Abstract
Floods have become increasingly frequent and pose more significant risks in delta plains due to rapid urbanization. While previous studies have primarily focused on urban flood management, there has been a limited exploration of coordinated flood control strategies that encompass cities, regions, and basins holistically. In response to this gap, our research aims to quantitatively assess flood control coordination under various scheduling rules and propose optimized strategies to enhance this coordination. Using the Wu-Cheng-Xi-Yu region as our case study, we observed that flood characteristics under different flood control coordination schemes varied slightly, especially the FI. Moreover, the effectiveness of different scheduling optimization schemes varied across different levels. Specifically, at the basin–region, basin–city, and region–city levels, Schemes S8, S7, and S5 demonstrated the highest coordination coefficients, with values of 0.80, 0.67, and 0.68, respectively. In comparison to the current scheduling Scheme (S0), these schemes resulted in significant improvements in flood coordination, with enhancements of 0.68, 0.37, and 0.22, respectively. Furthermore, our findings indicate that the most effective approach to strengthening flood control coordination involves implementing scheduling measures that reduce urban drainage while simultaneously improving the discharge capacity of the basin. Our results could help to alleviate the contradictions of flood control at different levels and provide a solid guarantee for water security.
1. Introduction
The intensification of extreme rainfall events and alterations in land surfaces due to urbanization have led to significant changes in regional water cycle processes, resulting in more frequent occurrences of flooding [1,2,3]. Globally, flooding stands as a substantial hazard, with the resulting losses accounting for more than half of the damages caused by various natural disasters [4,5,6]. In 2021, direct economic losses attributable to floods in China alone constituted a staggering 73.62% of the total economic losses incurred from natural disasters [7]. This underscores the substantial impact of flooding on modernization and sustainable development efforts. Consequently, there is a pressing need for dedicated research and initiatives focused on flood prevention and mitigation within the context of contemporary social and economic development.
The delta plains are distinguished by their dense rivers and numerous water management infrastructure projects. Previous research has demonstrated the substantial influence exerted by the construction and operation of flood control projects on the spatial dynamics of urban flooding [8,9,10]. The combination of intensive hydraulic project operations and a lack of coordination across diverse regions has given rise to conflicts in flood control pressures among watersheds, cities, and regions. Specifically, insufficient drainage capacity in hydraulic projects managing external watershed drainage results in heightened flood control pressures within the watershed. Conversely, excessive drainage capacity in urban hydraulic projects leads to the accumulation of excess water at the city’s outskirts, exacerbating flood control pressures in those areas [11]. Effectively coordinating flood control relationships among cities, regions, and basins represents a pressing challenge.
Unfortunately, previous research has predominantly concentrated on optimizing the operation of major flood control initiatives within individual basins, regions, and cities, with limited consideration of a comprehensive approach spanning all three levels. Within the domain of regional or basin flood control project scheduling, much literature has emerged, particularly concerning the optimization of reservoir flood control strategies [12,13,14]. Concurrently, in response to the escalating challenges posed by urban flooding, both domestic and international scholars have conducted extensive investigations into urban flood control and waterlogging project scheduling [15,16,17]. For example, Yazdi et al. [18] introduced a comprehensive scheduling algorithm to determine the optimal operational schemes for each pump within urban settings. Similarly, Ye et al. [19] employed simulations to assess flooding responses under various rainfall and scheduling scenarios, offering insights into river overflow dynamics on a community scale. However, the expansion of urban agglomerations has resulted in an incrementally more significant influence of cities on the surrounding regions [20]. Changes in urban flooding dynamics not only impact the city but also necessitate substantial adjustments in the flooding patterns of the broader region and basin.
Most of the above studies used storm flood models to simulate the changes in flood processes under various project dispatch scenarios. Storm flood modeling is a rational and effective approach for understanding intricate flooding processes, primarily relying on hydrological and hydraulic models [21,22]. Hydrological models, such as HEC-HMS and SWAT, excel at assessing the impact of urbanization-induced land use changes on flood dynamics, typically used for broader watershed or sub-watershed scale modeling [23,24,25]. In contrast, hydraulic models like InfoWorks, SWMM, and MIKE have more demanding requirements, including precise initial and boundary conditions, and involve a more intricate modeling process [26,27]. As a result, they are particularly useful for flat terrains characterized by extensive drainage networks, gates, and pumps [28,29]. For example, SWMM is designed for modeling urban stormwater systems and simulating the quantity of stormwater runoff, typically applied on an urban/suburban scale [30]. InfoWorks is a versatile software package for integrated urban drainage and wastewater system modeling, although it may be less suitable for riverine or large-scale flood modeling [31]. The MIKE model, on the other hand, allows users to define complex hydraulic structures, specializing in river and open channel modeling, making it a reliable choice for flood management in regions with dense river networks [32,33].
We have conducted simulations of the flooding process under various combinations of engineering operation modes for watersheds, regions, and cities using the MIKE 1D model. Through these simulations, we quantitatively assessed flood control coordination at different levels and aimed to identify the most effective engineering operation modes for mitigating flood control pressures across these different levels. Our research is designed to provide valuable insights for the construction and operation of flood control projects, ultimately addressing the challenges posed by flood control in urbanized delta plains, spanning urban, regional, and basin levels.
2. Materials and Methods
2.1. Study Area
The Wu-Cheng-Xi-Yu (WCXY) region, situated within the Taihu Plain in eastern China, serves as a representative water conservancy area (Figure 1a). It spans approximately 3615 km2 and is bounded by the Yangtze River to the north and Taihu Lake to the south. This region is characterized by a complex network of rivers and has experienced rapid urbanization, emerging as one of China’s fastest-growing urban centers. In this region, rainfall is most prevalent between April and October, and flooding events are primarily linked to extended periods of heavy rain and the influence of typhoons. Notably, the western areas experience higher levels of extreme rainfall intensity compared to the eastern regions (Figure 1c).
Figure 1.
Location and land patterns of WCXY region (a), diagram of flood control in WCXY region (b), spatial distribution of extreme rainfall (c), and locations of rainfall and water level stations (d).
In response to the escalating threat of flood disasters, the study area has witnessed the construction of a multifunctional water conservancy project system in recent years (Figure 1). At the basin level, a flood control strategy has been devised featuring containment lines designed to deter external flood ingress. On the regional scale, the WCXY region has been divided into two distinct regions, namely the Wu-Cheng-Xi region (characterized by low terrain) and the Cheng-Xi-Yu region (comprising higher terrain). This division, demarcated by the Baiqugang control line, serves to prevent the encroachment of water from high-lying areas into lower-lying regions. Floodwaters are primarily directed into the Yangtze River through the northern main river channels and pumps, with a smaller portion being discharged eastward into the Wangyu River.
At the city level, the implementation of urban flood control projects in Changzhou and Wuxi, known as the Large Encirclement Flood Control Projects (LEFCPs), has significantly bolstered the flood control capabilities of these urban areas (Figure 1d). Within the LEFCPs, there are a total of 17 hydraulic facilities situated at the confluences of urban rivers and external flood channels. These facilities collectively manage a drainage flow of 730 m3/s. The operational protocol for the LEFCPs stipulates that when the water level at a given station surpasses the warning level (i.e., the control water level) specified in the scheduling rule, the hydraulic facilities initiate water discharge to the exterior.
Notably, the Sunan Canal, a southern segment of the renowned Beijing–Hangzhou Grand Canal in China, interconnects these cities and plays a pivotal role in flood control. During periods of heavy rainfall, excess water within the city is channeled into the Sunan Canal. Consequently, the water level in Wuxi along the Sunan Canal exceeded historical extremes for three consecutive years from 2015 to 2017. This highlights the mounting conflict between flood control and drainage within the basin, the region, and the city.
2.2. Methods
2.2.1. Hydrodynamic Model
To simulate storm flood processes in plains, we utilized the MIKE 1D model as the computational foundation. The hydrodynamic model of the river network is developed by leveraging the hydrodynamic module (HD) within MIKE 1D; it computes the unsteady flow within the river using the implicit finite difference format [34]. This approach is particularly suitable for modeling vertical homogeneous flows within delta plains. The governing equations applied in this method are the 1-D Saint Venant equations, which include the mass conservation continuity equation and the energy conservation momentum equation, expressed as follows:
where Q is the response to the flow along the river section (m3/s); x is the distance coordinate (m); A is the cross-sectional area of the river (m2); t is the time coordinate (s); q is the lateral inflow flow per unit length (m3/s); g is the acceleration of gravity (m/s2); h is the water level (m); C is the Chezy coefficient; and R is the hydraulic radius.
The MIKE 1D model comprises several components, including river networks, river cross-sections, boundary conditions, water level (flow) data, hydraulic structures, and operation rules of water projects. These components are interconnected through the river network file. To assess the model’s performance, the simulation results were evaluated using two key metrics: the Relative Root-Mean-Square Error (RRMSE) and the Nash-Sutcliffe Efficiency Coefficient (ENS).
The expressions are as follows:
where n is the number of the observed data; is the observed water level; is the simulated water level; and is the average observation. When the value of ENS is larger than 0.70 and the value of RRMSE is less than 0.3, the simulation effect is good.
2.2.2. Flood Indicators
In this study, we utilized flood indicators, specifically the slope of the flow duration curve (SFDC) [35], the rising climb slope (RCS) [36], and the flashiness index (FI) [37], to elucidate the impact of urbanization on alterations in the flood process. These indicators provide insights into changes in the overall amplitude, the rate of water level rise, and process volatility (Table 1).
Table 1.
Descriptions of the flood indicators.
2.2.3. TOPSIS Coordination Evaluation Model
The Technique for Order Preference by Similarity to an Ideal Solution (TOPSIS) coordination evaluation model is widely employed to address decision problems involving multiple evaluation criteria and multi-attribute objectives [38]. This model operates on the principle of selecting alternatives that simultaneously exhibit the shortest distance from the positive ideal solution while maintaining the farthest distance from the negative ideal solution [39]. In our study, we utilized the TOPSIS coordination comprehensive evaluation model to quantitatively assess the degree of coordination among various scheduling schemes.
Due to the different types, dimensions, and attribute values of the decision attributes, the attribute values needed to be normalized in decision-making. The normalized decision matrix B = (bij)m×n used is formed as follows:
where aij and bij are the original and normalized scores of the decision matrix, respectively.
To construct the weighted normalized matrix C = (Cij) m×n, the weight vector, i.e., w = [w1, w2, w3… wn]T, was calculated by the entropy weight method. The weighted normalized matrix C is formed as follows:
The distance from the positive ideal solution () and negative ideal solution () were calculated as follows:
where is the positive ideal solution and is the negative ideal solution in criterion j.
The relative closeness to the ideal solution, i.e., the coordination coefficient , was calculated as follows:
where ranges from 0 to 1. The alternative with closest to 1 was selected.
2.3. Data Description
Daily rainfall data were obtained from the Taihu Hydrological Yearbook from 1980 to 2018. These data were then processed to extract annual maximum 1-day rainfall values, which were used to estimate the 100-year rainfall. Additionally, hourly rainfall and water level data covering the period from 2015 to 2020 were collected through telemetry devices by local authorities. The consistency, accuracy and reliability of the rainfall and water level data were verified by the local authorities.
The river network data were originally sourced from digital line graphics created in the 2010s at a 1:50,000 scale and were subsequently refined using high-precision imagery. Operational guidelines for key sluices and pumps were obtained from the Changzhou and Wuxi Branches of the Jiangsu Hydrological Bureau, China.
3. Results
3.1. Modeling the Hydrological Process Based on a MIKE Model
3.1.1. Model Construction
The MIKE 1D model was employed for the simulation of hydrological processes within the plain’s river network. Based on the spatial distribution of the main rivers, the river network in the WCXY region was generalized into 182 river channels (Figure 2). Given the flat terrain, the Euclidean distance allocation method was utilized in this study to partition the runoff plots. This method associated each pixel in the area with its nearest river channel, resulting in the creation of runoff plots for each river channel. Subsequently, the boundaries of these runoff plots were fine-tuned using the river distribution and the locations of flood control projects. Ultimately, a total of 113 runoff plots were delineated, and the water from each plot was assigned to the nearest river channel based on proximity principles (Figure 2).
Figure 2.
Locations of sluices and runoff plot distribution.
According to the generalized river channels, our study inserted relevant sluices into the model in the format of controllable hydraulic structures, and then set the operation rules of these sluices. There are many sluices along the Yangtze River in the WCXY region with huge drainage potential. The study area includes two important LEFCPs: one is located in Changzhou, which covers an area of 156 km2; the other is located in Wuxi, which covers an area of 144 km2. The basic information of the scheduling rules is shown in Tables S1 and S2.
3.1.2. Model Calibration and Validation
In this study, the Thiessen Polygon method was employed to allocate rainfall processes to the respective runoff plots, considering the spatial variability of rainfall. For model calibration, two heavy storm events, occurring on 21–24 June and 28 September–3 October, were selected for data from four stations (namely Changzhou, Cailinggang, Chenshu, and Luoshe). To validate the model, two heavy storm events during 1–5 July and 14–18 September 2016 were chosen.
The calibration and validation results of the MIKE 1D model are depicted in Figures S1 and S2. The water level fluctuations simulated at each monitoring station closely corresponded to the observed data. The average ENS of these stations was 0.86, and the average RRMSE was 0.04 during the calibration period. For the validation period, the average ENS was 0.80, and the average RRMSE was 0.06. It was shown that the constructed MIKE 1D model exhibited a high simulation accuracy.
3.2. Simulation of Flood Characteristics under Different Scheduling Rules
3.2.1. Scheduling Scheme Scenarios
At the basin and city levels, the scheduling strategy was refined with a fundamental principle of enhancing drainage from the basin while reducing it from the city. Specifically, the basin’s scheduling plan was improved by strategically lowering its control water level, thereby increasing outward drainage. This measure mitigated the issue of elevated water levels throughout the basin. On the other hand, optimizing the urban scheduling scheme involved judiciously elevating the control water level within the city to utilize its water storage capacity. In essence, this allowed the city to contribute to flood risk reduction by sharing the burden of external flood pressures.
Schedule rules in the different optimal schemes are shown in Table 2.
Table 2.
Schedule rules in the different optimal schemes.
- (1)
- Scheme S0 refers to the present scheduling scheme.
- (2)
- Scheme S1 and Scheme S2 were urban optimal scheduling schemes, mainly examining the impact of controlled water level changes in the LEFCPs on the coordination of flood control.
Using the year 2000 as a dividing point, we calculated the increase in urban water levels before and after urbanization. We then utilized 50% and 100% of this rise in water levels as incremental values for the inner control water level of the LEFCPs. This process resulted in the creation of two scheduling schemes (i.e., S1 and S2) for urban flood control projects.
- (3)
- Scheme S3 and Scheme S4 were the optimal scheduling schemes of the basin (water conservancy region), mainly examining the impact of controlled water level changes in sluices along the Yangtze River on the coordination of flood control.
Using the year 2000 as a dividing point, we calculated the average increase in water levels at representative stations in the WCXY region before and after urbanization. Subsequently, we employed 50% and 100% of this rise in water levels as reduction values for adjusting the control water level within the basin. This process resulted in the creation of two scheduling schemes (i.e., S4 and S3) for basin-level flood control.
- (4)
- Scheme S5, Scheme S6, Scheme S7, and Scheme S8 were the simultaneous optimal scheduling schemes of the city and basin, mainly examining the effect of combined optimal scheduling of the city and basin.
Scheme S5 aimed to increase the outward drainage capacity of the basin by 50% while reducing the outward drainage capacity of the city by 50%.
Scheme S6 sought to increase the outward drainage capacity of the basin by 100% while reducing the outward drainage capacity of the city by 50%.
Scheme S7 was designed to increase the outward drainage capacity of the basin by 50% while reducing the outward drainage capacity of the city by 100%.
Scheme S8 involved increasing the outward drainage capacity of the basin by 100% while reducing the outward drainage capacity of the city by 100%.
3.2.2. Flood Characteristics under Different Scheduling Rules
The rainfall event on 16 June 2015 (the ‘20150616′ event) had a high intensity, short duration, and wide coverage, which was a rare heavy rainfall process in our region. The flooding process of this event was thus adopted as a typical case, and the MIKE 1D model was adopted to simulate the flood process under different scheduling rules with a 100-yr return period.
The differences in water levels inside and outside the LEFCPs in Changzhou and Wuxi under nine dispatching schemes are shown in Figure 3. Comparing these schemes to Scheme S0, Schemes S2, S7, and S8 stand out by significantly reducing both the mean and maximum water level differences between the inner and outer urban areas. Conversely, the other schemes exhibit limited effects on this difference. Notably, Scheme S2 represents an urban optimization scheme, while Schemes S7 and S8 are simultaneous optimization schemes for both the city and water conservancy area. All three of these schemes effectively decrease the urban discharge capacity.
Figure 3.
Differences in water levels inside and outside the LEFCPs of Changzhou (a) and Wuxi (b) under different scheduling rules. The transition from blue to red represents an increase in values. The blue squares represent outliers.
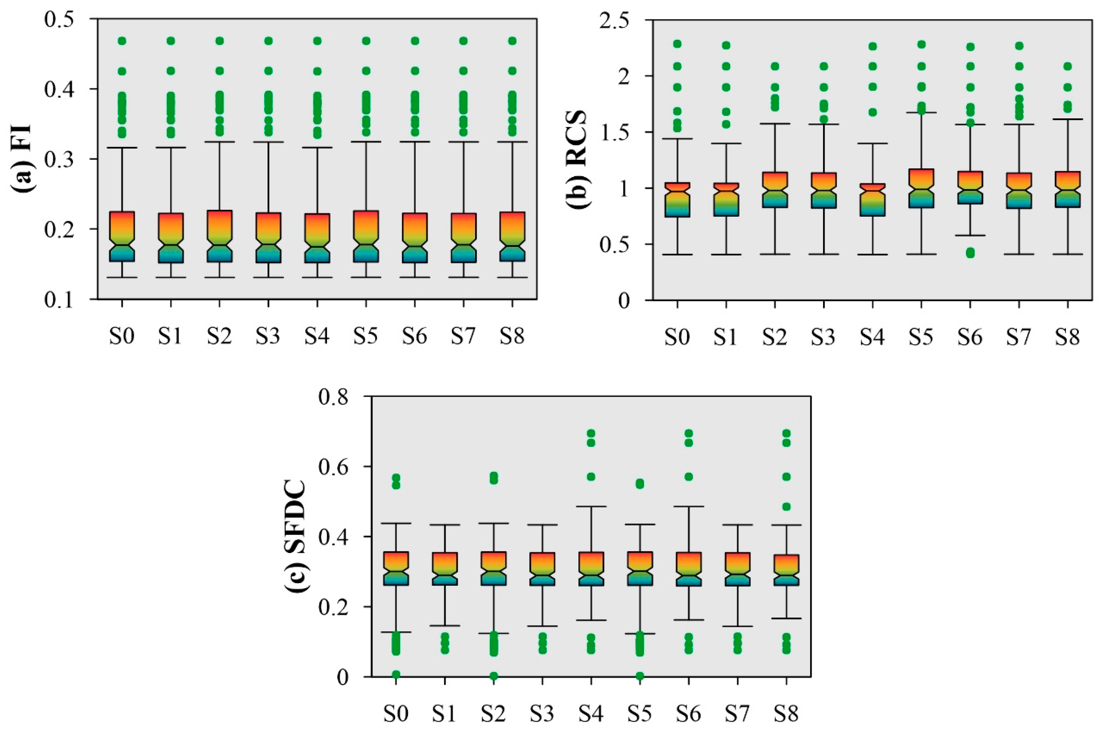
The flood characteristics under different scheduling rules varied slightly, especially the FI (Figure 4). The mean values of RCS under different scheduling rules were 0.933, 0.933, 0.994, 0.994, 0.932, 1.022, 1.011, 0.997, and 1.002, respectively. The mean value of RCS simulated by Scheme S4 was lower than Scheme S0, and the maximum values of RCS simulated by Scheme S2, Scheme S3, and Scheme S8 were lower than Scheme S0. The mean values of SFDC under different scheduling rules were 0.299, 0.298, 0.298, 0.298, 0.298, 0.305, 0.298, 0.304, 0.299, and 0.304, respectively. The mean values of SFDC simulated by Scheme S1, Scheme S2, and Scheme S5 were lower than Scheme S0, and the maximum values of SFDC simulated by Scheme S1, Scheme S3, Scheme S5, and Scheme S7 were lower than Scheme S0.
Figure 4.
Spatial distribution of flood characteristic indicators under different scheduling rules ((a) FI, (b) RCS, and (c) SFDC). The transition from blue to red represents an increase in values. The green circles represent outliers.
Figure 5 shows the spatial variation of RCS and SFDC under different scheduling rules. The RCS of the external rivers of the LEFCP in Changzhou in Scheme S4 increased significantly. Scheme S4 only optimized the scheduling scheme of the basin (water conservancy region), while the scheduling scheme of the LEFCP maintained the current status, resulting in a high capacity of the outward drainage from the LEFCP; although this effectively reduced the water level inside the LEFCP, it increased the water level and RCS outside the LEFCP. The simulation results of S2, S7, and S8 indicated that the SFDC of the internal rivers of the LEFCP in Changzhou increased slightly. This was because these three schemes increased the control water level in the LEFCP scheduling scheme, and reduced the urban outward drainage capacity, resulting in an overall increase in the flood process of the internal rivers of the LEFCP.
Figure 5.
Spatial distributions of flood characteristic indicators under different scheduling rules.
3.3. Coordination of Flood Control under Urbanization
3.3.1. Flood Control Coordination Assessment Index System and Weights
The effectiveness and performance of different flood control schemes, as well as their suitability for coordination among cities, regions, and basins, were evaluated using the Technique for Order Preference by Similarity to an Ideal Solution (TOPSIS) method. The index system comprises various criteria, each assigned a weight that signifies its relative importance in the evaluation process. Reflecting the flood control requirements at various levels, including basin–region, basin–city, and region–city, the flood characteristic indicators for the basin, representative region, and urban area under each optimal scheduling scheme served as the evaluation criteria. The TOPSIS model was applied to assess the flood control coordination for each scheme. The spatial distribution of representative cross sections for the basin, typical regions, and cities is illustrated in Figure 6.
Figure 6.
Spatial distribution of cross-sections representing basins, regions, and cities in the construction of flood control coordination evaluation.
The coordination evaluation was based on the established index system for coordination. The optimal values achievable by the flood indicators for the basin, region, and city in the nine scheduling schemes were determined. A combination of these optimal values was considered the optimal solution. Subsequently, the relative distances of each scheme from both the optimal solution and the worst solution were calculated. These relative distances were then used to calculate the coordination coefficients for the nine scheduling schemes, forming the basis for coordination evaluation.
3.3.2. Flood Control Coordination between Basin and Regions
The challenge of coordinating flood control between the basin and regions primarily arises due to the inadequacy of their drainage infrastructure, resulting in increased flood control pressure within the basin and specific regions. At the basin level, lower water levels at key nodes translate to reduced overall flood control pressure, thereby promoting coordination between the basin and regions. At the region level, lower water levels at representative stations in each sub-region contribute to the alleviation of regional flood control pressure. The flood characteristic indicators for the basin and regions under each optimal scheduling scheme were employed as the evaluation criteria. The weights for these criteria were determined using the entropy weight method (Table 3). All indicators had negative values, signifying that smaller indicator values corresponded to higher levels of coordination.
Table 3.
Weightings of the flood control coordination between basin and regions.
Figure 7 presents histograms illustrating the distances of each scheme from the positive and negative ideal solutions at different levels, along with radar plots displaying the coordination coefficients. At the basin–region level (Figure 7a,b), the city and basin simultaneous optimization scheme (S8) exhibited distances of 0.005 and 0.019 to the positive and negative ideal solutions, respectively. Notably, S8 was the scheme closest to the positive ideal solution and farthest from the negative ideal solution among all of the schemes. Moreover, the coordination coefficient for S8 was 0.80, signifying a significant enhancement in basin–region flood coordination (0.68) compared to S0 (0.12). Scheme S8′s objective was to increase the basin’s outward drainage capacity by 100% while simultaneously reducing the city’s outward drainage capacity by 100%.
Figure 7.
Results of schedule rules of TOPSIS strengthening the coordination flood control between basins and regions (a,b), basins and cities (c,d), and regions and cities (e,f).
3.3.3. Flood Control Coordination between Basin and Cities
The existing challenge of coordinating flood control between basins and cities primarily arises from excessive urban outward drainage, resulting in heightened flood control pressure in peripheral city areas. At the basin level, lower water levels at key nodes translate to reduced overall flood control pressure, promoting basin–city coordination. On the city level, lower flood characteristics within the LEFCP enhance urban flood control security. However, excessively prioritizing urban internal safety will inevitably raise flood control pressure on the city outskirts and potentially across the entire basin. Thus, it is necessary to moderately increase the flood pressure that the city can manage, specifically by appropriately raising SFDC while ensuring RCS remains within reasonable limits. In this context, SFDC at the city level is considered a positive indicator, while the rest are negative indicators (Table 4).
Table 4.
Weightings of the flood control coordination between basin and cities.
In the context of basin–city flood control coordination (Figure 7c,d), the city and basin simultaneous optimization scheme (S7) exhibited distances to the positive and negative ideal solutions of 0.007 and 0.015, respectively. This scheme stood out as the closest to the positive ideal solution and the farthest from the negative ideal solution among all of the schemes. The coordination coefficient for S7 was 0.67, representing a significant improvement in basin–city flood coordination (0.37) compared to the baseline S0 (0.30). Scheme S7 aimed to enhance the outward drainage capacity of the basin by 50% while reducing the outward drainage capacity of the city by 100%, resulting in significant optimization for both the city and the basin.
3.3.4. Flood Control Coordination between Regions and Cities
The main problem with the current flood control coordination between region and city is the high pressure on flood control in the peripheral areas of the city due to excessive drainage from the city. Similarly, increasing the SFDC in urban areas, while ensuring that the RCS is not too high, increases the flood pressure that the city can withstand. We herein set the SFDC at the city level as a positive indicator, while the others were negative indicators. Table 5 shows the index system of flood control coordination between region and city under each optimal scheduling scheme.
Table 5.
Weightings of the flood control coordination between regions and cities.
For the region–city level (Figure 7e,f), the distances to the positive and negative ideal solutions for the city and basin simultaneous optimization scheme (S5) were 0.007 and 0.014, respectively, and this scheme was the closest to the positive ideal solution and the farthest from the negative ideal solution among all the schemes. The coordination coefficient of S5 was the highest, reaching 0.68. Scheme S5 aimed to increase the outward drainage capacity of the basin by 50% and reduce the outward drainage capacity of the city by 50%, which optimized both the city and the basin significantly. The specific scheduling optimization scheme is shown in Table S3.
Overall, different scheduling optimization schemes had varying effects on improving coordination at different levels. For the basin–region level, the schemes that were beneficial to flood control coordination were ranked as S8 > S6 > S3 > S7 > S5 > S2 > S4 > S1 > S0. For the basin–city level, the schemes that were beneficial to flood control coordination were ranked as S7 > S3 > S6 > S8 > S5 > S2 > S4 > S0 > S1. The optimal scheduling of cities and basin simultaneously had the best effect on improving coordination, followed by basin optimization schemes, and the improvement effect of urban optimization schemes was relatively weak. For the regional–city level, the schemes favoring flood control coordination were S5 > S7 > S2 > S0 > S6 > S3 > S8 > S4 > S1. The optimal scheduling of cities and basins simultaneously (i.e., S5–S8) had the most significant effect on enhancing coordination, followed by urban optimization schemes (i.e., S1 and S2), while the effect of basin optimization schemes (i.e., S3 and S4) was relatively weaker. Therefore, implementing scheduling measures that reduced the discharge capacity of the city and improved the discharge capacity of the basin (water conservancy region) was the best combination of measures for strengthening flood control coordination and increasing overall flood control benefits.
4. Discussion
4.1. Method Design
The MIKE 1D model offers significant modeling advantages when dealing with plain regions characterized by numerous rivers and hydraulic structures. This model is well-suited for simulating the dynamic changes resulting from various flood control projects, such as gates, pumps, and culverts, in urbanized areas. It is commonly employed in tasks related to flood forecasting, urban flood risk management, and the optimal scheduling of water projects [40,41,42]. For instance, Hu et al. [11] employed the MIKE 1D model to investigate flood responses to extreme scenarios and assess future flood risks in Suzhou City under the backdrop of climate change. Wang et al. [43] utilized the MIKE 1D model to simulate inundation scenarios with different return periods. Additionally, Lu et al. [33] applied the MIKE 1D model to simulate water level variations in the WCXY region of the Taihu Plain under varying combinations of rainfall conditions and urbanization levels. Previous research has demonstrated that MIKE 1D is characterized by computational stability, high accuracy, and reliability, making it an effective tool for conducting storm flood simulation studies in delta plain areas.
Besides MIKE 1D, MIKE 2D is also developed by the DHI (Danish Hydraulic Institute); both are modeling tools employed for simulating hydrodynamic processes in water bodies, each tailored to distinct hydraulic modeling tasks. MIKE 1D excels at representing horizontal variations in water flow within channels, making it ideal for linear or nearly linear water bodies where intricate hydraulic characteristics within channels demand detailed modeling. Notably, MIKE 1D models generally exhibit lower computational complexity, resulting in expedited simulations. In contrast, MIKE 2D finds its niche in modeling extensively distributed water bodies characterized by intricate horizontal and vertical variations, particularly when precise modeling of changes in water surface elevation holds paramount importance. Our study area primarily encompasses a river network with fewer lakes, underscoring the significance of comprehending the hydrological processes within the river. The examination of fluctuations in water levels within the river network proves pivotal for quantifying flood volumes accurately. Moreover, given the vast expanse of our study area, constructing a MIKE 2D model would considerably escalate computational demands, potentially exceeding the capabilities of our current hardware infrastructure. Thus, the selection between MIKE 1D and MIKE 2D hinges upon the specific requirements of hydrological modeling and the complexity of the study area.
4.2. Limitations
The MIKE 1D model, while a powerful tool for hydrodynamic and hydraulic modeling, does have several limitations that should be considered. Firstly, as with any model, the MIKE 1D model simplifies complex real-world systems through assumptions and approximations, potentially missing some nuances. Secondly, the MIKE 1D model is typically best suited for historical analysis and short- to medium-term predictions, and they may not perform optimally for long-term climate change predictions or scenarios significantly different from historical data. Thirdly, the MIKE 1D model often operates at specific scales and resolutions, so scaling up to larger areas or down to smaller details may introduce errors or limitations.
In addition to the limitations of the model itself, this study has specific limitations in its scenario setting. For example, the regulation of flood control capacity in water conservancy projects for watersheds, cities, and regions is achieved by adjusting control water levels in scheduling rules. In this study, control water levels are adjusted as percentages, rather than considering actual water level changes. The extent of control over these water levels can significantly impact model results. Furthermore, the selection of representative water level processes in various geographical locations within watersheds, cities, and regional sections has limitations when evaluating flood control coordination using the TOPSIS model. Multiple impacts should be considered in the selection of representative water level processes.
To address these limitations and advance future research, it is essential to explore more realistic control strategies for water conservancy projects, consider alternative methods for adjusting control water levels, and refine the selection criteria for representative water level processes in different regions. These efforts will lead to a deeper understanding of urban flood control, particularly in the context of rapid urbanization and climate change, thus facilitating more effective and sustainable flood management solutions.
4.3. Implication
Our findings indicate that the most effective combination of measures for enhancing flood control coordination and overall flood control benefits involves implementing measures that reduce the urban external discharge capacity while increasing the external discharge capacity of the basin. Previous studies have also yielded similar results, suggesting that improving regional external drainage capacity and limiting the amount of water discharged outside flood control perimeters can effectively alleviate flood control pressures in urban peripheral areas [44,45]. Wang [46] conducted a quantitative evaluation of 11 operation schemes within the Taihu Lake basin, and the results similarly demonstrated that implementing engineering measures to enhance the drainage capacity of the basin while optimizing urban flood control operations represents the most effective approach to strengthening flood control coordination.
In the context of rapid urbanization, effective coordination and a scientifically driven approach to flood control are paramount, spanning across basins, regions, and cities. Urban flood control should be seamlessly integrated into broader basin and regional flood control strategies. The construction and operation of flood control projects should be guided by the following three key principles:
City-Centric Safety: Urban flood control projects must prioritize the safety of the city itself. Simultaneously, these projects should not exacerbate flood control pressures on surrounding regions, basins, or neighboring cities.
Regional Integration: It is imperative to consider the impact of basin boundary conditions and internal cities when addressing flood control in specific regions. This approach allows for the swift resolution of localized waterlogging issues without disrupting the overall floodwater discharge from the basin.
Basin-Wide Synergy: When planning flood control projects for the entire basin, it is critical to account for the effects of internal flood control efforts within different regions and cities. This comprehensive approach ensures that floods in the main rivers within the basin can be efficiently discharged, creating a safe environment for flood control activities in various regions and cities.
By adhering to these principles, a comprehensive and coordinated flood control strategy can be developed. Such an approach is essential for tackling the challenges posed by rapid urbanization and ensuring the safety and resilience of urban areas and their surrounding regions.
5. Conclusions
We conducted simulations of the flooding process, considering various combinations of engineering operation modes for watersheds, regions, and cities, employing the MIKE 1D model. These simulations formed the basis for our quantitative assessment of flood control coordination at different levels using the TOPSIS model. Our primary objective has been to address the complex challenges associated with flood control across various levels, including the basin, region, and city.
- (1)
- Variations in Flood Characteristics under Different Flood Control Coordination Schemes: Schemes S2, S7, and S8 stand out by significantly reducing both the mean and maximum water level differences between the inner and outer urban areas. The flood characteristics of the flood processes under different scheduling rules varied slightly, especially the FI. With the exception of S4, the RCS means for the other models are higher than S0, and the highest RCS mean is for S5 at 1.022. The SFDC means for most scenarios are lower than S0, and the highest SFDC mean is for S5 at 0.305.
- (2)
- Effect of Different Scheduling Optimization Schemes on Flood Control Coordination at Various Levels: At the basin–region level, Scheme S8 significantly improved flood coordination, achieving a coordination coefficient of 0.68, compared to Scheme S0, which only scored 0.12. Moving to the basin–city level, Scheme S7 demonstrated notable progress with a coordination coefficient of 0.67, signifying a 0.37 improvement over Scheme S0, which scored 0.30. Finally, at the region-city level, Scheme S5 emerged as the most effective, attaining a coordination coefficient of 0.68, indicating a 0.22 improvement over Scheme S0, which scored 0.46. Overall, the optimal scheduling of cities and basins simultaneously had the most significant effect on enhancing coordination, followed by urban optimization schemes, while the effect of basin optimization schemes was relatively weaker.
Through the optimization of artificial regulation strategies for the Large Encirclement Flood Control Projects and the gates along the Yangtze River, we have strived to effectively fulfill the requirements of urban flood control while ensuring the sustainable utilization and management of water resources in the region. Overall, implementing scheduling measures that curtailed urban discharge and bolstered the discharge capacity of the basin emerged as the most effective combination to fortify flood control coordination and augment overall flood control benefits within the WCXY region in the Taihu plain.
To enhance future research, it is imperative to develop more advanced hydrodynamic models and adaptive scheduling strategies that respond to real-time conditions. The integration of climate change projections, multi-hazard analyses, and smart technologies offers promising avenues for further investigation. Additionally, adopting ecosystem-based approaches, examining policy and governance frameworks, and emphasizing community engagement are essential components of comprehensive urban flood management strategies.
Supplementary Materials
The following supporting information can be downloaded at: https://www.mdpi.com/article/10.3390/w15213723/s1. Table S1: Basic information of sluices along the Yangtze River in the WCXY region; Table S2: Basic information of the LEFCP in the WCXY region; Table S3: Scheduling optimization schemes for strengthening coordination of flood control at different levels; Figure S1: The calibration results of the MIKE model; Figure S2: The validation results of the MIKE model.
Author Contributions
Writing—original draft preparation, investigation, methodology, M.L.; writing—review and editing, software, data curation, Z.Y.; supervision, project administration, funding acquisition, C.K., resources, data curation, X.Z. All authors have read and agreed to the published version of the manuscript.
Funding
This work is financially supported by the projects of the National Natural Science Foundation of China (No. 42201128), and Joint Funds of the Zhejiang Provincial Natural Science Foundation of China (Grant No. LZJWY23E090003). We greatly appreciate the editor and reviewers’ insightful comments and constructive suggestions that helped us improve the manuscript.
Data Availability Statement
The data presented in this study are available on request from the corresponding author.
Conflicts of Interest
The authors declare no conflict of interest.
References
- Wang, Q.; Xu, Y.; Cai, X.; Tang, J.; Yang, L. Role of underlying surface, rainstorm and antecedent wetness condition on flood responses in small and medium sized watersheds in the Yangtze River Delta region, China. Catena 2021, 206, 105489. [Google Scholar] [CrossRef]
- Yin, J.; Gentine, P.; Zhou, S.; Sullivan, C.; Wang, R.; Zhang, Y.; Guo, S. Large increase in global storm runoff extremes driven by climate and anthropogenic changes. Nat. Commun. 2018, 9, 4389. [Google Scholar] [CrossRef]
- Winsemius, H.; Aerts, J.; Van Beek, L.; Bierkens, M.; Ward, P. Global drivers of future river flood risk. Nat. Clim. Chang. 2016, 6, 381–385. [Google Scholar] [CrossRef]
- Oddo, P.; Lee, B.; Garner, G.; Srikrishnan, V.; Reed, M.; Forest, E.; Keller, K. Deep uncertainties in sea-level rise and storm surge projections: Implications for coastal flood risk management. Risk Anal. 2020, 40, 153–168. [Google Scholar] [CrossRef] [PubMed]
- Zhou, Z.; Liu, S.; Zhong, G.; Cai, Y. Flood Disaster and Flood Control Measurements in Shanghai. Nat. Hazards Rev. 2016, 18, B5016001. [Google Scholar] [CrossRef]
- IPCC. Climate Change 2013: The Physical Science Basis: Summary for Policymakers; Stocker, T.F., Qin, D., Plattner, G., Tignor, M., Allen, S., Boschung, J., Nauels, A., Xia, Y., Bex, V., Midgley, P., Eds.; Cambridge University Press: Cambridge, UK, 2013. [Google Scholar]
- Liu, Y.; Huang, X.; Yang, H. An integrated approach to investigate the coupling coordination between urbanization and flood disasters in China. J. Clean. Prod. 2022, 375, 134191. [Google Scholar] [CrossRef]
- Harvey, G.; Thorne, C.; Cheng, X.; Evans, E.P.; Han, S.; Simm, J.D.; Wang, Y. Quantitative analysis of future flood risk in the Taihu Basin, China. J. Flood Risk Manag. 2009, 2, 85–100. [Google Scholar] [CrossRef]
- Cheng, X.; Evans, E.; Wu, H.; Thorne, C.; Han, S.; Simm, J.; Hall, J. A framework for long-term scenario analysis in the Taihu Bain, China. J. Flood Risk Manag. 2013, 6, 3–13. [Google Scholar] [CrossRef]
- Dey, P.; Mishra, A. Separating the impacts of climate change and human activities on streamflow: A review of methodologies and critical assumptions. J. Hydrol. 2017, 548, 278–290. [Google Scholar] [CrossRef]
- Hu, Z.; Wang, L.; Tang, H. Prediction of the future flood severity in plain river network region based on numerical model: A case study. J. Hydrodyn. 2017, 29, 586–595. [Google Scholar] [CrossRef]
- Falter, D.; Dung, N.; Vorogushyn, S.; Schroeter, K.; Hundecha, Y.; Kreibich, H.; Apel, H.; Theisselmann, F.; Merz, B. Continuous, large-scale simulation model for flood risk assessments: Proof-of-concept. J. Flood Risk Manag. 2016, 9, 3–21. [Google Scholar] [CrossRef]
- Zhang, S.; Jing, Z.; Li, W.; Yi, Y.; Zhao, Y. Study of the flood control scheduling scheme for the Three Gorges Reservoir in a catastrophic flood. Hydrol. Process. 2018, 32, 1625–1634. [Google Scholar] [CrossRef]
- Jing, Z.; Zhang, R.; Bao, H.; Zhang, S. Joint flood control scheduling strategy of large cascade reservoirs: A case study of the cascade reservoirs in the upper reaches of the Yangtze River in China. J. Flood Risk Manag. 2022, 15, e12802. [Google Scholar] [CrossRef]
- Chen, W.; Wang, W.; Huang, G.; Wang, Z.; Lai, C.; Yang, Z. The capacity of grey infrastructure in urban flood management: A comprehensive analysis of grey infrastructure and the green-grey approach. Int. J. Disaster Risk Reduct. 2021, 54, 102045. [Google Scholar] [CrossRef]
- Bae, C.; Lee, D. Effects of low-impact development practices for flood events at the catchment scale in a highly developed urban area. Int. J. Disaster Risk Reduct. 2020, 44, 101412. [Google Scholar] [CrossRef]
- Macro, K.; Matott, L.; Rabideau, A.; Ghodsi, S.; Zhu, Z. OSTRICH-SWMM: A new multi-objective optimization tool for green infrastructure planning with SWMM. Environ. Model. Softw. 2019, 113, 42–47. [Google Scholar] [CrossRef]
- Yazdi, J.; Choi, H.; Kim, J. A methodology for optimal operation of pumping stations in urban drainage systems. J. Hydro-Environ. Res. 2016, 11, 101–112. [Google Scholar] [CrossRef]
- Ye, C.; Xu, Z.; Lei, X.; Zhang, R.; Chu, Q.; Li, P.; Ban, C. Assessment of the impact of urban water system scheduling on urban flooding by using coupled hydrological and hydrodynamic model in Fuzhou City, China. J. Environ. Manag. 2022, 321, 115935. [Google Scholar] [CrossRef]
- Zhang, M.; Wu, Q.; Li, W.; Sun, D.; Huang, F. Intensifier of urban economic resilience: Specialized or diversified agglomeration. PLoS ONE 2021, 16, 1–21. [Google Scholar] [CrossRef]
- Xu, Z.; Ye, C. Simulation of urban flooding/waterlogging processes: Principle, models and prospects. J. Hydraul. Eng. 2021, 52, 381–392. [Google Scholar]
- Elga, S.; Jan, B.; Okke, B. Hydrological modelling of urbanized catchments: A review and future directions. J. Hydrol. 2015, 529, 62–81. [Google Scholar] [CrossRef]
- Wang, Y.; Xie, X.; Liang, S.; Zhu, B.; Yao, Y.; Meng, S.; Lu, C. Quantifying the response of potential flooding risk to urban growth in Beijing. Sci. Total Environ. 2020, 705, 135868. [Google Scholar] [CrossRef] [PubMed]
- Pumo, D.; Arnone, E.; Francipane, A.; Caracciolo, D.; Noto, L. Potential implications of climate change and urbanization on watershed hydrology. J. Hydrol. 2017, 554, 80–99. [Google Scholar] [CrossRef]
- Zhou, F.; Xu, Y.; Chen, Y.; Xu, C.; Gao, Y.; Du, J. Hydrological response to urbanization at different spatio-temporal scales simulated by coupling of CLUE-S and the SWAT model in the Yangtze River Delta region. J. Hydrol. 2013, 485, 113–125. [Google Scholar] [CrossRef]
- Parvaze, S.; Khan, J.; Kumar, R.; Allaie, S. Flood forecasting in Jhelum river basin using integrated hydrological and hydraulic modeling approach with a real-time updating procedure. Clim. Dyn. 2022, 59, 2231–2255. [Google Scholar] [CrossRef]
- Chen, Y.; Zhou, H.; Zhang, H.; Du, G.; Zhou, J. Urban flood risk warning under rapid urbanization. Environ. Res. 2015, 139, 3–10. [Google Scholar] [CrossRef]
- Kalimisetty, S.; Singh, A.; Venkata, D.; Rao, V.; Mahammood, V. 1D and 2D model coupling approach for the development of operational spatial flood early warning system. Geocarto Int. 2021, 37, 4390–4405. [Google Scholar] [CrossRef]
- Mignot, E.; Paquier, A.; Haider, S. Modeling Floods in a Dense Urban Area Using 2D Shallow Water Equations. J. Hydrol. 2006, 327, 186–199. [Google Scholar] [CrossRef]
- Duan, H.; Gao, X. Flooding control and hydro-energy assessment for urban stormwater drainage systems under climate change. Water Resour. Manag. 2019, 33, 3523–3545. [Google Scholar] [CrossRef]
- Koudelak, P.; West, S. Sewerage network modelling in Latvia, use of InfoWorks CS and Storm Water Management Model 5 in Liepaja city. Water Environ. J. 2007, 22, 81–87. [Google Scholar] [CrossRef]
- Jayapadma, J.; Wickramaarachchi, T.; Silva, G.; Ishidaira, H.; Magome, J. Coupled hydrodynamic modelling approach to assess land use change induced flood characteristics. Environ. Monit. Assess. 2022, 194, 354. [Google Scholar] [CrossRef] [PubMed]
- Lu, M.; Yu, Z.; Hua, J.; Kang, C.; Lin, Z. Spatial dependence of floods shaped by extreme rainfall under the influence of urbanization. Sci. Total Environ. 2023, 857, 159134. [Google Scholar] [CrossRef] [PubMed]
- Dhote, P.; Joshi, Y.; Rajib, A.; Thakur, P.; Nikam, B.; Aggarwal, S. Evaluating topography-based approaches for fast floodplain mapping in data-scarce complex-terrain regions: Findings from a Himalayan basin. J. Hydrol. 2023, 620, 129309. [Google Scholar] [CrossRef]
- Ghotbi, S.; Wang, D.; Singh, A.; Mayo, T.; Sivapalan, M. Climate and Landscape Controls of Regional Patterns of Flow Duration Curves Across Continental United States: Statistical Approach. Water Resour. Res. 2020, 56, 1–22. [Google Scholar] [CrossRef]
- Carrillo-Soto, G.A.; Cely, N.J.; Ayala-Ibarra, M.L. Hydrological similarity of catchments in the southern area of Colombian Andean region. J. Phys. Conf. Ser. 2019, 1388, 012042. [Google Scholar] [CrossRef]
- Deelstra, J.; Iital, A. The use of the flashiness index as a possible indicator for nutrient loss prediction in agricultural catchments. Boreal Environ. Res. 2008, 13, 209–221. [Google Scholar]
- Behzadian, M.; Otaghsara, S.; Yazdani, M.; Ignatius, J. A state-of the-art survey of TOPSIS applications. Expert Syst. Appl. 2012, 39, 13051–13069. [Google Scholar] [CrossRef]
- Shih, H.; Shyur, H.; Lee, E. An extension of TOPSIS for group decision making. Math. Comput. Model. 2007, 45, 801–813. [Google Scholar] [CrossRef]
- Sabinaya, B.; Bhabagrahi, S.; Madan, K.; Bhuyan, M. A hybrid machine learning-based multi-DEM ensemble model of river cross-section extraction: Implications on streamflow routing. J. Hydrol. 2023, 625, 129951. [Google Scholar] [CrossRef]
- Ahmed, F. A hydrodynamic model for the Lower Rideau River. Nat. Hazards 2010, 55, 85–94. [Google Scholar] [CrossRef]
- Rahman, M.; Goel, N.; Arya, D. Development of the Jamuneswari Flood Forecasting System: Case Study in Bangladesh. J. Hydrol. Eng. 2012, 17, 1123–1140. [Google Scholar] [CrossRef]
- Wang, Y.; Gao, C.; Xu, J.; Zhang, W.; She, L.; Zhang, Q.; Bao, R. Assessing the mechanism for flood control: A case of plain river network cities under extreme rainfalls. Environ. Sci. Pollut. Res. 2023, 30, 38076–38098. [Google Scholar] [CrossRef] [PubMed]
- Li, X.; Wang, L.; Wang, Y. Research on Standard Syntaxis of Sub-basin Flood and Urban Drainage Based on Safety Margin Theory. J. Hohai Univ. Nat. Sci. 2023, 51, 150–156. (In Chinese) [Google Scholar]
- Zhong, G.; Liu, S.; Hu, Z. Analysis of influence on region flood control due to polder waterlogging drainage in Yangcheng and Dianmao area. Yangtze River 2017, 48, 9–14. (In Chinese) [Google Scholar]
- Wang, L. Research on Coordination of Flood Control in The Taihu Basin Under Rapid Urbanization. Ph.D. Dissertation, Nanjing Hydraulic Research Institute, Nanjing, China, 2019. (In Chinese). [Google Scholar]
Disclaimer/Publisher’s Note: The statements, opinions and data contained in all publications are solely those of the individual author(s) and contributor(s) and not of MDPI and/or the editor(s). MDPI and/or the editor(s) disclaim responsibility for any injury to people or property resulting from any ideas, methods, instructions or products referred to in the content. |
© 2023 by the authors. Licensee MDPI, Basel, Switzerland. This article is an open access article distributed under the terms and conditions of the Creative Commons Attribution (CC BY) license (https://creativecommons.org/licenses/by/4.0/).






