisons of topsoil total fluoride and water-soluble fluoride under different lithology.
Figure 10.
Multiple-comparison diagrams of topsoil total fluoride and water-soluble fluoride under different lithologies. Note: a—Dazhan Formation, b—Shanxian Formation, c—Huanghe Formation, d—Juye Formation, e—Yutai Formation; the total fluoride data of the Dazhan Formation are labeled with the superscript “ce”, indicating that there is a significant difference in soil total fluoride content between the Dazhan Formation and the Huanghe Formation and the Yutai Formation. All other values are considered the same.
4.4.2. Geomorphological Type
One-way ANOVA testing of soil total fluoride and water-soluble fluoride among different landforms was carried out (Table 7). The results show that the difference was 39.794 (p < 0.001) for soil total fluoride and 29.277 (p < 0.001) for water-soluble fluoride, indicating that there are significant differences in soil total fluoride and water-soluble fluoride among the different landforms. Through multiple comparisons (Figure 11), it is found that the order of total fluoride content is as follows: alluvial flat slope, alluvial depression, inter-river depression > denudation and dissolution hills, flat slope > crevasse fan and ancient riverbed highland. The order of water-soluble fluoride content is as follows: alluvial flat slope, alluvial depression > denudation and dissolution hilly, inter-river depression, gentle slope, crevasse fan > ancient riverbed highland. Because the alluvial flat slope and alluvial depression are located downstream of the runoff in the study area, which is conducive to the enrichment of fluoride, their total fluoride and water-soluble fluoride contents are significantly higher than those of the other geomorphological types. Conversely, the ancient riverbed highland is relatively elevated, which is not conducive to the enrichment of fluoride, so it has a significantly lower fluoride content than that of the other geomorphological types. Geomorphology exerts a controlling effect on soil fluoride content basically via the genetic type and lithology of surface loose deposits to a certain extent, as well as through groundwater movement, so that fluoride is often enriched in lower terrain.
Table 7.
ANOVA and multiple comparisons of topsoil total fluoride and water-soluble fluoride under different geomorphic types.
Figure 11.
Multiple-comparison diagrams of topsoil total and water-soluble fluoride for different geomorphic types. Note: a—Erosion-denuded hills, b—Alluvial lacustrine flat slope, c—Alluvial-lacustrine depression, d—Ancient riverbed highland, e—Inter-river depression, f—Slow flat slope, g—Crevasse splay; the data of total fluoride in Erosion denuded hills are labeled with the superscript “bd”, indicating that there is a significant difference between the total fluoride content in Erosion denuded hill sand that in Alluvial lacustrine flat slope and Ancient riverbed highland. All other values are considered the same.
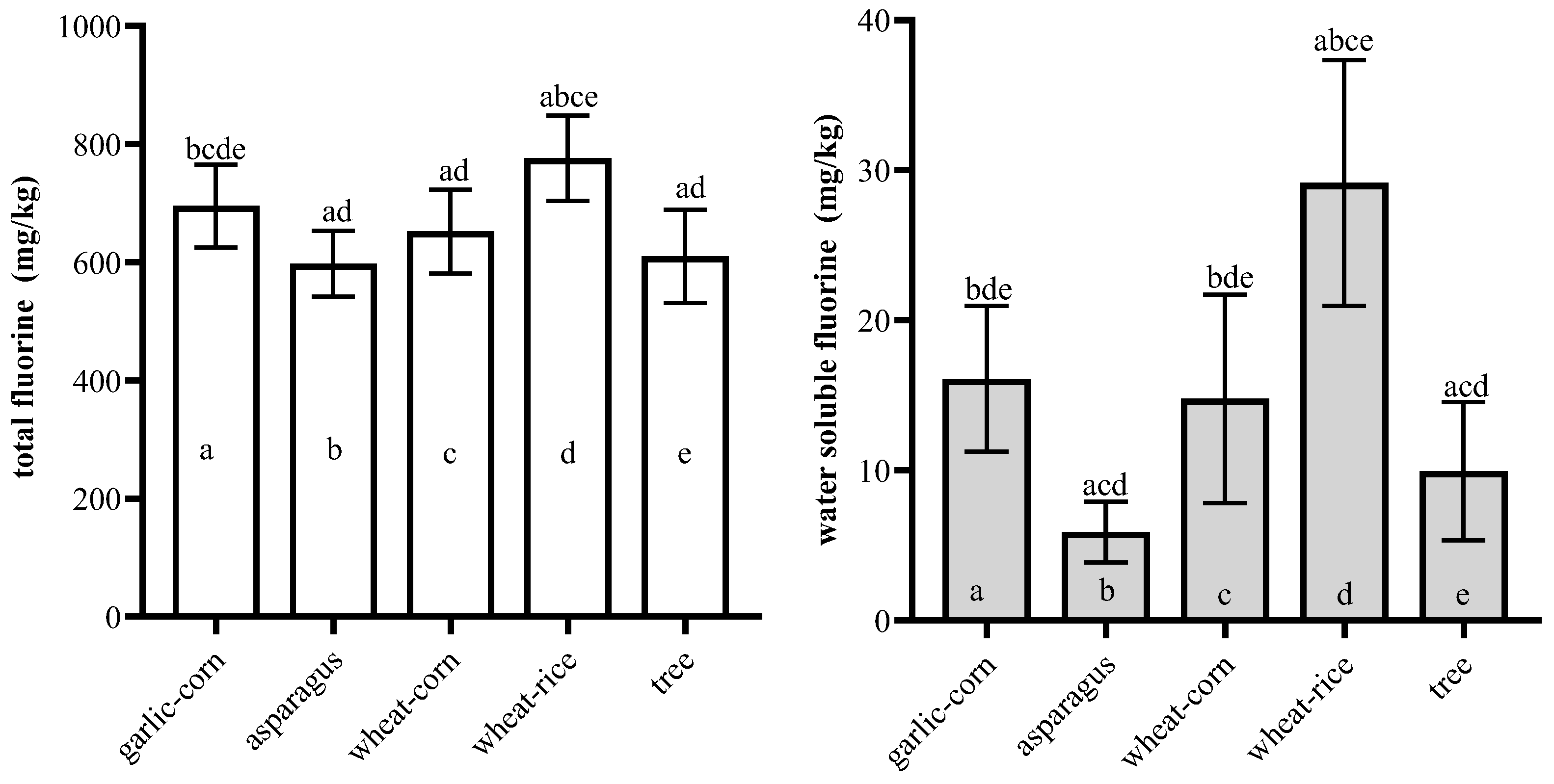
4.4.3. Crop Type
The main crop types in the study area are wheat–corn rotation, wheat–rice rotation, and garlic–corn rotation, and a small amount of asparagus is planted. For comparative analysis, some soil samples were collected in the tree-planting area. The results based on the analysis of variance and multiple comparisons of soil total fluoride and water-soluble fluoride of different crop types (Table 8) show that the soil total fluoride of different crop types was 37.114, p value (significant) < 0.001, soil water-soluble fluoride was 65.708, p value (significant) < 0.001, indicating that there are significant differences in soil total fluoride and water-soluble fluoride contents among different crop types.
Table 8.
ANOVA and multiple comparisons of topsoil total fluoride and water-soluble fluoride for different crop types.
The multiple analysis shows that the order of soil total fluoride content in different crop types is as follows (Figure 12): wheat–rice > garlic–corn > wheat–corn, trees, asparagus; the order of soil water-soluble fluoride content is wheat–rice > garlic–corn, wheat–corn > trees, asparagus. The soil total fluoride (average 766 mg/kg) and water-soluble fluoride (average 27 mg/kg) contents were significantly higher in the rice-planting area than in other crop-planting areas, while soil total fluoride (average 603 mg/kg) and water-soluble fluoride (average 8 mg/kg) contents were significantly lower in the asparagus- and tree-planting areas than in other crop-planting areas.
Figure 12.
Multiple-comparison diagram of topsoil total fluoride and water-soluble fluoride for different crop types. Note: a—garlic–corn rotation area, b—asparagus-planting area, c—woodland, d—wheat–rice rotation area, e—wheat–corn rotation area; the data of total fluoride in the garlic–corn rotation area are labeled with the superscript “bcde”, indicating that there are significant differences in soil total fluoride content between the garlic–corn rotation area and other crop-planting areas. All other values are considered the same.
In order to avoid or reduce the interference of other factors as much as possible, four groups of soil samples with similar locations and different crop types were selected for comparison under the same stratigraphic and geomorphological conditions (Figure 13). It can be seen that under the conditions where the other factors are the same, the soil fluoride is significantly higher in the wheat–rice rotation area than that of the other crop types.
Figure 13.
The comparison map of the total fluoride and water-soluble fluoride in the topsoils of different crop types under the same geomorphology.
From the statistical data of agricultural chemical fertilizer and pesticide application on the east route of South-to-North Water Transfer (2014–2020) (Figure 14), it is known that the average amount of chemical fertilizer and pesticide used is 375 kg/ha and 11.9 kg/ha, respectively, in Shandong Province, and 496 kg/ha and 14.7 kg/ha, respectively in the study area. The amount of chemical fertilizer is 32.3% higher, and that of pesticide is 22.9% higher than that of the whole province. In Jinxiang County, where garlic is mainly grown, the amount of chemical fertilizer (mainly nitrogen and sulfur fertilizers) is as high as 902 kg/ha, and the average amount of pesticide is 19.8 kg/ha. In Yutai County, where rice is mainly grown, the average amount of chemical fertilizer and agricultural chemicals is 420 kg/ha and 24.1 kg/ha, respectively [49,50]. It can be seen that significantly higher amounts of pesticides are applied in areas of rice planting than those of other crop types, and the use of fluoride-containing pesticides may lead to the enrichment of fluoride in the soil of rice-planting areas due to the long-term accumulation and biological action; at the same time, the rice-planting area itself is distributed along the lake, and the use of high-fluoride water sources for the long-term flooding irrigation is bound to lead to the enrichment of relevant components in the soil.
Figure 14.
Statistics of chemical fertilizer and pesticide application in the study area from 2014 to 2020.
4.4.4. Fluoride Concentration in Groundwater
A recent survey shows that there is a large area of high groundwater fluoride in the study area, and nearly 80% of the farmland in the area is mainly irrigated by groundwater. The single-factor analysis of variance (Table 9, Figure 15) of soil water-soluble fluoride content among different groundwater fluoride concentration grades shows that the p value (=0.883) of the F test of soil water-soluble fluoride content is more than 0.05. The results show that there are no significant differences in soil water-soluble fluoride among the different groundwater fluoride concentration grades.
Table 9.
Variance analysis and multiple comparisons of the water-soluble fluoride content in the topsoils for different fluoride concentrations in groundwater.
Figure 15.
Multiple-comparison charts of significant differences of soil water-soluble fluoride among different fluoride concentration grades of groundwater.
The correlation analysis of the groundwater and soil water-soluble fluoride also shows that there is no correlation between groundwater fluoride and soil water-soluble fluoride contents (Table 10).
Table 10.
Statistical results of the correlation coefficient between soil water-soluble fluoride and groundwater fluoride.
In summary, it can be seen that the water-soluble fluoride in the surface soil of the study area is not related to the fluoride in the groundwater. The first reason is that there is strong adsorption of fluoride ions to the surface soil, so they do not easily leach directly into the water, and the second reason is that the fluoride in groundwater is also affected by the fluoride content in the stratum of the saturated zone. For example, the analysis data of borehole core samples from the east of Shawo Village, Longgu Town, Juye County show that the total fluoride content in the Quaternary stratum at 140 m is 337~801 mg/L, with an average of 565 mg/L(Figure 16), which is equivalent to the total fluoride content in the surface soil near this area (598.2 mg/kg).
Figure 16.
Distribution map of total fluoride content in borehole core samples from east of Shawo Village, Longgu Town, and Juye County.
5. Conclusions
The total topsoil fluoride in the study area is found to be 440.6~868.2 mg/kg, with an average of 652.8 mg/kg; the water-soluble fluoride is 2.4~36.8 mg/kg, with an average of 15.3 mg/kg. In total, 98.7% of the soil samples in the study area exceed the background value of Shandong Province (506 mg/kg), and water-soluble fluoride is significantly higher than the average water-soluble fluoride in the fluorosis area of China (2.5 mg/kg). The total fluoride and water-soluble fluoride in the topsoils of the study area are all at a high level.
The analysis of spatial variation shows that the ratios of nuggets to the base values of total fluoride and water-soluble fluoride of the topsoils in the study area are 58.8% and 69.8%, respectively, with moderate spatial variability.
The area of the topsoils with total fluoride greater than 550 mg/kg is about 15,080 km2, accounting for about 95.9% of the study area; the area with water-soluble fluoride greater than 5 mg/kg is about 15,200 km2, accounting for about 96.8% of the study area. High fluoride areas are generally distributed in Yutai County, Rencheng District, Jiaxiang County, Jinxiang County, Yuncheng County, and Juancheng County.
The average total fluoride in clay, silty clay, and silty sand in the soil profile is 651 mg/kg, 590 mg/kg, and 570 mg/kg, respectively, and the average water-soluble fluoride of the above samples is 13.24 mg/kg, 12.85 mg/kg, and 9.69 mg/kg, respectively. Fluoride is controlled by the change in lithology and increases with the increase in soil viscosity. The average water-soluble fluoride in soils with a depth of 0–0.5 m is 16~17 mg/kg, and the water-soluble fluoride in soils with a depth of 0.5–2.0 m is 9~10 mg/kg. The distribution of water-soluble fluoride in soil profiles shows surface accumulation, and the water-soluble fluoride in deep soils decreases significantly.
The analysis of variance and multiple comparative analyses show that the lithology of Quaternary strata, geomorphological types, and planting crop types in the study area are closely related to the content and distribution of fluoride in topsoils, but there is no correlation between fluoride in groundwater and water-soluble fluoride in topsoils. The content of soil fluoride in the Yutai Formation is the highest (average 723.2 mg/kg), followed by the Juye Formation and the Dazhan Formation (average 664.1 mg/kg), and lowest in the Danxian Formation and the Yellow River Formation (average 621.5 mg/kg). Fluoride in the soil of the alluvial lacustrine flat slope, the alluvial-lacustrine depression, and the inter-river depression is the highest (average 696.6 mg/kg), followed by the erosion-denuded hills and the slow flat slope (average 659.2 mg/kg), and the lowest (average 621.8 mg/kg) in the crevasse splay and the ancient riverbed highland. The soil fluoride in the wheat–rice rotation area is the highest (average 766.3 mg/kg), followed by the garlic–corn rotation area and the wheat–corn rotation area (average 665.4 mg/kg), and the lowest in the forest area and the asparagus planting area (average 602.8 mg/kg).
Author Contributions
Conceptualization, H.S. and R.L.; methodology, H.S.; software, C.Y.; validation, Y.L., D.X. and Z.W.; formal analysis, H.S.; investigation, L.L. and C.Y.; resources, R.L.; data curation, X.Y.; writing—original draft preparation, C.Y. and L.L.; writ-ing—review and editing, H.S.; visualization, C.Y.; supervision, R.L.; project administration, D.X.; funding acquisition, H.S. All authors have read and agreed to the published version of the manuscript.
Funding
This research received no external funding.
Data Availability Statement
The data presented in this study are available within the article.
Acknowledgments
The authors are very grateful to all anonymous reviewers, chief editors, and associate editors for their valuable comments and suggestions, which improved the quality of this paper.
Conflicts of Interest
The authors declare no conflict of interest.
References
- Xie, W.; Tian, W.; Zhou, J.; Zhao, J.; Wang, L.; Du, Z. Analysis of Sulfate Source of Nansihu Lake in Shandong Section of the East Route of South-to-North Water transfer Project. South-to-North Water Transf. Water Conserv. Sci. Technol. 2021, 19, 572–580. [Google Scholar]
- Lu, M.; Han, B.; Wu, F.; Sun, D.; Zhang, Z. Discussion on the characteristics and causes of high fluorine groundwater in southwestern Shandong. Geol. China 2014, 41, 294–302. [Google Scholar]
- GB 5749-2022; Standards for Drinking Water Quality. Standardization Administration: Beijing, China, 2022.
- Ren, F.; Zeng, Z.; Liu, W.; Zhang, C. Relationship between hydrogeochemical environment and occurrence form of fluorine in high fluorine groundwater and prevalence rate of endemic fluorosis—A case study of North China Plain. Acta Geol. Sin. 1996, 17, 85–97. [Google Scholar]
- Yun, Z.; Chen, P.; Bian, J.; Hao, J.; Qin, Y.; Gao, H.; Wang, Y.; Ma, A. Analysis on the current situation of prevention and treatment of endemic fluorosis in Shandong Province. Chin. J. Local Dis. 2003, 22, 384–386. [Google Scholar]
- Shen, Z.; Guo, H.; Xu, G.; Wang, C. Chemical anomalies of groundwater and endemic diseases. J. Nat. 2003, 32, 83–87. [Google Scholar]
- Zhang, F.; Wen, D.; Guo, J.; Zhang, E.; Hao, A.; An, Y. Progress and prospect of geological environment research in major local disease areas in China. Geol. China 2010, 37, 551–556. [Google Scholar]
- He, J.; Zhang, F.; Han, S.; Li, X.; Yao, X.; Zhang, H. Distribution characteristics and Genesis of High Fluorine groundwater in North China. Geol. China 2010, 37, 621–625. [Google Scholar]
- Lozsvath, D. Fuoride and environmental health: A review. Rev. Environ. Sci. Biotechnol. 2008, 22, 4–37. [Google Scholar]
- Cao, Y.; Qi, J.; Xiong, S. Hydrogeological characteristics and countermeasures of preventing fluoride and improving water in fluorosis areas of Jilin Province. Geol. China 2010, 37, 690–694. [Google Scholar]
- Yuan, L.; Wang, J.; Ma, C.; Guo, S. Soil fluorine forms and remediation of fluorine-contaminated soils. J. Appl. Ecol. 2019, 30, 10–20. [Google Scholar]
- Fung, K.F.; Zhang, Z.Q.; Wong, J.W.C. Aluminium and fluoride concentrations of three tea varieties growing at Lantau Island, Hong Kong. Environ. Geochem. Health 2003, 25, 219–232. [Google Scholar] [CrossRef] [PubMed]
- Lan, D.; Wu, D.; Li, P.; Wang, T.; Chen, C.; Wang, W. Influence of high-fluorine environmental background on crops and human health in hot spring-type fluorosis-diseased areas. Chin. J. Geochem. 2008, 27, 335–341. [Google Scholar] [CrossRef]
- Li, J.; Xie, Z.; Xu, J.; Wu, W. Preliminary study on soil health quality index and evaluation method of fluorine in China. J. Zhejiang Univ. 2005, 31, 593–597. [Google Scholar]
- Abu Rukah, Y.; Alsokhny, K. Geochemical assessment of groundwater contamination with special emphasis on fluoride concentration, North Jordan. Chem. Der Erde 2004, 64, 171–181. [Google Scholar] [CrossRef]
- Zhang, H. Dynamic experimental study on the law of fluorine transport in the soil of Yuncheng Basin. Geol. China 2010, 37, 686–689. [Google Scholar]
- Meenakshi, R.C. Fluoride in drinking water and its removal. J. Hazard. Mater. 2006, 137, 456–463. [Google Scholar] [CrossRef] [PubMed]
- Meng, Y.; Ren, D.; Zhang, X.; Xie, M.; Ye, J.; Zhang, S. Morphological distribution characteristics and influencing factors of fluorine in woodland soil. Environ. Sci. Technol. 2019, 9, 98–105. [Google Scholar]
- Tu, C.; He, L.; Cui, L.; Zhang, Q.; Zeng, Q.; Pan, X.; Guo, S. Environmental geochemical behavior of fluorine and its impact on ecological environment. J. Appl. Ecol. 2019, 30, 21–29. [Google Scholar]
- Rango, T.; Kravchenko, J.; Atlaw, B.; Mccornick, P.G.; Jeuland, M.; Merola, B.; Vengosh, A. Groundwater quality and its health impact: An assessment of dental fluorosis in rural inhabitants of the main Ethiopian rift. Environ. Int. 2012, 43, 37–47. [Google Scholar] [CrossRef] [PubMed]
- Aiuppa, A.; Franco, A.; Glasow, R.V.; Allen, A.G.; Valenza, M. The tropospheric processing of acidic gases and hydrogen sulphide in volcanic gas plumes as inferred from field and model investigations. Atmos. Chem. Phys. 2007, 7, 1441–1450. [Google Scholar] [CrossRef]
- Serap, E.; Buchanan, S.N. A quantitative look at fluorosis, fluoride exposure, and intake in children using a health risk assessment approach. Environ. Health Perspect. 2005, 113, 111–117. [Google Scholar]
- Tan, L.; Wang, Z.; Xue, Z.; Yang, B. Spatial variability characteristics and pollution risk assessment of soil fluorine in the core water source area of the middle route of South-to-North Water transfer. Resour. Sci. 2021, 43, 368–379. [Google Scholar]
- White, J.G.; Welch, R.M.; Norvell, W.A. Soil Zinc map of the USA using geostatistics and geographic information and systems. Soil Sci. Soc. Am. J. 1997, 61, 185–194. [Google Scholar] [CrossRef]
- Yang, Z. Classification of Hydrogeochemical Genetic Types of Fluorosis Study on the Theory and Method of Environmental Hydrogeology; Geological Publishing House: Beijing, China, 1987; Volume 13–17. [Google Scholar]
- Zhang, N. Study on the distribution of soil fluorine content and its influencing factors in Shanxi Province. Acta Soil Sin. 2001, 38, 284–287. [Google Scholar]
- Bole, H.J.; Fukai, R. The Natura Environment and the Biogeochemical Cycles; Springer-Verag: New York, NY, USA; Berlin/Heidelberg, Germany, 1982. [Google Scholar]
- Li, S.; Luan, W.; Han, T.; Song, Z.; Cui, X. Analysis on the source of soil fluorine in the plain of central and southern Hebei. Geol. China 2012, 39, 794–802. [Google Scholar]
- Li, P.; Chen, F.; Du, G.; Tao, C.; Liu, C.; Liu, K. Characteristics and influencing factors of fluorine content in soils along the Wohe River in Anhui Province. Geophys. Geochem. Explor. 2020, 44, 426–434. [Google Scholar]
- Li, Y.; Wang, S.; Nan, Z. Accumulation, fractionation and health risk assessment of fluoride and heavy metals in soil-crop sys-tems in northwest China. Sci. Total Environ. 2019, 663, 307–314. [Google Scholar] [CrossRef]
- Huang, C.; Cong, Y.; Chen, Y.; Yang, Z.; Hou, Q.; Zhou, J.; Wang, J.; Li, D.; Wang, H.; Zhang, M.; et al. Soil fluorine content and its influencing factors in Linfen-Yuncheng Basin, southern Shanxi. Geol. Bull. 2007, 26, 878–884. [Google Scholar]
- Lee, S. Geochemistry and partitioning of trace metals in paddy soils affected by metal mine tailings in Korea. Geoderma 2006, 135, 26–37. [Google Scholar] [CrossRef]
- Hori, H.; Nagaoka, Y.; Yamamoto, A. Efficient decomposition of environmentally persistent perfluorooctanesulfonate and related fluorochemicals using zerovalent iron in subcritical water. Environ. Sci. Technol. 2006, 40, 1049–1054. [Google Scholar] [CrossRef] [PubMed]
- Hou, T.; Feng, H.; Yang, Z.; Wang, Z. Geochemical characteristics and influencing factors of soil F in Huantai area of Shandong Province. Geol. Bull. 2021, 40, 1584–1591. [Google Scholar]
- Wan, J.; Hao, Q.; Gong, G.; Su, C.; Cui, Y.; Wang, Q. Analysis on the distribution and causes of high fluorine water in southwestern Shandong. Mod. Geol. 2013, 27, 448–453. [Google Scholar]
- Lu, M.; Wu, E.; Li, M. Hydrogeochemical study on the genesis of shallow high-fluorine groundwater in southwestern Shandong. Coal Geol. Explor. 2001, 29, 39–44. [Google Scholar]
- Liu, C.; Wang, W.; Yang, L.; Zhu, H.; Guo, Y.; Ma, Y.; Guo, J.; Liu, B. Fluorine enrichment law and driving mechanism of groundwater in Shandong Province. Acta Geol. Sin. 2021, 95, 1962–1972. [Google Scholar]
- Zhou, Z. Study on Spatial Variability and Influence Mechanism of Soil Salinity in Low Plain around Bohai Sea; Chinese Academy of Geological Sciences: Beijing, China, 2012. [Google Scholar]
- Wang, Z. Geostatistics and Its Application in Ecology; Science Press: Beijing, China, 1999; pp. 65–78. [Google Scholar]
- Pang, X.; Dai, J. Multi-Objective Regional Geochemical Atlas of the People’s Republic of China (Shandong Province); Geological Publishing House: Beijing, China, 2010; pp. 34–35. [Google Scholar]
- Zeng, J. Geochemistry of Fluorine in Shallow Groundwater System in Unsaturated Zone—A Case Study of Xingtai Piedmont Plain in Hebei Province; Chinese Academy of Geological Sciences: Beijing, China, 1994. [Google Scholar]
- GB 15618-2018; Soil Environmental Quality Standard for Agricultural Land. Ministry of Ecology and Environment: Beijing, China, 2018.
- Wu, J.; Li, Y.; Li, Z.; Fang, Z.; Zhong, Y. Spatial distribution characteristics and influencing factors of organic matter and trace elements in farmland soil in Nansihu District. Acta Ecol. Sin. 2014, 34, 1596–1605. [Google Scholar]
- Wang, B.; Mao, R.; Cao, J.; Wang, Y.; Gao, Y.; Li, D. Spatial variability of heavy Metals in farmland in Haihe low Plain—A case study of Feixiang County, Hebei Province. Acta Ecol. Sin. 2006, 26, 4082–4096. [Google Scholar]
- Li, H.; Wang, Z.; Wang, Q. Theory and methodology of spatial heterogeneity quantification. Chin. J. Appl. Ecol. 1998, 9, 651–657. [Google Scholar]
- DZ/T 0295-2016; Specification for Geochemical Evaluation of Land Quality. Geological Publishing House: Beijing, China, 2016.
- Jiao, Y.; Bao, D.; Yin, C. Soil geochemistry of fluorine. Soil Bull. 2000, 31, 251–255. [Google Scholar]
- Yang, Z.; Cheng, H.; Xi, X.; Liu, A. Ideas and suggestions for regional eco-geochemical evaluation. Geol. Bull. 2005, 24, 687–693. [Google Scholar]
- Jining Investigation Team of Jining National Bureau of Statistics. 2020 Jining Statistical Yearbook; China Statistics Press: Jining, China, 2021. [Google Scholar]
- Heze Investigation Team of the National Bureau of Statistics of Heze Municipal Bureau. 2020 Jining Statistical Yearbook; China Statistics Press: Heze, China, 2021. [Google Scholar]
Disclaimer/Publisher’s Note: The statements, opinions and data contained in all publications are solely those of the individual author(s) and contributor(s) and not of MDPI and/or the editor(s). MDPI and/or the editor(s) disclaim responsibility for any injury to people or property resulting from any ideas, methods, instructions or products referred to in the content. |
© 2023 by the authors. Licensee MDPI, Basel, Switzerland. This article is an open access article distributed under the terms and conditions of the Creative Commons Attribution (CC BY) license (https://creativecommons.org/licenses/by/4.0/).















