Photochemical Release of Dissolved Organic Nitrogen from Algal Detritus and Sediment Particles in Lake Taihu, China
Abstract
1. Introduction
2. Materials and Methods
2.1. Site Description and Sample Collection
2.2. Photodissolution Experiments for Algal and Sediment Suspensions
2.3. Sample Analyses
2.3.1. Measurements of Nutrient Concentrations
2.3.2. UV–Vis Absorption Spectroscopy
2.3.3. FT-ICR MS Analysis
2.4. Statistical Analyses
3. Results
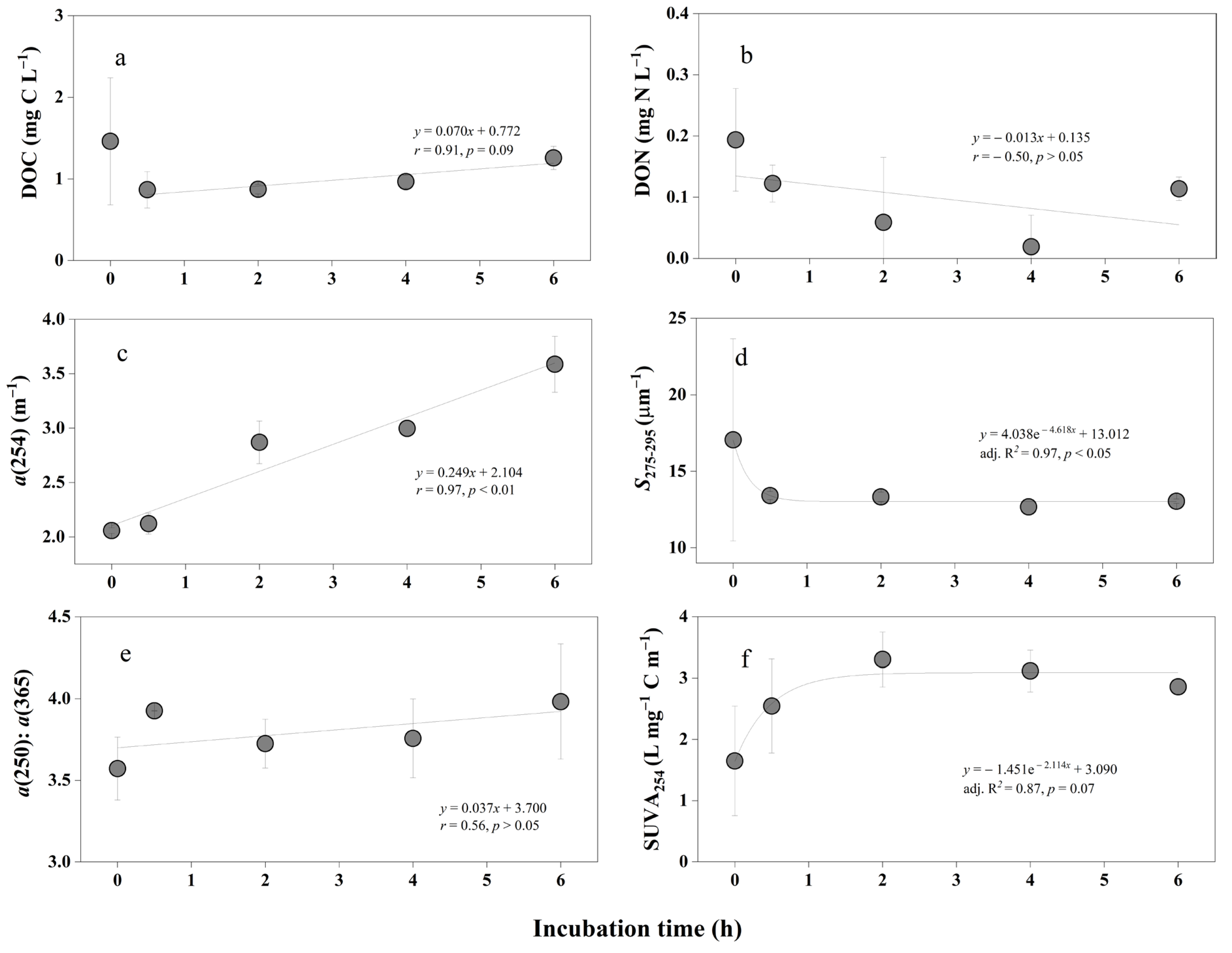
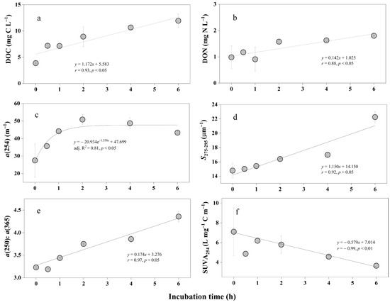
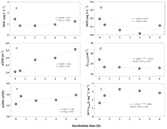
3.1. Photochemical Changes in the Properties of Dissolved Organic Matter in the Suspensions
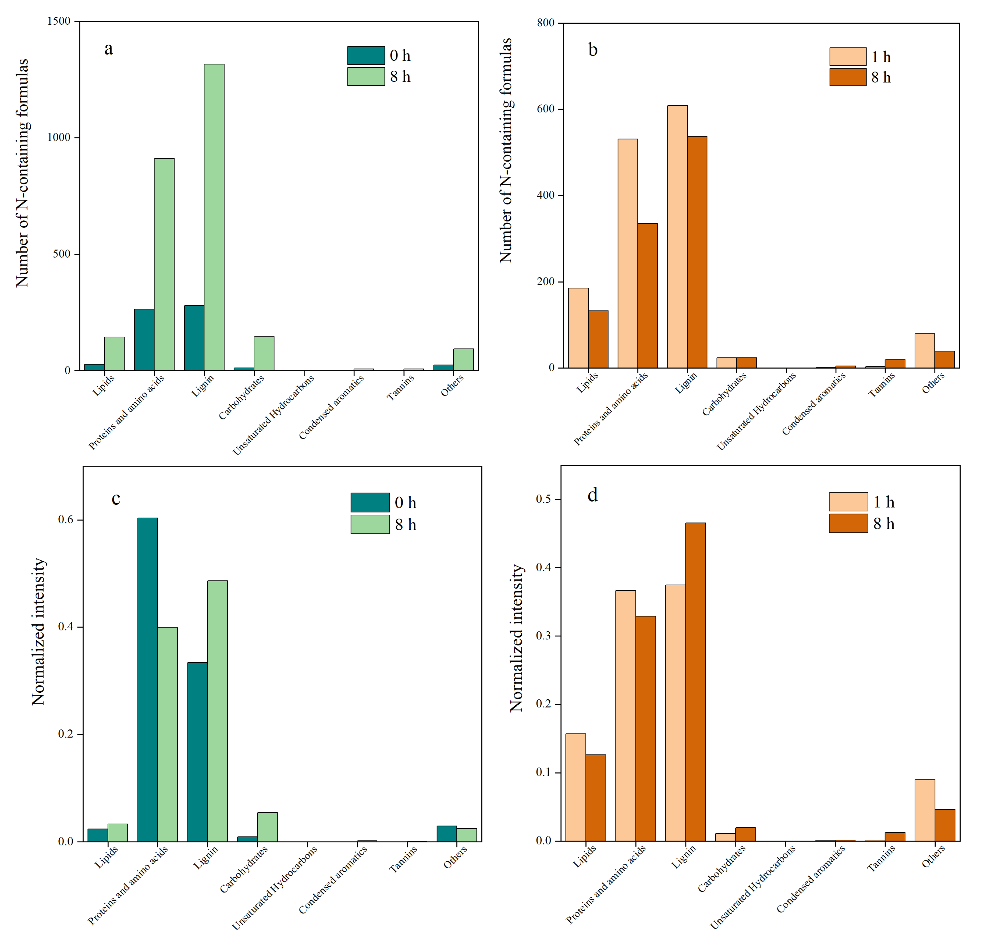
3.2. Photochemical Changes in the Molecular Composition of Dissolved Organic Nitrogen
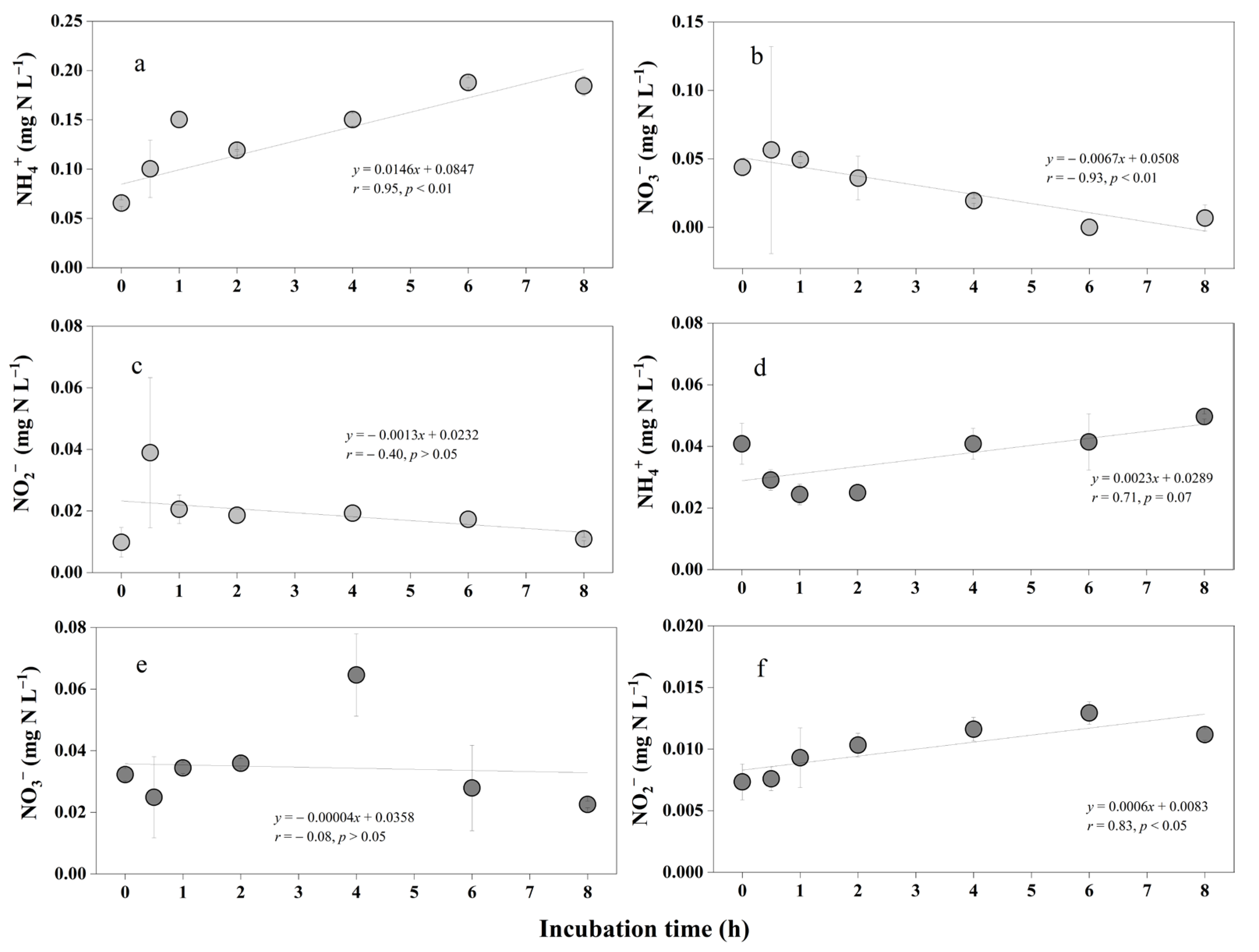
3.3. Photochemical Release of Inorganic Nitrogen during the Irradiation of Algal and Sediment Suspensions
4. Discussion
4.1. Photochemical Release of Dissolved Organic Nitrogen from Algal and Sediment Particles
4.2. Photochemical Release of Inorganic Nitrogen from Algal and Sediment Particles
4.3. Implications for Eutrophication Control
5. Conclusions
Author Contributions
Funding
Data Availability Statement
Acknowledgments
Conflicts of Interest
References
- Riggsbee, J.A.; Orr, C.H.; Leech, D.M.; Doyle, M.W.; Wetzel, R.G. Suspended sediments in river ecosystems: Photochemical sources of dissolved organic carbon, dissolved organic nitrogen, and adsorptive removal of dissolved iron. J. Geophys. Res. Biogeosci. 2008, 113, G03019. [Google Scholar] [CrossRef]
- Maie, N.; Pisani, O.; JaffÉ, R. Mangrove tannins in aquatic ecosystems: Their fate and possible influence on dissolved organic carbon and nitrogen cycling. Limnol. Oceanogr. 2008, 53, 160–171. [Google Scholar] [CrossRef]
- Mayer, L.M.; Thornton, K.H.; Schick, L.L. Bioavailability of organic matter photodissolved from coastal sediments. Aquat. Microb. Ecol. 2011, 64, 275–284. [Google Scholar] [CrossRef]
- Mayer, L.M.; Schick, L.L.; Skorko, K.; Boss, E. Photodissolution of particulate organic matter from sediments. Limnol. Oceanogr. 2006, 51, 1064–1071. [Google Scholar] [CrossRef]
- Liu, Q.; Shank, G.C. Solar radiation-enhanced dissolution (photodissolution) of particulate organic matter in Texas estuaries. Estuaries Coasts 2015, 38, 2172–2184. [Google Scholar] [CrossRef]
- Mayer, L.M.; Schick, L.L.; Hardy, K.R.; Estapa, M.L. Photodissolution and other photochemical changes upon irradiation of algal detritus. Limnol. Oceanogr. 2009, 54, 1688. [Google Scholar] [CrossRef]
- Yang, X.; Li, Z.; Meng, F.; Wang, Z.; Sun, L. Photochemical alteration of biogenic particles in wastewater effluents. Chin. Sci. Bull. 2014, 59, 3659–3668. [Google Scholar] [CrossRef]
- Pisani, O.; Yamashita, Y.; Jaffé, R. Photo-dissolution of flocculent, detrital material in aquatic environments: Contributions to the dissolved organic matter pool. Water Res. 2011, 45, 3836–3844. [Google Scholar] [CrossRef]
- Shank, G.; Evans, A.; Yamashita, Y.; Jaffé, R. Solar radiation-enhanced dissolution of particulate organic matter from coastal marine sediments. Limnol. Oceanogr. 2011, 56, 577–588. [Google Scholar] [CrossRef]
- Yao, X.; Zhang, Y.; Zhang, L.; Zhu, G.; Qin, B.; Zhou, Y.; Xue, J. Emerging role of dissolved organic nitrogen in supporting algal bloom persistence in Lake Taihu, China: Emphasis on internal transformations. Sci. Total Environ. 2020, 736, 139497. [Google Scholar] [CrossRef]
- Hu, B.; Wang, P.; Zhang, N.; Wang, C.; Ao, Y. Photoproduction of dissolved organic carbon and inorganic nutrients from resuspended lake sediments. Environ. Sci. Pollut. Res. 2016, 23, 22126–22135. [Google Scholar] [CrossRef] [PubMed]
- Qin, B.; Xu, P.; Wu, Q.; Luo, L.; Zhang, Y. Environmental issues of lake Taihu, China. Hydrobiologia 2007, 581, 3–14. [Google Scholar] [CrossRef]
- Chen, Y.; Fan, C.; Teubner, K.; Dokulil, M. Changes of nutrients and phytoplankton chlorophyll-a in a large shallow lake, Taihu, China: An 8-year investigation. Hydrobiologia 2003, 506–509, 273–279. [Google Scholar] [CrossRef]
- Guo, L. Doing battle with the green monster of Taihu Lake. Science 2007, 317, 1166. [Google Scholar] [CrossRef] [PubMed]
- Chen, Y.; Qin, B.; Teubner, K.; Dokulil, M.T. Long-term dynamics of phytoplankton assemblages: Microcystis-domination in Lake Taihu, a large shallow lake in China. J. Plankton Res. 2003, 25, 445–453. [Google Scholar] [CrossRef]
- Jin, X.; Tu, Q. The Standard Methods for Observation and Analysis in Lake Eutrophication; Chinese Environmental Science Press: Beijing, China, 1990. (In Chinese) [Google Scholar]
- Green, S.A.; Blough, N.V. Optical absorption and fluorescence properties of chromophoric dissolved organic matter in natural waters. Limnol. Oceanogr. 1994, 39, 1903–1916. [Google Scholar] [CrossRef]
- Stedmon, C.A.; Granskog, M.; Dodd, P.A. An approach to estimate the freshwater contribution from glacial melt and precipitation in East Greenland shelf waters using colored dissolved organic matter (CDOM). J. Geophys. Res. Ocean. 2015, 120, 1107–1117. [Google Scholar] [CrossRef]
- Zhang, Y.; Zhou, L.; Zhou, Y.; Zhang, L.; Yao, X.; Shi, K.; Jeppesen, E.; Yu, Q.; Zhu, W. Chromophoric dissolved organic matter in inland waters: Present knowledge and future challenges. Sci. Total Environ. 2021, 759, 143550. [Google Scholar] [CrossRef]
- Stedmon, C.A.; Markager, S.; Kaas, H. Optical properties and signatures of chromophoric dissolved organic matter (CDOM) in Danish coastal waters. Estuar. Coast. Shelf Sci. 2000, 51, 267–278. [Google Scholar] [CrossRef]
- Helms, J.R.; Stubbins, A.; Ritchie, J.D.; Minor, E.C.; Kieber, D.J.; Mopper, K. Absorption spectral slopes and slope ratios as indicators of molecular weight, source, and photobleaching of chromophoric dissolved organic matter. Limnol. Oceanogr. 2008, 53, 955–969. [Google Scholar] [CrossRef]
- Fichot, C.G.; Benner, R. A novel method to estimate DOC concentrations from CDOM absorption coefficients in coastal waters. Geophys. Res. Lett. 2011, 38, L03610. [Google Scholar] [CrossRef]
- Fichot, C.G.; Benner, R. The spectral slope coefficient of chromophoric dissolved organic matter (S275–295) as a tracer of terrigenous dissolved organic carbon in river-influenced ocean margins. Limnol. Oceanogr. 2012, 57, 1453–1466. [Google Scholar] [CrossRef]
- Kothawala, D.N.; von Wachenfeldt, E.; Koehler, B.; Tranvik, L.J. Selective loss and preservation of lake water dissolved organic matter fluorescence during long-term dark incubations. Sci. Total Environ. 2012, 433, 238–246. [Google Scholar] [CrossRef] [PubMed]
- Weishaar, J.L.; Aiken, G.R.; Bergamaschi, B.A.; Fram, M.S.; Fujii, R.; Mopper, K. Evaluation of specific ultravoilet absorbance as an indicator of the chemical composition of reactivity of dissolved organic matter. Environ. Sci. Technol. 2003, 37, 4702–4708. [Google Scholar] [CrossRef] [PubMed]
- Dittmar, T.; Koch, B.; Hertkorn, N.; Kattner, G. A simple and efficient method for the solid-phase extraction of dissolved organic matter (SPE-DOM) from seawater. Limnol. Oceanogr. Methods 2008, 6, 230–235. [Google Scholar] [CrossRef]
- Osborne, D.M.; Podgorski, D.C.; Bronk, D.A.; Roberts, Q.; Sipler, R.E.; Austin, D.; Bays, J.S.; Cooper, W.T. Molecular-level characterization of reactive and refractory dissolved natural organic nitrogen compounds by atmospheric pressure photoionization coupled to Fourier transform ion cyclotron resonance mass spectrometry. Rapid Commun. Mass Spectrom. 2013, 27, 851–858. [Google Scholar] [CrossRef]
- Zhou, Y.; Li, Y.; Yao, X.; Ding, W.; Zhang, Y.; Jeppesen, E.; Zhang, Y.; Podgorski, D.C.; Chen, C.; Ding, Y.; et al. Response of chromophoric dissolved organic matter dynamics to tidal oscillations and anthropogenic disturbances in a large subtropical estuary. Sci. Total Environ. 2019, 662, 769–778. [Google Scholar] [CrossRef]
- Mesfioui, R.; Abdulla, H.A.N.; Hatcher, P.G. Photochemical alterations of natural and anthropogenic dissolved organic nitrogen in the York River. Environ. Sci. Technol. 2015, 49, 159–167. [Google Scholar] [CrossRef]
- Zhou, Y.; Xiao, Q.; Yao, X.; Zhang, Y.; Zhang, M.; Shi, K.; Lee, X.; Podgorski, D.C.; Qin, B.; Spencer, R.G.M.; et al. Accumulation of terrestrial dissolved organic matter potentially enhances dissolved methane levels in eutrophic Lake Taihu, China. Environ. Sci. Technol. 2018, 52, 10297–10306. [Google Scholar] [CrossRef]
- He, C.; Pan, Q.; Li, P.; Xie, W.; He, D.; Zhang, C.; Shi, Q. Molecular composition and spatial distribution of dissolved organic matter (DOM) in the Pearl River Estuary, China. Environ. Chem. 2020, 17, 240–251. [Google Scholar] [CrossRef]
- Shi, Q.; Pan, N.; Long, H.; Cui, D.; Guo, X.; Long, Y.; Chung, K.H.; Zhao, S.; Xu, C.; Hsu, C.S. Characterization of Middle-Temperature Gasification Coal Tar. Part 3: Molecular Composition of Acidic Compounds. Energy Fuels 2013, 27, 108–117. [Google Scholar] [CrossRef]
- Feng, S.; Zhang, L.; Wang, S.R.; Nadykto, A.B.; Xu, Y.S.; Shi, Q.; Jiang, B.; Qian, W.B. Characterization of dissolved organic nitrogen in wet deposition from Lake Erhai basin by using ultrahigh resolution FT-ICR mass spectrometry. Chemosphere 2016, 156, 438–445. [Google Scholar] [CrossRef]
- Stubbins, A.; Spencer, R.G.M.; Chen, H.; Hatcher, P.G.; Mopper, K.; Hernes, P.J.; Mwamba, V.L.; Mangangu, A.M.; Wabakanghanzi, J.N.; Six, J. Illuminated darkness: Molecular signatures of Congo River dissolved organic matter and its photochemical alteration as revealed by ultrahigh precision mass spectrometry. Limnol. Oceanogr. 2010, 55, 1467–1477. [Google Scholar] [CrossRef]
- Koch, B.P.; Dittmar, T. From mass to structure: An aromaticity index for high-resolution mass data of natural organic matter. Rapid Commun. Mass Spectrom. 2006, 20, 926–932. [Google Scholar] [CrossRef]
- Kim, S.; Kramer, R.W.; Hatcher, P.G. Graphical Method for Analysis of Ultrahigh-Resolution Broadband Mass Spectra of Natural Organic Matter, the Van Krevelen Diagram. Anal. Chem. 2003, 75, 5336–5344. [Google Scholar] [CrossRef]
- Ohno, T.; Parr, T.B.; Gruselle, M.C.c.I.; Fernandez, I.J.; Sleighter, R.L.; Hatcher, P.G. Molecular composition and biodegradability of soil organic matter: A case study comparing two New England forest types. Environ. Sci. Technol. 2014, 48, 7229–7236. [Google Scholar] [CrossRef]
- Porcal, P.; Dillon, P.J.; Molot, L.A. Photochemical production and decomposition of particulate organic carbon in a freshwater stream. Aquat. Sci. 2013, 75, 469–482. [Google Scholar] [CrossRef]
- von Wachenfeldt, E.; Sobek, S.; Bastviken, D.; Tranvik, L.J. Linking allochthonous dissolved organic matter and boreal lake sediment carbon sequestration: The role of light-mediated flocculation. Limnol. Oceanogr. 2008, 53, 2416–2426. [Google Scholar] [CrossRef]
- Porcal, P.; Kopáček, J.; Tomková, I. Seasonal Photochemical Transformations of Nitrogen Species in a Forest Stream and Lake. PLoS ONE 2015, 9, e116364. [Google Scholar] [CrossRef] [PubMed][Green Version]
- Li, L.; Gao, N.; Deng, Y.; Yao, J.; Zhang, K. Characterization of intracellular & extracellular algae organic matters (AOM) of Microcystic aeruginosa and formation of AOM-associated disinfection byproducts and odor & taste compounds. Water Res. 2012, 46, 1233–1240. [Google Scholar] [PubMed]
- Nguyen, M.L.; Westerhoff, P.; Baker, L.A.; Hu, Q.; Esparzasoto, M.; Sommerfeld, M.R. Characteristics and Reactivity of Algae-Produced Dissolved Organic Carbon. J. Environ. Eng. 2005, 131, 1574–1582. [Google Scholar] [CrossRef]
- Niu, X.-Z.; Croué, J.-P. Photochemical production of hydroxyl radical from algal organic matter. Water Res. 2019, 161, 11–16. [Google Scholar] [CrossRef]
- Zhang, Y.; Zhang, R.; Li, S.-L.; Mostofa, K.M.G.; Fu, X.; Ji, H.; Liu, W.; Sun, P. Photo-ammonification of low molecular weight dissolved organic nitrogen by direct and indirect photolysis. Sci. Total Environ. 2021, 764, 142930. [Google Scholar] [CrossRef] [PubMed]
- Wang, W.; Tarr, M.A.; Bianchi, T.S.; Engelhaupt, E. Ammonium photoproduction from aquatic humic and colloidal matter. Aquat. Geochem. 2000, 6, 275–292. [Google Scholar] [CrossRef]
- Pisani, O.; Boyer, J.N.; Podgorski, D.C.; Thomas, C.R.; Coley, T.; Jaffé, R. Molecular composition and bioavailability of dissolved organic nitrogen in a lake flow-influenced river in south Florida, USA. Aquat. Sci. 2017, 79, 891–908. [Google Scholar] [CrossRef]
- Deng, J.; Qin, B.; Paerl, H.W.; Zhang, Y.; Ma, J.; Chen, Y. Earlier and warmer springs increase cyanobacterial (Microcystis spp.) blooms in subtropical Lake Taihu, China. Freshw. Biol. 2014, 59, 1076–1085. [Google Scholar] [CrossRef]
- Liu, X.; Lu, X.; Chen, Y. The effects of temperature and nutrient ratios on Microcystis blooms in Lake Taihu, China: An 11-year investigation. Harmful Algae 2011, 10, 337–343. [Google Scholar] [CrossRef]
- Xu, H.; Paerl, H.W.; Qin, B.; Zhu, G.; Gaoa, G. Nitrogen and phosphorus inputs control phytoplankton growth in eutrophic Lake Taihu, China. Limnol. Oceanogr. 2010, 55, 420–432. [Google Scholar] [CrossRef]
- Bronk, D.A.; See, J.H.; Bradley, P.; Killberg, L. DON as a source of bioavailable nitrogen for phytoplankton. Biogeosciences 2007, 4, 283–296. [Google Scholar] [CrossRef]
- Lomas, M.W.; Mark Trice, T.; Glibert, P.M.; Bronk, D.A.; McCarthy, J.J. Temporal and spatial dynamics of urea uptake and regeneration rates and concentrations in Chesapeake Bay. Estuaries 2002, 25, 469–482. [Google Scholar] [CrossRef]
- Feng, W.; Liu, S.; Li, C.; Li, X.; Song, F.; Wang, B.; Chen, H.; Wu, F. Algal uptake of hydrophilic and hydrophobic dissolved organic nitrogen in the eutrophic lakes. Chemosphere 2019, 214, 295–302. [Google Scholar] [CrossRef] [PubMed]
- Glibert, P.M.; Heil, C.A.; Hollander, D.; Revilla, M.; Hoare, A.; Alexander, J.; Murasko, S. Evidence for dissolved organic nitrogen and phosphorus uptake during a cyanobacterial bloom in Florida Bay. Mar. Ecol. Prog. Ser. 2004, 280, 73–83. [Google Scholar] [CrossRef]







| Incubations | Total Number of All Formulas | Total Number of CHON Formulas | Average m/z | H/C | O/C | N/C | DBE | AImod | DBE/C | DBE/H | DBE/O |
|---|---|---|---|---|---|---|---|---|---|---|---|
| Algal 0-h | 1349 | 608 | 397.27 | 1.54 | 0.41 | 0.086 | 5.88 | 0.10 | 0.33 | 0.25 | 0.97 |
| Algal 8-h | 4135 | 2625 | 404.82 | 1.47 | 0.42 | 0.099 | 6.89 | 0.14 | 0.37 | 0.30 | 1.09 |
| Sediment 1-h | 3426 | 1431 | 391.80 | 1.53 | 0.38 | 0.081 | 6.00 | 0.13 | 0.33 | 0.25 | 0.96 |
| Sediment 8-h | 2222 | 1092 | 341.04 | 1.45 | 0.38 | 0.111 | 6.26 | 0.21 | 0.40 | 0.32 | 1.19 |
Disclaimer/Publisher’s Note: The statements, opinions and data contained in all publications are solely those of the individual author(s) and contributor(s) and not of MDPI and/or the editor(s). MDPI and/or the editor(s) disclaim responsibility for any injury to people or property resulting from any ideas, methods, instructions or products referred to in the content. |
© 2023 by the authors. Licensee MDPI, Basel, Switzerland. This article is an open access article distributed under the terms and conditions of the Creative Commons Attribution (CC BY) license (https://creativecommons.org/licenses/by/4.0/).
Share and Cite
Liu, Y.; Yao, X. Photochemical Release of Dissolved Organic Nitrogen from Algal Detritus and Sediment Particles in Lake Taihu, China. Water 2023, 15, 3346. https://doi.org/10.3390/w15193346
Liu Y, Yao X. Photochemical Release of Dissolved Organic Nitrogen from Algal Detritus and Sediment Particles in Lake Taihu, China. Water. 2023; 15(19):3346. https://doi.org/10.3390/w15193346
Chicago/Turabian StyleLiu, Yanan, and Xiaolong Yao. 2023. "Photochemical Release of Dissolved Organic Nitrogen from Algal Detritus and Sediment Particles in Lake Taihu, China" Water 15, no. 19: 3346. https://doi.org/10.3390/w15193346
APA StyleLiu, Y., & Yao, X. (2023). Photochemical Release of Dissolved Organic Nitrogen from Algal Detritus and Sediment Particles in Lake Taihu, China. Water, 15(19), 3346. https://doi.org/10.3390/w15193346
